Abstract
Laser cutting parameters synergistically affect, although in different quantitative and qualitative manners, multiple process performances, such as the resulting cut quality characteristics, material removal rate, cutting time, and costs, and the determination of the most appropriate laser cutting conditions for a given application is of prime importance. Given the existence of multiple mutually opposite performances, assessment and laser cutting conditions and performance can be considered a multiple-criteria decision-making (MCDM) problem. In order to overcome the possible inconsistency of rankings determined by different MCDM methods while solving the same decision-making problem, the present study promotes a novel methodology for the assessment and selection of laser cutting conditions by developing a robust decision-making rule (RDMR) that combines different decision-making rules from six MCDM methods and Taguchi’s principles of robust design. In order to illustrate the application of the proposed methodology, CO2 laser cutting in a stainless-steel experiment, based on the use of the Box–Behnken design, was conducted. On the basis of the experimental results, a comprehensive laser cutting MCDM model was developed with seven criteria related to cut quality (i.e., kerf geometry and cut surface), productivity, variable costs, and environmental aspects. It was observed that there was no laser cutting condition that could be considered as the best regime with respect to the different laser cutting process performances. Kendall’s and Spearman’s rank correlation coefficients indicated a certain level of disagreement among the resulting rankings of the laser cutting conditions produced by the considered MCDM methods, whereas the application of the proposed RDMR ensured the highest level of ranking consistency. Some possibilities for modeling of RDMR and its further use for the assessment of arbitrarily chosen laser cutting conditions and the use of the derived model to perform sensitivity analysis for determining the most influential laser cutting parameters are also discussed and addressed. It was observed that laser cutting parameters in different laser cutting conditions may have a variable effect on the resulting overall process performances. The comparison of the obtained results and the results determined by classical desirability-based multi-objective optimization revealed that there exists substantial agreement between the most preferable and least preferable laser cutting conditions, thus justifying the applied methodology.
1. Introduction
Due to the growing need for increased product quality, productivity, economic sustainability, and specialized requirements with respect to geometric accuracy, micro-size, and shape, modern manufacturing industries are increasingly turning to the application of non-conventional machining technologies [1]. Among these, laser cutting technology occupies a special place for contour cutting of a wide variety of engineering materials due to the fact of its competitive advantages and possibilities. The laser cutting process itself is a very complex technology, since multiple and interdependent physical phenomena take place in the interaction of the laser beam, workpiece material, and assisting gas [2]. In order to better understand the underlying physical phenomena and, ultimately, increase the technological efficiency of the laser cutting technology for a given laser cutting method and workpiece (material and thickness), a number of research studies have been conducted. Numerous recent experimental investigations have focused on the analysis of the resulting kerf geometrical characteristics including kerf width [3], kerf perpendicularity [4], kerf deviation [5], kerf angle [6], dimensional accuracy [7], and dross formation [8]. The analyses of cut surface quality characteristics, such as surface roughness [1,3], striations [9], pittings [10], and boundary layer separation [11], have attracted the attention of numerous researchers. The physical–chemical characteristics of the material in the surface layer of the cut, such as the width of heat-affected zone [8] and micro-hardness [12], have also been studied. Economical aspects of laser cutting technology have motivated a few studies in the direction of the analysis and optimization of the material removal rate [13], laser cutting path [14], and cutting costs [15]. The analyses of environmental aspects of the laser cutting technology [16] and cutting process efficiency [17] have also been considered. Likewise, some specific physical process phenomena, which take place during the actual cutting process, have also been addressed by researchers including melt film characteristics on the cutting front [18], optimal laser beam configurations [19], laser beam absorption [20], multiple laser beam reflections [21], aerodynamic interactions between the workpiece material and assisting gas [22], melt flow dynamics [23], material removal efficiency [24], laser beam oscillation techniques for quality improvements [25], and temperature distribution in the cutting region [26].
In order to broaden both theoretical and practical knowledge, numerous laser cutting research studies have proposed analytical models and applied different experimental and modeling designs and optimization methods and techniques. However, for the majority of researchers, it is common to focus on the analysis of a single laser cutting performance. Consideration of a number of aspects and different laser cutting performances is basically addressed by the application of the Taguchi method and its integration with grey relational analysis [27], principal component analysis [28], grey-fuzzy methodology [29], desirability function approach (DFA) [8,30], integration of empirical models (polynomials, artificial neural networks, genetic programming, and adaptive-network-based fuzzy inference system) and metaheuristics [31,32,33,34,35,36] and by using a modeless approach based on the application of multiple-criteria decision-making (MCDM) methods [37,38,39]. All of the aforementioned methods ensure the determination of laser cutting conditions (regimes), i.e., particular combinations of laser cutting parameter values that represent the best possible trade-off solutions for yielding the desired performances (i.e., goals). This is an important issue in laser cutting given that the selection of the main process parameters significantly affects the cut quality and performances of laser cutting [28,40,41,42] and the fact that improper selection may cause process inefficiency, which may result in the formation of dross, heat-affected zone, erosions along the cut surface, striations, etc. [13].
From the aforementioned groups of applied approaches, there is a very limited number of studies related to the application of MCDM methods [37], although these methods are widely accepted in the engineering domain for solving different decision-making problems. Previous laser cutting optimization studies have considered the application of the preference selection index (PSI) method, the weighted aggregated sum product assessment (WASPAS) method, and the superiority and inferiority (SIR) method. Given the limited number of studies on this topic as well as the certain limitations of MCDM methods, which are reflected in the fact that each MCDM method has a different functionality that affects the decision-making process and the resulting final ranking of alternatives [43,44], this study promotes a novel methodology for the assessment and selection of laser cutting conditions in the presence of a number of conflicting criteria by the development and application of a robust decision-making rule (RDMR) [45]. The development of an RDMR, which is based on the integration of different MCDM method decision rules and Taguchi’s signal-to-noise (S/N) ratios, is believed to be justified since different decision-making rules even for the same problem may yield a different ranking of alternatives. The applied approach combines the theoretical foundations of different MCDM methods, thus enabling a more robust and objective solving of laser cutting decision-making problems, i.e., assessment and selection of the most preferable laser cutting conditions for a given application.
In order to illustrate the application of the proposed methodology for the assessment of different laser cutting conditions and performances, a Box–Behnken experimental design was conducted with different combinations of four laser cutting parameters (i.e., laser power, cutting speed, nitrogen pressure, and focus position). Based on the obtained experimental results, a comprehensive laser cutting MCDM model was developed with seven performances, i.e., criteria related to cut quality (kerf geometry and cut surface), productivity, variable costs, and environmental aspects.
In order to avoid potential ranking inconsistency obtained by different MCDM methods, which can be expected due to the existence of a number of alternative laser cutting conditions and process performances (of which some are opposite), and to facilitate the decision-making process, regarding the assessment and selection of the most suitable laser cutting conditions, the present study promotes the application of the RDMR. Moreover, it surpasses the classical application of MCDM methods for alternative assessment and selection, i.e., discrete optimization given the finite set of previously known alternatives (solutions) by developing an explicit representation of the RDMR using a second-order nonlinear mathematical model that enables: (i) assessment of arbitrarily chosen laser cutting conditions; (ii) application of sensitivity analysis in order to determine the most influential laser cutting parameters for given conditions; (iii) the usage of the derived mathematical model as an objective function in the formulation of different laser cutting optimization problems.
The application of the RDMR was demonstrated and analyzed in five case studies while solving the developed MCDM model for different scenarios when the considered performances had different levels of priority. The justification of the applied approach and some possibilities for modeling of an RDMR and its further use as well as a comparison of the obtained results with the results obtained using the classical multi-objective optimization approach were also discussed and addressed.
2. Experimental Procedure and Details
An AISI 304 stainless-steel plate with a thickness of 3 mm was used in the experiment conducted using the Bystronic 3015 CO2 laser cutting system with 2.2 kW maximal output power (Figure 1).
Figure 1.
CO2 laser cutting machine used in the experiment.
Prior to the selection of the experimental design for the present laser cutting experiment, pilot trials with different combinations of laser cutting parameter values were performed so as to define the experimental hyper-space and to establish the complete experimental procedure. The actual laser cutting regime (i.e., the unique combination of laser cutting parameter values), which is used in real manufacturing conditions for cutting of stainless-steel plates, was considered for the definition of the experimental hyper-space. In addition, the estimation of the severance energy (i.e., the energy input per unit length) related to the sheet thickness needed to melt the material of the kerf volume was considered [17].
Among different response surface methodology (RSM)-based designs, this study applied the Box–Behnken design, as it enables the development of full quadratic models for describing the process being investigated [29]. This design is rotatable and, in comparison to central composite designs, requires only three levels of variation for each parameter. Moreover, given that laser cutting parameters and their interactions have a key role in affecting cut quality [8] and given that the ratio of laser power to cutting speed directly defines the available laser beam energy needed to make a desired full cut, the application of the Box–Behnken design was justified considering that experimental trials, corresponding to extreme parameter values at the same time, were not conducted in this design. During experimentation, some parameters were considered as controllable and were varied at three levels, while certain parameters were considered as constants and their values were did not change throughout the experiment. Table 1 gives the levels of laser cutting parameters varied in the Box–Behnken design and lists the constant parameters. In total, 25 unique combinations of laser cutting parameter levels and five replicates in the central point were conducted in the experiment.
Table 1.
Details of controllable and constant parameters used in the experiment.
Specimens were cut from the steel plate for each laser cutting condition. The design of the specimen shape was chosen so as to ease the kerf measurements (Figure 2).
Figure 2.
AISI 304 stainless-steel specimen obtained after laser cutting: (a) top view; (b) side view.
The cut quality of the specimens, which were produced in different experimental trials under specific laser cutting conditions, was evaluated in accordance with the EN ISO 9013 standard [46]. This standard defines the appropriate measurement procedures and classifies thermal cuts into several categories with respect to the orthogonality of the cut and surface roughness (mean height of the profile, Rz5). Moreover, the geometrical characteristics of the cut, such as the average kerf width and dross height, were also considered as criteria for cut quality assessment. Based on the measurements of the top and bottom kerf widths at three different locations along the length of the cut, performed using the optical coordinate measuring system Mitutoyo (QSL-200Z), data for kerf width and orthogonality of the cut were obtained. The MahrSurf-XR1 measuring instrument was used for the assessment of the surface profile. Sampling length and evaluation length were set to 0.80 and 4 mm, respectively. An example of the surface roughness profile is given in Figure 3. Dross assessment in laser cutting is not straightforward because of the fact that along the cut section, dross attachment was generally intermittent and of variable height and shape. For the assessment of dross formation, side cut profiles for each specimen at three equally distanced intervals, approximately in the middle of the specimen’s length, were examined using the optical coordinate measuring system Mitutoyo (QSL-200Z) and QSPAK software. In Figure 4, an example of a laser cut edge is depicted.
Figure 3.
An example of a surface roughness profile obtained in an experimental trial.
Figure 4.
Laser cut edge corresponding to the following laser cutting conditions: P = 1.8 kW; v = 2.5 m/min; p = 12 bar; and f = −2.5 mm.
In addition to the criteria related to cut quality, for the definition of the laser cutting MCDM model, the performances (i.e., criteria related to the productivity, variable costs, and environmental aspects) were also considered.
3. Development of a Laser Cutting MCDM Model and Solution Approach
3.1. Assessment Criteria
The laser cutting MCDM model was developed to assess 25 different experimental trials performed under different laser cutting conditions (regimes), defined with a unique combination of laser parameter levels with respect to the performances related to cut quality (kerf geometry and cut surface), productivity, variable costs, and environmental aspects of the laser cutting process. In defining the laser cutting MCDM model, four cut quality criteria were considered: kerf width, surface roughness, orthogonality of the cut, and dross formation.
Kerf width: In laser cutting, the formation of kerf is usually characterized by a somewhat greater kerf width in the upper cut edge, which narrows down towards the lower cut edge. However, by altering the main laser cutting parameters, such as focal length, focus position, cutting speed, and laser power as well as workpiece material thickness, the size of the kerf width, and its uniformity along the cut thickness, may change significantly. The resulting mean kerf width characterizes the laser cutting accuracy, which is known to be advantageous in comparison to other technologies for contour cutting. In laser cutting, the goal is to either achieve as small a possible kerf width, because of material savings, or to achieve a pre-specified kerf width since part programming would be simplified [13]. The quantification and assessment of kerf width is also beneficial, since it allows the estimation of process performances, among others, MRR, amount of wasted material, specific cutting energy, and energy balance.
Surface roughness: Considering that surface roughness influences various laser cut part characteristics, including the appearance of cut surface, friction and wear, corrosion resistance, and fatigue life [47,48], it represents one of the main criteria for the assessment of cut surface morphology. Depending on the applied laser cutting method and interaction effects of the laser beam, workpiece material, and main process parameters, the surface roughness of the cut can be variously affected.
Orthogonality of the cut: Since the laser beam has a converging–diverging shape, there always exists, to a certain level, an orthogonality deviation between the cut surface and plate surface. With an appropriate selection of the lens’ focal length, focus position, laser beam polarization, and cutting speed [49], high cut quality levels, as defined in the EN ISO 9013 standard [46], with respect to the orthogonality of the cut can be achieved for a variety of workpiece material thicknesses. This is particularly important given that some laser cut parts proceed to further processing such as bending and/or welding.
Dross: Dross represents resolidified molten material that has not been fully removed from the kerf but adheres to the lower cutting edge. The formation of dross is a very complex process dependent on a number of process parameters and their interactions, but it is primarily affected by the viscosity and surface tension of the molten material [23,50] and threshold assist gas pressure [22]. Since it increases the width of the heat-affected zone by causing the release of energy back into the workpiece material, determines whether a post-processing operation is needed, and represents a health and safety risk factor because of sharp edges [51], dross can be considered as one of the most important criteria in laser cutting.
Variable costs: Variable costs constitute a significant share in total laser cutting costs and are primarily related to the costs of electricity and assist gas consumption. These costs are particularly influenced by the selection of the laser cutting method as well as the workpiece material type and its thickness, which in the planning process comes down to the selection of the assist gas type and pressure, laser power, cutting speed, and nozzle diameter. Given that the aforementioned parameters have broad recommended ranges, variable costs in laser cutting may vary considerably. Thus, it would be beneficial to gain an estimate of the variable costs with respect to the selected laser cutting conditions.
The laser electrical power cost can be estimated as a function of the CO2 laser cutting machine input power and electricity price for a given country in the following form [52]:
where Ce (EUR/h) stands for the costs of electricity, ce (EUR/kWh) is the electricity price (0.07 EUR/kWh), P (kW) is the laser power used in the actual cutting process, D (%) is the duty cycle, and Pb, P0, and k are the electrical standby power, electrical power, and power consumption factors, respectively, which have values for different CO2 laser cutting machines that can be empirically determined [52].
Ce = [Pb + D/(100%)·(P0 − Pb + k·P)] ce,
For high-pressure CO2 laser fusion cutting, based on the tabular data provided by Bystronic, assist gas consumption can be estimated using the following model:
where Qag (m3/h) is the assist gas consumption, d (mm) is the nozzle diameter, and p (bar) is the nitrogen pressure.
Qag = 13.68 − 20.23·d − 0.96·p + 6.14·d2 − 0.01·p2 + 1.639·p·d,
Therefore, the assist gas costs as a function of the assist gas consumption and the price of the assist gas on a particular market can be modeled as:
where Cag (EUR/h) is the assist gas costs and cag (EUR/m3) is the price of the assist gas (3.23 EUR/m3).
Cag = (13.68 − 20.23·d − 0.96·p + 6.14·d2 − 0.01·p2 + 1.639·p·d)·cag,
With the use of Equations (1) and (3), one can estimate the total variable costs (C) for each experimental trial, which enables a comparison of the different laser cutting conditions with respect to this important laser cutting performance (criterion).
MRR: In addition to surface MRR and cutting time, volumetric MRR represents one of the most widely used productivity performances in laser cutting [13]. It represents the volume of molten material removed in the unit time and can be determined as:
where MRR (mm3/min) is the volumetric MRR, s (mm) is the plate thickness, Kw (mm) is the average kerf width, and v (m/min) is the cutting speed.
MRR = 1000·s·Kw·v,
Eco-indicator: A contribution to the environmental impact, with respect to the selected laser cutting conditions from the experimental matrix, was assessed in terms of electric energy consumption, generated recyclable waste material, and assist gas (nitrogen) consumption for one hour of the laser cutting production mode. Process emissions, laser optics, laser gases, compressed air, and other consumables have a rather limited contribution to the environmental impact [52].
For the assessment of the environmental impact, which is being generated by a particular set of laser cutting parameters, the Eco-Indicator 99 life cycle impact assessment (LCIA) method [53] was chosen. An average value of 27 mPts/kWh, as an estimate of the electrical voltage grid in Europe, was used for the assessment of the impact of the electric energy consumption. For the calculation of the environmental impact of the recyclable waste material, the measured kerf width in each trial, workpiece material thickness, and workpiece material density were considered, while a nesting efficiency of approximately 85% was assumed. Finally, based on the derived mathematical model for the estimation of assist gas consumption (Equation (2)) and an Eco-Indicator 99 value of 14.19 mPts/m3 for the production of N2, as given by Duflou et al. [54], one can obtain the environmental impact contributions arising from the nitrogen consumption.
The applied method as well as other LCIA methods are well-established analytical methods for the assessment of the environmental impacts of products, production processes, or services [55]. Estimating the final result in a single Eco-Score enables the assessment of different laser cutting conditions and its proper adjustment, aiming at a more efficient use of resources and a decrease in the generation of wastes and emissions, which represents one of the main goals of environmentally cleaner production processes [56,57].
3.2. Development of a Comprehensive Laser Cutting MCDM Model
Based on the experimentally measured cut quality characteristics and estimated volumetric MRR, variable costs and environmental impact for each combination of laser cutting parameters from the experimental matrix, a comprehensive laser cutting MCDM model was developed (Table 2).
Table 2.
Developed comprehensive laser cutting MCDM model.
Combinations of unique laser cutting parameter values, representing laser cutting conditions, are called alternatives in the language of decision making and are provided in columns 2–5 in Table 2, where the designation of each laser cutting condition (experimental trial) is given in column 1. In the remaining columns to the right, for each alternative, measured or estimated attribute values are given with respect to the seven criteria (i.e., Kw, Rz5, u, b, C, MRR, and Eco-Score). Here, it should be noted that except for the volumetric MRR, all criteria belonged to the criteria of minimization type, where the most preferred are the minimal attribute values.
In the covered spherical experimental hyper-space by the Box–Behnken design, it was observed that the kerf width ranged from Kwmin = 0.3 to Kwmax = 0.52 mm (average: 0.4 mm); surface roughness from Rz5min = 5.57 to Rz5max = 11.42 μm (average: 8.52 μm); orthogonality of the cut from umin = 0.003 to umax = 0.367 mm (average: 0.18 mm); dross height from bmin = 0 (no dross) to bmax = 1.5 mm (sharp dross); variable costs from Cmin = 59.7 to Cmax = 80.4 EUR/h (average: 70.1 EUR/h); volumetric MRR from MRRmin = 2060 to MRRmax = 4290 mm3/min (average: 2988 mm3/min); Eco-Score from 1440 to 1588 mPts (average: 1509 mPts). Moreover, the most preferred attribute values with respect to all the considered criteria did not exist in a single alternative. In other words, there was no combination of laser cutting parameter values (laser cutting conditions) that was the best choice with respect to all the considered criteria (i.e., Kw, Rz5, u, b, C, MRR, and Eco-Score). Therefore, in order to determine the best compromise alternatives, a decision rule was needed in order to make an objective assessment and ranking of all alternative laser cutting conditions with respect to all the considered criteria and associated criteria weights that defined the relative significance of criteria.
3.3. Solution Approach
In order to overcome the non-consistency of the final rankings that may be produced with different MCDM methods when applied to solving the same MCDM model, this study proposed the use of our previously developed approach for the generation of an RDMR [45] for the assessment of laser cutting conditions. The basic idea behind the RDMR is the ranking of competitive alternatives on the basis of the S/N ratio, of a “smaller-the-better” type, which is estimated with respect to the utility function values of each considered MCDM method. In the application of the RDMR for solving the proposed comprehensive laser cutting MCDM model, six MCDM methods were selected: the additive ratio assessment (ARAS); the complex proportional assessment (COPRAS); the multi-objective optimization by ratio analysis (MOORA); VIšekriterijumska optimizacija i KOmpromisno Rešenje (the Serbian abbreviation VIKOR); the technique for the order preference by similarity to ideal solution (TOPSIS); the weighted aggregated sum product assessment (WASPAS). The main computational procedures of the considered MCDM methods consist of several steps and are given in detail elsewhere [43,58,59,60,61,62,63,64]
4. Results and Discussion
4.1. Application of RDMR for Assessment of Laser Cutting Conditions
In this section, RDMR was applied for the assessment of laser cutting conditions for different scenarios: case studies when the considered criteria had different levels of priority, i.e., weighting coefficients.
4.1.1. Case Study 1
In this case study, the criteria related to cut quality, costs, productivity, and environmental aspects were assumed to be of equal importance, thus a weighting coefficient of 0.25 was assigned to each category. The weighting coefficient of 0.25 for the cut quality, however, should include four weighting coefficients, since cut quality assessment is based on the use of four criteria (i.e., kerf width, surface roughness, perpendicularity of cut, and dross), which have different levels of importance. The weighting coefficients used in case study 1 are given in Table 3. As can be observed from this table, the criterion related to dross formation is given the highest weighting coefficient, as dross-free cutting is a very important issue in the application of the laser cutting technology.
Table 3.
Relative importance of the considered criteria in case study 1.
The rankings of the three best and three worst assessed laser cutting conditions, represented by different experimental trials and obtained using the proposed RDMR methodology, are given in Table 4.
Table 4.
Rankings of the alternative laser cutting conditions according to different MCDM methods and RDMR—case study 1.
The RDMR results from Table 4 show that the laser cutting condition (regime), corresponding to experimental trial 22 (P = 1.8 kW, v = 3 m/min, p = 10.5 bar, and f = −2.5 mm), was determined to be the best combination of laser cutting parameter values; moreover, these conditions coincided well with general recommendations for fusion cutting of the laser cutting machine manufacturer as well as with industrial gas suppliers [65]. On the other hand, the laser cutting condition, which is realized in experimental trial 15 (P = 1.8 kW, v = 2 m/min, p = 12 bar, and f = −1.5 mm), was determined to be the least preferred combination of laser cutting parameter values. This result was expected since the cut was performed using an inappropriate focus position and a combination of the lowest cutting speed and highest assist gas consumption, which ultimately results in dross formation, lower MRR, and higher costs, respectively.
4.1.2. Case Study 2
In this case study, the criteria related to the cut quality were given the highest priority; thus, a weighting coefficient of 0.7 was assigned to this category. The weighting coefficients used in case study 2 are given in Table 5.
Table 5.
Relative importance of the considered criteria in case study 2.
The rankings of the three best and three worst assessed laser cutting conditions obtained using the proposed RDMR methodology for this case study are given in Table 6.
Table 6.
Rankings of the alternative laser cutting conditions according to different MCDM methods and RDMR—case study 2.
Although focusing the laser beam near the lower part of the plate (f = −2.5 mm) enlarged the kerf width, it significantly contributed to efficient melt ejection that resulted in a smooth and flat cut surface without dross attachment on the lower cutting edge, which was not the case in the worst-ranked laser cutting conditions (trials 2, 15, and 8). Thus, it can be argued that the focus position was the most significant factor when the cut quality was of the highest priority. Borkmann et al. [11] also concluded that the focus position has decisive importance for the structure of the cutting edge and the entire laser cutting process.
4.1.3. Case Study 3
In this case study, the variable cost was given the highest priority; thus, a weighting coefficient of 0.7 was assigned to this criterion. The weighting coefficients used in case study 3 are given in Table 7.
Table 7.
Relative importance of considered criteria in case study 3.
The rankings of the three best and three worst assessed laser cutting conditions obtained using the proposed RDMR methodology for this case study are given in Table 8.
Table 8.
Rankings of the alternative laser cutting conditions according to different MCDM methods and RDMR—case study 3.
As can be observed from Table 8, the laser cutting condition realized in experimental trial 5 was determined as the most favorable. In this case, there was a complete agreement of all the considered MCDM methods, yielding an S/N value of 0, which is the ideal value for the category of “smaller the better”. In the laser cutting condition that corresponded to experimental trial 5, the assist gas pressure had the minimal value, which considerably lowers the variable costs. It should be noted here that the effect of laser power on variable costs was much less pronounced. An experimental investigation by Eltawahni et al. [66] confirmed the decisive role of the nozzle diameter, cutting speed, and nitrogen pressure on operational costs in CO2 laser cutting of AISI 316L stainless steel.
4.1.4. Case Study 4
In this case study, the productivity was given the highest priority; thus, a weighting coefficient of 0.7 was assigned to this criterion. The weighting coefficients used in case study 4 are given in Table 9.
Table 9.
Relative importance of the considered criteria in case study 4.
The rankings of the three best and three worst assessed laser cutting conditions obtained using the proposed RDMR methodology for this case study are given in Table 10.
Table 10.
Rankings of the alternative laser cutting conditions according to different MCDM methods and RDMR—case study 4.
When the productivity was given the highest priority, experimental trial 22 once again turned out to be the most favorable. As previously discussed, this laser cutting condition promoted the formation of enlarged kerf and, in combination with the highest level of cutting speed, ensured high productivity. Again, as in the previous case study, absolute agreement for the best laser cutting condition was achieved by all the considered MCDM methods.
4.1.5. Case Study 5
In this case study, the environmental aspect was given the highest priority; thus, a weighting coefficient of 0.7 was assigned to Eco-Score. The weighting coefficients used in scenario 5 are given in Table 11.
Table 11.
Relative importance of considered criteria in case study 5.
The rankings of the three best and three worst assessed laser cutting conditions obtained using the proposed RDMR methodology for this case study are given in Table 12.
Table 12.
Rankings of the alternative laser cutting conditions according to different MCDM methods and RDMR—case study 5.
As can be observed from Table 12, the laser cutting conditions realized in experimental trials 5 and 22 once again turned out to be the most favorable, while the laser cutting conditions realized in experimental trials 13, 8, and 15 were ranked as the least preferred. Based on the analysis of the laser cutting conditions, one can observe that the cutting speed, assist gas pressure, and focus position were the determining factors with regards to the environmental impact, while the impact of laser power was less pronounced. As analyzed and discussed by Kellens et al. [67], there exists a linear relationship between the input power levels in the cutting mode and laser output power. Thus, the change in the laser power level, less than 0.5 kW in the present analysis, resulted in small differences with respect to the total environmental impact. Here, it should be noted that for the total Eco-Score, which was on average 1509 mPts, 749 mPts (49%) counted for energy consumption, 461 mPts (31%) counted for consumed assist gasses, and 299 mPts (20%) counted for generated waste. The results of Duflou et al. [54], related to the assessment of the environmental impact of 1 h of cutting on a 5 kW CO2 laser machine, reported an impact score of 1991 mPts with similar shares of perceived contributors.
4.2. Justification of the Applied Approach
The practical reason for proposing the RDMR methodology for the assessment and selection of laser cutting conditions is demonstrated in the example of case study 1 by comparing the full final rankings of alternatives (experimental trials) obtained by the application of all the considered MCDM methods. It has to been noted that the same observations could also be shown for other case studies.
In order to compare and assess the extent of agreement among the obtained final ranking lists, a statistical ranking comparison based on Kendall’s (τ) and Spearman’s (ρ) rank correlation coefficients [68] was performed. Kendall’s and Spearman’s rank correlation coefficients can have values in the range −1 to +1, where higher values indicate a stronger negative or positive correlation, respectively. The statistical ranking comparison of the final rankings obtained using all the considered MCDM methods and the applied RDMR methodology is given in Table 13.
Table 13.
Kendall’s and Spearman’s rank correlation coefficients for case study 1.
The results from Table 13 clearly indicate that when applied to the same laser cutting decision-making problem, in this case of the assessment of 25 different laser cutting conditions, the considered MCDM methods produced different rankings, i.e., there were no values of τ and ρ statistics equal to 1 for any pair of MDCM methods. Actually, since there were no identical rankings of all of the laser cutting conditions, it means that the results of the application of a certain MCDM method for ranking a competitive set of laser cutting conditions may not necessarily be in agreement with another MCDM method. It is believed that such uncertainty, regarding the possible inconsistency of rankings and subsequent adjustment of laser cutting conditions based on the ranking results can be overcome with the application of the proposed RDMR. If one considers the summary values of the τ and ρ statistics, for each considered MCDM method and the proposed methodology, it can be observed that the decision-making process, based on the application of the RDMR methodology, ensured the highest level of ranking consistency.
4.3. Modeling of the RDMR
The final ranking list in all case studies was based on the use of S/N values, taking into account six decision rules of the considered MCDM methods and attributed values of different cutting conditions with regard to the selected criteria. For practical application of the RDMR, it is of utmost importance to predict the S/N value that corresponds to an arbitrarily chosen laser cutting condition, i.e., a particular combination of the laser cutting parameter values. For example, for case study 1, one can derive the following mathematical model:
S/N = −56.959 − 185.939·P − 90.908·v + 27.311·p − 25.537·f + 45.604·P2 + 10.956·v2 − 0.199·p2 + 3.862·f2 + 42.042·P·v − 7.103·P·p − 1.947·P·f − 3.651·v·p − 13.955·v·f + 5.919·p·f,
From the ANOVA analysis, the low probability value (p = 0) of the derived model, the coefficient of multiple determination of R2 = 0.952, and the lack of fit value of 0.303 confirmed the statistical validity of the model [69]. Thus, by using the developed mathematical model, one can evaluate certain alternative laser cutting conditions, i.e., particular combinations of laser power, cutting speed, assist gas pressure, and focus position. Moreover, with the optimization of the developed mathematical model one can determine the most desirable laser cutting conditions within the covered experimental hyper-space. Thus, in contrast to the classical use of MCDM methods for the assessment of alternative solutions and the selection of the best solution, from the initial set of pre-known solutions contained in the decision matrix, modeling and optimization of S/N allows for searching for the best solution within the entire covered experimental hyper-space. It is believed that the possibility to model the decision-making rule, in this case RDMR, is of great practical importance, since once the decision-making mathematical model is available, one can use it as an objective function in the formulation of different single- and multi-objective optimization problems with or without constraints.
4.4. Sensitivity Analysis
Sensitivity analysis is a method based on the determination of partial derivatives of a mathematical model with respect to independent variables [70,71]. Upon the definition of the mathematical model for the approximation of the RDMR, the sensitivity analysis method was then applied in order to determine the most influential laser cutting parameters with respect to the resulting S/N value. In other words, the goal was to identify which parameters, for pre-defined conditions, determine the final ranking to the greatest extent. In this regard, the sensitivity models for S/N with respect to laser power, cutting speed, assist gas pressure, and focus position were obtained as follows:
(∂S/N)/∂P = −185.939 + 91.208·P + 42.042·v−7.103·p−1.947·f,
(∂S/N)/∂v = −90.908 + 21.912·v + 42.042·P−3.651·p−13.955·f,
(∂S/N)/∂p = 27.311−0.398·p−7.103·P−3.651·v + 5.919·f,
(∂S/N)/∂f = −25.537 + 7.724·f−1.947·P−13.955·v + 5.919·p,
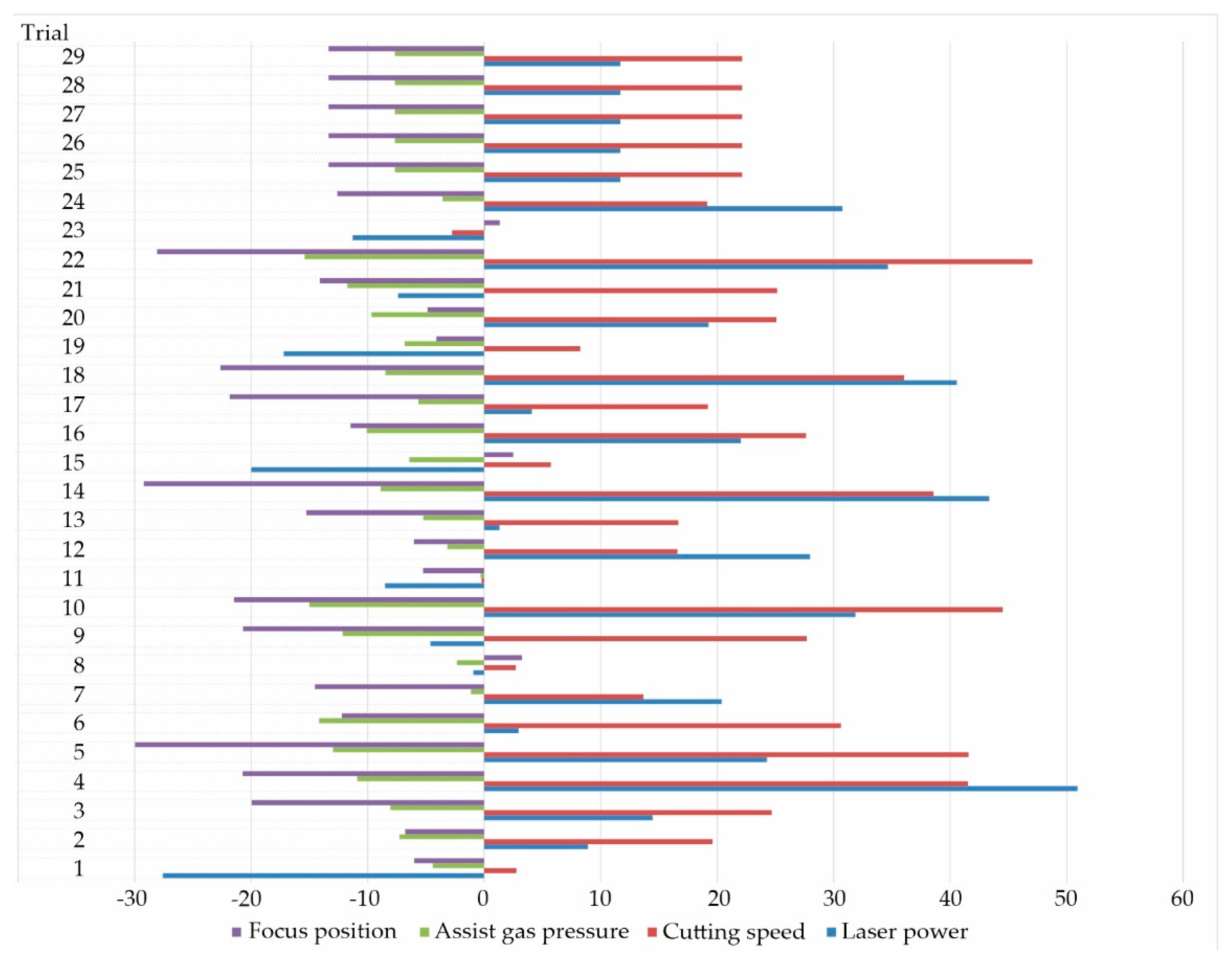
With respect to laser cutting conditions corresponding to each experimental trial, the sensitivities for laser cutting parameters were estimated using Equations (6)–(9). The results of the conducted sensitivity analysis are given in Figure 5.
Figure 5.
The resulting S/N sensitivities of the different process parameters.
As can be observed from Figure 5, the resulting S/N values were highly sensitive to cutting speed, laser power, and focus position, whereas there was a limited sensitivity with respect to the assist gas pressure. For all laser cutting conditions, the sensitivities of cutting speed were positive and the sensitivities of the assist gas pressure were negative. This indicates that the resulting S/N value increases with an increase in the cutting speed and decreases with an increase in the assist gas pressure. In the case of the focus position, the sensitivities were mostly negative, whereas in the case of laser power, the sensitivity values were partially negative and positive. This indicates that for most laser cutting conditions, the resulting S/N value will increase with the decrease in the focus position. The changing nature of the effect of laser power on the resulting S/N value indicates the complexity of the laser cutting process in which the effect of a particular parameter on the selected performance may vary considerably with respect to the settings of other process parameters. Thus, for a given focus position and combination of assist gas pressure and cutting speed, one should use lower laser power levels, while for some other cutting conditions, it would be beneficial to use higher laser power levels. Thus, it turns out that modeling and optimization studies are inevitable in laser cutting so as to perceive the synergistic and interaction effects of process parameters on a number of process performances that describe the laser cutting process. As previously noted by Russo Spena [8], laser cut quality characteristics are predominantly affected by the interactions of process parameters.
It should be noted that the conducted sensitivity analyses were performed for case study 1 and that the observed relations and sensitivities may change upon using a different set of criteria weights.
4.5. Comparison with the Classical Multi-Objective Optimization
In the present study, an additional attempt was also made to compare the results of the proposed RDMR methodology and classical multi-objective optimization based on the use of the desirability function approach (DFA) [72]. For comparison purposes, the results from case study 1 were considered. It can be shown that using DFA-based multi-objective optimization leads to the laser cutting conditions realized in experimental trials 22 and 5, having composite desirability values of 0.78 and 0.74. On the other hand, the laser cutting condition realized in experimental trial 15 had the composite desirability value of 0. In deriving these optimization results in the DFA, the shapes of the individual desirability functions were determined using criteria weights in accordance with Table 3. Therefore, these results indicate good agreement of the optimization results with respect to the differentiation of the best and worst alternative laser cutting conditions.
5. Conclusions
The present study introduced a novel methodology for the comprehensive assessment of multiple cutting performances and selection of laser cutting conditions by the development of an RDMR through the integration of multiple decision rules from different MCDM methods and by using Taguchi’s S/N ratios. Based on the analysis of results obtained while solving the comprehensive laser cutting MCDM model with five different sets of criteria weights, conducted sensitivity analyses and comparison with the results of classical desirability-based multi-objective optimization, the following observations and conclusions can be summarized:
- The resulting Kendall’s and Spearman’s rank correlation coefficients indicate that different MCDM methods, when applied to the same laser cutting decision-making problem, produce different rankings and that the application of RDMR ensures the highest overall summary values, which justified the proposed methodology for ensuring the determination of the laser cutting conditions with the highest level of consistency with the majority of the considered MCDM methods;
- Laser cutting parameters in different laser cutting conditions may have variable effect on the resulting S/N values, indicating the complexity of the laser cutting process in which the effect of a particular parameter on the selected performance may vary considerably with respect to the settings of other process parameters;
- For the example of case study 1, the possibility of an explicit representation of the RDMR using a second-order nonlinear mathematical model was demonstrated. This subsequently enabled the assessment of arbitrarily chosen laser cutting conditions, i.e., a particular set of laser cutting parameter values with respect to different performances. With respect to the partial derivatives of the developed RDMR mathematical model, the possibility of the application of sensitivity analysis was illustrated in order to determine the most influential laser cutting parameters. Moreover, the explicit representation of the RDMR mathematical model for comprehensive assessment of laser cutting conditions enabled its use as an objective function in the formulation of different laser cutting optimization problems with practical constraints;
- It is worth noting that, in comparison with classical multi-objective optimization of the laser cutting process, the proposed methodology can be efficiently used for the assessment of laser cutting conditions and performance in situations when there are both quantitative and qualitative assessments of laser cutting results;
- The generality of the proposed methodology allows for its application in the comprehensive assessment of multiple performances in machining and selection of the most appropriate cutting regimes and mechanical cutting tools.
One of the main future research scopes is the use of fuzzy MCDM methods for the development of RDMR, since these methods enable the consideration of qualitative assessments or linguistic attributes, thus further allowing for a more convenient handling of imprecise and uncertain data.
Author Contributions
Conceptualization, M.M. and D.P.; methodology, M.M., G.P. and J.A.; software, G.P.; validation, M.M., D.P. and G.P.; formal analysis, M.M., G.P. and J.A.; investigation, M.M.; resources, M.M. and G.P.; data curation, M.M., D.P. and D.M.; writing—original draft preparation, M.M.; writing—review and editing, M.M., J.A., D.P., G.P. and D.M.; visualization, M.M. and G.P.; supervision, M.M., G.P. and D.M.; project administration, M.M. All authors have read and agreed to the published version of the manuscript.
Funding
This research received no external funding.
Institutional Review Board Statement
Not applicable.
Informed Consent Statement
Not applicable.
Data Availability Statement
Not applicable.
Acknowledgments
This research was financially supported by the Ministry of Education, Science, and Technological Development of the Republic of Serbia (Contract No. 451-03-9/2021-14/200109).
Conflicts of Interest
The authors declare no conflict of interest.
References
- Anghel, C.; Gupta, K.; Jen, T.C. Analysis and optimization of surface quality of stainless steel miniature gears manufactured by CO2 laser cutting. Optik 2020, 203, 164049. [Google Scholar] [CrossRef]
- Riveiro, A.; Quintero, F.; Lusquiños, F.; Comesaña, R.; Pou, J. Study of melt flow dynamics and influence on quality for CO2 laser fusion cutting. J. Phys. D Appl. Phys. 2011, 44, 135501. [Google Scholar] [CrossRef] [Green Version]
- Vagheesan, S.; Govindarajulu, J. Comparative regression and neural network modeling of roughness and kerf width in CO2 laser cutting of aluminium. Tech. Gaz. 2021, 28, 1437–1441. [Google Scholar]
- Varsi, A.M.; Shaikh, A.H. Experimental and statistical study on kerf taper angle during CO2 laser cutting of thermoplastic material. J. Laser Appl. 2019, 31, 032010. [Google Scholar] [CrossRef]
- Mishra, D.R.; Dutt, G.G.; Prakash, D.; Bajaj, A.; Sharma, A.; Bisht, R.; Gupta, S. Optimization of kerf deviations in pulsed Nd: YAG laser cutting of hybrid composite laminate using GRA. FME Trans. 2020, 48, 109–116. [Google Scholar] [CrossRef]
- Kechagias, J.D.; Ninikas, K.; Petousis, M.; Vidakis, N. Laser cutting of 3D printed acrylonitrile butadiene styrene plates for dimensional and surface roughness optimization. Int. J. Adv. Manuf. Technol. 2021, 205, 1–15. [Google Scholar] [CrossRef]
- Ninikas, K.; Kechagias, J.; Salonitis, K. The impact of process parameters on surface roughness and dimensional accuracy during CO2 laser cutting of PMMA thin sheets. J. Manuf. Mater. Process. 2021, 5, 74. [Google Scholar] [CrossRef]
- Russo Spena, P. CO2 laser cutting of hot stamping boron steel sheets. Metals 2017, 7, 456. [Google Scholar] [CrossRef] [Green Version]
- Li, C.; You, D. Analysis of striation formation and suppression strategy on upper edge of cutting surface in laser cutting. World J. Eng. Technol. 2017, 6, 201–213. [Google Scholar] [CrossRef] [Green Version]
- Lamikiz, A.; López de Lacalle, L.N.; Sánchez, J.A.; del Pozo, D.; Etayo, J.M.; López, J.M. Cutting parameters for the reduction in material degradation in the laser cutting of advanced high-strength steels. Proc. Inst. Mech. Eng. Part B J. Eng. Manuf. 2006, 220, 877–882. [Google Scholar] [CrossRef]
- Borkmann, M.; Mahrle, A.; Beyer, E.; Leyens, C. Cut edge structures and gas boundary layer characteristics in laser beam fusion cutting. In Proceedings of the Lasers in Manufacturing Conference (LIM 2019), Munich, Germany, 24–27 June 2019. [Google Scholar]
- Boujelbene, M.; Alghamdi, A.S.; Miraoui, I.; Bayraktar, E.; Gazbar, M. Effects of the laser cutting parameters on the micro-hardness and on the heat affected zone of the mi-hardened steel. Int. J. Adv. Appl. Sci. 2017, 4, 19–25. [Google Scholar] [CrossRef] [Green Version]
- Madić, M.; Mladenović, S.; Gostimirović, M.; Radovanović, M.; Janković, P. Laser cutting optimization model with constraints: Maximization of material removal rate in CO2 laser cutting of mild steel. Proc. Inst. Mech. Eng. Part B J. Eng. Manuf. 2020, 234, 1323–1332. [Google Scholar] [CrossRef]
- Makbul, H.; Viboon, T.; Chorkaew, J.; Chaiya, D. Laser cutting path optimization using simulated annealing with an adaptive large neighborhood search. Int. J. Adv. Manuf. Technol. 2019, 103, 781–792. [Google Scholar]
- Guarino, S.; Ponticelli, G.S.; Venettacci, S. Environmental assessment of selective laser melting compared with laser cutting of 316L stainless steel: A case study for flat washers’ production. CIRP J. Manuf. Sci. Technol. 2020, 31, 525–538. [Google Scholar] [CrossRef]
- Yilbas, B.S.; Shaukat, M.M.; Ashraf, F. Laser cutting of various materials: Kerf width size analysis and life cycle assessment of cutting process. Opt. Laser Technol. 2017, 93, 67–73. [Google Scholar] [CrossRef]
- Goppold, C.; Zenger, K.; Herwig, P.; Wetzig, A.; Mahrle, A.; Beyer, E. Experimental analysis for improvements of process efficiency and cut edge quality of fusion cutting with 1 μm laser radiation. Phys. Procedia 2014, 56, 892–900. [Google Scholar] [CrossRef]
- Wandera, C.; Kujanpaa, V. Characterization of the melt removal rate in laser cutting of thick-section stainless steel. J. Laser Appl. 2010, 22, 62–70. [Google Scholar] [CrossRef]
- Rodrigues, G.C.; Vorkov, V.; Duflou, J.R. Optimal laser beam configurations for laser cutting of metal sheets. Procedia CIRP 2018, 74, 714–718. [Google Scholar] [CrossRef]
- Pang, H.; Haist, T.; Haecker, T. Absorption of tailored laser beams within 3D laser cutting kerfs. J. Laser Appl. 2021, 33, 032007. [Google Scholar] [CrossRef]
- Arntz, D.; Petring, D.; Stoyanov, S.; Jansen, U.; Schneider, F.; Poprawe, R. In situ visualization of multiple reflections on the cut flank during laser cutting with 1 μ m wavelength. J. Laser Appl. 2018, 30, 032206. [Google Scholar] [CrossRef]
- Riveiro, A.; Quintero, F.; Boutinguiza, M.; Del Val, J.; Comesaña, R.; Lusquiños, F.; Pou, J. Laser cutting: A review on the influence of assist gas. Materials 2019, 12, 157. [Google Scholar] [CrossRef] [PubMed] [Green Version]
- Schuöcker, D.; Aichinger, J.; Majer, R. Dynamic phenomena in laser cutting and process performance. Phys. Procedia 2012, 39, 179–185. [Google Scholar] [CrossRef] [Green Version]
- Alkhawaldeh, O.; Coupland, J.; Jones, L.C. Increasing the efficiency of material removal using dual laser micromachining. Int. J. Adv. Manuf. Technol. 2020, 107, 3995–4007. [Google Scholar] [CrossRef]
- Mahrle, A.; Borkmann, M.; Pfohl, P. Factorial analysis of fiber laser fusion cutting of AISI 304 stainless steel: Evaluation of effects on process performance, kerf geometry and cut edge roughness. Materials 2021, 14, 2669. [Google Scholar] [CrossRef]
- Sharifi, M.; Akbari, M. Experimental investigation of the effect of process parameters on cutting region temperature and cutting edge quality in laser cutting of AL6061T6 alloy. Optik 2019, 184, 457–463. [Google Scholar] [CrossRef]
- Begic-Hajdarevic, D.; Ficko, M.; Cekic, A.; Klancnik, S.; Cohodar, M. Multi-response optimization of laser cutting parameters using grey relational analysis. In Proceedings of the 30th International DAAAM Symposium, Zadar, Croatia, 23–26 October 2019. [Google Scholar]
- Dubey, A.K.; Yadava, V. Multi-objective optimization of Nd:YAG laser cutting of nickel based superalloy sheet using orthogonal array with principal component analysis. Opt. Lasers Eng. 2008, 46, 124–132. [Google Scholar] [CrossRef]
- Joshi, P.; Sharma, A. Optimization of process parameters during laser beam cutting of Ni-based superalloy thin sheet along curved profile using grey-fuzzy methodology. J. Braz. Soc. Mech. Sci. Eng. 2018, 40, 389. [Google Scholar] [CrossRef]
- Tamilarasan, A.; Rajamani, D. Multi-response optimization of Nd: YAG laser cutting parameters of Ti-6Al-4V superalloy sheet. J. Mech. Sci. Technol. 2017, 31, 813–821. [Google Scholar] [CrossRef]
- Šibalija, T.; Petronić, S.; Milovanović, D. Experimental optimization of nimonic 263 laser cutting using a particle swarm approach. Metals 2019, 9, 1147. [Google Scholar] [CrossRef] [Green Version]
- Chaki, S.; Bose, D.; Bathe, R.N. Multi-objective optimization of pulsed Nd: YAG laser cutting process using entropy-based ANN-PSO model. Lasers Manuf. Mater. Process. 2020, 7, 88–110. [Google Scholar] [CrossRef]
- Ding, H.; Wang, Z.; Guo, Y. Multi-objective optimization of fiber laser cutting based on generalized regression neural network and non-dominated sorting genetic algorithm. Infrared Phys. Technol. 2020, 108, 103337. [Google Scholar] [CrossRef]
- Rao, R.V.; Rai, D.P.; Balic, J. A multi-objective algorithm for optimization of modern machining processes. Eng. Appl. Artif. Intell. 2017, 61, 103–125. [Google Scholar] [CrossRef]
- Yurdakul, M.; Tukel, T.; Tansel Ic, Y. Development of a goal programming model based on response surface and analytic hierarchy process approaches for laser cutting process optimization of St-52 steel plates. J. Adv. Manuf. Syst. 2021. [Google Scholar] [CrossRef]
- Rajamani, D.; Siva Kumar, M.; Balasubramanian, E.; Tamilarasan, A. Nd: YAG laser cutting of hastelloy C276: ANFIS modeling and optimization through WOA. Mater. Manuf. Process. 2021, 36, 1746–1760. [Google Scholar] [CrossRef]
- Das, P.P.; Chakraborty, S. Application of superiority and inferiority multi-criteria ranking method for parametric optimization of laser cutting processes. Process Integr. Optim. Sustain. 2020, 4, 409–427. [Google Scholar] [CrossRef]
- Madić, M.; Antucheviciene, J.; Radovanović, M.; Petković, D. Determination of laser cutting process conditions using the preference selection index method. Opt. Laser Technol. 2017, 89, 214–220. [Google Scholar] [CrossRef]
- Chakraborty, S.; Bhattacharyya, O.; Zavadskas, E.K.; Antucheviciene, J. Application of WASPAS method as an optimization tool in non-traditional machining processes. Inf. Technol. Control 2015, 44, 77–88. [Google Scholar]
- Girdu, C.C.; Gheorghe, C.; Radulescu, C.; Cirtina, D. Influence of process parameters on cutting width in CO2 laser processing of hardox 400 steel. Appl. Sci. 2021, 11, 5998. [Google Scholar] [CrossRef]
- Bakhtiyari, A.N.; Wang, Z.; Wang, L.; Zheng, H. A review on applications of artificial intelligence in modeling and optimization of laser beam machining. Opt. Laser Technol. 2021, 135, 106721. [Google Scholar] [CrossRef]
- Shrivastava, P.K.; Singh, B.; Shrivastava, Y.; Pandey, A.K.; Nandan, D. Investigation of optimal process parameters for laser cutting of Inconel-718 sheet. Proc. Inst. Mech. Eng. Part B J. Mech. Eng. Sci. 2020, 234, 1581–1597. [Google Scholar] [CrossRef]
- Zolfani, S.; Yazdani, M.; Pamučar, D.; Zarate, P. A VIKOR and TOPSIS focused reanalysis of the MADM methods based on logarithmic normalization. Fact. Univ. Ser. Mech. Eng. 2020, 18, 341–355. [Google Scholar]
- Ali, Y.; Mehmood, B.; Huzaifa, M.; Yasir, U.; Khan, A.U. Development of a new hybrid multi criteria decision-making method for a car selection scenario. Fact. Univ. Ser. Mech. Eng. 2020, 18, 357–373. [Google Scholar] [CrossRef]
- Petrović, G.S.; Madić, M.; Antucheviciene, J. An approach for robust decision making rule generation: Solving transport and logistics decision making problems. Expert Syst. Appl. 2018, 106, 263–276. [Google Scholar] [CrossRef]
- ISO 9013:2017, Thermal Cutting—Classification of Thermal Cuts—Geometrical Product Specification and Quality Tolerances. Available online: https://www.iso.org/standard/60321.html (accessed on 18 December 2021).
- Choudhury, I.A.; Shirley, S. Laser cutting of polymeric materials: An experimental investigation. Opt. Laser Technol. 2010, 42, 503–508. [Google Scholar] [CrossRef]
- Kurt, M.; Kaynak, Y.; Bagci, E.; Demirer, H.; Kurt, M. Dimensional analyses and surface quality of the laser cutting process for engineering plastics. Int. J. Adv. Manuf. Technol. 2009, 41, 259–267. [Google Scholar] [CrossRef]
- Sołtysiak, R.; Sołtysiak, A.; Wasilewski, P. Development of laser cutting technology with high quality of the cut surface. J. Mach. Constr. Maint. 2019, 2, 93–98. [Google Scholar] [CrossRef]
- Mushtaq, R.T.; Wang, Y.; Rehman, M.; Khan, A.M.; Mia, M. State-of-the-art and trends in CO2 laser cutting of polymeric materials—A review. Materials 2020, 13, 3839. [Google Scholar] [CrossRef]
- Pocorni, J.; Powell, J.; Ilar, T.; Schwartz, A.; Kaplan, A.F.H. Measuring the state-of the-art in laser cut quality. In Proceedings of the 14th NOLAMP Conference, Gothenburg, Sweden, 26–28 August 2013. [Google Scholar]
- Kellens, K. Energy and Resource Efficient Manufacturing: Unit Process Analysis and Optimisation. Ph.D. Thesis, Faculty of Engineering Science, KU Leuven, Leuven, Belgium, 2013. [Google Scholar]
- Pré Consultants, B.V. Eco-Indicator 99 Manual for Designers: A Damage Oriented Method for Life Cycle Impact Assessment; Ministry of Housing, Spatial Planning and the Environment: The Hague, The Netherlands, 2000. [Google Scholar]
- Duflou, J.R.; Kellens, K.; Dewulf, W. Environmental performance of sheet metal working processes. Key Eng. Mater. 2011, 473, 21–26. [Google Scholar] [CrossRef]
- Jacquemin, L.; Pontalier, P.Y.; Sablayrolles, C. Life cycle assessment (LCA) applied to the process industry: A review. Int. J. Life Cycle Assess. 2012, 17, 1028–1041. [Google Scholar] [CrossRef] [Green Version]
- Van Berkel, R. Cleaner production and eco-efficiency initiatives in Western Australia 1996–2004. J. Clean. Prod. 2007, 15, 741–755. [Google Scholar] [CrossRef]
- Byrne, G.; Scholta, E. Environmentally clean machining processes—A strategic approach. CIRP Ann. 1993, 42, 471–474. [Google Scholar] [CrossRef]
- Kizielewicz, B.; Więckowski, J.; Shekhovtsov, A.; Wątróbski, J.; Depczyński, R.; Sałabun, W. Study towards the time-based MCDA ranking analysis—A supplier selection case study. Fact. Univ. Ser. Mech. Eng. 2021, 19, 381–399. [Google Scholar] [CrossRef]
- Kushwaha, D.K.; Panchal, D.; Sachdeva, A. Risk analysis of cutting system under intuitionistic fuzzy environment. Rep. Mech. Eng. 2020, 1, 162–173. [Google Scholar] [CrossRef]
- Liu, N.; Xu, Z. An overview of ARAS method: Theory development, application extension, and future challenge. Int. J. Intell. Syst. 2021, 36, 3524–3565. [Google Scholar] [CrossRef]
- Zapolskytė, S.; Vabuolytė, V.; Burinskienė, M.; Antuchevičienė, J. Assessment of sustainable mobility by MCDM methods in the science and technology parks of Vilnius, Lithuania. Sustainability 2020, 12, 9947. [Google Scholar] [CrossRef]
- Lukić, R.; Kljenak, D.V.; Anđelić, S.; Gavrlilović, M. Application of WASPAS method in the evaluation of efficiency of agricultural enterprises in Serbia. Econ. Agric. 2021, 68, 375–388. [Google Scholar] [CrossRef]
- Ulutaş, A.; Stanujkić, D.; Karabašević, D.; Popović, G.; Zavadskas, E.K.; Smarandache, F.; Brauers, W.K. Developing of a novel integrated MCDM MULTIMOOSRAL approach for supplier selection. Informatica 2021, 32, 145–161. [Google Scholar] [CrossRef]
- Hassanpour, M. Evaluation of Iranian small and medium-sized industries using the DEA based on additive ratio model–a review. Fact. Univ. Ser. Mech. Eng. 2021, 18, 491–511. [Google Scholar] [CrossRef]
- Berkmanns, J.; Faerber, M. Laser Cutting: LASERLINE® Technical; Linde Gas LLC: Surrey, UK, 2008. [Google Scholar]
- Eltawahni, H.A.; Hagino, M.; Benyounis, K.Y.; Inoue, T.; Olabi, A.G. Effect of CO2 laser cutting process parameters on edge quality and operating cost of AISI316L. Opt. Laser Technol. 2012, 44, 1068–1082. [Google Scholar] [CrossRef] [Green Version]
- Kellens, K.; Rodrigues, G.C.; Dewulf, W.; Duflou, J.R. Energy and resource efficiency of laser cutting processes. Phys. Procedia 2014, 56, 854–864. [Google Scholar] [CrossRef] [Green Version]
- Croux, C.; Dehon, C. Influence functions of the Spearman and Kendall correlation measures. Stat. Methods Appl. 2010, 19, 497–515. [Google Scholar] [CrossRef] [Green Version]
- Montgomery, D. Design and Analysis of Experiments, 8th ed.; Wiley: Hoboken, NJ, USA, 2013. [Google Scholar]
- Gupta, M.K.; Sood, P.K. Machining comparison of aerospace materials considering minimum quantity cutting fluid: A clean and green approach. Proc. Inst. Mech. Eng. Part B J. Mech. Eng. Sci. 2017, 231, 1445–1464. [Google Scholar] [CrossRef]
- Kim, I.S.; Son, K.J.; Yang, Y.S.; Yaragada, P.K.D.V. Sensitivity analysis for process parameters in GMA welding processes using a factorial design method. Int. J. Mach. Tools Manuf. 2003, 43, 763–769. [Google Scholar] [CrossRef]
- Derringer, G.; Suich, R. Simultaneous optimization of several response variables. J. Qual. Technol. 1980, 12, 214–219. [Google Scholar] [CrossRef]
Publisher’s Note: MDPI stays neutral with regard to jurisdictional claims in published maps and institutional affiliations. |
© 2022 by the authors. Licensee MDPI, Basel, Switzerland. This article is an open access article distributed under the terms and conditions of the Creative Commons Attribution (CC BY) license (https://creativecommons.org/licenses/by/4.0/).




