Next Article in Journal
Research on the Influence of the Assembly Parameters of the Junction Surface of Ultrasonic Acoustic Components on the Acoustic Performance Parameters
Previous Article in Journal
Uncertainty Analysis of Suspension System Caused by Horizontal Misalignment and Its Suppression Method
 
 
Font Type:
Arial Georgia Verdana
Font Size:
Aa Aa Aa
Line Spacing:
Column Width:
Background:
Article

Kinematic Comparisons of Hybrid Mechanisms for Bone Surgery: 3-PRP-3-RPS and 3-RPS-3-PRP

1
Department of Mechanical Engineering, Institut Teknologi Sepuluh Nopember, Surabaya 60111, Indonesia
2
Faculty of Mechanical Engineering, The University of Danang-University of Technology and Education, Danang 550000, Vietnam
3
Department of Mechanical Engineering, National Central University, Taoyuan City 32001, Taiwan
*
Author to whom correspondence should be addressed.
Machines 2022, 10(11), 979; https://doi.org/10.3390/machines10110979
Submission received: 19 July 2022 / Revised: 10 September 2022 / Accepted: 18 October 2022 / Published: 26 October 2022
(This article belongs to the Section Automation and Control Systems)

Abstract

This paper proposes an approach to derive the Jacobian matrix of a hybrid mechanism by applying a velocity operator to the transformation matrix. This Jacobian matrix is capable of deducing hybrid singularities, which cannot be identified by using the screw-based Jacobian or velocity-based Jacobian. The transformation matrix was obtained based on the algebraic geometry approach, and it becomes the key point since it was used to not only formulate the Jacobian matrix, but also to define the motion type of hybrid mechanisms. In this paper, two hybrid mechanisms were investigated, which were composed of two distinct parallel mechanisms mounted in series. Hybrid Mechanisms 1 and 2 were composed of 3-PRP-3-RPS and 3-RPS-3-PRP (the underlined P is an actuated joint), respectively. The motion types of Hybrid Mechanisms 1 and 2 were determined from the product of the transformation matrices of the 3-PRP and 3-RPS parallel mechanisms, and vice versa. The developed method was employed to establish the Jacobian matrix to which the conditioning index was applied. Therefore, the kinematic performances of the two hybrid mechanisms can be compared for a given bone surgery trajectory within the workspace. It turns out that Hybrid Mechanism 1 has superior performance than that of Mechanism 2, which indicates that Mechanism 1 is better at transmitting power to the moving platform.

1. Introduction

Fractured bone fragments have to be positioned, aligned, and held in place so that the healing ossification can occur. Robotic mechanisms have been developed to solve this issue, which aim to reposition the bone fragments such that excessive forces and prolonged X-ray exposure can be avoided. Their structures can be categorized into two groups, serial mechanisms and parallel mechanisms. Serial mechanisms have a large motion space and flexibility; however, they are prone to collide with other medical equipment and have a small carrying capacity [1,2]. RepoRobo is a serial mechanism proposed by Füchtmeier et al. for bone reduction surgery by modifying the Stäubli serial robot [3]. An alternative to bone surgery is by using parallel mechanisms. Parallel mechanisms are compact, highly accurate, rigid, and stiff, but they have a limited workspace [2,4,5]. The Taylor spatial mechanism was proposed to help bone reduction surgery due to its stiffness and internal lengthening capability [6]. The internal lengthening reduces pain and other problems such as pin tract infection. Ortho-SUV was developed based on a computer-aided hexapod. It has a modular and changeable construction that can be customized more easily than other devices [7]. The advantages of ortho-SUV were based on the original SUV platform and features such as free assembly, advanced struts, the best reduction capabilities, stable fixation, image-based software, and wide indications for effective use [8].
Due to the limitations of serial and parallel mechanisms, a hybrid mechanism is introduced by combining parallel–serial or parallel–parallel mechanisms. It brought a positive compromise between the high rigidity of the parallel mechanism and the bigger workspace of the serial mechanism and the possibility to bypass or avoid singular configurations. Thus, the hybrid mechanism offers more advantages in terms of flexibility, reconfigurability, stiffness, accuracy, and dynamic performances [9,10]. The hybrid mechanism 3-RPS-3-SPR was assembled as two three-dof tripods in series [11]. In the same concept, And the 5-PUS-(2-UR)PU mechanism was designed to work with the processing of a spherical crown surface on an oversized cylindrical box [12]. Hybrid mechanism are also studied as a solution in medical fields such as rehabilitation. This was the case of a (2-UPS + U), (R + RPS), and (2-RR) with a large workspace [2]. A serial–parallel hybrid architecture was proposed for the locomotion of a three-legged robot [13]. For the development of a machining tool robot, a new 2PRU-(2PRU)R hybrid mechanism with five dofs was designed and experimented on [14]. In the same application, a (2-PPa)P/PPaP serial–parallel hybrid mechanism using a parallelogram linkage (Pa) with five dofs was proposed [15]. The hybrid mechanisms 3-PRP-3-RPS and 3-RPS-3-PRP were proposed by Essomba et al. [16,17]. These mechanisms were constructed by two parallel mechanisms, namely the 3-PRP and 3-RPS stacked on top of each other forming either 3-PRP-3-RPS or 3-RPS-3-PRP, depending on which mechanism becomes the base and the moving platform. Thanks to the hybrid architecture, it had a larger workspace compared to the Taylor spatial mechanism [16].
The kinematic performance and design of robot mechanisms are closely related. Several robot design criteria have been proposed to evaluate the robot kinematic behavior and to design a well-conditioned robot mechanism [18]. The most evaluated workspaces are the constant-orientation workspace, the reachable workspace, and the dexterous workspace [19]. The constant-orientation workspace is defined as the region reachable by a center point of the moving platform when its orientation is kept constant [19,20]. The reachable workspace is the volume in which each point within can be reached in at least one orientation. Lastly, the dexterous workspace means that the points within the volume are reachable by the end-effector in all orientations [21]. The evaluation indexes can be divided into two types: evaluation based on the Jacobian matrix, such as the singular-value index, manipulability index, Local Condition Index (LCI), and Global Condition Index (GCI); and the transmissibility index [22,23]. The LCI is used to evaluate performance at every robot pose and the closeness of a pose to a singularity for a given trajectory and robot control. The GCI is used mainly for robot performance comparison at the design level or to place the robot base relative to the task trajectory [24,25]. The Jacobian matrix of the mechanisms with coupled translation and rotational motion is prone to be non-homogenous [25]. By applying the theory of a reciprocal screw, a 6 × 6 -dimensional homogeneous Jacobian matrix can be formed, although only instantaneous motion available to the moving platform is considered [26]. The transmissibility index pays attention to the power/motion transmission ability of the mechanisms [22,23,27].
An approach to formulate a Jacobian matrix of a hybrid mechanism was developed in this paper by computing the velocity operator to the transformation matrix, which becomes the main contribution of the paper. The advantage of using the proposed Jacobian matrix for the hybrid mechanism is to reveal the hybrid singularities, which cannot be detected by using the screw-based Jacobian or velocity-based Jacobian. Therefore, a new definition “Hybrid singularity” was also introduced. By computing the inverse of the conditioning index to the proposed Jacobian matrix, the kinematic performances of two hybrid mechanisms, namely 3-PRP-3-RPS (Hybrid Mechanism 1) and 3-RPS-3-PRP (Hybrid Mechanism 2) for bone surgery, as illustrated in Figure 1, were investigated. Their kinematic performances were compared for a given trajectory. The original purpose of creating hybrid mechanisms in [16] was to perform six-degree-of-freedom (dof) motion with a bigger workspace compared to the traditional six-dof parallel mechanisms. In order for the robotic mechanism to operate, each fragment of the broken bone is rigidly attached to the base and the moving platform. Surgical nails are directly inserted into the bone fragment under the patient’s skin and connected to the mechanism structure. In the illustration given in Figure 1, one bone fragment would be attached to the mechanism base in blue and the other to the mechanism’s mobile platform in red.

2. Mechanism Representation

The architectures of the proposed Hybrid Mechanism 1 and Hybrid Mechanism 2 are shown in Figure 2a,b, respectively. Hybrid Mechanism 1 is composed of 3-PRP as the proximal module and 3-RPS as the distal module. On the contrary, the proximal and distal modules of Hybrid Mechanism 2 are composed of 3-RPS and 3-PRP, respectively. They can be summarized as follows:
  • Hybrid Mechanism 1: 3-PRP-3-RPS;
  • Hybrid Mechanism 2: 3-RPS-3-PRP.
Detailed geometric descriptions of each parallel mechanism, i.e., 3-PRP and 3-RPS, are discussed hereafter.
Figure 2. Geometric description: (a) Hybrid Mechanism 1, (b) Hybrid Mechanism 2.
Figure 2. Geometric description: (a) Hybrid Mechanism 1, (b) Hybrid Mechanism 2.
Machines 10 00979 g002

2.1. 3-PRP Parallel Mechanism

Figure 3 shows the 3-PRP parallel mechanism. This mechanism was initially introduced by Daniali et al. [28], and its kinematics was discussed by Chablat et al. [29]. Its mobile platform can move along the two axes of the horizontal plane and rotate around an axis that is orthogonal with this plane, which means two linear dofs and one angular dof. The 3-PRP has therefore a three-dof planar motion. It is stated that this mechanism is able to perform three-dof planar motion.
The base is an equilateral triangle whose vertices are defined by A i ( i = 1 , 2 , 3 ) with circumradius a. The moving platform is also an equilateral triangle denoted by B i with circumradius b. Three PRP legs connect the base and moving platform. The axis of the revolute joint is perpendicular to both prismatic joints. The directions of the prismatic joints mounted on the base and moving platform are parallel to the same plane. M i and N i respectively denote both prismatic joints attached to the base and moving platform.
The prismatic joint represented by the point M i is mounted on the base and is actuated, with i = 1 , 2 , or 3 regarding the mechanism leg considered. The displacement of prismatic joint M i is given by the variable r i measured from point A i and the displacement of prismatic joint N i by the variable l i from point B i .
The coordinate system is defined by the axes ( U , V , W ) and located at the base. The coordinates of the prismatic joints M i and N i with respect to ( U , V , W ) are given by vector m i and n i , the coordinates of which are determined as follows:
m 1 = a 3 r 1 2 r 1 2 0 1 , m 2 = a 2 3 a 2 r 2 0 1 , m 3 = a 2 + 3 r 1 2 3 a 2 r 3 2 0 1
n 1 = b 3 l 1 2 l 1 2 0 1 , n 2 = b 2 3 b 2 l 2 0 1 , n 3 = b 2 + 3 l 1 2 3 b 2 l 3 2 0 1

2.2. 3-RPS Parallel Mechanism

Figure 4 depicts the 3-RPS parallel mechanism proposed by Hunt [30]. This mechanism consists of the base and moving platform of equilateral triangles. This mechanism is well known to generate two rotations around the horizontal axes and one linear motion along the vertical axis, which gives two angular dofs and one linear dofs. This mechanism has therefore three dofs. The base and moving platform are confined by revolute joint D i of circumradius d and spherical joint E i of circumradius e. The base and moving platform are linked by three RPS legs whose prismatic joint is actuated. The displacement of the prismatic joint is denoted by r 4 , r 5 , and r 6 .
The new coordinate system for the 3-RPS parallel mechanism is defined by the axes ( P , Q , R ). It is located in the middle of the base. The coordinates of each revolute joint D i and spherical joint E i with respect to ( P , Q , R ) are described as follows:
d 1 = d 0 0 1 , d 2 = d 2 3 d 2 0 1 , d 3 = d 2 3 d 2 0 1
e 1 = 1 e 0 0 , e 2 = 1 e 2 3 e 2 0 , e 3 = 1 e 2 3 e 2 0

3. Type of Motion

This section will investigate the type of motion performed by the 3-PRP parallel mechanism, 3-RPS parallel mechanism, and Hybrid Mechanisms 1 and 2. Initially, the transformation matrix was determined since it plays a key role in physically describing the type of motion. Denavit–Hartenberg (DH) parameters and the Linear Implicitization Algorithm (LIA) were used to derive the constraint equations and transformation matrix of the 3-PRP parallel mechanism. The LIA was introduced by Walter et al. [31] to overcome the tedious elimination procedure when formulating constraint equations of a kinematic chain. The transformation matrix of the 3-RPS parallel mechanism was already derived in [32], and it will be adopted for analysis in this paper. Eventually, the transformation matrices of Hybrid Mechanisms 1 and 2 were computed from the product of transformation matrices of 3-PRP and 3-RPS. In addition to the type of motion, the presence of parasitic motion can be observed by the presence of a rotational component within the translational component from the transformation matrix. Parasitic motion is a dependent movement that accompanies independent movement, whose direction or axes of coupled rotation–translation change over time [33]. The parasitic motion of Hybrid Mechanisms 1 and 2 will be interpreted in this section. In this paper, the design parameters of Hybrid Mechanisms 1 and 2 were considered to be the same values as:
a = b = d = e = 100 mm

3.1. 3-PRP Parallel Mechanism

The constrained motion of a single PRP leg is defined in a polynomial equation by using an algebraic–geometric approach and the LIA. The canonical pose of a PRP serial chain is selected such that the rotation axis is about the z-axis of the base coordinate system, and their common normals become the x-axis, as shown in Figure 5. For the established coordinate system, the DH convention is employed to parametrize a single PRP serial chain, and the DH parameters are provided in Table 1.
The corresponding DH link parameters are substituted into the following matrix:
F = Σ i · Γ i , i = 1 , 2 , 3
where
Σ i = cos ( θ i ) sin ( θ i ) 0 0 sin ( θ i ) cos ( θ i ) 0 0 0 0 1 d i 0 0 0 1 , Γ i = 1 0 0 a i 0 cos ( α i ) sin ( α i ) 0 0 sin ( α i ) cos ( α i ) 0 0 0 0 0
According to the established coordinate system of the 3-PRP parallel mechanism in Section 2, the translational displacements are denoted by U, V, and W. The rotational displacements are defined in homogeneous representation based on quaternions, namely p 0 , p 1 , p 2 , and p 3 . Computing these parameters and applying the LIA to Equation (6), the constraint equation of a PRP leg is obtained as follows:
h 1 : ( 3 a + 3 b 2 V ) p 1 + ( 2 U a b ) p 2 + 2 W p 0 = 0 h 2 : ( 2 U a + b ) p 1 + ( 3 a + 3 b + 2 V ) p 2 + 2 W p 3 = 0 h 3 : p 2 3 p 1 = 0 h 4 : p 1 + 3 p 2 = 0
Coordinate transformations were performed in the base and moving platform to determine constraint the equations of the whole mechanism. This yielded 12 constraint equations in total, which are not written here due to space reasons. By computing the Groebner basis with graded reverse lexicographic order, the 12 equations were reduced into four monomials in an ideal I , as follows:
I = p 1 , p 2 W p 0 , W p 3
The components p 1 and p 2 show that the rotations about the horizontal axes do not exist. The components W p 0 and W p 3 were solved and yielded W = 0 , which shows that the translational motion along the vertical direction does not exist. These components, i.e., p 1 = p 2 = W = 0 , were substituted into a transformation matrix, becoming:
T 3 - P ̲ R P = p 0 2 p 3 2 2 p 0 p 3 0 U 2 p 0 p 3 p 0 2 p 3 2 0 V 0 0 1 0 0 0 0 1
The matrix T 3 - P ̲ R P describes the motion type of the 3-PRP mechanism. This mechanism is able to perform one rotation about the W-axis and two translational motions along the U and V directions. p 0 and p 3 in the matrix T 3 - P ̲ R P define the rotational motion, which should satisfy the normalization equation: p 0 2 + p 3 2 1 = 0 . This result confirms that the 3-PRP parallel mechanism is able to achieve three-dof planar motion.

3.2. 3-RPS Parallel Mechanism

In this section, the 3-RPS parallel mechanism’s motion characterization differs from the 3-PRP parallel mechanism. Thus, the rotational parameters should be defined by different notations, namely ( q 0 , q 1 , q 2 , q 3 ). According to Section 2, the linear displacements of the 3-RPS mechanism are defined by P , Q , and R.
The kinematic behaviors of the 3-RPS parallel mechanism have been extensively studied by many researchers. By using the algebraic geometry approach, two distinct operation modes were found and investigated in [32]. In this paper, only one operation mode q 3 = 0 was analyzed, and the following transformation matrix characterizes it:
T 3 - R P ̲ S = ( q 0 2 + q 1 2 q 2 2 ) 2 q 1 q 2 2 q 0 q 2 e ( q 1 2 q 2 2 ) 2 q 1 q 2 q 0 2 q 1 2 + q 2 2 2 q 0 q 1 2 q 1 q 2 e 2 q 0 q 2 2 q 0 q 1 q 0 2 q 1 2 q 2 2 R 0 0 0 1
Transformation matrix T 3 R P ̲ S defines that the 3-RPS parallel mechanism can perform a translational movement along the vertical axis, defined by R. In addition to one-dof translations, this mechanism is able to achieve two-dof rotational motion, defined by q 0 , q 1 , q 2 . During the mechanism motion, the parameters q 0 , q 1 , q 2 should fulfil q 0 2 + q 1 2 + q 2 2 1 = 0 at all times.

3.3. Hybrid Mechanism 1: 3-PRP-3-RPS

Hybrid Mechanism 1 is composed of 3-PRP as a proximal module and 3-RPS as a distal module, as shown in Figure 2a. Based on the respective kinematics of these two individual mechanisms, the hybrid mechanism can move its moving platform with six dofs (three linear and three angular). The mechanism platform is displaced along a vertical axis and orientated around two horizontal axes, driven by a planar motion. The type of motion of this mechanism is determined by the product of two matrices, namely T 3 P ̲ R P and T 3 R P ̲ S , as follows:
T 1 = T 3 - P ̲ R P T 3 - R P ̲ S = κ 1 κ 2 κ 3 X κ 4 κ 5 κ 6 Y κ 7 κ 8 κ 9 Z 0 0 0 1
where
κ 1 = ( p 0 2 p 3 2 ) ( q 0 2 + q 1 2 q 2 2 ) 4 p 0 p 3 q 1 q 2 κ 7 = 2 q 0 q 2 κ 2 = ( 2 ( p 0 2 p 3 2 ) ) q 1 q 2 2 p 0 p 3 ( q 0 2 q 1 2 + q 2 2 ) κ 8 = 2 q 0 q 1 κ 3 = ( 2 ( p 0 2 p 3 2 ) ) q 0 q 2 + 4 p 0 p 3 q 0 q 1 κ 9 = q 0 2 q 1 2 q 2 2 κ 4 = 2 p 0 p 3 ( q 0 2 + q 1 2 q 2 2 ) + ( 2 ( p 0 2 p 3 2 ) ) q 1 q 2 κ 5 = 4 p 0 p 3 q 1 q 2 + ( p 0 2 p 3 2 ) ( q 0 2 q 1 2 + q 2 2 ) κ 6 = 4 p 0 p 3 q 0 q 2 ( 2 ( p 0 2 p 3 2 ) ) q 0 q 1
Matrix T 1 describes that Hybrid Mechanism 1 is able to perform three-dof rotational motions given by κ 1 to κ 9 . The linear displacement Z is a one-dof pure translational motion contributed by the 3-RPS. The two-dof translational motions X and Y are coupled to the rotations ( p 0 , p 3 , q 0 , q 1 , q 2 ), which are known as parasitic motion. In order to ensure the correctness of the kinematic model, the expression of the parasitic motion shall be derived and integrated in the model. The Cartesian workspace generated by parasitic motion is characterized as follows:
X = U + ( p 0 2 p 3 2 ) ( q 1 2 q 2 2 ) c + 4 p 0 p 3 q 1 q 2 e Y = V + 2 p 0 p 3 c ( q 1 2 q 2 2 ) ( 2 ( p 0 2 p 3 2 ) ) q 1 q 2 e Z = R
For a given value of translational parameters (U, V, R), the geometric center of the moving platform swings away on the X Y -plane, and its workspace is always a circle, as shown in Figure 6. The volumes displayed represent the displacement of the mechanism end-effector for a full rotation about axes U and V. This motion is referred to as parasitic motion along the axes X and Y.

3.4. Hybrid Mechanism 2: 3-RPS-3-PRP

The proximal and distal modules of Hybrid Mechanism 2 are composed of 3-RPS and 3-PRP, respectively, as shown in Figure 2b. According to the kinematics of the mechanisms it is composed of, this hybrid mechanism also has six dofs (three linear and three angular). However, its kinematics is different: its mobile platform follows a planar motion that is oriented around two horizontal axes and displaced along a vertical axis. The motion performed by the moving platform is defined by the transformation matrix as follows:
T 2 = T 3 - R P ̲ S T 3 - P ̲ R P = ε 1 ε 2 ε 3 X ε 4 ε 5 ε 6 Y ε 7 ε 8 ε 9 Z 0 0 0 1
where
ε 1 = ( q 0 2 + q 1 2 q 2 2 ) ( p 0 2 p 3 2 ) + 4 q 1 q 2 p 0 p 3 ε 2 = ( 2 ( q 0 2 + q 1 2 q 2 2 ) ) p 0 p 3 + 2 q 1 q 2 ( p 0 2 p 3 2 ) ε 3 = 2 q 0 q 2 ε 4 = 2 q 1 q 2 ( p 0 2 p 3 2 ) + ( 2 ( q 0 2 q 1 2 + q 2 2 ) ) p 0 p 3 ε 5 = 4 q 1 q 2 p 0 p 3 + ( q 0 2 q 1 2 + q 2 2 ) ( p 0 2 p 3 2 ) ε 6 = 2 q 0 q 1 ε 7 = 2 q 0 q 2 ( p 0 2 p 3 2 ) + 4 q 0 q 1 p 0 p 3 ε 8 = 4 q 0 q 2 p 0 p 3 + 2 q 0 q 1 ( p 0 2 p 3 2 ) ε 9 = q 0 2 q 1 2 q 2 2
Matrix T 2 shows that Hybrid Mechanism 2 can exhibit three-dof rotational motion expressed by ε 1 to ε 9 . Unlike Hybrid Mechanism 1, the three-dof translational motions of the hybrid mechanism are fully coupled to the rotational motion. This generates parasitic motions, which are parametrized as follows:
X = ( q 0 2 + q 1 2 q 2 2 ) U + 2 q 1 q 2 V + c ( q 1 2 q 2 2 ) Y = 2 q 1 q 2 U + ( q 0 2 q 1 2 + q 2 2 ) V 2 q 1 q 2 c Z = R 2 U q 0 q 2 + 2 V q 0 q 1
The geometric center of the moving platform covers a three-dimensional surface when performing the parasitic motion, as shown in Figure 6.

4. Direct Kinematics of Hybrid Mechanisms

4.1. Hybrid Mechanism 1: 3-PRP-3-RPS

Constraint equations corresponding to the actuated length of Hybrid Mechanism 1 are composed of six equations, which can be derived as two parts. The first part is given by the actuated P-joints of the 3-PRP mechanism. The coordinate transformation of point N i of the 3-PRP mechanism is performed as: N i = T 3 - P ̲ R P · n i . Thus, the equations of the actuated joints of the 3-PRP mechanism are:
f i : N i M i = 0 f i : eliminate l i from f i x , f i y
where
f 1 : ( 4 3 V 4 U + 2 a ) p 0 2 + ( 4 3 U 2 3 a 4 V + 4 r 1 ) p 0 p 3 + 2 3 V + 2 U a b f 2 : ( 8 U + 2 a ) p 0 2 + ( 2 3 a + 8 V + 4 r 2 ) p 0 p 3 4 U a b f 3 : ( 4 3 V 4 U + 2 a ) p 0 2 + ( 4 3 U 2 3 a 4 V + 4 r 3 ) p 0 p 3 2 3 V + 2 U a b
The second part of the equations is given by the 3-RPS mechanism. The coordinate transformation is performed for points D i and E i as: D i = T 3 - P ̲ R P · d i and E i = T 1 · e i . Hence, the equations of the actuated joints of the 3-RPS mechanism are as follows:
f k : E i D i r k 2 = 0 , i = 1 , 2 , 3 , k = 4 , 5 , 6
where
f 4 : 5 e 2 q 0 4 + ( 20 q 1 2 e 2 6 d e 8 e 2 ) q 0 2 4 R q 0 q 2 e + 16 e 2 q 1 4 + ( 8 d e 16 e 2 ) q 1 2 + R 2 r 4 2 + d 2 + 4 d e + 4 e 2 f 5 : e 2 q 0 4 + ( 2 3 q 1 q 2 e 2 10 e 2 q 1 2 + e 2 ) q 0 2 + ( 2 3 R q 1 e + 2 R q 2 e ) q 0 2 d e + e 2 8 e 2 q 1 4 + 8 3 e 2 q 1 3 q 2 + ( 4 d e + 8 e 2 ) q 1 2 + ( 4 3 d e 4 3 e 2 ) q 1 q 2 + R 2 r 5 2 + d 2 f 6 : e 2 q 0 4 + ( 2 3 q 1 q 2 e 2 + 10 e 2 q 1 2 e 2 ) q 0 2 + ( 2 3 R q 1 e 2 R q 2 e ) q 0 + 2 d e e 2 + 8 e 2 q 1 4 + 8 3 e 2 q 1 3 q 2 + ( 4 d e 8 e 2 ) q 1 2 + ( 4 3 d e 4 3 e 2 ) q 1 q 2 R 2 + r 6 2 d 2
The magnitude of rotational parameters p 0 , p 3 of the 3-PRP mechanism and q 0 , q 1 , q 2 of the 3-RPS mechanism should be bounded by the normalization conditions as:
f 7 : q 0 2 + q 1 2 + q 2 2 1 = 0 f 8 : p 0 2 + p 3 2 1 = 0
Without substituting specific values of the prismatic lengths and design parameters, an elimination is computed to eight equations ( f 1 , , f 8 ) for parameters q 0 , q 1 , q 2 , p 0 , p 3 , U , V , and R. This yields a univariate polynomial of degree thirty-six. Two solutions describe the same pose of a mechanism; hence, the number of solutions is halved, becoming eighteen solutions. This means that the solutions of the direct kinematics are at most eighteen, and some of them can be complex.

4.2. Hybrid Mechanism 2: 3-RPS-3-PRP

For Hybrid Mechanism 2, the constraint equations related to actuated joints are composed of six equations as well. However, the first three equations are contributed by the 3-RPS mechanism, and the last three equations are given by the 3-PRP mechanism. Coordinate transformation of point E i of the 3-RPS mechanism is computed as: E i = T 3 - RPS · e i . Accordingly, the equations related to the actuated joints of the 3-RPS mechanism are as follows:
g i : E i D i r k 2 = 0 , i = 1 , 2 , 3 , k = 4 , 5 , 6
where
g 1 : 5 e 2 q 0 4 + 20 e 2 q 0 2 q 1 2 + 16 e 2 q 1 4 4 R e q 0 q 2 6 d e q 0 2 8 d e q 1 2 8 e 2 q 0 2 16 e 2 q 1 2 + R 2 + d 2 + 4 d e + 4 e 2 r 1 2 g 2 : 2 3 q 0 2 q 1 q 2 e 2 + 8 3 q 1 3 q 2 e 2 q 0 4 e 2 10 q 0 2 q 1 2 e 2 8 q 1 4 e 2 + 2 3 R q 0 q 1 e + 4 3 q 1 q 2 d e 4 3 q 1 q 2 e 2 + 2 R q 0 q 2 e + 4 q 1 2 d e + q 0 2 e 2 + 8 q 1 2 e 2 + R 2 + d 2 2 d e + e 2 r 2 2 g 3 : 2 3 q 0 2 q 1 q 2 e 2 8 3 q 1 3 q 2 e 2 q 0 4 e 2 10 q 0 2 q 1 2 e 2 8 q 1 4 e 2 2 3 R q 0 q 1 e 4 3 q 1 q 2 d e + 4 3 q 1 q 2 e 2 + 2 R q 0 q 2 e + 4 q 1 2 d e + q 0 2 e 2 + 8 q 1 2 e 2 + R 2 + d 2 2 d e + e 2 r 3 2
The coordinate transformation of points M i and N i of the 3-PRP mechanism was carried out as: M i = T 3 - RPS · m i and N i = T 2 · n i . Therefore, the last three equations related to the actuated joints of the 3-PRP mechanism can be determined as follows:
g k : N i M i = 0 g k : eliminate l i from f k x , f k y
where
g 4 : ( 2 3 V 2 U + 2 a ) p 0 2 + ( 2 3 U 2 3 a 2 V + 4 r 1 ) p 0 p 3 + 3 V + U a b g 5 : ( 4 U 2 a ) p 0 2 + ( 2 3 a 4 V 4 r 2 ) p 0 p 3 + 2 U + a + b g 6 : ( 2 3 V + 2 U 2 a ) p 0 2 + ( 2 3 U + 2 3 a + 2 V 4 r 3 ) p 0 p 3 + 3 V U + a + b
Like Hybrid Mechanism 1, the normalization equations are included as constraint equations of Hybrid Mechanism 2, as follows:
g 7 : q 0 2 + q 1 2 + q 2 2 1 = 0 g 8 : p 0 2 + p 3 2 1 = 0
Like Hybrid Mechanism 1, an elimination process was performed on eight equations ( g 1 , , g 8 ) without assigning specific values to the joint lengths and design parameters. The computation led to a univariate polynomial of degree thirty six. This means that the number of direct kinematics of Hybrid Mechanism 2 is also eighteen.

5. Singularity Analysis

The traditional Jacobian matrix, obtained from the partial derivative of constraint equations f 1 , , f 8 and g 1 , , g 8 with respect to the motion parameters as in [34], fails to indicate the singularities of Hybrid Mechanisms 1 and 2. Thus, an approach to derive the Jacobian matrix by applying a velocity operator to the transformation matrix is defined in this paper.
Initially, the rotational parameters p 0 , p 3 , q 0 , q 1 , and q 2 were characterized by Euler angles to illustrate the contribution of mechanism rotations in singularities easily. Parameters p 0 , p 3 belonging to the 3-PRP mechanism are characterized by the angle α and q 0 , q 1 , q 2 belonging to the 3-RPS mechanism are characterized by the angle ϕ , θ as follows:
q 0 = c θ 2 p 0 = c α q 1 = s θ 2 c ϕ p 3 = s α q 2 = s θ 2 s ϕ
The movements of Hybrid Mechanisms 1 and 2 are now defined by six parameters ( α , ϕ , θ , U , V , R ). The time derivative of those parameters becomes the input velocity of the hybrid mechanisms, as:
x ˙ = θ ˙ ϕ ˙ α ˙ U ˙ V ˙ R ˙
Let t be the moving platform twist expressed as follows:
t = ω x ω y ω z v o x v o y v o z
By applying the velocity operator to transformation matrix, twist t can be determined from the components of matrix A, as follows:
A = T ˙ T 1
where
A ( θ ˙ , ϕ ˙ , α ˙ , U ˙ , V ˙ , R ˙ ) = 0 0 0 0 v o x 0 ω z ω y v o y ω z 0 ω x v o z ω y ω x 0
Matrix A is expressed in terms of twist ( α ˙ , ϕ ˙ , θ ˙ , U ˙ , V ˙ , R ˙ ) and its coefficients. By collecting the coefficients into a separate matrix, a new hybrid Jacobian matrix J is determined. This Jacobian matrix defines the relationship between twist t and input velocity x ˙ , as follows:
t = J x ˙
Equation (29) is applied to the transformations matrices of 3-PRP, 3-RPS, and Hybrid Mechanisms 1 and 2, to obtain the corresponding Jacobian matrices. Only Jacobian matrices of Hybrid Mechanisms 1 and 2 are described as follows:
J 1 = Ω a 0 Ω b I and J 2 = Ω c 0 Ω d Ω e
Detailed mathematical expressions of Ω a , Ω b , Ω c , Ω d , Ω e are given in Appendix A. If the determinant of Jacobian J 1 or J 2 is null, it is called a hybrid singularity.
Hybrid Mechanisms 1 and 2 will encounter singularities if and only if one out of four conditions is satisfied, namely:
  • The 3-PRP mechanism is in a singularity, and the 3-RPS mechanism is not in a singularity, i.e., det ( J 3 - P ̲ R P ) = 0 and det ( J 3 - R P ̲ S ) 0
  • The 3-PRP mechanism is not in a singularity, and the 3-RPS mechanism is in a singularity, i.e., det ( J 3 - P ̲ R P ) 0 and det ( J 3 - R P ̲ S ) = 0
  • The 3-PRP mechanism and 3-RPS mechanism are simultaneously in singularities, i.e., det ( J 3 - P ̲ R P ) = det ( J 3 - R P ̲ S ) = 0
  • The 3-PRP mechanism and 3-RPS mechanism are not in singularities, but Hybrid Mechanism 1 or 2 is in a hybrid singularity, i.e., det ( J 3 - P ̲ R P ) 0 , det ( J 3 - R P ̲ S ) 0 , det ( J 1 ) = 0 or det ( J 2 ) = 0 .
The vanishing conditions of the 3-PRP and 3-RPS parallel mechanisms, i.e., det ( J 3 - P ̲ R P ) = 0 and det ( J 3 - R P ̲ S ) = 0 , were discussed in [29,32], and the results were used in this paper. The 3-PRP parallel mechanism is subjected to a singularity at the home pose, when the orientation of the moving platform is the same as the base, i.e., α = 0 or α = 2 π .
The singularities of 3-RPS and Hybrid Mechanisms 1 and 2 are obtained from the vanishing conditions of the determinant of the Jacobian, as follows:
det ( J 3 - R P ̲ S ) = 2 R ( 32 cos 6 ( ϕ ) 48 cos 4 ( ϕ ) + 18 cos 2 ( ϕ ) 3 ) c 2 B A cos 5 ( θ 2 ) + 2 A B C D sin ( ϕ ) c 2 ( A B c + b ) sin ( θ 2 ) cos 4 ( θ 2 ) R ( 128 cos ( ϕ ) 6 192 cos 4 ( ϕ ) + 72 cos ( ϕ ) 2 13 ) c 2 B A cos ( θ 2 ) 3 2 A B C D sin ( ϕ ) c ( 2 A B c 2 + 3 R 2 + 2 b 2 ) sin ( θ 2 ) cos 2 ( θ 2 ) R ( 64 A B cos 6 ( ϕ ) c 2 + 96 A B cos 4 ( ϕ ) c 2 36 A B cos 2 ( ϕ ) c 2 + 2 A B E b c 4 b 2 B A + 6 c 2 B A E R 2 ) cos ( θ 2 ) 2 sin ( ϕ ) R 2 ( b c ) sin ( θ 2 ) A B C D = 0
det ( J 1 ) = I
det ( J 2 ) = 4 c θ 2 4 c ϕ 4 + 4 c θ 2 4 c ϕ 2 s ϕ 2 4 c θ 2 4 c ϕ 2 8 c θ 2 2 c ϕ 4 8 c θ 2 2 c ϕ 2 s ϕ 2 + 8 c θ 2 2 c ϕ 2 + 4 c ϕ 4 + 4 c ϕ 2 s ϕ 2 2 c θ 2 2 4 c ϕ 2 + 1 = 0
where:
A = cos ( θ 2 ) 1 B = cos ( θ 2 ) + 1 C = 2 cos ( ϕ ) 1 D = 2 cos ( ϕ ) + 1 E = 2 cos 2 ( θ 2 ) 1
Equation (33a) shows that the dimension of the moving platform and its altitude affect the size of singularity loci of the 3-RPS parallel mechanism. The imaginary solution given in Equation (33b) defines that Hybrid Mechanism 1 never reaches the hybrid singularity. Equation (33c) describes that, for any moving platform dimension and altitude, the Hybrid Mechanism 2 will encounter a hybrid singularity when the moving platform tilts up to θ = π 2 , as shown in Figure 7. In this configuration, Hybrid Mechanism 2 fails to perform any motion on the horizontal plane. This means that the mechanism loses dofs.
By following Equation (33c), the singularity loci of Hybrid Mechanism 2 are illustrated in red in Figure 8. The singularity loci of the 3-RPS mechanism are also plotted in Figure 8 in blue. The singularity loci can be used to define the boundary of the mechanism workspace. Since the hybrid singularity does not exist for Hybrid Mechanism 1, its workspace is bounded only by the singularity loci of the 3-RPS mechanism, as shown in Figure 9a. The workspace of Hybrid Mechanism 2 is defined by the intersection of the singularity of 3-RPS and Hybrid Mechanism 2, as shown in Figure 9b. It can be noticed that the higher the moving platform altitude, the bigger the workspace is.

6. Performance Evaluation

The kinematic performances of Hybrid Mechanisms 1 and 2 were evaluated by using the condition index. The condition index is a measure of the amplification error of a kinematic chain. Considering a linear system in Equation (31), any relative error in t will be multiplied, resulting in a relative amplification error in x ˙ . The condition number has a minimum value of zero and no maximum value. The condition number is often used to describe the accuracy or dexterity of a robot and how close a pose is to a singularity. In this paper, the inverse of the condition number was used to describe the performance of Hybrid Mechanisms 1 and 2, as follows:
κ 1 1 = 1 J 1 1 J 1 κ 2 1 = 1 J 2 1 J 2
where J 1 and J 2 define the Jacobian of Hybrid Mechanisms 1 and 2 from Equations (32). The inverse of the condition number is bounded between 0 and 1; hence, κ 1 [ 0 , 1 ] .
The inverse of the condition number illustrates the ratio between the minimum and maximum singular values. The inverse of the condition number equal to 0 means that the Jacobian matrix is singular; thus, its determinant is equal to null. It also signifies that the pose of the mechanism is singular. When the inverse of the condition number of a pose is equal to 1, that pose is called an isotropic pose. This means that the mechanism in this pose can apply forces in all directions with equal ease.
For a given position (X and Y), the distributions of the inverse condition index are presented in Table 2. For any position of Hybrid Mechanism 1, all isocurves show a circular pattern centered at the workspace center, which means that the kinematic performance depends on angle θ and is not affected by angle ϕ . The inverse condition number reaches its maximum when the moving platform tilts up to θ = ± 45 , and the zone where is higher than 0.2 (meaning 67 % of its maximum value) extends from θ = 25 . 2 to 90 . The kinematic performance of Hybrid Mechanism 2 changes depending on the position of the moving platform. The inverse condition index becomes null when the mechanism is subjected to the hybrid singularity at θ = 90 , shown by the black curves. The maximum value is measured at 0.2 at θ = 45 , and the zone where it is higher than 0.1 (meaning 50 % of its maximum value) extends from θ = 14 . 4 to 45 . At the end, the kinematic performance over the workspace shows not only higher values for Hybrid Mechanism 1, but also a more stable and predictive distribution.
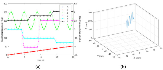
Two trajectories were generated for Hybrid Mechanisms 1 and 2, namely the oscillation trajectory and reduction trajectory, as shown in Figure 10 and Figure 11. The oscillation trajectory in Figure 10 was used for a test case. The trajectory for reduction surgery was established in [35] for an in-lab prototype experiment simulating a bone reduction using a 3-RRPS mechanism, as shown in Figure 12. This trajectory was adopted in this paper to compare the kinematic performance of both hybrid mechanisms.
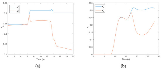
The inverse condition number of both hybrid mechanisms during the designated trajectories was evaluated and depicted in Figure 13. Hybrid Mechanism 1 is able to provide good performance until the final position is attained in both trajectories. At the final configuration, the kinematic performance of the robot is high. This capability is very beneficial for bone reduction surgery. On the other hand, Hybrid Mechanism 2 cannot maintain its performance for the same trajectories. In actual robot-assisted surgery, the robot will be operated autonomously under the supervision of the surgeons, who can manipulate the velocities or discontinue the process.

7. Conclusions

This paper carried out a kinematic analysis and performance evaluation of two hybrid mechanisms. These hybrid mechanisms are denoted as Hybrid Mechanism 1 (3-PRP-3-RPS) and Hybrid Mechanism 2 (3-RPS-3-PRP). The transformation matrix for each mechanism was derived, which became the main key of this paper. Based on the transformation matrix, the motion types of Hybrid Mechanisms 1 and 2 were described. A novel approach to derive a Jacobian matrix of a hybrid mechanism by using a transformation matrix was discussed. If the determinant of this Jacobian matrix is null, the mechanism is subjected to the hybrid singularity. It turned out that the hybrid singularity exists only for Hybrid Mechanism 2. The direct kinematics for both mechanisms was derived, and it turned out that both mechanisms have at most eighteen solutions, although some of them can be complex. The mechanisms’ performances were evaluated by using inverse condition numbers, and their distributions for a given position were analyzed. In order to illustrate the mechanism’s performance for a specific task, a trajectory was generated to be executed by both hybrid mechanisms. Hybrid Mechanism 1 exhibited a higher inverse condition number, indicating better kinematic performance.

Author Contributions

Analysis and draft preparation: C.R. and L.N., mechanism definition and bone reduction trajectory: S.N.P. and T.E. All authors have read and agreed to the published version of the manuscript.

Funding

This research was funded by the L’Oreal for Women in Science 2020 grant and the Ministry of Science and Technology of Taiwan, Grant No. MOST 108-2221-E-008-069-MY2.

Institutional Review Board Statement

Not applicable.

Informed Consent Statement

Not applicable.

Data Availability Statement

Not applicable.

Acknowledgments

The authors gratefully acknowledge financial support from the Institut Teknologi Sepuluh Nopember for this work, under project scheme of the Publication Writing and IPR Incentive Program (PPHKI) 2022 and this work was realized by the visit of the first author to National Central University, Taoyuan City, Taiwan, under double degree program.

Conflicts of Interest

The authors declare no conflict of interest.

Appendix A

Ω a = 2 c α 2 c ϕ 2 c α s α s ϕ c ϕ 2 s θ 2 2 c α 2 s ϕ + 2 c α s α c ϕ s ϕ c θ 2 0 2 c α 2 s ϕ + 2 c α s α c ϕ s ϕ 2 s θ 2 2 c α 2 c ϕ 2 c α s α s ϕ c ϕ c θ 2 0 0 2 ( c θ 2 1 ) ( c θ 2 + 1 ) 2
Ω b = r c ( 4 c ϕ 2 c α 2 + 4 s α c ϕ s ϕ c α 2 c α 2 2 c ϕ 2 + 1 ) c θ 2 s θ 2 A A 2 ( 2 c α 2 c ϕ s ϕ 2 c α s α c ϕ 2 + c α s α c ϕ s ϕ ) s θ 2 r c c θ 2 B B 0 0 0
where:
A = 4 r c ( c θ 2 1 ) ( c θ 2 + 1 ) ( 2 c α 2 c ϕ s ϕ 2 c ϕ 2 c α s α + c α s α c ϕ s ϕ ) B = 2 r c ( c θ 2 1 ) ( c θ 2 + 1 ) ( 4 c α 2 c ϕ 2 + 4 s α c ϕ s ϕ c α 2 c α 2 2 c ϕ 2 + 1 )
Ω c = c ϕ 2 c θ 2 s θ 2 s ϕ 4 c θ 2 s θ 2 s ϕ s ϕ 2 c θ 2 s θ 2 4 c θ 2 s θ 2 c ϕ 0 2 s θ 2 2 4 c θ 2 2 2
Ω d = 2 c θ 2 s θ 2 ( ( U + r b ) c ϕ 2 + c ϕ s ϕ V U r b 2 ) 4 ( V c ϕ 2 + s ϕ ( U + r b ) c ϕ + V 2 ) ( c θ 2 1 ) ( c θ 2 + 1 ) 0 2 ( ( U r b ) s ϕ V c ϕ ) c ϕ c θ 2 s θ 2 2 ( 2 c ϕ 2 U + 2 c ϕ s ϕ V 2 c ϕ 2 r b U + r b ) ( c θ 2 2 1 ) 0 2 c θ 2 2 1 2 ( U s ϕ V c ϕ ) 2 s θ 2 ( U c ϕ + V s ϕ ) c θ 2 0

References

  1. Bai, L.; Yang, J.; Chen, X.; Sun, Y.; Li, X. Medical Robotics in Bone Fracture Reduction Surgery: A Review. Sensors 2019, 19, 3593. [Google Scholar] [CrossRef] [PubMed]
  2. Wang, L.; Tian, J.; Du, J.; Zheng, S.; Niu, J.; Zhang, Z.; Wu, J. A Hybrid Mechanism-Based Robot for End-Traction Lower Limb Rehabilitation: Design, Analysis and Experimental Evaluation. Machines 2022, 10, 99. [Google Scholar] [CrossRef]
  3. Füchtmeier, B.; Egersdoerfer, S.; Mai, R.; Hente, R.; Dragoi, D.; Monkman, G.; Nerlich, M. Reduction of femoral shaft fractures in vitro by a new developed reduction robot system ‘RepoRobo’. Injury 2004, 35, S-A113. [Google Scholar] [CrossRef]
  4. Pusey, J.; Fattah, A.; Agrawal, S.; Messina, E. Design and workspace analysis of a 6–6 cable-suspended parallel robot. Mech. Mach. Theory 2004, 39, 761–778. [Google Scholar] [CrossRef]
  5. Desai, R.; Muthuswamy, S. A Forward, Inverse Kinematics and Workspace Analysis of 3RPS and 3RPS-R Parallel Manipulators. Iran. J. Sci. Technol. Trans. Mech. Eng. 2019, 45, 115–131. [Google Scholar] [CrossRef]
  6. Tan, B.B.; Shanmugam, R.; Gunalan, R.; Chua, Y.; Hossain, G.; Saw, A. A Biomechanical Comparison between Taylor’s Spatial Frame and Ilizarov External Fixator. Malays. Orthop. J. 2014, 8, 35–39. [Google Scholar] [CrossRef]
  7. Skomoroshko, P.V.; Vilensky, V.A.; Hammouda, A.I.; Fletcher, M.D.A.; Solomin, L.N. Mechanical rigidity of the Ortho-SUV frame compared to the Ilizarov frame in the correction of femoral deformity. Strateg. Trauma Limb Reconstr. 2022, 10, 5–11. [Google Scholar] [CrossRef]
  8. Solomin, L.; Vilensky, V.; Parihar, M. Ortho-SUV Frame. In Textbook of Orthopedics and Trauma, 3rd ed.; Jaypee Publishers: New Delhi, India, 2015; pp. 1199–1204. [Google Scholar]
  9. Romdhane, L. Design and analysis of a hybrid serial–parallel manipulator. Mech. Mach. Theory 1999, 34, 1037–1055. [Google Scholar] [CrossRef]
  10. Liu, Q.; Tian, W.; Li, B.; Ma, Y. Kinematics of a 5-axis hybrid robot near singular configurations. Robot. Comput.-Integr. Manuf. 2022, 75, 102209. [Google Scholar] [CrossRef]
  11. Nayak, A.; Caro, S.; Wenger, P. Kinematic analysis of the 3-RPS-3-SPR series–parallel manipulator. Robotica 2019, 37, 1240–1266. [Google Scholar] [CrossRef]
  12. Fang, H.-R.; Zhu, T.; Zhang, H.-Q.; Yang, H.; Jiang, B.-S. Design and Analysis of a Novel Hybrid Processing Robot Mechanism. Int. J. Autom. Comput. 2020, 17, 403. [Google Scholar] [CrossRef]
  13. Feller, D.; Siemers, C. Mechanical Design and Analysis of a Novel Three-Legged, Compact, Lightweight, Omnidirectional, Serial–Parallel Robot with Compliant Agile Legs. Robotics 2022, 11, 39. [Google Scholar] [CrossRef]
  14. Fang, H.; Tang, T.; He, Z.; Liu, Y.; Zhang, J. A novel hybrid machine tool integrating a symmetrical redundantly actuated parallel mechanism: Design, kinematics, prototype and experiment. Mech. Mach. Theory 2022, 176, 05013. [Google Scholar] [CrossRef]
  15. Zou, Q.; Zhang, D.; Huang, G. Dynamic performance evaluation of the parallel mechanism for a 3T2R hybrid robot. Mech. Mach. Theory 2022, 172, 104794. [Google Scholar] [CrossRef]
  16. Essomba, T.; Nguyen, S.P. Kinematic design of a hybrid planar-tripod mechanism for bone reduction surgery. Mech. Ind. 2020, 21, 403. [Google Scholar] [CrossRef]
  17. Pratiwi, A.; Phu, S.N.; Essomba, T.; Nurahmi, L. Comparisons of Hybrid Mechanisms Based on Their Singularities for Bone Reduction Surgery: 3-PRP-3-RPS and 3-RPS-3-PRP. In Digital Human Modeling and Applications in Health, Safety, Ergonomics and Risk Management. Human Body, Motion and Behavior; Lecture Notes in Computer Science; Springer: Cham, Switzerland, 2021; Volume 12777. [Google Scholar]
  18. Gasparetto, A.; Zanotto, V. Toward an optimal performance index for neurosurgical robot’s design. Robotica 2010, 28, 279–296. [Google Scholar] [CrossRef]
  19. Bonev, I.A.; Ryu, J. A new approach to orientation workspace analysis of 6-DOF parallel manipulators. Mech. Mach. Theory 2001, 36, 15–28. [Google Scholar] [CrossRef]
  20. Merlet, J.-P.; Gosselin, C.M.; Mouly, N. Workspaces of planar parallel manipulators. Mech. Mach. Theory 1998, 33, 7–20. [Google Scholar] [CrossRef]
  21. Christ, R.D.; Wernli, R.L. Manipulators. In The ROV Manual, 2nd ed.; Butterworth-Heinemann: Oxford, UK, 2014; p. 521. [Google Scholar]
  22. Xie, Z.; Li, G.; Liu, G.; Zhao, J. Optimal design of a Stewart platform using the global transmission index under determinate constraint of workspace. Adv. Mech. Eng. 2017, 9, 1687814017720880. [Google Scholar] [CrossRef]
  23. Pond, G.; Carretero, J.A. Formulating Jacobian matrices for the dexterity analysis of parallel manipulators. Mech. Mach. Theory 2006, 41, 1505–1519. [Google Scholar] [CrossRef]
  24. Zargarbashi, S.H.H.; Khan, W.; Angeles, J. The Jacobian condition number as a dexterity index in 6R machining robots. Robot. Comput.-Integr. Manuf. 2012, 28, 694–699. [Google Scholar] [CrossRef]
  25. Merlet, J.-P. Jacobian, Manipulability, Condition Number and Accuracy of Parallel Robots. J. Mech. Des. 2005, 128, 199–206. [Google Scholar] [CrossRef]
  26. Nurahmi, L.; Caro, S. Dimensionally Homogeneous Jacobian and Condition Number. Appl. Mech. Mater. 2016, 836, 42–47. [Google Scholar] [CrossRef]
  27. Wang, J.; Wu, C.; Liu, X.-J. Performance evaluation of parallel manipulators: Motion/force transmissibility and its index. Mech. Mach. Theory 2010, 45, 1462–1476. [Google Scholar] [CrossRef]
  28. Daniali, M.; Zsombor-Murray, P.J.; Angeles, J. Singularity analysis of planar parallel manipulators. Mech. Mach. Theory 1995, 30, 665–678. [Google Scholar] [CrossRef]
  29. Chablat, D.; Staicu, S. Kinematics of a 3-PRP Planar Parallel Robot. UPB Sci. Bull. Ser. Mech. Eng. 2009, 71, 3–16. [Google Scholar]
  30. Hunt, K.H. Structural Kinematics of In-Parallel-Actuated Robot-Arms. J. Mech. Transm. Autom. Des. 1983, 105, 705–712. [Google Scholar] [CrossRef]
  31. Walter, D.; Husty, M. On implicitization of kinematic constraint equations. Mach. Des. Res. 2010, 26, 218–226. [Google Scholar]
  32. Schadlbauer, J.; Walter, D.; Husty, M. The 3-RPS Parallel Manipulator from an Algebraic Viewpoint. Mech. Mach. Theory 2014, 75, 161–176. [Google Scholar] [CrossRef]
  33. Lin, R.; Guo, W.; Gao, F. On Parasitic Motion of Parallel Mechanisms. In Volume 5B: 40th Mechanisms and Robotics Conference, Proceedings of the ASME 2016 International Design Engineering Technical Conferences and Computers and Information in Engineering Conference, Charlotte, NC, USA, 21–24 August 2016; ASME: New York, NY, USA, 2016. [Google Scholar]
  34. Nurahmi, L.; Putrayudanto, P.; Wei, G.; Agrawal, S.K. Geometric Constraint-based Reconfiguration and Self-motions of a 4-CRU Parallel Mechanism. Mech. Robot. 2021, 13, 021017. [Google Scholar] [CrossRef]
  35. Essomba, T.; Nguyen Phu, S. Kinematic Analysis and Design of a Six-Degrees of Freedom 3-RRPS Mechanism for Bone Reduction Surgery. J. Med. Devices 2020, 15, 011101. [Google Scholar] [CrossRef]
Figure 1. Robot mechanism for bone reduction surgery.
Figure 1. Robot mechanism for bone reduction surgery.
Machines 10 00979 g001
Figure 3. 3-PRP parallel mechanism.
Figure 3. 3-PRP parallel mechanism.
Machines 10 00979 g003
Figure 4. 3-RPS parallel mechanism.
Figure 4. 3-RPS parallel mechanism.
Machines 10 00979 g004
Figure 5. PRP kinematic chain.
Figure 5. PRP kinematic chain.
Machines 10 00979 g005
Figure 6. Parasitic motions of Hybrid Mechanism 1 (red) and Hybrid Mechanism 2 (blue), which are, respectively, given by Equations (13) and (15): (a) 3D view, (b) top view, and (c) side view.
Figure 6. Parasitic motions of Hybrid Mechanism 1 (red) and Hybrid Mechanism 2 (blue), which are, respectively, given by Equations (13) and (15): (a) 3D view, (b) top view, and (c) side view.
Machines 10 00979 g006
Figure 7. Singularity pose of Hybrid Mechanism 2.
Figure 7. Singularity pose of Hybrid Mechanism 2.
Machines 10 00979 g007
Figure 8. Singularity loci of Hybrid Mechanism 2: (a) altitude R = 2 and (b) altitude R = 3 .
Figure 8. Singularity loci of Hybrid Mechanism 2: (a) altitude R = 2 and (b) altitude R = 3 .
Machines 10 00979 g008
Figure 9. Workspace bounded by singularity loci: (a) Hybrid Mechanism 1 and (b) Hybrid Mechanism 2.
Figure 9. Workspace bounded by singularity loci: (a) Hybrid Mechanism 1 and (b) Hybrid Mechanism 2.
Machines 10 00979 g009
Figure 10. Oscillation trajectory: (a) trajectory distribution and (b) 3D representation.
Figure 10. Oscillation trajectory: (a) trajectory distribution and (b) 3D representation.
Machines 10 00979 g010
Figure 11. Bone surgery trajectory of Hybrid Mechanisms 1 and 2: (a) trajectory distribution and (b) 3D representation.
Figure 11. Bone surgery trajectory of Hybrid Mechanisms 1 and 2: (a) trajectory distribution and (b) 3D representation.
Machines 10 00979 g011
Figure 12. Experiment on the robotic Hybrid Mechanism 1, before and after bone reduction.
Figure 12. Experiment on the robotic Hybrid Mechanism 1, before and after bone reduction.
Machines 10 00979 g012
Figure 13. Inverse condition index of Hybrid Mechanisms 1 and 2: (a) oscillation trajectory and (b) reduction trajectory.
Figure 13. Inverse condition index of Hybrid Mechanisms 1 and 2: (a) oscillation trajectory and (b) reduction trajectory.
Machines 10 00979 g013
Table 1. DH parameters of a PRP leg.
Table 1. DH parameters of a PRP leg.
θ i d i α i a i
10 d 1 π 2 0
2 θ 2 0 π 2 0
30 d 3 --
Table 2. Distribution of the inverse condition index for a given position.
Table 2. Distribution of the inverse condition index for a given position.
Hybrid Mechanism 1Hybrid Mechanism 2
X = 0 mm
Y = 0 mm
Machines 10 00979 i001Machines 10 00979 i002
X = 25 mm
Y = 25 mm
Machines 10 00979 i003Machines 10 00979 i004
X = 50 mm
Y = 50 mm
Machines 10 00979 i005Machines 10 00979 i006
X = 25 mm
Y = 25 mm
Machines 10 00979 i007Machines 10 00979 i008
X = 50 mm
Y = 50 mm
Machines 10 00979 i009Machines 10 00979 i010
Publisher’s Note: MDPI stays neutral with regard to jurisdictional claims in published maps and institutional affiliations.

Share and Cite

MDPI and ACS Style

Reinaldo, C.; Phu, S.N.; Essomba, T.; Nurahmi, L. Kinematic Comparisons of Hybrid Mechanisms for Bone Surgery: 3-PRP-3-RPS and 3-RPS-3-PRP. Machines 2022, 10, 979. https://doi.org/10.3390/machines10110979

AMA Style

Reinaldo C, Phu SN, Essomba T, Nurahmi L. Kinematic Comparisons of Hybrid Mechanisms for Bone Surgery: 3-PRP-3-RPS and 3-RPS-3-PRP. Machines. 2022; 10(11):979. https://doi.org/10.3390/machines10110979

Chicago/Turabian Style

Reinaldo, Christopher, Sinh Nguyen Phu, Terence Essomba, and Latifah Nurahmi. 2022. "Kinematic Comparisons of Hybrid Mechanisms for Bone Surgery: 3-PRP-3-RPS and 3-RPS-3-PRP" Machines 10, no. 11: 979. https://doi.org/10.3390/machines10110979

APA Style

Reinaldo, C., Phu, S. N., Essomba, T., & Nurahmi, L. (2022). Kinematic Comparisons of Hybrid Mechanisms for Bone Surgery: 3-PRP-3-RPS and 3-RPS-3-PRP. Machines, 10(11), 979. https://doi.org/10.3390/machines10110979

Note that from the first issue of 2016, this journal uses article numbers instead of page numbers. See further details here.

Article Metrics

Back to TopTop