Next Article in Journal
Effects of the Wiener Process and Beta Derivative on the Exact Solutions of the Kadomtsev–Petviashvili Equation
Next Article in Special Issue
Phase Portraits of Families VII and VIII of the Quadratic Systems
Previous Article in Journal
Integrating Fuzzy Rough Sets with LMAW and MABAC for Green Supplier Selection in Agribusiness
Previous Article in Special Issue
Solvability, Approximation and Stability of Periodic Boundary Value Problem for a Nonlinear Hadamard Fractional Differential Equation with p-Laplacian
 
 
Font Type:
Arial Georgia Verdana
Font Size:
Aa Aa Aa
Line Spacing:
Column Width:
Background:
Article

Asynchronous Switching Control of Discrete Time Delay Linear Switched Systems Based on MDADT

1
School of Science, Chongqing University of Posts and Telecommunications, Chongqing 400065, China
2
College of Automation, Chongqing University of Posts and Telecommunications, Chongqing 400065, China
*
Author to whom correspondence should be addressed.
Axioms 2023, 12(8), 747; https://doi.org/10.3390/axioms12080747
Submission received: 9 June 2023 / Revised: 22 July 2023 / Accepted: 26 July 2023 / Published: 29 July 2023
(This article belongs to the Special Issue Differential Equations in Applied Mathematics)

Abstract

Ideally, switching between subsystems and controllers occurs synchronously. In other words, whenever a subsystem requires switching, its corresponding sub-controller will be promptly activated. However, in reality, due to network delays, system detection, etc., the activation of candidate controllers frequently lags, which causes issues with asynchronous switching between controllers and subsystems. This asynchronous switching problem may affect system performance and even make the system unstable because the state between the subsystem and the controller may be inconsistent, resulting in the controller not being able to control the subsystem correctly. To keep the system stable while using asynchronous switching, this work suggests an asynchronous control technique for a class of discrete linear switching systems with time delay based on the mode-dependent average dwell time (MDADT). First, we construct a state feedback controller and establish a closed-loop system. In the asynchronous and synchronous intervals of subsystems and controllers, different Lyapunov functions are selected, and sufficient conditions for exponential stability and the H performance of the closed-loop system under asynchronous switching are obtained. In addition, using the MDADT switching strategy, the relevant parameters of each subsystem are designed and the corresponding state–feedback controller gain matrix can be obtained. Finally, a switching system with three subsystems is shown. The approach is confirmed by simulating it using the average dwell time (ADT) switching strategy and the MDADT switching strategy separately.

1. Introduction

A discrete system refers to all systems that are not continuous in time and space. They are ubiquitous in practical problems. It is expected that when computers assist people in simulating, controlling, and analyzing systems, they usually need to discretize time. In addition, there are some discrete mathematical models in the fields of biology, industry, and economics. For example, research on image encryption [1], human infectious diseases [2], and changes in the market economy [3] all require the application of discrete systems. A discrete switching system is an important type of discrete system. It realizes different functions and behaviors through state switching, and it can also realize complex logic operations, control, and decision-making functions.
The benefits of switching systems in terms of model composition have garnered increased attention. Switched systems are not only widely studied in theory but also have extensive applications in many engineering fields, such as electronic equipment [4], aerospace technology [5], traffic management [6], environmental governance [7], and others. The switched system is often a dynamical system made up of switching signals and a finite number of continuous or discrete dynamic subsystems. A piecewise constant function that depends on state or time is the switching signal, which is also known as the switching rule, switching strategy, or switching law. The stability of the switching system is somewhat impacted by the choice of switching signal. When an inappropriate switching signal is selected, the trajectories of the switched system that may make all subsystems stable are divergent; similarly, when a suitable switching signal is selected, it is possible to stabilize a switched system with unstable subsystems.
Research on switching signals is mainly reflected in the design of its dwell time. At present, typical research on switching signals mainly includes arbitrary switching signals [8], dwell time switching signals (DT) [9], average dwell time switching signals (ADT) [10], mode-dependent average dwell time switching signals (MDADT) [11], and persistent dwell time switching signals (PDT) [12]. DT restricts the switching time of two consecutive subsystems to be no less than a constant τ . ADT requires a constant τ a for the average running time of the subsystem in the limited switching interval. MDADT makes each subsystem have its own ADT, which reduces the conservativeness of research, so it has a broader range of applications compared with the former two. The PDT switching mechanism consists of fast switching and slow switching alternately: the τ part can represent slow switching and T part can represent fast switching. However, DT and ADT cannot represent fast switching because they have strict constraints on the number of switches in a given period. As this implies, PDT is more general than DT and ADT. The complexity of PDT is much higher than that of DT and ADT, so there are few related studies.
There have been abundant research achievements in switched systems on system stability analysis [13], tracking control problems [14], time delay problems [15], robust control [16], gain analysis [17], etc. In recent years, scholars have also paid more attention to asynchronous switching control [18,19,20,21,22,23]. Asynchronous switching refers to a situation where the subsystem does not match the controller; that is, the switching signals of the subsystem and the controller are inconsistent. Since the identification of subsystems and the matching of corresponding controllers takes a certain amount of time, asynchronous situations cannot be avoided. In [24], based on the asynchronous switching of subsystems and filters, the design of the filter for discrete switched T-S fuzzy systems was discussed. The challenge of designing a controller for time delay nonlinear switching systems with asynchronous switching was investigated in [25]. During this operation of the system, the system cannot always operate in an ideal state, and signal interference and fault phenomena are inevitable. If the cause and location of the fault cannot be found in time, certain losses will be caused. Therefore, introducing fault diagnosis and detection mechanisms is an essential means to ensure system security. Considering the filter and subsystem asynchrony, fault detection on switched systems is carried out in [26]. The time trigger control is frequently used in sampling control to sample periodically; however, because it samples in the form of cycles, wasting system resources, the proposed event trigger mechanism aims to overcome this problem by monitoring changes in system performance in real time by designing event triggers. Ref. [27] studies the multi-asynchronous switching issue in switching systems with event triggering. In contrast to the prior asynchrony, the system’s stability and controller design are investigated, along with the many asynchronous challenges of subsystems, event triggers, and controllers. Due to the reasons of the system itself or the technical limitations of the measurement means, it is impossible to measure all of the system’s status information. By constructing an observer and using the input or output information of the original system to construct a new system, studying the new system allows one to discover the pertinent characteristics of the previous system. In [28], the issue of observer design for nonlinear switching systems with asynchronous situations is covered. There are few studies on asynchronous control of discrete switched systems, and most of them are based on the ADT switching strategy. Thus, combining the MDADT approach with asynchronous switching is essential.
The asynchronous control problem of discrete time delay switched systems is investigated in this work using MDADT. The majority of research on switched systems up to now has centered on synchronous switching. The switched system finds it challenging to sustain synchronous switching in practical circumstances. Since each subsystem and sub-controller in the system operates at a different speed and responds to commands differently, the associated controller may still be working on the current task when the subsystem has begun to execute the next task. This affects the stability of the system by causing confusion over the order in which different subsystems and sub-controllers should be executed. The main problem with current asynchronous switching is how to ensure the stability of the whole system when the subsystem does not match the corresponding sub-controller. In this paper, we present a parameter associated with exponential decay that tackles this problem by restricting the proportion of matching and mismatching durations between the controller and its corresponding subsystem. The majority of earlier investigations used the ADT technique, which meant that the dwell time and other parameters for each subsystem were constant. However, these parameters are not optimal due to the differences in each subsystem. Relatively speaking, MDADT technology is more flexible. It allows each subsystem to choose the most-suitable parameters according to its own needs to determine its dwell time, and it can set the switching delay of each sub-controller so that they do not have to be all the same. The main motivation is to use this feature of MDADT to improve system performance, and this approach to system performance verification differs from earlier ones. The following are its primary contributions:
1. An innovative asynchronous control method is provided for discrete time delay switched systems.
2. Using the MDADT switching strategy, the switched system’s exponential stability and the necessary conditions for H performance are discovered, and the gain matrix of the controller is also computed.
The sections of this essay are organized as follows. The problem and definitions that apply to it are presented in Section 2. In Section 3, adequate requirements for exponential stability of discrete time delay switched systems and H performance are laid out, and controllers are also built. To test the efficacy of the asynchronous control method, Section 4 presents a discrete time delay switching system with two subsystems. Simulations are run under the ADT switching signal and the MDADT switching signal. Section 5 presents the results of the simulations of the example and the definition proof.
Notations: R n represents n-dimensional Euclidean vector space, L 2 [ 0 , ] is square integrable function space, · stands for Euclidean norm, X > 0 and X T are positive definite matrices and transpose matrices, λ m i n { } and λ m a x { } represent the minimum and maximum eigenvalues of the matrix, respectively, c o l { } represents a column vector, and ∗ represents the symmetric block in the block matrix.

2. Problem Statement

This section presents the discussed system and the design of the controller.

2.1. System Description

Consider the following discrete time delay linear switched system:
x ( ς + 1 ) = A σ ( ς ) x ( ς ) + B σ ( ς ) u ( ς ) + A 1 σ ( ς ) x ( ς d ) + B 1 σ ( ς ) ϖ ( ς ) , ς 0 z ( ς ) = C σ ( ς ) x ( ς ) + D σ ( ς ) u ( ς ) , ς 0 x ( ς ) = φ ( ς ) , ς { d , , 0 }
where x R n x , u R n u , and z R n z are the state vector, control input, and controlled output of the system, respectively; ϖ R n ϖ represents the disturbance input and belongs to L 2 [ 0 , ) ; φ ( ς ) represents the initial vector-valued function; and d represents a constant delay time. The symbol σ ( ς ) : N M = { 1 , 2 , , m } , m N + stands for the switching signal; { ( ς 0 , σ ( ς 0 ) ) , ( ς 1 , σ ( ς 1 ) ) , , ( ς l , σ ( ς l ) ) , , l = 0 , 1 , 2 , 3 , } represents the system’s switching time sequence; ς 0 indicates the initial switching time; and ς l indicates the l-th switching time. If the l-th subsystem is turned on, ς [ ς l , ς l + 1 ) results. A σ ( ς ) , B σ ( ς ) , A 1 σ ( ς ) , B 1 σ ( ς ) , C σ ( ς ) , and D σ ( ς ) are constant matrices.
Definition 1
([29]). For any switching signal σ ( ς ) , let N σ , j ( ς 0 , ς ) and T j ( ς 0 , ς ) denote the switching times and running times of the j-th subsystem activated on [ ς 0 , ς ) , respectively. If N 0 j > 0 , τ a j > 0 , such that
N σ , j ( ς 0 , ς ) N 0 j ( ς 0 , ς ) + T j ( ς 0 , ς ) τ a j , ς ς 0 0 ,
then τ a j and N 0 j are known as MDADT and the chatter bound, respectively.
Definition 2
([30]). The switched system is exponentially stable if there exist constants c > 0 and 0 < ζ < 1 such that the solution of the system satisfies:
x ( ς ) 2 < c ζ ( ς ς 0 ) x ( ς 0 ) 2 , ς > ς 0 .
Definition 3
([30]). Given δ > 0 and c > 0 , if the switching system is exponentially stable and under zero initial conditions, for all nonzero ϖ, the following inequality holds:
s = k 0 e c s z T ( s ) z ( s ) δ 2 s = k 0 ϖ T ( s ) ϖ ( s ) .
Then the switched system is exponentially stable with an exponential H index δ.
Lemma 1
([31]). For symmetric matrices X and W > 0 of any appropriate dimension and for any constant ξ, the following inequalities hold:
X W 1 X ξ 2 W 2 ξ X .

2.2. Controller

Establish a state–feedback controller in System (1):
u ( ς ) = K σ ( ς ) x ( ς ) ,
where σ ( ς ) and K σ ( ς ) represent the switching signal and control gain matrix of the controller, respectively. Let Δ l be the switching delay time of the controller relative to the subsystem, and satisfy Δ l < ς l + 1 ς l . Then { ( ς 0 + Δ 0 , σ ( ς 0 ) ) , ( ς 1 + Δ 1 , σ ( ς 1 ) ) , , ( ς l + Δ l , σ ( ς l ) ) , , l = 0 , 1 , 2 , 3 , } is the controller’s switching sequence.

2.3. Build a Closed-Loop System

Substituting the dynamic output feedback controller into the switching System (1), the following closed-loop switched system can be obtained:
x ( ς + 1 ) = ( A σ ( ς ) + B σ ( ς ) K σ ( ς ) ) x ( ς ) + A 1 σ ( ς ) x ( ς d ) + B 1 σ ( ς ) ϖ ( ς ) , ς 0 z ( ς ) = ( C σ ( ς ) + D σ ( ς ) K σ ( ς ) ) x ( ς ) , ς 0 x ( ς ) = φ ( ς ) , ς { d , , 0 }
If σ ( ς l ) = i , the i-th subsystem is activated at the moment of system switching ς l ; likewise, if σ ( ς l 1 ) = j , the j-th subsystem is enabled at the time of system switching ς l 1 . T ( ς 0 , ς ) and T + ( ς 0 , ς ) are utilized to indicate the matching and mismatching intervals between the subsystem and the controller while the system is running in [ ς 0 , ς ) . T ( ς ς 0 ) , and T + ( ς ς 0 ) represent the interval lengths of T ( ς 0 , ς ) and T + ( ς 0 , ς ) .
In [ ς l , ς l + Δ l ) , the l-th subsystem has already started running, but due to factors such as controller model recognition, the controller at this time is from the ( l 1 ) -th subsystem, which results in a mismatch between the subsystem and the controller. In [ ς l + Δ l , ς l + 1 ) , the l-th controller is activated and the subsystem matches the controller. Thus, System ( 2 ) is expressed as follows:
x ( ς + 1 ) = A ¯ i j x ( ς ) + A 1 i x ( ς d ) + B 1 i ϖ ( ς ) , z ( ς ) = C ¯ i j x ( ς ) , ς [ ς l , ς l + Δ l ) , x ( ς ) = φ ( ς ) ,
x ( ς + 1 ) = A ¯ i x ( ς ) + A 1 i x ( ς d ) + B 1 i ϖ ( ς ) , z ( ς ) = C ¯ i x ( ς ) , ς [ ς l + Δ l , ς l + 1 ) , x ( ς ) = φ ( ς ) ,
where A ¯ i j = A i + B i K j , C ¯ i j = C i + D i K j , A ¯ i = A i + B i K i , C ¯ i = C i + D i K i .
When ϖ = 0 , considering the stability of the system, System (3) becomes:
x ( ς + 1 ) = A ¯ i j x ( ς ) + A 1 i x ( ς d ) , ς [ ς l , ς l + Δ l ) , A ¯ i x ( ς ) + A 1 i x ( ς d ) , ς [ ς l + Δ l , ς l + 1 ) ,
where A ¯ i j = A i + B i K j , A ¯ i = A i + B i K i .

3. Main Results

For the above switched System (2), this section mainly discusses two issues:
(1) Solve the sufficient conditions for the time delay closed-loop switched System (2) to be exponentially stable and have the H performance index under asynchronous switching;
(2) Solve for the H controller gains based on the stability condition.
The following theorem gives sufficient conditions to ensure the exponential stability of System (4) by using multiple Lyapunov functions and the MDADT technique.
Theorem 1.
For System (4), given the parameters α i > 0 , β i > 0 , 0 < ε i * < β i , and μ i > 1 , if there exist matrices P i > 0 , Q i > 0 , and R i > 0 satisfying
e α i P i + Q i 0 ( A ¯ i j I ) T R i A ¯ i j T P i e d α i Q i A 1 i T R i A 1 i T P i d 1 R i 0 P i < 0 ,
e β i P i + Q i 0 ( A ¯ i I ) T R i A ¯ i T P i e d β i Q i A 1 i T R i A 1 i T P i d 1 R i 0 P i < 0 ,
P i μ i P j , Q i μ i Q j , R i μ i R j ,
i n f ς > ς 0 T σ ( ς f ) ( ς f + 1 ς f ) T σ ( ς f ) + ( ς f + 1 ς f ) α i + ε i * β i ε i * ,
where f ψ ( i ) = σ ( k f ) = i , i M , then System (4) is exponentially stable, and any MDADT switching signal satisfies
τ a i > l n ( μ i θ i ) ε i * .
Proof. 
When ς [ ς l , ς l + Δ l ) , the subsystem does not match the controller at this time. Consider the following Lyapunov function:
V α ( x ς , ς ) = x T ( ς ) P i x ( ς ) + s = ς d ς 1 e α i ( ς 1 s ) x T ( s ) Q i x ( s ) + r = 1 d 0 s = ς + r 1 ς 1 e α i ( ς 1 s ) h T ( s ) R i h ( s ) ,
where h ( s ) = x ( s + 1 ) x ( s ) .
Denote Δ V α ( x ς , ς ) = V α ( x ς + 1 , ς + 1 ) e α i V α ( x ς , ς ) and ξ ( ς ) = c o l ( x ( ς ) , x ( ς d ) ) . Then
Δ V α ( x ς , ς ) = V α ( x ς + 1 , ς + 1 ) e α i V α ( x ς , ς ) x T ( ς + 1 ) P i x ( ς + 1 ) e α i x T ( ς ) P i x ( ς ) + x T ( ς ) Q i x ( ς ) e d α i x T ( ς d ) Q i x ( ς d ) + d h T ( ς ) R i h ( ς )
It follows from (4) that
x T ( ς + 1 ) P i x ( ς + 1 ) = ξ T ( ς ) A ¯ i j A 1 i T P i A ¯ i j A 1 i ξ ( ς ) ,
and
d g T ( ς ) R i g ( ς ) = d ( x ( ς + 1 ) x ( ς ) ) T R i ( x ( ς + 1 ) x ( ς ) ) = d ξ T ( ς ) A ¯ i j I A 1 i T R i A ¯ i j I A 1 i ξ ( ς ) .
From (11)–(13), we can obtain
Δ V α ( x ς , ς ) = V α ( x ς , ς ) e α i V α ( x ς , ς ) ξ T ( ς ) Ω i j ξ ( ς ) ,
where
Ω i j = A ¯ i j A 1 i T P i A ¯ i j A 1 i + d i a g ( e α i P i + Q i , e d α i Q i ) + d A ¯ i j I A 1 i T R i A ¯ i j I A 1 i .
According to Schur’s complement, Equations (5) and (15) are equivalent; we can obtain
Δ V α ( x ς , ς ) = V α ( x ς + 1 , ς + 1 ) e α i V α ( x ς , ς ) 0 .
This implies
V α σ ( ς l ) ( x ς ) e α σ ( ς l ) ( ς ς l ) V α σ ( ς l ) ( x ς l ) .
When ς [ ς l + Δ l , ς l + 1 ) , the subsystem is matched with the controller at this time. Consider the following Lyapunov function:
V β ( x ς , ς ) = x T ( ς ) P i x ( ς ) + s = ς d ς 1 e β i ( s ς + 1 ) x T ( s ) Q i x ( s ) + r = 1 d 0 s = ς + r 1 ς 1 e β i ( s ς + 1 ) h T ( s ) R i h ( s ) ,
Denote Δ V β ( x ς , ς ) = V β ( x ς + 1 , ς + 1 ) e β i V β ( x ς , ς ) . Similarly, we have
Δ V β ( x ς , ς ) = V β ( x ς , ς ) e β i V β ( x ς , ς ) ξ T ( ς ) Ω i ξ ( ς ) ,
where
Ω i = A ¯ i A 1 i T P i A ¯ i A 1 i + d i a g ( e β i P i + Q i , e d β i Q i ) + d A ¯ i I A 1 i T R i A ¯ i I A 1 i .
According to Schur’s complement, Equations (6) and (20) are equivalent; we can obtain
Δ V β ( x ς , ς ) = V β ( x ς + 1 , ς + 1 ) e β i V β ( x ς , ς ) 0 .
Thus,
V β σ ( ς l ) ( x ς ) e β σ ( ς l ) ( ς ς l Δ l ) V β σ ( ς l ) ( x ς l + Δ l ) .
In the whole interval [ 0 , ς ] , the Lyapunov function consists of (10) and (18):
V σ ( ς ) ( ς ) = V α σ ( ς ) , ς [ ς l , ς l + Δ l ) , V β σ ( ς ) , ς [ ς l + Δ l , ς l + 1 ) .
From ( 7 ) , ( 10 ) and ( 18 ) , we have
V β ( x ς , ς ) μ i V α ( x ς , ς ) , V α ( x ς , ς ) θ i V β ( x ς , ς ) , ( θ i = μ i e ( α i + β i ) d ) .
When ς [ ς l , ς l + 1 ) , from (17), (22) and (24), we have
V σ ( ς l ) ( x ς ) e β σ ( ς l ) T ( ς l + 1 ς l ) V β σ ( ς l ) ( x ς l + Δ l ) μ σ ( ς l ) e β σ ( ς l ) T ( ς l + 1 ς l ) V α σ ( ς l ) ( x ς l + Δ l ) μ σ ( ς l ) e β σ ( ς l ) T ( ς l + 1 ς l ) e α σ ( ς l ) T + ( ς l + 1 ς l ) V α σ ( ς l ) ( x ς l ) μ σ ( ς l ) θ σ ( ς l ) e β σ ( ς l ) T ( ς l + 1 ς l ) e α σ ( ς l ) T + ( ς l + 1 ς l ) V β σ ( ς l ) ( x ς l ) μ σ ( ς l ) θ σ ( ς l ) e β σ ( ς l ) T ( ς l + 1 ς l ) e α σ ( ς l ) T + ( ς l + 1 ς l ) × μ σ ( ς l 1 ) θ σ ( ς l 1 ) e β σ ( ς l 1 ) T ( ς l ς l 1 ) e α σ ( ς l 1 ) T + ( ς l ς l 1 ) × V β σ ( ς l 1 ) ( x ς l 1 ) · · · μ σ ( ς l ) θ σ ( ς l ) μ σ ( ς l 1 ) θ σ ( ς l 1 ) · · · μ σ ( ς 1 ) θ σ ( ς 1 ) × e β σ ( ς l ) T ( ς l + 1 ς l ) e α σ ( ς l ) T + ( ς l + 1 ς l ) × e β σ ( ς l 1 ) T ( ς l ς l 1 ) e α σ ( ς l 1 ) T + ( ς l ς l 1 ) × · · · × e β σ ( ς 0 ) T ( ς 1 ς 0 ) e α σ ( ς 0 ) T + ( ς 1 ς 0 ) V σ ( ς 0 ) = i M ( μ i θ i ) N σ , i × e i M , f ψ ( i ) α i T + ( ς f + 1 ς f ) β i T ( ς f + 1 ς f ) × V σ ( ς 0 ) ( x ς 0 ) .
It follows from (8) that
α i T + ( ς l + 1 ς l ) β i T ( ς l + 1 ς l ) ε i * ( ς l + 1 ς l ) .
From (25) and (26), we can obtain
V σ ( ς l ) ( x ς ) i M ( μ i θ i ) N σ , i × e i M , f ψ ( i ) α i T + ( ς f + 1 ς f ) β i T ( ς f + 1 ς f ) × V σ ( ς 0 ) ( x ς 0 ) i M ( μ i θ i ) N σ , i × e i M , f ψ ( i ) ε i * ( ς f + 1 ς f ) V σ ( ς 0 ) ( x ς 0 ) e i M N 0 , i l n ( μ i θ i ) e i M , f ψ ( i ) ( l n ( μ i θ i ) τ a i ε i * ) ( ς f + 1 ς f ) V σ ( ς 0 ) ( x ς 0 ) .
Meanwhile, considering the Lyapunov function, there are positive numbers a ˜ and b ˜ satisfying
a ˜ x ( ς ) 2 V ( x ς ) b ˜ x ( ς ) 2 ,
where
a ˜ = m i n i M { λ m i n ( P i ) } , b ˜ = m a x i M { λ m a x ( P i ) } + d m a x i M { e d α i λ m a x ( Q i ) } + d ( d + 1 ) 2 m a x i M { e d α i λ m a x ( R i ) } .
By Definition 2, c = b ˜ a ˜ e 1 2 m a x i M { N 0 , i l n ( μ i θ i ) } is a constant, and 0 < ζ = e 1 2 m a x i M { l n ( μ i θ i ) τ a i ε i * } < 1 ; we have
x ( ς ) c ζ ( ς ς 0 ) x ( ς 0 ) .
Therefore, System (4) is exponentially stable. □
The following theorem provides sufficient conditions for resolving the controller gain of System (4) based on Theorem 1.
Theorem 2.
For System (4), given the parameters α i > 0 , β i > 0 , 0 < ε i * < β i , and μ i > 1 , if there exist matrices X i > 0 , Q i > 0 , R i > 0 , and Y i > 0 satisfying
Θ 1 0 Θ 2 Θ 3 X j Θ 4 X i A 1 i T X i A 1 i T 0 d 1 R i 0 0 X i 0 Q i < 0 ,
Θ 1 1 0 Θ 2 1 Θ 3 1 X i Θ 4 1 X i A 1 i T X i A 1 i T 0 d 1 R i 0 0 X i 0 Q i < 0 ,
μ i X j X j X i 0 , μ i Q j Q j Q i 0 , μ i R j R j R i 0 ,
where
Θ 1 = e α i ( X i 2 X j ) , Θ 2 = X j A i T + Y j T B i T X j , Θ 3 = X j A i T + Y j T B i T , Θ 4 = e d α i ( Q i 2 X i ) , Θ 1 1 = e β i X i , Θ 2 1 = X i A i T + Y i T B i T X i , Θ 3 1 = X i A i T + Y i T B i T , Θ 4 1 = e d β i ( Q i 2 X i ) .
Therefore, the corresponding state–feedback controller gain matrix K i = Y i X i 1 can be obtained.
Proof. 
Suppose the controller gain K i = Y i P i ; let X i = P i 1 , R i 1 = R i and Q i 1 = Q i . Multiply both sides of (5) by d i a g { X j , X i , R i , X i } at the same time, and multiply both sides of (6) by d i a g { X i , X i , R i , X i } at the same time. Through Lemma 1, we can obtain
X j P i X j X i 2 X j , X i Q i X i Q i 2 X i .
By Schur’s complement and (33), Conditions (30) and (31) are obtained. In addition, Condition (32) is obtained by multiplying both sides of the inequality (7) by X i , Q i , and R i , respectively.
According to Theorem 1, we establish the exponential stability of System (4) in the absence of perturbations and subsequently demonstrate that System (3) with perturbations satisfies the sufficient conditions for H performance. □
Theorem 3.
For System (3), given the parameters α i > 0 , β i > 0 , 0 < ε i * < β i , μ i > 1 , and γ > 0 , if there exist matrices P i > 0 , Q i > 0 , and R i > 0 satisfying
e α i P i + Q i 0 0 ( A ¯ i j I ) T R i A ¯ i j T P i C ¯ i j T e d α i Q i 0 A 1 i T R i A 1 i T P i 0 γ I B 1 i T R i B 1 i T P i 0 d 1 R i 0 0 P i 0 I < 0 ,
e β i P i + Q i 0 0 ( A ¯ i I ) T R i A ¯ i T P i C ¯ i T e d β i Q i 0 A 1 i T R i A 1 i T P i 0 γ I B 1 i T R i B 1 i T P i 0 d 1 R i 0 0 P i 0 I < 0 ,
P i μ i P j , Q i μ i Q j , R i μ i R j ,
i n f ς > ς 0 T σ ( ς f ) ( ς f + 1 ς f ) T σ ( ς f ) + ( ς f + 1 ς f ) α i + ε i * β i ε i * ,
where f ψ ( i ) = σ ( k f ) = i , i M , then the switched System (3) is exponentially stable and has H performance index γ ¯ = γ . Meanwhile, any MDADT switching signal satisfies
τ a i > l n ( μ i θ i ) ε i * .
Proof. 
Consider System (3): denote F ( ς ) = z T ( ς ) z ( ς ) γ ϖ T ( ς ) ϖ ( ς ) .
When ς [ ς l , ς l + Δ l ) , the subsystem does not match the controller at this time; we can obtain
V α σ ( ς l ) ( x ς ) e α σ ( ς l ) V α σ ( ς l ) ( x ς 1 ) F ( ς 1 ) .
By iterating through the formula, we have
V α σ ( ς l ) ( x ς ) e α σ ( ς l ) V α σ ( ς l ) ( x ς 1 ) F ( ς 1 ) e α σ ( ς l ) ( e α σ ( ς l ) V α σ ( ς l ) ( x ς 2 ) F ( ς 2 ) ) F ( ς 1 ) · · · e α σ ( ς l ) ( ς ς l ) V α σ ( ς l ) ( x ς l ) s = ς l ς l + Δ l 1 e α σ ( ς l ) ( ς l + Δ l s 1 ) F ( s ) .
When ς [ ς l + Δ l , ς l + 1 ) , the subsystem is matched with the controller at this time; we can obtain
V β σ ( ς l ) ( x ς ) e β i V β σ ( ς l ) ( x ς 1 ) F ( ς 1 ) .
Similarly, we can obtain
V β σ ( ς l ) ( x ς ) e β σ ( ς l ) V β σ ( ς l ) ( x ς 1 ) F ( ς 1 ) e β σ ( ς l ) ( e β σ ( ς l ) V σ ( ς l ) ( x ς 2 ) F ( ς 2 ) ) F ( ς 1 ) · · · e β σ ( ς l ) ( ς ς l Δ l ) V β σ ( ς l ) ( x ς l + Δ l ) s = ς l + Δ l ς 1 e β σ ( ς l ) ( ς s 1 ) F ( s ) .
From (24), combined with equations (40) and (42), when ς [ ς l , ς l + 1 ) , it can be known that
V σ ( ς l ) ( x ς ) e β σ ( ς l ) ( ς ς l Δ l ) V β σ ( ς l ) ( x ς l + Δ l ) s = ς l + Δ l ς 1 e β σ ( ς l ) ( ς s 1 ) F ( s ) μ σ ( ς l ) e β σ ( ς l ) ( ς ς l Δ l ) V α σ ( ς l ) ( x ς l + Δ l ) s = ς l + Δ l ς 1 e β σ ( ς l ) ( ς s 1 ) F ( s ) μ σ ( ς l ) e β σ ( ς l ) ( ς ς l Δ l ) ( e α σ ( ς l ) Δ l V α σ ( ς l ) ( x ς l ) s = ς l ς l + Δ l 1 e α σ ( ς l ) ( ς l + Δ l s 1 ) F ( s ) ) s = ς l + Δ l ς 1 e β σ ( ς l ) ( ς s 1 ) F ( s ) μ σ ( ς l ) e β σ ( ς l ) ( ς ς l Δ l ) ( e α σ ( ς l ) Δ l θ σ ( ς l ) V β σ ( ς l ) ( x ς l ) s = ς l ς l + Δ l 1 e α σ ( ς l ) ( ς l + Δ l s 1 ) F ( s ) ) s = ς l + Δ l ς 1 e β σ ( ς l ) ( ς s 1 ) F ( s ) μ σ ( ς l ) e β σ ( ς l ) ( ς ς l Δ l ) ( e α σ ( ς l ) Δ l θ σ ( ς l ) ( μ σ ( ς l 1 ) × e β σ ( ς l 1 ) ( ς l ς l 1 Δ l 1 ) ( e α σ ( ς l 1 ) Δ l 1 θ σ ( ς l 1 ) × V β σ ( ς l 1 ) ( x ς l 1 ) s = ς l 1 ς l 1 + Δ l 1 1 e α σ ( ς l 1 ) ( ς l 1 + Δ l 1 s 1 ) F ( s ) ) s = ς l 1 + Δ l 1 ς l 1 e β σ ( ς l 1 ) ( ς s 1 ) F ( s ) ) s = ς l ς l + Δ l 1 e α σ ( ς l ) ( ς l + Δ l s 1 ) F ( s ) ) s = ς l + Δ l ς 1 e β σ ( ς l ) ( ς s 1 ) F ( s ) · · · e β σ ( ς l ) ( ς ς l Δ l ) × ( e α σ ( ς l ) Δ l μ σ ( ς l ) θ σ ( ς l ) × · · · × μ σ ( ς 1 ) θ σ ( ς 1 ) × ( e β σ ( ς 0 ) ( ς 1 ς 0 Δ 0 ) × ( e α σ ( ς 0 ) Δ 0 V σ ( ς 0 ) ( x ς 0 ) s = ς 0 ς 0 + Δ 0 1 e α σ ( ς 0 ) ( ς 0 + Δ 0 s 1 ) F ( s ) ) s = ς 0 + Δ 0 ς 1 1 e β σ ( ς 0 ) ( ς 1 s 1 ) F ( s ) ) · · · s = ς l ς l + Δ l 1 e α σ ( ς l ) ( ς l + Δ l s 1 ) F ( s ) ) s = ς l + Δ l ς 1 e β σ ( ς l ) ( ς s 1 ) F ( s )
Under zero initial conditions, i.e., x ( ς 0 ) = 0 , from ( 37 ) and ( 43 ) , we have
s = ς 0 ς 1 e i M , f ψ ( i ) ε i * ( ς f + 1 s 1 ) z T ( s ) z ( s ) γ s = ς 0 ς 1 e i M , f ψ ( i ) ε i * ( ς f + 1 s 1 ) ϖ T ( s ) ϖ ( s ) .
Multiply both sides of (44) by e i M , f ψ ( i ) N σ , i ( s , ς f + 1 ) l n ( μ i θ i ) ; we have
s = ς 0 ς 1 e i M , f ψ ( i ) ε i * ( ς f + 1 s 1 ) + N σ , i ( s , ς f + 1 ) l n ( μ i θ i ) z T ( s ) z ( s ) γ s = ς 0 ς 1 e i M , f ψ ( i ) ε i * ( ς f + 1 s 1 ) + N σ , i ( s , ς f + 1 ) l n ( μ i θ i ) ϖ T ( s ) ϖ ( s ) .
Multiply both sides of inequality (45) by e i M , f ψ ( i ) N σ , i ( ς f , ς f + 1 ) l n ( μ i θ i ) ; we have
s = ς 0 ς 1 e i M , f ψ ( i ) ε i * ( ς f + 1 s 1 ) N σ , i ( ς f , s ) l n ( μ i θ i ) z T ( s ) z ( s ) γ s = ς 0 ς 1 e i M , f ψ ( i ) ε i * ( ς f + 1 s 1 ) N σ , i ( ς f , s ) l n ( μ i θ i ) ϖ T ( s ) ϖ ( s ) .
Note N σ , i ( ς f , s ) < s ς f τ a i . From (38), we have
N σ , i ( ς f , s ) l n ( μ i θ i ) ε i * ( s ς f ) .
It follows from (46) and (47) that
s = ς 0 ς 1 e i M , f ψ ( i ) ε i * ( ς f + 1 ς f 1 ) z T ( s ) z ( s ) γ s = ς 0 ς 1 e i M , f ψ ( i ) ε i * ( ς f + 1 s 1 ) ϖ T ( s ) ϖ ( s ) .
Thus,
s = ς 0 ς 1 e i M , f ψ ( i ) ε i * ( s ς f ) z T ( s ) z ( s ) γ s = ς 0 ς 1 ϖ T ( s ) ϖ ( s ) .
This implies
s = ς 0 e i M , f ψ ( i ) ε i * ( s ς f ) z T ( s ) z ( s ) γ s = ς 0 ϖ T ( s ) ϖ ( s ) .
According to Definition 3, System (3) is exponentially stable and has H performance index γ ¯ = γ .
The following theorem provides sufficient conditions for resolving the controller gain of System (3) based on Theorem 3. □
Theorem 4.
For System (3), given the parameters α i > 0 , β i > 0 , 0 < ε i * < β i , μ i > 1 , and γ > 0 , if there exist matrices X i > 0 , Q i > 0 , R i > 0 , and Y i > 0 satisfying
Σ 1 0 0 Σ 2 Σ 3 Σ 4 X j Σ 5 0 X i A 1 i T X i A 1 i T 0 0 γ I B 1 i T B 1 i T 0 0 d 1 R i 0 0 0 X i 0 0 I 0 Q i < 0 ,
Σ 1 1 0 0 Σ 2 1 Σ 3 1 Σ 4 1 X i Σ 5 1 0 X i A 1 i T X i A 1 i T 0 0 γ I B 1 i T B 1 i T 0 0 d 1 R i 0 0 0 X i 0 0 I 0 Q i < 0 ,
μ i X j X j * X i 0 , μ i Q j Q j * Q i 0 , μ i R j R j * R i 0 ,
where
Σ 1 = e α i ( X i 2 X j ) , Σ 2 = X j A i T + Y j T B i T X j , Σ 3 = X j A i T + Y j T B i T , Σ 4 = X j C i T + Y j T D i T , Σ 5 = e d α i ( Q i 2 X i ) , Σ 1 1 = e β i X i , Σ 2 1 = X i A i T + Y i T B i T X i , Σ 3 1 = X i A i T + Y i T B i T , Σ 4 1 = X i C i T + Y i T D i T , Σ 5 1 = e d β i ( Q i 2 X i ) .
Therefore, the corresponding state–feedback controller gain matrix K i = Y i X i 1 can be obtained.
Proof. 
Multiply both sides of (34) by d i a g { X j , X i , I , R i , X i , I } at the same time, and multiply both sides of (35) by d i a g { X i , X i , I , R i , X i , I } at the same time. Similarly, by Schur’s complement, conditions (51)–(53) can be obtained. □

4. Numerical Example

Consider the discrete time delay switching System (1) with three subsystems, whose parameters are set as follows:
A 1 = 0.1 0 0 0.2 , B 1 = 0.4 0 1.8 0.6 , A 11 = 0.6 0 0.5 0.7 , B 11 = 0.07 0 0 0.2 , C 1 = 0.6 0.8 1.7 0.5 , D 1 = 1.9 1 0.8 1.2 , A 2 = 0.01 0 0 0.08 , B 2 = 1.1 0.07 1.6 0.5 , A 12 = 0.1 0 0 0.2 , B 12 = 0.3 0 0 0.4 , C 2 = 0.3 1.4 0.8 1 , D 2 = 1 0.1 0.3 1.5 , A 3 = 0.1 0 0 0.1 , B 3 = 0.8 0.6 1.6 0.5 , A 13 = 0.1 0.1 0 0.8 , B 13 = 0.008 0 0 0.1 , C 3 = 0.3 1.6 1.5 1.1 , D 3 = 0.4 0.7 0.2 1.2 , ϖ ( ς ) = 2 ς s i n ( 2 ς ) 2 ς c o s ( 2 ς ) T .
We compare this switched system under the MDADT switching strategy and the ADT switching strategy. A set of appropriate data is chosen by contrasting the impact of each parameter on the system, as illustrated in Table 1. The MDADT switching strategy makes each subsystem have its own ADT; that is, the parameters of each subsystem are different. Choose α 1 = 1.7 , β 1 = 2.5 , μ 1 = 1.1 , and ε 1 * = 1.7 ; then obtain τ a 1 > 9.99 s by solving (9); similarly, choose α 2 = 1.2 , β 2 = 2.1 , μ 2 = 2.2 , and ε 2 * = 1.4 and obtain τ a 2 > 10.26 s; choose α 3 = 1.8 , β 3 = 2 , μ 3 = 2.3 , and ε 3 * = 1.3 and obtain τ a 3 > 12.97 s. By solving (51)–(53), we can get the gain matrix of the controller:
K 1 = 0.4062 0.7363 1.0538 1.1525 , K 2 = 0.2024 0.2399 0.6497 0.1711 , K 3 = 0.4055 0.1867 0.7019 0.0834 ,
The running time of each subsystem is the same when using the ADT switching strategy, so choose α = 1.8 , β = 2.5 , μ = 1.03 , and ε * = 1.7 , and obtain τ a > 10.15 s. By solving (51)–(53), we can get the gain matrix of the controller:
K 1 = 0.3793 1.0235 1.0086 1.2475 , K 2 = 0.1863 0.2506 0.7474 0.2720 , K 3 = 0.5937 0.3481 0.8036 0.0012 ,
To eliminate the impact of other variables, the MDADT switching strategy is chosen with the values α 1 = α 2 = α 3 = 1.8 , β 1 = β 2 = β 3 = 2.5 , μ 1 = μ 2 = μ 3 = 1.03 , ε 1 * = ε 2 * = ε 3 * = 1.7 ; however, two sets of distinct average dwell times τ a 1 = 11 s, τ a 2 = 12 s, τ a 3 = 14 s and τ a 1 = 11 s, τ a 2 = 13 s, τ a 3 = 15 s are selected. Because the parameters of these two groups are the same as those under the ADT switching strategy (but the dwell time of each subsystem is different), the controller gain matrices of these two groups are the same as those under the ADT switching strategy.
Figure 1, Figure 2, Figure 3 and Figure 4 describe the switching signals of the subsystem and controller. When ϖ = 0 , let x ( 0 ) = [ 0.3 , 2.3 ] T . The motion trajectories of the system under the switching strategy of ADT and MDADT are illustrated in Figure 5, Figure 6, Figure 7 and Figure 8, respectively. According to the graph, under the ADT switching strategy, the system gradually tends to be stable at 30 s, but it is still accompanied by fluctuations until it stabilizes at 60 s. The highest amplitude of the system is about 7.5, and the fluctuation is large before the system is stable. However, under the MDADT switching strategy, we can see that the system has stabilized around 30 s. Figure 6 has obvious fluctuations around 60 s and 96 s, Figure 7 also has obvious fluctuations around 62 s, and Figure 8 almost stabilizes after 30 s. Prior to achieving stability, it is noticeable that the vibration amplitude in Figure 5 is considerably greater than that in Figure 6, Figure 7 and Figure 8 and exhibits a clear and dramatic variation. On the other hand, the paths of the systems depicted in Figure 6, Figure 7 and Figure 8 exhibit comparatively smaller fluctuations within a specific range. Hence, we can observe that if the residence time of each subsystem is changed, the motion path of the system will be changed accordingly. In line with the MDADT switching strategy, we have the flexibility to select distinct parameters for each subsystem in order to modify its residence time, thereby facilitating rapid stabilization of the system.
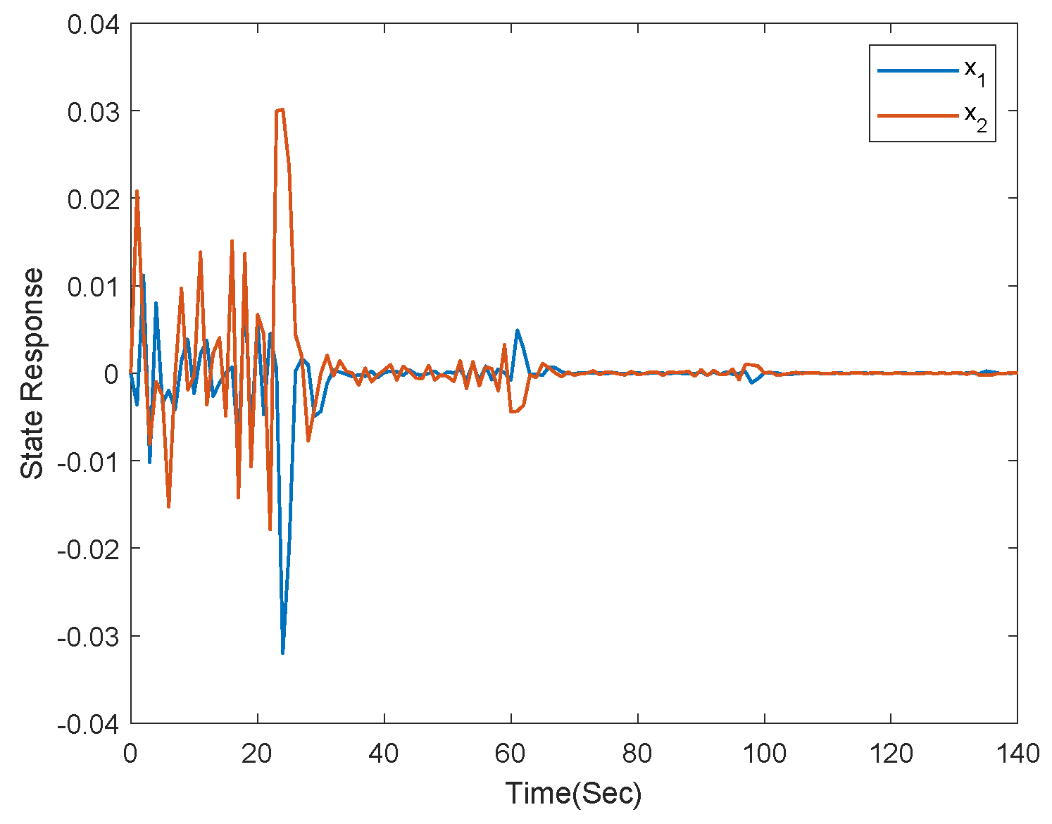
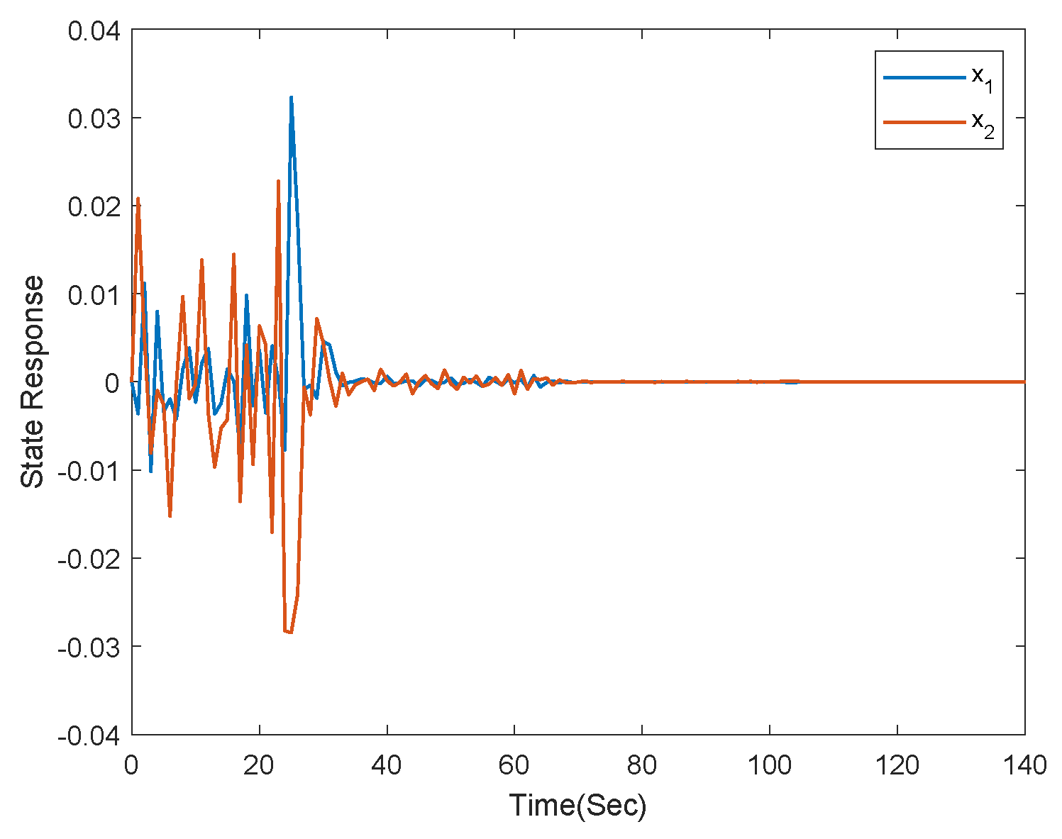
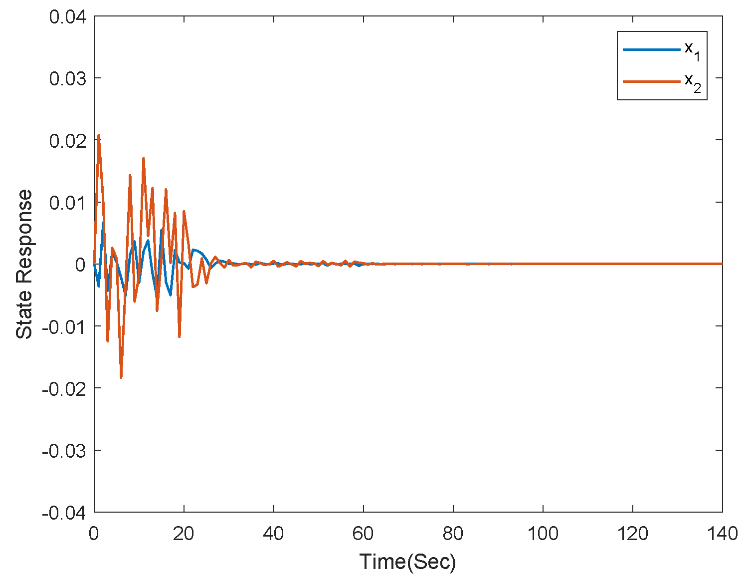
Let x ( 0 ) = [ 0 , 0 ] T when there is a disturbance. Figure 9, Figure 10, Figure 11 and Figure 12 depict the switching system’s movement trajectory under asynchronous switching based on the ADT switching strategy and the MDADT switching strategy. The figure shows that when using the ADT switching strategy, the system in Figure 9 experienced obvious drastic changes before it was stable, and it began to stabilize at about 30 s, but it was still accompanied by obvious fluctuations, and it was not completely stable until 57 s, with the largest amplitude being 0.038. In contrast, under the MDADT switching strategy, the system in Figure 10 tends to be stable at about 30 s, but there are still obvious fluctuations around 59 s and 97 s. The system in Figure 11 is generally stable around 33 s and has minimal fluctuations. The system in Figure 12 is nearly stable around 25 s, has significantly reduced fluctuation compared to Figure 9, and has a maximum amplitude of 0.021.
Therefore, under the MDADT switching strategy, we can set the dwell time for each subsystem so that the system can reach a stable state faster. However, the ADT switching strategy limits the dwell time for each subsystem, resulting in equal dwell times for each subsystem, which has certain limitations. Clearly, compared to the ADT switching strategy, the MDADT switching strategy can better maintain the robust performance of the system.

5. Conclusions

This study examines the asynchronous control problem for discrete time delay switched linear systems based on MDADT. In order to address the independent switching delay of the sub-controller in relation to the subsystem, a classification analysis is conducted, and distinct Lyapunov functions are chosen for the matching and mismatching intervals between the subsystem and the controller. According to the MDADT technique, the stability of the asynchronous switching system can be achieved by modifying the proportion between the matching period and the mismatching period. Ultimately, the simulation of a discrete time delay switching system with three subsystems under the ADT technique and the MDADT technique is given. The analysis of the data confirms the effectiveness of the designed asynchronous control method.

Author Contributions

Conceptualization and writing—original draft preparation, J.Y. and X.Q.; funding acquisition, J.Y.; software, X.Q.; writing—review and editing, X.Q. and Y.S. All authors have read and agreed to the published version of the manuscript.

Funding

This work is supported by National Natural Science Foundation of China (No. 61673079).

Data Availability Statement

The data that support the results of this study are available on request from the corresponding author upon reasonable request.

Conflicts of Interest

The authors declare no conflict of interest.

References

  1. Liu, X.; Tong, X.; Wang, Z.; Zhang, M. Uniform non-degeneracy discrete chaotic system and its application in image encryption. Nonlinear Dyn. 2022, 108, 653–682. [Google Scholar] [CrossRef]
  2. Diekmann, O.; Othmer, H.G.; Planqué, R.; Bootsma, M.C. The discrete-time Kermack–McKendrick model: A versatile and computationally attractive framework for modeling epidemics. Proc. Natl. Acad. Sci. USA 2021, 118, e2106332118. [Google Scholar] [CrossRef]
  3. Catania, L.; Di Mari, R.; Santucci de Magistris, P. Dynamic discrete mixtures for high-frequency prices. J. Bus. Econ. Stat. 2022, 40, 559–577. [Google Scholar] [CrossRef]
  4. Heidler, F.H.; Paul, C. On the use of high-power diodes as crowbar switch for capacitive high-current generators. IEEE Trans. Electromagn. Compat. 2021, 64, 166–171. [Google Scholar] [CrossRef]
  5. Wu, D.; Zhou, J.; Ye, H. Disturbance observer–based neural flight control for aircraft with switched time-varying distributed delays. Proc. Inst. Mech. Eng. Part G J. Aerosp. Eng. 2021, 235, 2451–2465. [Google Scholar] [CrossRef]
  6. Laurini, M.; Consolini, L.; Locatelli, M. A graph-based algorithm for optimal control of switched systems: An application to car parking. IEEE Trans. Autom. Control 2021, 66, 6049–6055. [Google Scholar] [CrossRef]
  7. Jin, Y.; Zhang, Y.; Jing, Y.; Fu, J. An average dwell-time method for fault-tolerant control of switched time-delay systems and its application. IEEE Trans. Ind. Electron. 2018, 66, 3139–3147. [Google Scholar] [CrossRef]
  8. Liu, L.; Li, Z.; Liu, Y.J.; Tong, S. Adaptive fuzzy output feedback control of switched uncertain nonlinear systems with constraint conditions related to historical states. IEEE Trans. Fuzzy Syst. 2022, 30, 5091–5103. [Google Scholar] [CrossRef]
  9. Pepe, P. On Lyapunov methods for nonlinear discrete-time switching systems with dwell-time ranges. IEEE Trans. Autom. Control 2021, 67, 1574–1581. [Google Scholar] [CrossRef]
  10. Gunasekaran, N.; Ali, M.S.; Arik, S.; Ghaffar, H.A.; Diab, A.A.Z. Finite-time and sampled-data synchronization of complex dynamical networks subject to average dwell-time switching signal. Neural Netw. 2022, 149, 137–145. [Google Scholar] [CrossRef]
  11. Chen, W.; Fei, Z.; Zhao, X.; Basin, M.V. Generic stability criteria for switched nonlinear systems with switching-signal-based Lyapunov functions using Takagi–Sugeno fuzzy model. IEEE Trans. Fuzzy Syst. 2022, 30, 4239–4248. [Google Scholar] [CrossRef]
  12. Wang, J.; Wang, H.; Yan, H.; Wang, Y.; Shen, H. Fuzzy H sliding mode control of persistent dwell-time switched nonlinear systems. IEEE Trans. Fuzzy Syst. 2022, 30, 5143–5151. [Google Scholar] [CrossRef]
  13. Fei, Z.; Chen, W.; Zhao, X.; Ren, S. Stabilization of switched linear neutral systems with time-scheduled feedback control strategy. IEEE Trans. Autom. Control 2022, 68, 1093–1100. [Google Scholar] [CrossRef]
  14. Li, Z.; Cao, G.; Xie, W.; Gao, R.; Zhang, W. Switched-observer-based adaptive neural networks tracking control for switched nonlinear time-delay systems with actuator saturation. Inf. Sci. 2023, 621, 36–57. [Google Scholar] [CrossRef]
  15. Sobhanipour, H.; Rezaie, B. Enhanced exponential stability analysis for switched linear time-varying delay systems under admissible edge-dependent average dwell-time strategy. IEEE Trans. Syst. Man Cybern. Syst. 2023. [Google Scholar] [CrossRef]
  16. Chen, H.; Lim, C.C.; Shi, P. Robust H-based control for uncertain stochastic fuzzy switched time-delay systems via integral sliding mode strategy. IEEE Trans. Fuzzy Syst. 2020, 30, 382–393. [Google Scholar] [CrossRef]
  17. Lyu, Z.; Liu, Z.; Zhang, Y.; Chen, C.P. Adaptive neural control for switched nonlinear systems with unstable dynamic uncertainties: A small gain-based approach. IEEE Trans. Cybern. 2020, 52, 5654–5667. [Google Scholar] [CrossRef]
  18. Qi, Y.; Yuan, S.; Niu, B. Asynchronous control for switched T–S fuzzy systems subject to data injection attacks via adaptive event-triggering schemes. IEEE Trans. Syst. Man Cybern. Syst. 2021, 52, 4658–4670. [Google Scholar] [CrossRef]
  19. Eddoukali, Y.; Benzaouia, A.; Ouladsine, M. Integrated fault detection and control design for continuous-time switched systems under asynchronous switching. ISA Trans. 2019, 84, 12–19. [Google Scholar] [CrossRef]
  20. Qi, W.; Zong, G.; Ahn, C.K. Input–output finite-time asynchronous SMC for nonlinear semi-Markov switching systems with application. IEEE Trans. Syst. Man Cybern. Syst. 2021, 52, 5344–5353. [Google Scholar] [CrossRef]
  21. Zheng, Q.; Xu, S.; Du, B. Asynchronous nonfragile guaranteed cost control for impulsive switched fuzzy systems with quantizations and its applications. IEEE Trans. Fuzzy Syst. 2022, 30, 4471–4483. [Google Scholar] [CrossRef]
  22. Huang, J.; Hao, X.; Pan, X. Asynchronous switching control of discrete-time linear system based on mode-dependent average dwell time. Int. J. Control Autom. Syst. 2020, 18, 1705–1714. [Google Scholar] [CrossRef]
  23. Wang, Y.; Tang, R.; Su, H.; Sun, Y.; Yang, X. Asynchronous control of switched discrete-time positive systems with delay. IEEE Trans. Syst. Man Cybern. Syst. 2022, 52, 7193–7200. [Google Scholar] [CrossRef]
  24. Shi, S.; Fei, Z.; Shi, P.; Ahn, C.K. Asynchronous filtering for discrete-time switched T–S fuzzy systems. IEEE Trans. Fuzzy Syst. 2019, 28, 1531–1541. [Google Scholar] [CrossRef]
  25. He, S.; Ai, Q.; Ren, C.; Dong, J.; Liu, F. Finite-time resilient controller design of a class of uncertain nonlinear systems with time-delays under asynchronous switching. IEEE Trans. Syst. Man Cybern. Syst. 2018, 49, 281–286. [Google Scholar] [CrossRef]
  26. Raza, M.T.; Khan, A.Q.; Mustafa, G.; Abid, M. Design of fault detection and isolation filter for switched control systems under asynchronous switching. IEEE Trans. Control Syst. Technol. 2015, 24, 13–23. [Google Scholar] [CrossRef]
  27. Qi, Y.; Zhao, X.; Fu, J.; Zeng, P.; Yu, W. Event-triggered control for switched systems under multiasynchronous switching. IEEE Trans. Syst. Man Cybern. Syst. 2021, 52, 4685–4696. [Google Scholar] [CrossRef]
  28. Chekakta, I.; Belkhiat, D.E.; Guelton, K.; Jabri, D.; Manamanni, N. Asynchronous observer design for switched T–S systems with unmeasurable premises and switching mismatches. Eng. Appl. Artif. Intell. 2021, 104, 104371. [Google Scholar] [CrossRef]
  29. Zhao, X.; Zhang, L.; Shi, P.; Liu, M. Stability and stabilization of switched linear systems with mode-dependent average dwell time. IEEE Trans. Autom. Control 2011, 57, 1809–1815. [Google Scholar] [CrossRef]
  30. Zhang, L.; Boukas, E.K.; Shi, P. Exponential H filtering for uncertain discrete-time switched linear systems with average dwell time: A μ-dependent approach. Int. J. Robust Nonlinear Control. IFAC-Affiliated J. 2008, 18, 1188–1207. [Google Scholar] [CrossRef]
  31. Xiong, J.; Lam, J. Stabilization of networked control systems with a logic ZOH. IEEE Trans. Autom. Control 2009, 54, 358–363. [Google Scholar] [CrossRef]
Figure 1. ADT switching signal.
Figure 1. ADT switching signal.
Axioms 12 00747 g001
Figure 2. MDADT switching signal with τ a 1 = 11 , τ a 2 = 12 , and τ a 3 = 14 .
Figure 2. MDADT switching signal with τ a 1 = 11 , τ a 2 = 12 , and τ a 3 = 14 .
Axioms 12 00747 g002
Figure 3. MDADT switching signal with τ a 1 = 11 , τ a 2 = 13 , and τ a 3 = 15 .
Figure 3. MDADT switching signal with τ a 1 = 11 , τ a 2 = 13 , and τ a 3 = 15 .
Axioms 12 00747 g003
Figure 4. MDADT switching signal with τ a 1 = 11 , τ a 2 = 12 , and τ a 3 = 13 .
Figure 4. MDADT switching signal with τ a 1 = 11 , τ a 2 = 12 , and τ a 3 = 13 .
Axioms 12 00747 g004
Figure 5. State response of System (4) under ADT switching signal.
Figure 5. State response of System (4) under ADT switching signal.
Axioms 12 00747 g005
Figure 6. State response of System (4) under MDADT switching signal with τ a 1 = 11 , τ a 2 = 12 , τ a 3 = 14 .
Figure 6. State response of System (4) under MDADT switching signal with τ a 1 = 11 , τ a 2 = 12 , τ a 3 = 14 .
Axioms 12 00747 g006
Figure 7. State response of System (4) under MDADT switching signal with τ a 1 = 11 , τ a 2 = 13 , and τ a 3 = 15 .
Figure 7. State response of System (4) under MDADT switching signal with τ a 1 = 11 , τ a 2 = 13 , and τ a 3 = 15 .
Axioms 12 00747 g007
Figure 8. State response of System (4) under MDADT switching signal with τ a 1 = 11 , τ a 2 = 12 , and τ a 3 = 13 .
Figure 8. State response of System (4) under MDADT switching signal with τ a 1 = 11 , τ a 2 = 12 , and τ a 3 = 13 .
Axioms 12 00747 g008
Figure 9. State response of System (3) under ADT switching signal.
Figure 9. State response of System (3) under ADT switching signal.
Axioms 12 00747 g009
Figure 10. State response of system (3) under MDADT switching signal with τ a 1 = 11 , τ a 2 = 12 , and τ a 3 = 14 .
Figure 10. State response of system (3) under MDADT switching signal with τ a 1 = 11 , τ a 2 = 12 , and τ a 3 = 14 .
Axioms 12 00747 g010
Figure 11. State response of System (3) under MDADT switching signal with τ a 1 = 11 , τ a 2 = 13 , and τ a 3 = 15 .
Figure 11. State response of System (3) under MDADT switching signal with τ a 1 = 11 , τ a 2 = 13 , and τ a 3 = 15 .
Axioms 12 00747 g011
Figure 12. State response of System (3) under MDADT switching signal with τ a 1 = 11 , τ a 2 = 12 , and τ a 3 = 13 .
Figure 12. State response of System (3) under MDADT switching signal with τ a 1 = 11 , τ a 2 = 12 , and τ a 3 = 13 .
Axioms 12 00747 g012
Table 1. The parameters and calculation results of the system under the ADT switching signal and the MDADT switching signal.
Table 1. The parameters and calculation results of the system under the ADT switching signal and the MDADT switching signal.
Switching SchemesADTMDADTMDADTMDADT
Parameters α = 1.8 , β = 2.5 ,
μ = 1.03 , ε * = 1.7 ,
d = 4
α 1 = α 2 = 1.8 ,
α 3 = 1.8 , β 1 = 2.5 ,
β 2 = β 3 = 2.5 ,
μ 1 = μ 2 = 1.03 ,
μ 3 = 1.03 , ε 1 * = 1.7 ,
ε 2 * = ε 3 * = 1.7 ,
d = 4
α 1 = α 2 = 1.8 ,
α 3 = 1.8 , β 1 = 2.5 ,
β 2 = β 3 = 2.5 ,
μ 1 = μ 2 = 1.03 ,
μ 3 = 1.03 , ε 1 * = 1.7 ,
ε 2 * = ε 3 * = 1.7 ,
d = 4
α 1 = 1.7 , α 2 = 1.2 ,
α 3 = 1.8 , β 1 = 2.5 ,
β 2 = 2.1 , β 3 = 2 ,
μ 1 = 1.1 , μ 2 = 2.2 ,
μ 3 = 2.3 , ε 1 * = 1.7 ,
ε 2 * = 1.4 , ε 3 * = 1.3 ,
d = 4
Dwell time τ a = 11 τ a 1 = 11 , τ a 2 = 12 ,
τ a 3 = 14
τ a 1 = 11 , τ a 2 = 13 ,
τ a 3 = 15
τ a 1 = 11 , τ a 2 = 12 ,
τ a 3 = 13
H index1.141.141.140.78
Disclaimer/Publisher’s Note: The statements, opinions and data contained in all publications are solely those of the individual author(s) and contributor(s) and not of MDPI and/or the editor(s). MDPI and/or the editor(s) disclaim responsibility for any injury to people or property resulting from any ideas, methods, instructions or products referred to in the content.

Share and Cite

MDPI and ACS Style

Yu, J.; Qi, X.; Shao, Y. Asynchronous Switching Control of Discrete Time Delay Linear Switched Systems Based on MDADT. Axioms 2023, 12, 747. https://doi.org/10.3390/axioms12080747

AMA Style

Yu J, Qi X, Shao Y. Asynchronous Switching Control of Discrete Time Delay Linear Switched Systems Based on MDADT. Axioms. 2023; 12(8):747. https://doi.org/10.3390/axioms12080747

Chicago/Turabian Style

Yu, Jimin, Xiaoyu Qi, and Yabin Shao. 2023. "Asynchronous Switching Control of Discrete Time Delay Linear Switched Systems Based on MDADT" Axioms 12, no. 8: 747. https://doi.org/10.3390/axioms12080747

APA Style

Yu, J., Qi, X., & Shao, Y. (2023). Asynchronous Switching Control of Discrete Time Delay Linear Switched Systems Based on MDADT. Axioms, 12(8), 747. https://doi.org/10.3390/axioms12080747

Note that from the first issue of 2016, this journal uses article numbers instead of page numbers. See further details here.

Article Metrics

Back to TopTop