Next Article in Journal
An Intelligent Fuzzy MCDM Model Based on D and Z Numbers for Paver Selection: IMF D-SWARA—Fuzzy ARAS-Z Model
Next Article in Special Issue
Estimation of Entropy for Generalized Rayleigh Distribution under Progressively Type-II Censored Samples
Previous Article in Journal
New Class of K-G-Type Symmetric Second Order Vector Optimization Problem
Previous Article in Special Issue
Modeling Socioeconomic Determinants of Building Fires through Backward Elimination by Robust Final Prediction Error Criterion
 
 
Font Type:
Arial Georgia Verdana
Font Size:
Aa Aa Aa
Line Spacing:
Column Width:
Background:
Article

Statistical Inference for Two Gumbel Type-II Distributions under Joint Type-II Censoring Scheme

School of Mathematics and Statistic, Beijing Jiaotong University, Beijing 100044, China
*
Author to whom correspondence should be addressed.
Axioms 2023, 12(6), 572; https://doi.org/10.3390/axioms12060572
Submission received: 6 May 2023 / Revised: 2 June 2023 / Accepted: 5 June 2023 / Published: 8 June 2023
(This article belongs to the Special Issue Statistical Methods and Applications)

Abstract

Comparative lifetime tests are extremely significant when the experimenters study the reliability of the comparative advantages of two products in competition. Considering joint type-II censoring, we deal with the inference when two product lines conform to two Gumbel type-II distributions. The maximum likelihood estimations of Gumbel type-II population parameters were obtained in the current research. An approximate confidence interval and a simultaneous confidence interval based on a Fisher information matrix were also constructed and compared with two bootstrap confidence intervals. Moreover, to evaluate the influence of the prior information, based on the concept of importance sampling, we calculated the Bayesian estimator together with their posterior risks in the case of gamma and non-informative priors under different loss functions. To compare the performances of the overall parameters’ estimator, a Monte Carlo simulation was performed using numerical and graphical methods. Finally, a real data analysis was conducted to verify the accuracy of all the models and methods mentioned.

1. Introduction

The lifespan test of sample components is of great significance for theoretical research and industrial practical applications, and studying the life distribution of components is an indispensable link. In lifespan experiments, sometimes processing the entire sample is inappropriate or unacceptable. Therefore, to decrease experimental costs and promote the experimental implementation, the samples are censored. Possible reasons for censoring in reality include, among others, the following: (1) when the research deadline is reached, the endpoint event still does not occur, and the research subject is still alive; (2) the study subject loses contact and is unable to clearly observe whether an endpoint event has occurred, as well as the specific time of occurrence or the inability of the study subject to cooperate or withdraw midway, resulting in the inability to continue follow-up observation. Therefore, it is reasonable to perform censoring in the experiment. Many censoring schemes have been extensively used in the research literature. For a type-I censoring scheme, the experimenter will set a time point in advance to terminate the experiment. However, when the time point is too early or the test sample failure time is too late, it may be that the experiment has been terminated but no faults were observed during this process, which will lead to unsatisfactory results. Therefore, in order to ensure that a definitive number of failures will be detected in the experiment, a type-II censoring scheme was introduced. For this scheme, the censoring ratio is already set in advance, and the experiment will be followed up until a sufficient number of endpoint events occur, at which point the study will stop. The type-II censoring scheme has improved the type-I censoring scheme, but this is still a life test conducted under one sample line. When the experimenter decides to conduct comparative life testing on the unit, the type-II censoring scheme is no longer applicable, and a joint type-II censoring scheme for the comparative life testing of the same product is needed. The joint type-II censoring scheme has practical significance in conducting comparative life tests on products from different factories within the same facility. Assuming that the product is produced by two production lines in the same factory, and further assuming that two product samples with dimensions m and n are selected from these two lines, and life testing experiments are started at the same time. Then, when the sum of the number of faults sent by the two sample lines reaches the pre-set value, the test stops. In this case, the testing time and cost are saved, while people may be interested in the point or interval estimation of the product unit life. The exact results of product unit testing on these two production lines will help achieve this. An extensive amount of work concerning inferential approaches under the joint type-II censoring scheme has been performed by some scholars. Balakrishnan & Rasouli [1] studied the two exponential populations on account of joint type-II censored sample. Furthermore, Shafay et al. [2] worked on the Bayes estimation of two joint type-II censoring exponential samples. Abdel-Aty [3] discussed the likelihood inference for two joint type-II censored samples from a two-parameter exponential distribution. Bayesian estimators under gamma and non-informative priors of the parameters from Lindley distribution when using the joint type-II censoring scheme were computed by [4]. For the differences between the proposed method and the one in [4], we refer the reader to ➀. In addition to conducting the asymptotic confidence interval, we also discussed the simultaneous confidence interval ➁. For model comparison, this paper not only uses AIC and BIC methods, but the K-S distance method is also performed.
The Gumbel type-II distribution was first introduced in 1958 by Emil Gumbel (1891–1966), a German mathematician, and he observed that its performance in simulating the expected lifespan of products is impressive in comparative lifetime tests. Meanwhile, it contributes to predicting the probabilities of some natural hazard and meteorological phenomena. More recently, many scholars have made contributions to the statistical inferences of the Gumbel type-II distribution. For instance, Corsini et al. [5] focused on the parameters of the Gumbel distribution and worked on their maximum likelihood estimation and algorithms simulation. To analyze the Bayes estimates, Mousa et al. [6] studied some simulations under designated values about the parameters of the Gumbel distribution. Analogously, Bayes’ estimation of the Gumbel distribution under k-th lower value was derived by [7]. Nadarajah & Kotz [8] improved a beta Gumbel distribution and discussed its maximum likelihood algorithms. Miladinovic & Tsokos [9] used the square error loss function to analyze the sensitivity of the Bayesian reliability estimation of modified Gumbel failure model. For Gumbel type-II distribution, Feroze & Aslam [10] worked on Bayes estimation under doubly censoring samples in the case of different loss functions. Moreover, a number of scholars have researched Bayesian estimation of Gumbel type-II distribution. Abbas et al. [11] considered the inference of Gumbel type-II distribution including Bayesian estimation. The Bayesian estimation of two competing units of Gumbel type-II distribution were derived by [12]. Reyad & Ahmed [13] also estimated the unknown shape parameters in joint type-II censored products on Bayesian and E-Bayesian. Assuming different informative and non-informative priors on account of left type-II censored samples, Sindhu et al. [14] derived the Bayesian estimators and their risks of the unknown parameters from a Gumbel type-II distribution. Furthermore, by considering Lindley’s approximation, Abbas et al. [15] worked on the Bayes estimators on account of the type-II censored data under the non-informative prior and various loss functions. In summary, the statistical inference of Gumbel type-II distribution under the type-I and type-II censoring scheme, such as maximum likelihood estimation and Bayesian estimation, has been well developed by scholars. However, no work has been performed related to statistical inference for Gumbel type-II distribution under joint type-II censoring. The Gumbel type-II distribution has important practical significance for the life distribution test of product components, and its fitting degree for some real datasets may be higher than the existing distribution models. Thus, we pay attention to a consideration of the parameters of Gumbel type-II distribution estimated using the joint type-II censored dataset.
Following this introduction section, the specific arrangements for the remaining parts of the paper are as follows: considering the concept of sampling importance, the maximum likelihood estimation of the unknown parameters is derived in Section 2. In Section 3, we focus on the asymptotic normality confidence interval and simultaneous confidence interval on account of Fisher’s information matrix. Section 4 provides bootstrap CIs containing bootstrap percentile interval procedure and Studentized-t interval procedure based on MLEs. In Section 5, Bayes estimation on account of different loss functions using non-informative and gamma priors is performed. A Monte Carlo simulation study is performed to verify the model in Section 6. Meanwhile, the conclusions and recommendations are also presented. Finally, one real data analysis is conducted for illustrating all the developed approaches.

2. The Model and MLEs

2.1. Model Description

We take m random samples from one population, denoted as product A, and then take n random samples from another population, denoted as product B. Let N = m + n and we define w 1 , , w N to represent the joint sequence of two populations in ascending order. In brief, the joint type-II censoring scheme for the two product lines can be simplified as follows: first, we use N units for the life test and continuously record the time of sample failure and the corresponding product type from which the faulty units come. Then, we set r ( 1 r N ) to represent the number of sample failures which is fixed in advance. Therefore, w 1 w r is the failure time that occurs during the experimental process, and when a failure occurs, the corresponding sample is removed. Let Z i indicate that the censored samples from w 1 to w r come from populations X or Y, as shown in Function (1).
Z i = 1 ; w i f r o m X f a i l u r e , 0 ; w i f r o m Y f a i l u r e .
Based on w i from X or Y failure ( i = 1 , , r ) , Z i ( i = 1 , 2 , , r ) can be determined as value 1 or value 0, respectively. Meanwhile, among w 1 , , w j , we let m j = i = 1 j Z i denote the sum of the number of failures from X and, similarly, n j = i = 1 j ( 1 Z i ) denotes the sum of the number of failures from Y where 1 j N . Therefore, m r = i = 1 r Z i indicates the number of failures in sample X before the experiment stopped and similarly, n r = i = 1 r ( 1 Z i ) indicates the number of failures in sample Y before the experiment stopped.
When the r-th failure occurs, all remaining surviving units are withdrawn and the experiment is terminated, as shown in Figure 1 and Figure 2.
We abbreviate the Gumbel type-II distribution as Gu( α , β ) along with the parameter α and β . It is assumed that the lifespan of m units of product A, X 1 , , X m comes from Gu( α 1 , β ), containing independently and identically distributed random variables with a cumulative distribution function (CDF) defined as:
F ( x ) = e β x α 1 , x > 0 , α 1 , β > 0
and the corresponding probability density function (PDF) can be written as
f ( x ) = α 1 β x ( α 1 + 1 ) e β x α 1
Similarly, the lifespan of n units of product B, Y 1 , , Y n comes from Gu( α 2 , β ).
G ( y ) = e β y α 2 , y > 0 , α 2 , β > 0
and the corresponding PDF is given by
g ( y ) = α 2 β y ( α 2 + 1 ) e β y α 2

2.2. The Maximum Likelihood Estimation

Based on the joint censoring scheme, the likelihood function of α 1 , α 2 and β can be written as:
L ( α 1 , α 2 , β | W , Z ) ) = c ( i = 1 r f ( w i ) z i g ( w i ) 1 z i ) F ¯ ( w r ) m m r G ¯ ( w r ) n n r
with the survival function F ¯ = 1 F , G ¯ = 1 G , the constant c = m ! n ! ( m m r ) ! ( n n r ) ! , and W = ( w 1 , , w r ) and Z = ( Z 1 , , Z r ) .
Bring Functions (2) and (3) to Function (4), and the likelihood function is shown as
L ( α 1 , α 2 , β | W , Z ) = c α 1 m r α 2 n r β r U 1 ( α 1 + 1 ) U 2 ( α 2 + 1 ) e x p ( β ( i = 1 r w i α 1 z i + i = 1 r w i α 2 ( 1 z i ) ) ) × ( 1 e β w r α 1 ) m m r ( 1 e β w r α 2 ) ) n n r
where U 1 = i = 1 r w i z i , U 2 = i = 1 r w i 1 z i , m r = i = 1 r z i and n r = i = 1 r ( 1 z i ) .
Taking the logarithm of Function (5) on both sides.
ln L = ln c + m r ln α 1 + n r ln α 2 + r ln β ( α 1 + 1 ) ln U 1 ( α 2 + 1 ) ln U 2 β ( i = 1 r w i α 1 z i + i = 1 r w i α 2 ( 1 z i ) ) + ( m m r ) ln ( 1 e β w r α 1 ) + ( n n r ) ln ( 1 e β w r α 2 ) .
Thus, to acquire the MLEs of α 1 , α 2 and β , we first calculate the first derivative of the logarithmic likelihood Function (6) of α 1 , α 2 and β . Then, by making these three functions equal zero, the three following equations can be obtained:
ln L α 1 = m r α 1 ln U 1 + β i = 1 r w i α 1 z i ln w i + ( m m r ) β w r α 1 e β w r α 1 ln w r 1 e β w r α 1 = 0 ,
ln L α 2 = n r α 2 ln U 2 + β i = 1 r w i α 2 ( 1 z i ) ln w i + ( n n r ) β w r α 2 e β w r α 2 ln w r 1 e β w r α 2 = 0 ,
and
ln L β = r β ( i = 1 r w i α 1 z i + i = 1 r w i α 2 ( 1 z i ) ) + ( m m r ) w r α 1 e β w r α 1 1 e β w r α 1 + ( n n r ) w r α 2 e β w r α 2 1 e β w r α 2 = 0 .
These equations contain more than one parameter and are nonlinear, so the equations cannot be directly solved. For this reason, a method of computer iteration (Newton Raphson) to calculate the MLEs of α 1 , α 2 and β is used. By solving these equations, we obtain the following MLEs of α 1 , α 2 and β .
Lemma 1.
The existence and uniqueness of MLEs. Let ξ 1 ( α 1 ) = ln L α 1 , ξ 2 ( α 2 ) = ln L α 2 , and ξ 3 ( β ) = ln L β . The functions ξ ( α j ) and ξ ( β ) as defined in Equations (7)–(9) attain unique MLEs at α j ( 0 , + ) and β ( 0 , + ) ; j = 1, 2. Where α j ^ and β ^ are the solution of ξ 1 ( α 1 ) = 0 , ξ 2 ( α 2 ) = 0 , and ξ 3 ( β ) = 0 , and unique if m r < m < 2 m r and n r < n < 2 n r . The specific proof above can be found in Appendix A.
Remark 1.
It is worth considering that, for the existence of the MLE of α 1 , α 2 a n d β , m r should be greater than zero and less than r. If m r = 0 , the Equation (7) does not provide information about unknown parameters. Likewise, if m r = r , then n r = 0 and the Equation (8) will provide no information. Thus, the associated MLE does not exist in these cases.

2.3. Fisher’s Information Matrix

We first computed the second-order derivatives of the logarithm likelihood function of α j and β for j = 1 , 2 and then obtained its negative elements. Thus, based on the definition of approximate asymptotic variance–covariance matrix, the Fisher information matrix is defined as
I 1 ( α 1 , α 2 , β ) = [ 2 ln L α 1 2 0 2 ln L α 1 β 0 2 ln L α 2 2 2 ln L α 2 β 2 ln L β α 1 2 ln L β α 2 2 ln L β 2 ]
where
2 ln L α 1 2 = m r α 1 2 β i = 1 r w i α 1 z i ( ln w i ) 2 + ( m m r ) [ ( β w r α 1 ln w r ) e x p ( β w r α 1 ) ( 1 e x p ( β w r α 1 ) ) 2 ,
2 ln L α 2 2 = n r α 2 2 β i = 1 r w i α 2 ( 1 z i ) ( ln w i ) 2 + ( n n r ) [ ( β w r α 2 ln w r ) e x p ( β w r α 2 ) ( 1 e x p ( β w r α 2 ) ) 2 ,
2 ln L β 2 = r β 2 ( m m r ) w r 2 α 1 e x p ( β w r α 1 ) ( 1 e x p ( β w r α 1 ) ) 2 ( n n r ) w r 2 α 1 e x p ( β w r α 2 ) ( 1 e x p ( β w r α 2 ) ) 2 ,
2 ln L α 1 β = i = 1 r w i α 1 z i ln w i + ( m m r ) w r α 1 ln w r [ 1 1 1 e x p ( β w r α 1 ) + β w r α 1 e x p ( β w r α 1 ) ( 1 e x p ( β w r α 1 ) ) 2 ] ,
and
2 ln L α 2 β = i = 1 r w i α 2 ( 1 z i ) ln w i + ( n n r ) w r α 2 ln w r [ 1 1 1 e x p ( β w r α 2 ) + β w r α 2 e x p ( β w r α 2 ) ( 1 e x p ( β w r α 2 ) ) 2 ] .
Assume that parameter vector δ ^ is the MLE of δ = ( α 1 , α 2 , β ) and I δ and ϕ = lim n + n I δ 1 represent the Fisher information matrix with respect to δ . In particular, let ( S ^ α j ^ ) 2 = ϕ ^ ( j , j ) / n , j = 1 , 2 where ϕ ^ ( j , j ) denotes the ( j , j ) elements in the matrix ϕ ^ = n I ^ δ 1 and z 1 α / 2 represents the upper ( 1 α / 2 ) % point of the standard normal distribution. Thus, asymptotic normality confidence intervals (ACIs) of δ j , j = 1 , 2 , with the confidence level 100 ( 1 α ) % , are defined as
α j ^ ± z 1 α / 2 S ^ α j ^ and β ^ ± z 1 α / 2 S ^ β ^ , j = 1 , 2 .
Moreover, the Bonferroni confidence interval is a method to compute and control individual and simultaneous confidence levels. Here, the approximate 100 ( 1 α ) % simultaneous confidence interval (SCI) for ( α 1 , α 2 , β ) under this method is given by
α j ^ ± z ( 3 + 1 α ) / 4 S ^ α j ^ and β ^ ± z ( 3 + 1 α ) / 4 S ^ β ^ , j = 1 , 2 .

3. Bootstrap Methods

The asymptotic confidence interval method uses the asymptotic nature of normal distribution to construct the intervals to estimate parameters if the sample size is large enough. However, in many practical cases, the sample size tends to be not large. Therefore, these methods have limitations in terms of small sample sizes. Here, we suggest some bootstrap methods for constructing the confidence intervals of α j and β for j = 1 , 2 . The percentile intervals (Boot-p) and the Studentized-t intervals (Boot-t) are detailed in [16].
The bootstrap percentile method uses the 100 α / 2 th of the empirical bootstrap distribution of α ^ j * and β ^ * , j = 1 , 2 to define the lower limits of the confidence interval and the 100 ( 1 α / 2 ) th to define the upper limits of the confidence interval. Based on this, we introduce Algorithm 1 for obtaining Boot-p CIs.
Algorithm 1: Generation process of Boot-p CIs
Step 1.
Calculate the MLE ( α ^ 1 , α ^ 2 , β ^ ) of ( α 1 , α ^ 2 , β ) based on two Gumbel Type-II distributions using joint Type-II censoring sample ( W , Z ) .
Step 2.
Use ( α ^ 1 , α ^ 2 , β ^ ) to generate a bootstrap joint type-II censored sample ( w * , z * ) and calculate the bootstrap estimation of ( α 1 , α 2 , β ) based on the Boot-p sample, namely ( α ^ 1 * , α ^ 2 * , β ^ * ).
Step 3.
Repeat Step 2 B times and obtain α ^ j 1 * , α ^ j 2 * , , α ^ j B * and β ^ 1 * , β ^ 2 * , , β ^ B * and arrange in ascending order as α ^ ( j 1 ) * , α ^ ( j 2 ) * , , α ^ ( j B ) * and β ^ ( 1 ) * , β ^ ( 2 ) * , , β ^ ( B ) * , j = 1 , 2 .
Step 4.
The calculated Boot-p CIs are as follows:
( α ^ 1 [ B ( α / 2 ) ] * , α ^ 1 [ B ( 1 α / 2 ) ] * ) , ( α ^ 2 [ B ( α / 2 ) ] * , α ^ 2 [ B ( 1 α / 2 ) ] * ) and ( β ^ [ B ( α / 2 ) ] * , β ^ [ B ( 1 α / 2 ) ] * ) ,
Similarly, Algorithm 2 for computing Boot-t CI estimators is illustrated according to the following steps.
Algorithm 2: Generation process of Boot-t CIs
Step 1.
Steps 1–2 are the same as in the Boot-p method.
Step 3.
Compute the Boot-t statistics:
T α ^ 1 * = α ^ 1 * α ^ 1 S ^ α ^ 1 * , T α ^ 2 * = α ^ 2 * α ^ 2 S ^ α ^ 2 * and T β ^ * = β ^ * β ^ S ^ β ^ * ,
       where S ^ α ^ j * , j = 1 , 2 and S ^ β ^ * are the Boot-p versions.
Step 4.
Repeat Steps 2–3 B times and obtain T α ^ j 1 * , T α ^ j 2 * , , T α ^ j n * and T β ^ 1 * , T β ^ 2 * , , T β ^ n * and arrange in ascending order as T α ^ ( j 1 ) * , T α ^ ( j 2 ) * , , T α ^ ( j n ) * and T β ^ ( 1 ) * , T β ^ ( 2 ) * , , T β ^ ( n ) * , j = 1 , 2 .
Step 5.
The calculated Boot-t CIs are as follows:
( α ^ j + T α ^ j [ B ( α / 2 ) ] * , α ^ j + T α ^ j [ B ( 1 α / 2 ) ] * ) and ( β ^ + T β ^ [ B ( α / 2 ) ] * , β ^ + T β ^ [ B ( 1 α / 2 ) ] * ) , j = 1 , 2 .

4. Bayesian Estimation

Here, different loss functions regarding Bayesian estimation are considered, such as the general entropy loss function (GELF). One can assume that the parameters α 1 , α 2 and β from Gumbel type-II distribution conform to independent gamma priors along with hyperparameters a 1 , b 1 ; a 2 , b 2 ; and c, d. Thus, their joint prior distribution can be written as:
π ( α 1 , α 2 , β ) α 1 a 1 1 e b 1 α 1 α 2 a 2 1 e b 2 α 2 β c 1 e d β .
Furthermore, their posterior distribution can be written as:
π ( α 1 , α 2 , β | w , z ) α 1 m r + a 1 1 e ( ln U 1 + b 1 ) α 1 α 2 n r + a 2 1 e ( ln U 2 + b 2 ) α 2 β r + c 1 e d β e x p ( β ( i = 1 r w i α 1 z i + i = 1 r w i α 2 ( 1 z i ) ) ) ( 1 e β w r α 1 ) m m r ( 1 e β w r α 2 ) n n r ,
or
π ( α 1 , α 2 , β | w , z ) π ( α 1 | w , z ) π ( α 2 | w , z ) π ( β | w , z ) h ( α 1 , α 2 , β ) .
here
π ( α 1 | w , z ) g a m m a ( m r + a 1 , ln U 1 + b 1 ) ,
π ( α 2 | w , z ) g a m m a ( n r + a 2 , ln U 2 + b 2 ) ,
π ( β | w , z ) g a m m a ( r + c , d ) ,
h ( α 1 , α 2 , β ) = e x p ( β ( i = 1 r w i α 1 z i + i = 1 r w i α 2 ( 1 z i ) ) ) ( 1 e β w r α 1 ) m m r ( 1 e β w r α 2 ) n n r .
where U 1 = i = 1 r w i z i , U 2 = i = 1 r w i 1 z i , m r = i = 1 r z i , n r = i = 1 r ( 1 z i ) and g a m m a ( a , b ) denotes the gamma distribution with shape parameter a and scale parameter b.
Then, here the Bayesian estimation and its posterior risks are discussed under GELF. Calabria and Pulcini (1996) introduced the GELF, which is given by:
L ( θ 1 , θ 1 * ) = γ [ ( θ * θ ) k k ln ( θ * θ ) 1 ] , i = 1 , 2 , 3
let θ 1 = α 1 , θ 2 = α 2 and θ 3 = β .
Here, γ is a constant, and without losing in common quality, it can be assumed to have a value of 1. k is a shape parameter that represents the departure from symmetry. For k > 0 , the impact of a high estimate is more severe than a low estimate and for k < 0 , the impact of a low estimate is more severe than a high estimate when in equal magnitude. θ i * expresses the Bayes estimation of θ i . The Bayesian estimation of θ 1 , θ 2 and θ 3 under GELF along with the posterior risk (PR) are given by:
θ i * = [ E [ θ i k | d a t a ] ] 1 / k = [ θ i θ i k π ( θ i | d a t a ) d θ i ] 1 / k ; i = 1 , 2 , 3
P R ( θ i * ) = [ E [ ln ( θ i k | d a t a ) + ln ( E [ ( θ i k | d a t a ) ) ] ] = [ θ i ln ( θ i k ) π ( θ i | d a t a ) d θ i ( ln ( θ i * ) k ) ] ; i = 1 , 2 , 3
GELF contains these specific cases as follows:
(1)
When k = ˘ 1 , it expresses the Bayesian estimation under the square error loss function (BSELF).
(2)
When k = ˘ 2 , it expresses the Bayesian estimation under the precautionary loss function (BPLF).
(3)
When k = 1 , it expresses the Bayesian estimation under the entropy loss function (BELF).
Let a 1 = a 2 = c = 0 in Function (15), and then derive the Bayesian estimation in the case of the non-informative prior. Namely,
π ( α 1 | w , z ) g a m m a ( m r , ln U 1 + b 1 ) , π ( α 2 | w , z ) g a m m a ( n r , ln U 2 + b 2 ) , π ( β | w , z ) g a m m a ( r , d ) .
It can be found from the derivation above that the Bayes estimate takes the form of the ratio of two multiple integrals. Obtaining a definitive solution can be tricky in terms of analysis. Here, it is not possible to solve Functions (18) and (19) in closed form. Thus, by using the concept of importance sampling, we calculate the Bayesian estimation of the parameters and the posterior risks. The merit of this method is that it does not require the calculation of normalization constants. Meanwhile, introducing the posterior distributions into Functions (19) and (20) yields a more intuitive formula for calculating the Bayesian estimates of parameters. We develop Algorithm 3 for obtaining Bayesian estimation by importance sampling.
The Bayesian estimates under the non-informative priors are derived similarly.
A method being used to construct the highest probability density (HPD) credible intervals for parameters was introduced by Chen and Shao (1999), who considered how to approximate and estimate Bayesian intervals using a simple Monte Carlo method. They developed the approach by using the sample from the importance sampling distribution.
To calculate the ( 1 α ) 100 % symmetric HPD credible interval for α 1 , α 2 and β , first obtain MCMC samples α j 1 , α j 2 , , α j M and β 1 , β 2 , , β M and then arrange them in ascending order α ( j 1 ) , , α ( j M ) and β ( 1 ) , , β ( M ) . The HPD credible intervals for α j and β are defined as:
( α j [ M ( α / 2 ) ] , α j [ M ( 1 α / 2 ) ] ) and ( β [ M ( α / 2 ) ] , β [ M ( 1 α / 2 ) ] ) , j = 1 , 2
Algorithm 3: Importance sampling
Step 1.
Get α 11 , α 12 , , α 1 M from π ( α 1 | w , z ) .
Step 2.
Get α 21 , α 22 , , α 2 M from π ( α 2 | w , z ) .
Step 3.
Get β 1 , β 2 , , β M from π ( β | w , z ) .
Step 4.
Compute h( α 1 i , α 2 i , β i ), i = 1 , 2 , , M .
Step 5.
The Bayesian estimation under GELF is shown as:
α j * = [ i = 1 M α j i k h i ( α 1 i , α 2 i , β i ) i = 1 M h i ( α 1 i , α 2 i , β i ) ] 1 / k , j = 1 , 2 and β * = [ i = 1 M β i k h i ( α 1 i , α 2 i , β i ) i = 1 M h i ( α 1 i , α 2 i , β i ) ] 1 / k
       and the relevant posterior risks are:
P R ( α j * ) = [ i = 1 M log ( α j i k ) h i ( α 1 i , α 2 i , β i ) i = 1 M h i ( α 1 i , α 2 i , β i ) log ( α j * ) k ] , j = 1 , 2 P R ( β * ) = [ i = 1 M log ( β i k ) h i ( α 1 i , α 2 i , β i ) i = 1 M h i ( α 1 i , α 2 i , β i ) log ( β * ) k ]

5. Simulation Study

Here, simulation experiments are conducted to evaluate the performance of different mentioned estimation methods. This simulation study involves the following steps:
(1)
Select two products of different numbers ( m , n ) = ( 15 , 15 ) , ( 15 , 20 ) , ( 25 , 25 ) and accordingly, different choices for r are as 18, 22, 25, 28, 32, 42, 45, 48.
(2)
In order to improve the Bayesian estimation, the values of hyperparameters a 1 = 11 , b 1 = 25 , a 2 = 12 , b 2 = 31 , c = 10.5 , d = 71 are considered when α 1 = 1.35 , α 2 = 1.24 and β = 0.90 in the case of gamma informative priors. Under non-informative priors, we let ( a 1 , a 2 , b 1 , b 2 , c, d) = (0, 25, 0, 31, 0, 71).
(3)
For all of the above situations, we calculate the MLEs and Bayesian estimates as well as the lengths of the ACIs, the lengths of the SCIs, the lengths of bootstrap CIs, and the lengths of the HPD CIs.
(4)
Repeat steps 1–3 M = 5000 times through the entire process, and then compute the average value. In the meanwhile, mean square errors (MSEs) along with coverage probabilities (CPs) can be calculated.
The whole calculations are implemented on statistical software R. Table 1, Table 2, Table 3, Table 4, Table 5, Table 6, Table 7, Table 8 and Table 9 show the major running consequences of the algorithm process, as shown below. Table 1, Table 2 and Table 3 show the MLEs and the MSEs for the schemes based on 5000 repetitions. Meanwhile, the Bayes estimation and the corresponding posterior risk in the case of an informative prior under loss functions repeating 5000 times are presented. Similarly, Tables Table 4, Table 5 and Table 6 show the MLEs and the MSEs for the schemes based on 5000 repetitions. Meanwhile, the Bayes estimation and their PRs in the case of gamma prior under loss functions repeating 5000 times are presented. Table 7, Table 8 and Table 9 present the ACI, SCI, Boot-p CI, Boot-t CI, and HPD in the case of gamma and non-informative priors. The coverage probabilities of the intervals computed after 5000 repetitions are shown in parentheses.
Figure 3, Figure 4 and Figure 5 show the MLE of three parameters and Bayesian estimation under a priori gamma distribution information; Figure 6, Figure 7 and Figure 8 show the MLEs and Bayes estimates for three parameters without prior information; Figure 9, Figure 10 and Figure 11 show the coverage probabilities of three parameters within different confidence intervals. Figure 12, Figure 13, Figure 14, Figure 15, Figure 16, Figure 17, Figure 18, Figure 19 and Figure 20 show the Bayesian estimation of three parameters under three loss functions under the conditions of having prior gamma information.
Based on the above data and charts, some conclusions are derived as follows.
(1)
From Table 1, Table 4, Table 10, and Table 11, it can be found that the MLE and Bayesian estimates for the three parameters are almost unbiased, and the MSEs are very small. At the same time, in most cases, the Bayes estimates perform better than the maximum likelihood estimates, regardless of whether they are a gamma prior or a non-informative prior.
(2)
Table 1, Table 2, Table 3, Table 4, Table 5, Table 6, Table 7, Table 10, and Table 11 show that, as the r value increases, that is, the number of failures, the deviation relative to the point estimation value becomes so small that it can be ignored, and the coverage probabilities of the estimated intervals are also improved.
(3)
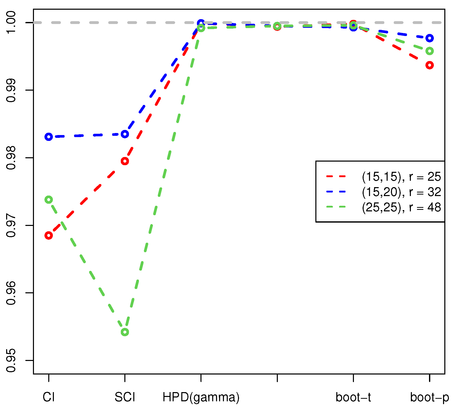
For all interval estimates, the coverage probabilities of the parameters reach a standard level, and basically, all coverage rates are greater than 95%. Meanwhile, the HPD CIs give a superior coverage probability than other approaches in most cases. Based on the calculated interval coverage values, we can rank the five interval estimation methods mentioned in the following order from best to worst: HPD CIs > Boot-t > Boot-p > Asymptotic SCI > ACI.
(4)
From Table 6 and Table 7, it can be found that the HPD CIs have the minimum average length of the intervals. Given the average length of CIs, we can rank the five interval estimation methods mentioned in the following order from best to worst: HPD CIs > Boot-t > Boot-p > ACI > Asymptotic SCI.
(5)
Usually, regardless of the number of two samples and the value of r, the Bayesian estimation based on non-informative priors is inferior to the gamma priors, along with smaller deviations in the meantime.
(6)
We can find that Bayesian estimation performs quite satisfactorily in the posterior risk values under the three loss functions. Further discovery indicates that the Bayes estimation of BSELF is superior to the Bayes estimators of BELF and BPLF, while the Bayesian estimation under BELF is superior to BSELF and BPLF in terms of posterior risk. In the BSELF and BPLF, the estimated value is higher than the set value, while in the BELF, the estimated value is lower than the set value.
(7)
It can be observed that both MLEs and Bayesian estimators have good results for two sample lines with the same or different population numbers, and their MSEs and PRs follow the same pattern. This indicates that the model is suitable for both balanced and unbalanced sample line situations.

6. Real Data Analysis

We will analyze real data from [17] for illustration purposes, which recorded the breakdown time of the current at different voltages. For the ease of explanation, the breakdown times are selected at voltages of 32 and 34 KV. The following data are provided in Table 12 for reference purposes.
Here, m = 15 and n = 19 . We apply the models developed in this paper with the observed sample with r = 28 under the censored population, and the censored data obtained from two samples are shown in Table 13.
A goodness-of-fit test based on Kolmogorov–Smirnov (K-S) statistics is conducted in this part. According to the calculation, the KS value of the dataset is 0.1321, which means that the Gumbel type-II model is very suitable for this dataset. We also conducted hypothesis testing. Based on the likelihood ratio test, it is meaningful to study the null hypothesis H 0 : β 1 = β 2 versus the alternative hypothesis H 1 : β 1 β 2 . The test statistic can be calculated as L / L 0 and its p-value is computed as 0.9612. Therefore, the assumption of the equality of the shape parameters cannot be rejected. Thus, we consider that β = β 1 = β 2 .
Subsequently, we also discussed the application of the Lindley distribution and the Exponential distribution under the joint type-II censoring scheme on this dataset. Their PDFs are written as:
f ( x ) = θ 2 1 + θ e θ x ( 1 + x ) , x > 0 , θ > 0 ,
f ( x ) = 1 θ e x θ , x > 0 , θ > 0 .
Compared with the Gumbel type-II distribution, we calculate the K-S distances and p-values of the Lindley distribution and the exponential distribution in this model, which are shown in Table 14. It can be observed that the p-value of the Lindley distribution under the model is much smaller than the other two distributions, indicating poor fitting performance. The K-S distance of the Gumbel type-II distribution is significantly shorter than that of the Lindley distribution, which means that its performance is better.
In addition, under the Lindley distribution model, the exponential distribution model, and the Gumbel Type-II distribution, we also calculate some essential measures of goodness-of-fit under the real data, that is, AIC and BIC. Here, AIC refers to the Akaike information criterion which was proposed by [18] and is defined as
A I C = 2 k 2 ln L .
BIC refers to the Bayesian information criterion which was initiated by [19] and is calculated by
B I C = k ln N 2 ln L .
In Formulas (26) and (27), k is the number of parameters, L is the likelihood function of the model, and N is the number of observations. For any dataset, having the minimum values of AIC and BIC is best. Table 15 shows the values of AICs and BICs under three distributed models.
From the calculation results, it can be seen that the AIC and BIC values of the Gumbel Type-II distribution are significantly smaller than the other two distributions. According to the judgment criteria, the Gumbel Type-II distribution is the best choice in a competitive lifespan.
In summary, fitting the Gumbel Type-II distribution to this dataset has a good effect.
Based on this, we calculate MLEs, 95% exact CIs, SCIs, HPD intervals, and bootstrap CIs. In Table 16 and Table 17, the estimated values of α 1 , α 2 and β by all approaches are shown.
Figure 21 and Figure 22 show PDF and CDF plotted using MLE and BSELF of ( α 1 , β ) and Figure 23 and Figure 24 show PDF and CDF plotted using MLE and BSELF of ( α 2 , β ), respectively. The comparison shows that the effect of BSELF of ( α 1 , β ) is better than that of MLE, while the effects of MLE and BSELF of ( α 2 , β ) have a small difference.
The reliability estimation process contains a method of assessing system reliability throughout the entire product life cycle to determine whether the product meets specific reliability requirements and has a specific statistical confidence level. For more specific reliability analysis knowledge, please refer to [20,21,22]. In survival analysis, common methods include the reliability function, which refers to the probability of a product completing a specified function under specified conditions and within a specified time, and the failure rate function, which refers to the probability of a product that has not failed at time t to fail within a unit time after that time t. Thus, we estimate the reliability characteristics of these two samples. For the Gumbel Type-II distribution, it is known that:
The reliability function ( RT ) = 1 F ( t ) = 1 e β t α j , α j > 0 , β > 0 , j = 1 , 2 , t > 0 ,
The failure rate function ( HT ) = f ( t ) 1 F ( t ) = α β t ( α + 1 ) e β t α 1 e β t α , α j > 0 , β > 0 , j = 1 , 2 , t > 0 .
Thus, by placing α j ^ , j = 1 , 2 and β ^ in the above expressions, obtaining MLEs for the above reliability characteristics of two populations is easy. In addition, the Bayesian estimation of the reliability characteristics of the two samples is computed in a similar way. In Table 10 and Table 11, the estimated reliability characteristics of α 1 , α 2 , and β are performed.

7. Conclusions

In this article, we considered the statistical inference for two populations with both Gumbel type-II distributions, which have the same shape parameters and different scale parameters under the joint type-II censoring scheme. Based on the assumption of life distribution for two populations, we provided the maximum likelihood estimation of unknown parameters and Bayesian estimation in gamma prior and non-information prior cases. During this period, some intervals, such as bootstrap and HPD, were also constructed for comparison and evaluation. The simulation algorithms for these processes were explained above, and we implemented them and obtained corresponding conclusions. Finally, the paper analyzed a set of real industrial data, with a K-S test, to calculate the AIC and BIC methods and reliability characteristics, among others, and the displayed results are quite satisfactory.
In this article, we assumed that the lifespan of these populations follows Gumbel type-II distributions with the same scale parameters, but in practice, this may not always be the case. In addition, there is also a situation where the two populations follow different life distributions, which is worthy of further research. We are also exploring how the statistical distribution of the lifespan for n populations can be inferred. Therefore, more work is needed in these directions to develop appropriate inference programs for the same or different life distributions of multiple populations.

Author Contributions

Investigation, Y.Q.; Supervision, W.G. All authors have read and agreed to the published version of the manuscript.

Funding

This research was supported by Project 202310004013 which was supported by National Training Program of Innovation and Entrepreneurship for Undergraduates. Wenhao’s work was partially supported by The Development Project of China Railway (No. N2022J017) and the Fund of China Academy of Railway Sciences Corporation Limited (No. 2022YJ161).

Data Availability Statement

The data presented in this study are openly available in [17].

Conflicts of Interest

The authors declare no conflict of interest.

Appendix A

Proof of Lemma 2.1.
From Equations (7)–(9), for α 1 , we have
lim α 1 0 ξ 1 ( α 1 ) = lim α 1 0 ( m r α 1 ln U 1 + β i = 1 r w i α 1 z i ln w i + ( m m r ) ( β w r α 1 ln w r ) e β w r α 1 1 e ( β w r α 1 ) ) + ,
lim α 1 + ξ 1 ( α 1 ) = lim α 1 + ( m r α 1 ln U 1 + β i = 1 r w i α 1 z i ln w i + ( m m r ) ( β w r α 1 ln w r ) e β w r α 1 1 e ( β w r α 1 ) ) U ( some negative quantity ) ,
and
ξ j ( α 1 ) = 2 ln L α 1 2 = m r α 1 2 α 1 β i = 1 r w i α 1 1 z i ln w i ( m m r ) α 1 β w r α 1 1 ln w r e β w r α 1 1 β w r α 1 e β w r α 1 ( 1 e β w r α 1 ) 2 < 0 .
For α 2 , we have
lim α 2 0 ξ 2 ( α 2 ) = lim α 2 0 ( n r α 2 ln U 2 + β i = 1 r w i α 2 z i ln w i + ( n n r ) ( β w r α 2 ln w r ) e β w r α 2 1 e ( β w r α 2 ) ) + ,
lim α 2 + ξ 2 ( α 2 ) = lim α 2 + ( n r α 2 ln U 2 + β i = 1 r w i α 2 z i ln w i + ( n n r ) ( β w r α 2 ln w r ) e β w r α 2 1 e ( β w r α 2 ) ) U ( some negative quantity ) ,
and
ξ j ( α 2 ) = 2 ln L α 2 2 = n r α 2 2 α 2 β i = 1 r w i α 2 1 z i ln w i ( n n r ) α 2 β w r α 2 1 ln w r e β w r α 2 1 β w r α 2 e β w r α 2 ( 1 e β w r α 2 ) 2 < 0 .
For β , we have
lim β 0 ξ 3 ( β ) = lim β 0 r β ( i = 1 r w i α 1 z i + i = 1 r w i α 2 ( 1 z i ) ) + ( m m r ) w r α 1 e β w r α 1 1 e β w r α 1 + ( n n r ) w r α 2 e β w r α 2 1 e β w r α 2 + ,
lim β + ξ 3 ( β ) = lim β + r β ( i = 1 r w i α 1 z i + i = 1 r w i α 2 ( 1 z i ) ) + ( m m r ) w r α 1 e β w r α 1 1 e β w r α 1 + ( n n r ) w r α 2 e β w r α 2 1 e β w r α 2 U ( some negative quantity ) ,
and
ξ j ( β ) = 2 ln L β 2 = r β 2 ( m m r ) w r 2 α 1 e β w r α 1 1 e β w r α 1 + w r α 1 e β w r α 1 ( 1 e β w r α 1 ) 2 ( n n r ) w r 2 α 2 e β w r α 2 1 e β w r α 2 + w r α 2 e β w r α 2 ( 1 e β w r α 2 ) 2 < 0 .
where U 1 = i = 1 r w i z i and U 2 = i = 1 r w i 1 z i .
Thus, it can be seen that ξ 1 ( α 1 ) , ξ 2 ( α 2 ) and ξ 3 ( β ) are the continuous functions on ( 0 , + ) , which decrease monotonically from + to negative quantity (U).Therefore, the MLEs of α j and β , j = 1, 2 exist and are the solution of ξ 1 ( α 1 ) = 0 , ξ 2 ( α 2 ) = 0 , and ξ 3 ( β ) = 0 and they are unique if m r < m < 2 m r and n r < n < 2 n r (see [23]). □

References

  1. Balakrishnan, N.; Rasouli, A. Exact likelihood inference for two exponential populations under joint Type-II censoring. Comput. Stat. Data Anal. 2008, 52, 2725–2738. [Google Scholar] [CrossRef]
  2. Shafay, A.; Balakrishnan, N.; Abdel-Aty, Y. Bayesian inference based on a jointly type-II censored sample from two exponential populations. J. Stat. Comput. Simul. 2014, 84, 2427–2440. [Google Scholar] [CrossRef]
  3. Abdel-Aty, Y. Exact likelihood inference for two populations from two-parameter exponential distributions under joint Type-II censoring. Commun.-Stat.-Theory Methods 2017, 46, 9026–9041. [Google Scholar] [CrossRef]
  4. Krishna, H.; Goel, R. Jointly type-II censored Lindley distributions. Commun.-Stat.-Theory Methods 2022, 51, 135–149. [Google Scholar] [CrossRef]
  5. Corsini, G.; Gini, F.; Greco, M.; Verrazzani, L. Cramer-Rao bounds and estimation of the parameters of the Gumbel distribution. IEEE Trans. Aerosp. Electron. Syst. 1995, 31, 1202–1204. [Google Scholar] [CrossRef]
  6. Mousa, M.A.; Jaheen, Z.; Ahmad, A. Bayesian estimation, prediction and characterization for the Gumbel model based on records. Stat. J. Theor. Appl. Stat. 2002, 36, 65–74. [Google Scholar] [CrossRef]
  7. Malinowska, I.; Szynal, D. On a family of Bayesian estimators and predictors for a Gumbel model based on the kth lower records. Appl. Math. 2004, 1, 107–115. [Google Scholar] [CrossRef]
  8. Nadarajah, S.; Kotz, S. The beta Gumbel distribution. Math. Probl. Eng. 2004, 2004, 323–332. [Google Scholar] [CrossRef]
  9. Miladinovic, B.; Tsokos, C.P. Ordinary, Bayes, empirical Bayes, and non-parametric reliability analysis for the modified Gumbel failure model. Nonlinear Anal. Theory Methods Appl. 2009, 71, e1426–e1436. [Google Scholar] [CrossRef]
  10. Feroze, N.; Aslam, M. Bayesian Analysis Of Gumbel Type II Distribution Under Doubly Censored Samples Using Different Loss Functions. Casp. J. Appl. Sci. Res. 2012, 1, 26–43. [Google Scholar]
  11. Abbas, K.; Fu, J.; Tang, Y. Bayesian estimation of Gumbel type-II distribution. Data Sci. J. 2013, 12, 33–46. [Google Scholar] [CrossRef]
  12. Feroze, N.; Aslam, M. Bayesian estimation of twocomponent mixture of gumbel type II distribution under informative priors. Int. J. Adv. Sci. Technol. 2013, 53, 11–30. [Google Scholar]
  13. Reyad, H.M.; Ahmed, S.O. E-Bayesian analysis of the Gumbel type-II distribution under type-II censored scheme. Int. J. Adv. Math. Sci. 2015, 3, 108–120. [Google Scholar] [CrossRef]
  14. Sindhu, T.N.; Feroze, N.; Aslam, M. Study of the left censored data from the gumbel type II distribution under a bayesian approach. J. Mod. Appl. Stat. Methods 2016, 15, 10–31. [Google Scholar] [CrossRef]
  15. Abbas, K.; Hussain, Z.; Rashid, N.; Ali, A.; Taj, M.; Khan, S.A.; Manzoor, S.; Khalil, U.; Khan, D.M. Bayesian estimation of gumbel type-II distribution under type-II censoring with medical applicatioNs. Comput. Math. Methods Med. 2020, 2020, 1876073. [Google Scholar] [CrossRef]
  16. Efron, B.; Tibshirani, R.J. An Introduction to the Bootstrap; Chapman and Hall Inc.: London, UK, 1993. [Google Scholar]
  17. Shuvashree Mondal, D.K. Exact inference on multiple exponential populations under a joint type-II progressive censoring scheme. Statistics 2019, 53, 1329–1356. [Google Scholar] [CrossRef]
  18. Akaike, H. A new look at the statistical model identification. IEEE Trans. Autom. Control 1974, 19, 716–723. [Google Scholar] [CrossRef]
  19. Schwarz, G.E. Estimating the dimension of a model. Ann. Stat. 1978, 6, 421–464. [Google Scholar] [CrossRef]
  20. Chen, P.; Ye, Z.S. Estimation of Field Reliability Based on Aggregate Lifetime Data. Technometrics 2017, 59, 115–125. [Google Scholar] [CrossRef]
  21. Hu, J.; Chen, P. Predictive maintenance of systems subject to hard failure based on proportional hazards model. Reliab. Eng. Syst. Saf. 2020, 196, 106707. [Google Scholar] [CrossRef]
  22. Luo, C.; Shen, L.; Xu, A. Modelling and estimation of system reliability under dynamic operating environments and lifetime ordering constraints. Reliab. Eng. Syst. Saf. 2022, 218, 108136. [Google Scholar] [CrossRef]
  23. Asgharzadeh, A.; Ng, H.; Valiollahi, R.; Azizpour, M. Statistical Inference for Lindley Model based on Type II Censored Data. J. Stat. Theory Appl. 2017, 16, 178–197. [Google Scholar] [CrossRef]
Figure 1. Joint Type-II censoring scheme when the r-th failure comes from product A.
Figure 1. Joint Type-II censoring scheme when the r-th failure comes from product A.
Axioms 12 00572 g001
Figure 2. Joint Type-II censoring scheme when r-th failure comes from product B.
Figure 2. Joint Type-II censoring scheme when r-th failure comes from product B.
Axioms 12 00572 g002
Figure 3. MLEs and Bayes estimates (gamma) of α 1 .
Figure 3. MLEs and Bayes estimates (gamma) of α 1 .
Axioms 12 00572 g003
Figure 4. MLEs and Bayes estimates (gamma) of α 2 .
Figure 4. MLEs and Bayes estimates (gamma) of α 2 .
Axioms 12 00572 g004
Figure 5. MLEs and Bayes estimates (gamma) of β .
Figure 5. MLEs and Bayes estimates (gamma) of β .
Axioms 12 00572 g005
Figure 6. MLEs and Bayes estimates (non-inf) of α 1 .
Figure 6. MLEs and Bayes estimates (non-inf) of α 1 .
Axioms 12 00572 g006
Figure 7. MLEs and Bayes estimates (non-inf) of α 2 .
Figure 7. MLEs and Bayes estimates (non-inf) of α 2 .
Axioms 12 00572 g007
Figure 8. MLEs and Bayes estimates (non-inf) of β .
Figure 8. MLEs and Bayes estimates (non-inf) of β .
Axioms 12 00572 g008
Figure 9. The interval coverages of parameter α 1 .
Figure 9. The interval coverages of parameter α 1 .
Axioms 12 00572 g009
Figure 10. The interval coverages of parameter α 2 .
Figure 10. The interval coverages of parameter α 2 .
Axioms 12 00572 g010
Figure 11. The interval coverages of parameter β .
Figure 11. The interval coverages of parameter β .
Axioms 12 00572 g011
Figure 12. BSELFs (gamma) of α 1 .
Figure 12. BSELFs (gamma) of α 1 .
Axioms 12 00572 g012
Figure 13. BPLFs (gamma) of α 1 .
Figure 13. BPLFs (gamma) of α 1 .
Axioms 12 00572 g013
Figure 14. BELFs (gamma) of α 1 .
Figure 14. BELFs (gamma) of α 1 .
Axioms 12 00572 g014
Figure 15. BSELFs (gamma) of α 2 .
Figure 15. BSELFs (gamma) of α 2 .
Axioms 12 00572 g015
Figure 16. BPLFs (gamma) of α 2 .
Figure 16. BPLFs (gamma) of α 2 .
Axioms 12 00572 g016
Figure 17. BELFs (gamma) of α 2 .
Figure 17. BELFs (gamma) of α 2 .
Axioms 12 00572 g017
Figure 18. BSELFs (gamma) of β .
Figure 18. BSELFs (gamma) of β .
Axioms 12 00572 g018
Figure 19. BPLFs (gamma) of β .
Figure 19. BPLFs (gamma) of β .
Axioms 12 00572 g019
Figure 20. BELFs (gamma) of β .
Figure 20. BELFs (gamma) of β .
Axioms 12 00572 g020
Figure 21. PDF of ( α 1 , β ) in real datasets.
Figure 21. PDF of ( α 1 , β ) in real datasets.
Axioms 12 00572 g021
Figure 22. CDF of ( α 1 , β ) in real datasets.
Figure 22. CDF of ( α 1 , β ) in real datasets.
Axioms 12 00572 g022
Figure 23. PDF of ( α 2 , β ) in real datasets.
Figure 23. PDF of ( α 2 , β ) in real datasets.
Axioms 12 00572 g023
Figure 24. CDF of ( α 2 , β ) in real datasets.
Figure 24. CDF of ( α 2 , β ) in real datasets.
Axioms 12 00572 g024
Table 1. MLEs and Bayesian estimations of parameters supposing informative priors a 1 = 11 ,   b 1 = 25 , a 2 = 12 ,   b 2 = 31 ,   c = 10.5 ,   d = 71 , and α 1 = 1.35 .
Table 1. MLEs and Bayesian estimations of parameters supposing informative priors a 1 = 11 ,   b 1 = 25 , a 2 = 12 ,   b 2 = 31 ,   c = 10.5 ,   d = 71 , and α 1 = 1.35 .
( m , n ) rMLE (MSE)BSELF (PR)BPLF (PR)BELF (PR)
(15, 15)181.4102 (0.0615)1.2613 (0.0217)1.2517 (0.0500)1.2329 (0.0173)
221.3821 (0.0481)1.2954 (0.0178)1.2716 (0.0604)1.2636 (0.0153)
251.3617 (0.0767)1.3395 (0.0146)1.3363 (0.0615)1.3231 (0.0149)
(15, 20)251.4037 (0.0587)1.2701 (0.0216)1.2507 (0.0479)1.2588 (0.0174)
281.3737 (0.0488)1.3105 (0.0152)1.3001 (0.0614)1.2922 (0.0146)
321.3570 (0.0589)1.3404 (0.0142)1.3399 (0.0563)1.3352 (0.0144)
(25, 25)421.3821 (0.1010)1.3076 (0.0167)1.2991 (0.0662)1.2967 (0.0169)
451.3637 (0.0451)1.3382 (0.0159)1.3284 (0.0634)1.3275 (0.0163)
481.3507 (0.0292)1.3461 (0.0145)1.3445 (0.0574)1.3393 (0.0147)
Table 2. MLEs and Bayesian estimations of parameters supposing informative priors a 1 = 11 ,   b 1 = 25 , a 2 = 12 ,   b 2 = 31 ,   c = 10.5 ,   d = 71 , and α 2 = 1.24 .
Table 2. MLEs and Bayesian estimations of parameters supposing informative priors a 1 = 11 ,   b 1 = 25 , a 2 = 12 ,   b 2 = 31 ,   c = 10.5 ,   d = 71 , and α 2 = 1.24 .
( m , n ) rMLE (MSE)BSELF (PR)BPLF (PR)BELF (PR)
(15, 15)181.2919 (0.0653)1.1791 (0.0182)1.1663 (0.0521)1.1492 (0.0823)
221.2653 (0.0481)1.2089 (0.0016)1.1953 (0.0634)1.1855 (0.0164)
251.2421 (0.0432)1.2378 (0.0154)1.2345 (0.0677)1.2246 (0.0144)
(15, 20)251.2882 (0.0557)1.1946 (0.0153)1.1878 (0.0639)1.1789 (0.0163)
281.2672 (0.0388)1.2114 (0.0143)1.2025 (0.0470)1.2000 (0.0145)
321.2416 (0.0426)1.2391 (0.0134)1.2360 (0.0533)1.2359 (0.0136)
(25, 25)421.2886 (0.0226)1.2066 (0.0159)1.1943 (0.0634)1.1904 (0.0162)
451.2682 (0.0388)1.2242 (0.0152)1.2119 (0.0606)1.2083 (0.0154)
481.2412 (0.0357)1.2391 (0.0137)1,2387 (0.0546)1.2307 (0.0139)
Table 3. MLEs and Bayesian estimations of parameters supposing informative priors a 1 = 11 ,   b 1 = 25 , a 2 = 12 ,   b 2 = 31 ,   c = 10.5 ,   d = 71 , and β = 0.90 .
Table 3. MLEs and Bayesian estimations of parameters supposing informative priors a 1 = 11 ,   b 1 = 25 , a 2 = 12 ,   b 2 = 31 ,   c = 10.5 ,   d = 71 , and β = 0.90 .
( m , n ) rBMLE (MSE)BSELF (PR)BPLF (PR)ELF (PR)
(15, 15)180.9275 (0.0506)0.8234 (0.0089)0.8082 (0.0354)0.8051 (0.0091)
220.9182 (0.0459)0.8681 (0.0086)0.8349 (0.0345)0.8243 (0.0087)
250.9002 (0.0328)0.8733 (0.0084)0.8602 (0.0334)0.8495 (0.0085)
(15, 20)250.9211 (0.0432)0.8684 (0.0081)0.8643 (0.0320)0.8436 (0.0091)
280.9197 (0.0445)0.8905 (0.0078)0.8923 (0.0031)0.8766 (0.0078)
320.9017 (0.0442)0.9069 (0.0076)0.9038 (0.0305)0.8938 (0.0077)
(25, 25)420.9174 (0.0557)0.8964 (0.0077)0.8933 (0.0304)0.8828 (0.0082)
450.9077 (0.0445)0.9039 (0.0075)0.9011 (0.0301)0.8996 (0.0076)
480.8987 (0.0442)0.9064 (0.0072)0.9081 (0.0291)0.9000 (0.0077)
Table 4. MLEs and Bayesian estimations of parameters supposing non-informative priors a 1 = 0 , b 1 = 25 ,   a 2 = 0 ,   b 2 = 31 ,   c = 0 ,   d = 71 , and α 1 = 1.35 .
Table 4. MLEs and Bayesian estimations of parameters supposing non-informative priors a 1 = 0 , b 1 = 25 ,   a 2 = 0 ,   b 2 = 31 ,   c = 0 ,   d = 71 , and α 1 = 1.35 .
( m , n ) rMLE (MSE)BSELF (PR)BPLF (PR)BELF (PR)
(15, 15)181.3917 (0.0641)1.2932 (0.0592)1.2812 (0.0339)1.2792 (0.0232)
221.3855 (0.0477)1.3282 (0.0411)1.3153 (0.0434)1.2903 (0.0165)
251.3608 (0.0671)1.3341 (0.0094)1.3226 (0.0244)1.3200 (0.0471)
(15, 20)251.3821 (0.0423)1.3199 (0.0489)1.3067 (0.0522)1.2930 (0.0254)
281.3744 (0.0379)1.3204 (0.0611)1.3221 (0.0401)1.3129 (0.0055)
321.3519 (0.0412)1.3389 (0,0391)1.3317 (0.0679)1.3312 (0.0244)
(25, 25)421.3721 (0.0330)1.3121 (0.0420)1.3082 (0.0319)1.3026 (0.0169)
451.3671 (0.0251)1.3334 (0.0392)1.3297 (0.0080)1.3231 (0.0266)
481.3501 (0.0092)1.3498 (0.0201)1.3447 (0.0223)1.3442 (0.0206)
Table 5. MLEs and Bayesian estimations of parameters supposing non-informative priors a 1 = 0 , b 1 = 25 ,   a 2 = 0 ,   b 2 = 31 ,   c = 0 ,   d = 71 , and α 2 = 1.24 .
Table 5. MLEs and Bayesian estimations of parameters supposing non-informative priors a 1 = 0 , b 1 = 25 ,   a 2 = 0 ,   b 2 = 31 ,   c = 0 ,   d = 71 , and α 2 = 1.24 .
( m , n ) rMLE (MSE)BSELF (PR)BPLF (PR)BELF (PR)
(15, 15)181.2952 (0.0621)1.1712 (0.0159)1.1882 (0.0391)1.1517 (0.0442)
221.2701 (0.0622)1.2059 (0.0069)1.1903 (0.0631)1.1841 (0.0357)
251.2519 (0.0399)1.2338 (0.0144)1.2372 (0.0388)1.2257 (0.0245)
(15, 20)251.2711 (0.0557)1.1989 (0.0136)1.1911 (0.0357)1.1897 (0.0442)
281.2592 (0.0418)1.2204 (0.0162)1.2153 (0.0498)1.2194 (0.0077)
321.2436 (0.0506)1.2355 (0.0119)1.2380 (0.0217)2.2272 (0.0301)
(25, 25)421.2771 (0.0457)1.2143 (0.0034)1.2037 (0.0214)1.2000 (0.0272)
521.2582 (0.0281)1.2319 (0.0106)1.2291 (0.0127)1.2214 (0.0154)
561.2417 (0.0451)1.2385 (0.0146)1.2356 (0.0800)1.2349 (0.0206)
Table 6. MLEs and Bayesian estimations of parameters supposing non-informative priors a 1 = 0 , b 1 = 25 ,   a 2 = 0 ,   b 2 = 31 ,   c = 0 ,   d = 71 , and β = 0.90 .
Table 6. MLEs and Bayesian estimations of parameters supposing non-informative priors a 1 = 0 , b 1 = 25 ,   a 2 = 0 ,   b 2 = 31 ,   c = 0 ,   d = 71 , and β = 0.90 .
( m , n ) rMLE (MSE)BSELF (PR)BPLF (PR)BELF (PR)
(15, 15)180.9231 (0.0421)0.8219 (0.0125)0.8062 (0.0354)0.7921 (0.0074)
220.9169 (0.0372)0.8413 (0.0079)0.8385 (0.0345)0.8155 (0.0077)
250.9102 (0.0316)0.8590 (0.0065)0.8510 (0.0334)0.8415 (0.0069)
(15, 20)250.9233 (0.0352)0.8566 (0.0061)0.8635 (0.0320)0.8491 (0.0082)
280.9187 (0.0412)0.8915 (0.0075)0.8971 (0.0031)0.8763 (0.0068)
320.9053 (0.0209)0.8983 (0.0086)0.9023 (0.0305)0.8942 (0.0074)
(25, 25)420.9141 (0.0374)0.8973 (0.0069)0.8842 (0.0304)0.8828 (0.0082)
450.9051 (0.0189)0.9039 (0.0075)0.8925 (0.0431)0.8906 (0.0065)
480.9004 (0.0365)0.9010 (0.0081)0.9039 (0.0255)0.8979 (0.0059)
Table 7. Lengths of ACI, SCI, boot-p CI, boot-t CI, and HPD for α 1 = 1.35 together with their CPs in brackets.
Table 7. Lengths of ACI, SCI, boot-p CI, boot-t CI, and HPD for α 1 = 1.35 together with their CPs in brackets.
( m , n ) rCISCIHPD (Gamma)HPD (Non-Inf)Boot-tBoot-p
(15, 15)180.8688 (0.9598)1.1052 (0.9821)0.8379 (0.9987)1.0230 (0.9993)0.9705 (0.9879)1.0314 (0.9872)
220.8319 (0.9677)1.0583 (0.9878)0.8596 (0.9997)1.0891 (0.9995)0.9301 (0.9971)0.9857 (0.9875)
250.8279 (0.9814)1.0238 (0.9885)0.8754 (0.9993)1.1113 (0.9998)0.9197 (0.9987)0.9692 (0.9875)
(15, 20)250.8047 (0.9585)1.0205 (0.9858)0.8780 (0.9995)1.1201 (0.9993)0,8999 (0.9937)0,9518 (0.9918)
280.8412 (0.9793)1.0701 (0.9788)0.9024 (0.9991)1.1298 (0.9995)0.8783 (0.9966)0,9397 (0.9924)
320.7364 (0.9830)0.9367 (0.9814)0.9126 (0.9995)1.1886 (0.9992)0.8572 (0.9995)0,9123 (0.9967)
(25, 25)420.7642 (0.9613)0.9721 (0.9836)0.8908 (0.9994)1.2230 (0.9999)0.8433 (0.9966)0,8800 (0.9943)
450.6304 (0.9745)0.8019 (0.9891)0.9033 (0.9998)1.2630 (0.9999)0.8126 (0.9988)0,8679 (0.9979)
480.5551 (0.9844)0.7061 (0.9950)0.9281 (0.9993)1.2952 (0.9995)0.7801 (0.9998)0,8324 (0.9981)
Table 8. Lengths of ACI, SCI, boot-p CI, boot-t CI, and HPD for α 2 = 1.24 together with their CPs in brackets.
Table 8. Lengths of ACI, SCI, boot-p CI, boot-t CI, and HPD for α 2 = 1.24 together with their CPs in brackets.
( m , n ) rCISCIHPD (Gamma)HPD (Non-Inf)Boot-tBoot-p
(15, 15)180.8096 (0.9530)1.0298 (0.9781)0.7509 (0.9992)0.9808 (0.9996)0.9066 (0.9947)0.9564 (0.9878)
220.7753 (0.9648)0.9862 (0.9908)0.7570 (0.9994)0.9921 (0.9998)0.8595 (0.9973)0.8960 (0.9896)
250.7744 (0.9658)0.9851 (0.9795)0.7760 (0.9999)1.0392 (0.9994)0.8502 (0.9998)0.8933 (0.9937)
(15, 20)250.7474 (0.9732)0.9537 (0.9885)0.7725 (0.9997)1.0537 (0.9993)0.8429 (0.9986)0.8851 (0.9947)
280.7795 (0.9713)0.9915 (0.9835)0.7967 (0.9991)1.0599 (0.9994)0.8211 (0.9998)0.8542 (0.9964)
320.6829 (0.9831)0.8687 (0.9835)0.8078 (0.9999)1.0808 (0.9995)0.7999 (0.9993)0.8214 (0.9977)
(25, 25)420.7004 (0.9607)0.8909 (0.9719)0.7849 (0.9991)1.0992 (0.9994)0.7741 (0.9978)0.8020 (0.9944)
450.5841 (0.9737)0.7430 (0.9826)0.7961 (0.9992)1.1142 (0.9995)0.7563 (0.9996)0.7822 (0.9984)
480.5147 (0.9738)0.6547 (0.9542)0.8281 (0.9992)1.1369 (0.9995)0.7239 (0.9996)0.7551 (0.9958)
Table 9. Lengths of ACI, SCI, boot-p CI, boot-t CI, and HPD for β 1 = 0.90 together with their CPs in brackets.
Table 9. Lengths of ACI, SCI, boot-p CI, boot-t CI, and HPD for β 1 = 0.90 together with their CPs in brackets.
( m , n ) rCISCIHPD (Gamma)HPD (Noinf)Boot-tBoot-p
(15, 15)180.5426 (0.9494)0.6756 (0.9603)0.4452 (0.9988)0.5980 (0.9996)0.7981 (0.9877)0.8626 (0.9895)
220.5573 (0.9549)0.7060 (0.9788)0.4038 (0.9995)0.5607 (0.9996)0.8518 (0.9985)0.8553 (0.9998)
250.5526 (0.9644)0.8071 (0.9817)0.4236 (0.9997)0.5812 (0.9998)0.8512 (0.9998)0.8507 (0.9998)
(15, 20)250.5267 (0.9412)0.7001 (0.9507)0.4363 (0.9987)0.5681 (0.9991)0.8241 (0.9972)0.8083 (0.9992)
280.5321 (0.9501)0.6769 (0.9606)0.4277 (0.9991)0.5980 (0.9996)0.7899 (0.9987)0.7868 (0.9998)
320.5167 (0.9679)0.6572 (0.9899)0.4343 (0.9999)0.6050 (0.9997)0.7583 (0.9999)0.7642 (0.9995)
(25, 25)430.4622 (0.9482)0.5879 (0.9697)0.4208 (0.9993)0.6174 (0.9996)0.7330 (0.9969)0.7401 (0.9993)
450.4097 (0.9525)0.5212 (0.9568)0.4281 (0.9991)0.6221 (0.9992)0.7090 (0.9985)0.7189 (0.9993)
480.3947 (0.9623)0.5021 (0.9756)0.4411 (0.9998)0.6378 (0.9999)0.6821 (0.9997)0.6903 (0.9999)
Table 10. The reliability estimation when a 1 = 6 ,   a 2 = 32 ,   b 1 = 7.5 ,   b 2 = 46.5 , c = 5 , d = 15.5 .
Table 10. The reliability estimation when a 1 = 6 ,   a 2 = 32 ,   b 1 = 7.5 ,   b 2 = 46.5 , c = 5 , d = 15.5 .
RTHT
MLESELFPLFELFMLESELFPLFELF
t = 0.2
α 1 , β 0.84990.85520.85240.86090.84560.81010.82710.7763
α 2 , β 0.86530.87230.86980.87710.75290.70920.72340.6808
t  =  0.8
α 1 , β 0.48960.50550.49850.51960.98820.93090.94900.8948
α 2 , β 0.52840.54950.54310.56250.88570.82150.83700.7908
t = 2
α 1 , β 0.15020.15210.14660.16351.09741.05611.07511.0179
α 2 , β 0.18130.18870.18290.20070.99280.94260.95880.9100
Table 11. The reliability estimation when a 1 = 0 ,   a 2 = 22 ,   b 1 = 0 ,   b 2 = 36 ,   c = 0 ,   d = 13 .
Table 11. The reliability estimation when a 1 = 0 ,   a 2 = 22 ,   b 1 = 0 ,   b 2 = 36 ,   c = 0 ,   d = 13 .
RTHT
MLESELFPLFELFMLESELFPLFELF
t = 0.2
α 1 , β 0.84990.8270.82230.83650.84560.98081.00980.9226
α 2 , β 0.86530.85460.85050.86280.75290.81360.83840.7647
t = 0.8
α 1 , β 0.48960.43990.42970.46130.98821.11201.14271.0506
α 2 , β 0.52840.50440.49430.52510.88570.93440.96090.8819
t = 2
α 1 , β 0.15020.10590.09960.11981.09741.24571.27751.1818
α 2 , β 0.18130.15180.14390.16870.99281.05881.08671.0036
Table 12. Breakdown times at voltages of 32 and 34 KV.
Table 12. Breakdown times at voltages of 32 and 34 KV.
Breakdown at 32 KV0.270.400.690.792.75
3.919.8813.9515.9327.80
53.2482.8589.29100.60215.10
Breakdown at 34 KV0.190.780.961.312.78
3.164.154.674.856.50
7.358.018.2712.0631.75
32.5333.9136.7172.89
Table 13. The joint Type-II censoring data.
Table 13. The joint Type-II censoring data.
Censored Data
W0.190.270.400.690.780.790.96
1.312.752.783.163.914.154.67
4.856.507.358.018.279.8812.06
13.9515.9327.8031.7532.5233.9136.71
Z1000101
1011011
1111101
0001111
Table 14. The K-S distances and p-values for different distributions.
Table 14. The K-S distances and p-values for different distributions.
DistributionK-S Distancesp-Value
Gumbel type-II distribution0.13210.9612
Lindley distribution0.38730.0346
Exponential distribution0.15390.9491
Table 15. The AICs and BICs for different distributions.
Table 15. The AICs and BICs for different distributions.
DistributionAICsBICs
Gumbel type-II distribution29.378331.9012
Lindley distribution46.812551.3321
Exponential distribution91.9002103.4182
Table 16. The estimation of parameter when a 1 = 6 ,   a 2 = 32 ,   b 1 = 7.5 ,   b 2 = 46.5 , c = 5 , d = 15.5 .
Table 16. The estimation of parameter when a 1 = 6 ,   a 2 = 32 ,   b 1 = 7.5 ,   b 2 = 46.5 , c = 5 , d = 15.5 .
Bayes Estimates
MLE (var)CISCIBSELF (PR)BPLF (PR)BELF (PR)HPD
α 1 0.4168 (0.0102)(0.2183, 0.6152)(0.1643, 0.6692)0.4881 (0.0342)0.5041 (0.1132)0.4548 (0.0365)(0.2867, 0.7513)
α 2 0.6295 (0.0113)(0.4214, 0.8376)(0.3647, 0.8943)0.6572 (0.0219)0.7027 (0.0853)0.6372 (0.0230)(0.3552, 0.7890)
β 1.8518 (0.1024)(1.2246, 2.4790)(1.0539, 2.6496)1.9432 (0.0135)1.9747 (0.0544)1.8809 (0.0133)(1.5189, 2.9302)
Table 17. The estimation of parameter when a 1 = 0 ,   a 2 = 22 ,   b 1 = 0 ,   b 2 = 36 , c = 0 , d = 13 .
Table 17. The estimation of parameter when a 1 = 0 ,   a 2 = 22 ,   b 1 = 0 ,   b 2 = 36 , c = 0 , d = 13 .
Bayes Estimates
MLE (var)CISCIBSELF (PR)BPLF (PR)BELF (PR)HPD
α 1 0.4168 (0.0102)(0.2183, 0.6152)( 0.1643, 0.6692)0.4892 (0.0521)0.5128 (0.1021)0.4671 (0.0537)(0.2458, 0.8562)
α 2 0.6295 (0.0113)(0.4214, 0.8376)(0.3647, 0.8943)0.6532 (0.0217)0.6662 (0.0827)0.6239 (0.0239)(0.3024, 0.7549)
β 1.8518 (0.1024)(1.2246, 2.4790)(1.0539, 2.6496)1.9026 (0.0818)1.8821 (0.0216)1.8346 (0.0207)(1.4095, 2.9231)
Disclaimer/Publisher’s Note: The statements, opinions and data contained in all publications are solely those of the individual author(s) and contributor(s) and not of MDPI and/or the editor(s). MDPI and/or the editor(s) disclaim responsibility for any injury to people or property resulting from any ideas, methods, instructions or products referred to in the content.

Share and Cite

MDPI and ACS Style

Qiu, Y.; Gui, W. Statistical Inference for Two Gumbel Type-II Distributions under Joint Type-II Censoring Scheme. Axioms 2023, 12, 572. https://doi.org/10.3390/axioms12060572

AMA Style

Qiu Y, Gui W. Statistical Inference for Two Gumbel Type-II Distributions under Joint Type-II Censoring Scheme. Axioms. 2023; 12(6):572. https://doi.org/10.3390/axioms12060572

Chicago/Turabian Style

Qiu, Yu, and Wenhao Gui. 2023. "Statistical Inference for Two Gumbel Type-II Distributions under Joint Type-II Censoring Scheme" Axioms 12, no. 6: 572. https://doi.org/10.3390/axioms12060572

APA Style

Qiu, Y., & Gui, W. (2023). Statistical Inference for Two Gumbel Type-II Distributions under Joint Type-II Censoring Scheme. Axioms, 12(6), 572. https://doi.org/10.3390/axioms12060572

Note that from the first issue of 2016, this journal uses article numbers instead of page numbers. See further details here.

Article Metrics

Back to TopTop