Modeling Environmental Pollution Using Varying-Coefficients Quantile Regression Models under Log-Symmetric Distributions
Abstract
:1. Introduction
2. Log-Symmetric Varying-Coefficient Quantile Regression Models
2.1. Formulation
2.2. Penalized Log-Likelihood Function
3. Parameter Estimation and Inference
3.1. Penalized Score Vector
3.2. Penalized Hessian Matrix
3.3. Penalized Fisher Information Matrix
3.4. Iterative Process
3.4.1. Unknown
3.4.2. Known
3.5. Approximate Standard Errors
3.6. Effective Degrees of Freedom and ’s
4. Diagnostic Analysis
4.1. Local Influence Analysis
- The case-weight perturbation scheme considers the perturbed penalized log-likelihood function aswhere is the vector of weights, with for .
- Regarding the response variable perturbation scheme, we consider an additive type of perturbation weighted by a scaling factor on the th response variable, i.e., , where is a scale factor that can be the sample standard deviation of and ∈ , for . Then, the perturbed penalized log-likelihood function is written as
- Initially, the model given in Equation (1) assumes that the power parameter is constant across observations. However, we can introduce a perturbation in the power parameter such that it is not constant between the observations, i.e., where , with for . Under this perturbation scheme, the perturbed penalized log-likelihood function is constructed from the expression defined in Equation (3) with being replaced by .
- The last perturbation scheme considered in this work consists of incorporating an additive type perturbation on one of the covariates , say , given by , where is a scale factor that can be the sample standard deviation of and , for . In this case, the perturbed penalized log-likelihood function can be expressed aswhere is as given in Equation (1) replacing for .
4.2. Generalized Leverage Matrix
5. Real Data Analysis
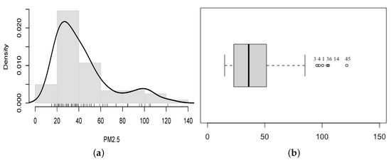
5.1. Exploratory Data Analysis
5.2. Parameter Estimation
5.3. Diagnostic Analysis
6. Discussion, Conclusions and Future Research
Author Contributions
Funding
Data Availability Statement
Conflicts of Interest
Appendix A
Appendix B
Appendix B.1. Case-Weight Perturbation
Appendix B.2. Response Variable Perturbation
- , , and , with
Appendix B.3. Power Parameter Perturbation
Appendix B.4. Explanatory Variable Perturbation
- ()
- for ,
- ()
- for ,
References
- Vanegas, L.; Paula, G. A semiparametric approach for joint modeling of median and skewness. Test 2015, 24, 110–135. [Google Scholar] [CrossRef]
- Arellano-Valle, R.B.; Gómez, H.W.; Quintana, F.A. A New Class of Skew-Normal Distributions. Commun. Stat. Theory Methods 2004, 33, 1465–1480. [Google Scholar] [CrossRef]
- Paula, G.A.; Leiva, V.; Barros, M.; Liu, S. Robust statistical modeling using the Birnbaum-Saunders-t distribution applied to insurance. Appl. Stoch. Model. Bus. Ind. 2012, 28, 16–34. [Google Scholar] [CrossRef]
- Leiva, V.; Santos-Neto, M.; Cysneiros, F.J.A.; Barros, M. Birnbaum–Saunders statistical modelling: A new approach. Stat. Model. 2014, 14, 21–48. [Google Scholar] [CrossRef]
- Sánchez, L.; Leiva, V.; Galea, M.; Saulo, H. Birnbaum-Saunders quantile regression and its diagnostics with application to economic data. Appl. Stoch. Model. Bus. Ind. 2021, 37, 53–73. [Google Scholar] [CrossRef]
- Sánchez, L.; Leiva, V.; Marchant, C.; Saulo, H.; Sarabia, J.M. A new quantile regression model and its diagnostic analytics for a Weibull distributed response with applications. Mathematics 2021, 9, 2768. [Google Scholar] [CrossRef]
- Saulo, H.; Dasilva, A.; Leiva, V.; Sanchez, L.; de la Fuente-Mella, H. Log-symmetric quantile regression models. Stat. Neerl. 2022, 76, 124–163. [Google Scholar] [CrossRef]
- Vanegas, L.; Paula, G. Log-symmetric distributions: Statistical properties and parameter estimation. Braz. J. Probab. Stat. 2016, 30, 196–220. [Google Scholar] [CrossRef]
- Vanegas, L.; Paula, G. An extension of log-symmetric regression models: R codes and applications. J. Stat. Simul. Comput. 2016, 86, 1709–1735. [Google Scholar] [CrossRef]
- Ventura, M.; Saulo, H.; Leiva, V.; Monsueto, S.E. Log-symmetric regression models: Information criteria and application to movie business and industry data. Appl. Stoch. Model. Bus. Ind. 2019, 35, 963–977. [Google Scholar] [CrossRef]
- Hao, L.; Naiman, D.Q. Quantile Regression; Sage Publications: London, UK, 2007. [Google Scholar]
- Koenker, R.; Chernozhukov, V.; He, X.; Peng, L. Handbook of Quantile Regression; CRC Press: Boca Raton, FL, USA, 2018. [Google Scholar]
- Noufaily, A.; Jones, M.C. Parametric quantile regression based on the generalized gamma distribution. J. R. Stat. Soc. Ser. 2013, 62, 723–740. [Google Scholar] [CrossRef]
- Hastie, T.; Tibshirani, R. Generalized Additive Models; Chapman and Hall: New York, NY, USA, 1990. [Google Scholar]
- Green, P.J.; Silverman, B.W. Nonparametric Regression and Generalized Linear Models; Chapman and Hall: Boca Raton, FL, USA, 1994. [Google Scholar]
- Ibacache-Pulgar, G.; Paula, G.A.; Cysneiros, F.J.A. Semiparametric additive models under symmetric distributions. Test 2013, 22, 103–121. [Google Scholar] [CrossRef]
- Ramires, T.; Ortega, E.; Hens, N.; Cordeiro, G.; Paula, G. A flexible semiparametric regression model for bimodal, asymmetric and censored data. J. Appl. Stat. 2018, 45, 1303–1324. [Google Scholar] [CrossRef]
- Manghi, R.; Cysneiros, F.J.A.; Paula, G. Generalized additive partial linear models for analyzing correlated data. Comput. Stat. Data Anal. 2019, 129, 47–60. [Google Scholar] [CrossRef]
- Oliveira, R.A.; Paula, G.A. Additive models with autoregressive symmetric errors based on penalized regression splines. Comput. Stat. 2021, 36, 2435–2466. [Google Scholar] [CrossRef]
- Ferreira, C.; Montoril, M.; Paula, G. Partially linear models with p-order autoregressive skew-normal errors. Braz. J. Probab. Stat. 2022, 36, 792–806. [Google Scholar]
- Cardozo, C.A.; Paula, G.A.; Vanegas, L.H. Generalized log-gamma additive partial linear models with P-spline smoothing. Stat. Pap. 2022, 63, 1953–1978. [Google Scholar] [CrossRef]
- Cavieres, M.F.; Leiva, V.; Marchant, C.; Rojas, F. A methodology for data-driven decision making in the monitoring of particulate matter environmental contamination in Santiago of Chile. Rev. Environ. Contam. Toxicol. 2020, 250, 5–67. [Google Scholar]
- Ibacache-Pulgar, G.; Reyes, S. Local influence for elliptical partially varying coefficient model. Stat. Model. 2018, 18, 149–174. [Google Scholar] [CrossRef]
- Good, I.J.; Gaskins, R.A. Nonparametric roughness penalties for probability densities. Biometrika 1971, 58, 255–277. [Google Scholar] [CrossRef]
- Silverman, B.W. Some aspects of the spline smoothing approach to non-parametric regression curve fitting. J. R. Stat. 1985, 47, 1–52. [Google Scholar] [CrossRef]
- Green, P.J. Penalized likelihood for general semi-parametric regression models. Int. Stat. Rev. 1987, 55, 245–259. [Google Scholar] [CrossRef]
- Adams, R.A.; Fournier, J. Sobolev Spaces. In Pure and Applied Mathematics; Academic Press: Boston, MA, USA, 2003. [Google Scholar]
- Rigby, R.A.; Stasinopoulos, D.M. Generalized additive models for location, scale and shape. J. R. Stat. Soc. Ser. (Appl. Stat.) 2005, 54, 507–554. [Google Scholar] [CrossRef]
- Berhane, K.; Tibshirani, J. Generalized additive models for longitudinal data. Can. J. Stat. 1998, 26, 517–535. [Google Scholar] [CrossRef]
- Cook, R.D. Assessment of local influence (with discussion). J. R. Stat. Soc. 1986, 48, 133–169. [Google Scholar]
- Escobar, L.; Meeker, W. Assessing influence in regression analysis with censored data. Biometrics 1992, 48, 507–528. [Google Scholar] [CrossRef]
- Wei, B.C.; Hu, Y.Q.; Fung, W.K. Generalized leverage and its applications. Scand. J. Stat. 1998, 25, 25–37. [Google Scholar] [CrossRef]








| Variable | n | Min | Max | Range | Mean | Median | SD | CS | CK |
|---|---|---|---|---|---|---|---|---|---|
| PM2.5 | 61 | 15 | 121.5 | 106.5 | 43.4 | 36.0 | 26.0 | 1.3 | 0.8 |
| Model | Parameter | Estimate | SE | p-Value | AIC |
|---|---|---|---|---|---|
| Log-normal | 3.072 | 2.2 × 10 | <0.001 | 374.1 | |
| 0.068 | 1.1 × 10 | <0.001 | |||
| 0.013 | 4.1 × 10 | ||||
| 4034.3 | |||||
| 2.2 × 10 | |||||
| df() | 4.001 | ||||
| df() | 4.466 | ||||
| Log-() | 3.052 | 1.7 × 10 | <0.001 | 361.3 | |
| 0.070 | 8.3 × 10 | <0.001 | |||
| 0.007 | 4.9 × 10 | ||||
| 4034.3 | |||||
| 5.9 × 10 | |||||
| df( | 4.556 | ||||
| df() | 4.198 |
| Parameters | Relative Changes | |||||
|---|---|---|---|---|---|---|
| Removed Case | RC | RC | RC | |||
| none | 3.052 | 0.069 | 0.007 | |||
| (<0.001) | (<0.001) | |||||
| {#13} | 3.213 | 0.066 | 0.007 | 5.1% | 4.7% | 4.0% |
| (<0.001) | (<0.001) | |||||
| {#18} | 2.961 | 0.072 | 0.006 | 3.0% | 3.4% | 5.5% |
| (<0.001) | (<0.001) | |||||
| {#31} | 3.095 | 0.069 | 0.007 | 1.4% | 1.1% | 3.9% |
| (<0.001) | (<0.001) | |||||
| {#45} | 2.891 | 0.073 | 0.006 | 5.3% | 5.6% | 4.0% |
| (<0.001) | (<0.001) | |||||
| {#13, #18} | 3.415 | 0.065 | 0.006 | 11.9% | 6.7% | 18.0% |
| (<0.001) | (<0.001) | |||||
| {#13, #31} | 3.223 | 0.066 | 0.006 | 5.6% | 4.7% | 9.4% |
| (<0.001) | (<0.001) | |||||
| {#13, #45} | 3.093 | 0.069 | 0.006 | 1.4% | 0.4% | 13.0% |
| (<0.001) | (<0.001) | |||||
| {#18, #31} | 3.011 | 0.071 | 0.006 | 1.3% | 2.2% | 9.5% |
| (<0.001) | (<0.001) | |||||
| {#18, #45} | 2.901 | 0.073 | 0.006 | 4.9% | 5.4% | 10.9% |
| (<0.001) | (<0.001) | |||||
| {#13, #18, #31} | 3.488 | 0.064 | 0.005 | 14.3% | 7.8% | 20.5% |
| (<0.001) | (<0.001) | |||||
| {#13, #18, #45} | 3.005 | 0.071 | 0.006 | 1.5% | 2.8% | 17.4% |
| (<0.001) | (<0.001) | |||||
| {#18, #31, #45} | 2.960 | 0.072 | 0.006 | 3.0% | 4.0% | 14.5% |
| (<0.001) | (<0.001) | |||||
| {#13, #18, #31, #45} | 3.046 | 0.071 | 0.005 | 0.2% | 1.9% | 21.4% |
| (<0.001) | (<0.001) | |||||
Disclaimer/Publisher’s Note: The statements, opinions and data contained in all publications are solely those of the individual author(s) and contributor(s) and not of MDPI and/or the editor(s). MDPI and/or the editor(s) disclaim responsibility for any injury to people or property resulting from any ideas, methods, instructions or products referred to in the content. |
© 2023 by the authors. Licensee MDPI, Basel, Switzerland. This article is an open access article distributed under the terms and conditions of the Creative Commons Attribution (CC BY) license (https://creativecommons.org/licenses/by/4.0/).
Share and Cite
Sánchez, L.; Ibacache-Pulgar, G.; Marchant, C.; Riquelme, M. Modeling Environmental Pollution Using Varying-Coefficients Quantile Regression Models under Log-Symmetric Distributions. Axioms 2023, 12, 976. https://doi.org/10.3390/axioms12100976
Sánchez L, Ibacache-Pulgar G, Marchant C, Riquelme M. Modeling Environmental Pollution Using Varying-Coefficients Quantile Regression Models under Log-Symmetric Distributions. Axioms. 2023; 12(10):976. https://doi.org/10.3390/axioms12100976
Chicago/Turabian StyleSánchez, Luis, Germán Ibacache-Pulgar, Carolina Marchant, and Marco Riquelme. 2023. "Modeling Environmental Pollution Using Varying-Coefficients Quantile Regression Models under Log-Symmetric Distributions" Axioms 12, no. 10: 976. https://doi.org/10.3390/axioms12100976
APA StyleSánchez, L., Ibacache-Pulgar, G., Marchant, C., & Riquelme, M. (2023). Modeling Environmental Pollution Using Varying-Coefficients Quantile Regression Models under Log-Symmetric Distributions. Axioms, 12(10), 976. https://doi.org/10.3390/axioms12100976

