A Strong Convergence Theorem for Split Null Point Problem and Generalized Mixed Equilibrium Problem in Real Hilbert Spaces
Abstract
1. Introduction
2. Preliminaries
- (i)
- T is firmly nonexpansive,
- (ii)
- is firmly nonexpansive,
- (iii)
- is nonexpansive,
- (iv)
- ,
- (v)
- ()
- for all
- F is monotone, i.e., for all
- ()
- for each
- ()
- for each is convex and lower semicontinuous.
- (i)
- for each
- (ii)
- is single valued,
- (iii)
- is firmly nonexpansive, i.e., for any
- (iv)
- ,
- (v)
- is closed and convex.
3. Main Result
- (i)
- (ii)
- (iii)
- (i)
- (ii)
- (iii)
- (i)
- (ii)
- (iii)
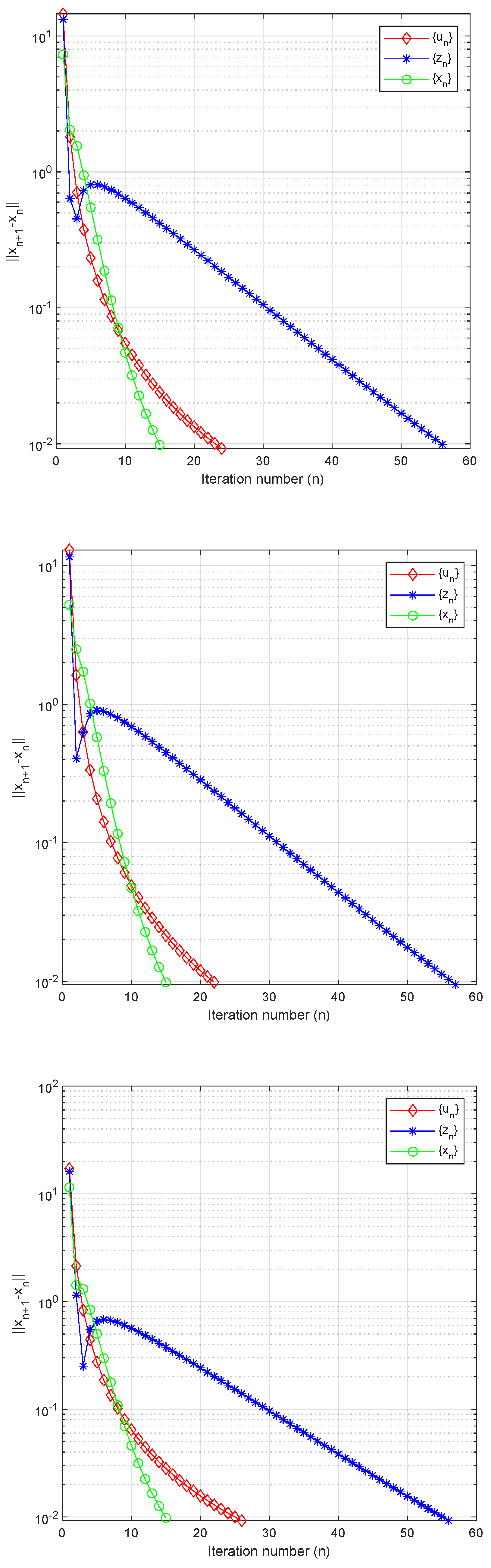
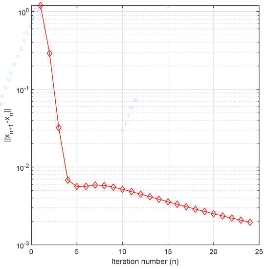
4. Numerical Example
- Case 1
- Case 2
- Case 3
5. Conclusions
Author Contributions
Funding
Acknowledgments
Conflicts of Interest
References
- Blum, E.; Oettli, W. From optimization and variational inequalities to equilibrium problems. Math. Stud. 1994, 63, 123–145. [Google Scholar]
- Chang, S.S.; Joseph, H.W.L.; Chan, C.K. A new method for solving equilibrium problem, fixed point problem and variational inequality problem with application to optimization. Nonlinear Anal. 2009, 70, 3307–3319. [Google Scholar] [CrossRef]
- Nguyen, V.T. Golden Ratio Algorithms for Solving Equilibrium Problems in Hilbert Spaces. arXiv 2018, arXiv:1804.01829. [Google Scholar]
- Oyewole, O.K.; Mewomo, O.T.; Jolaoso, L.O.; Khan, S.H. An extragradient algorithm for split generalized equilibrium problem and the set of fixed points of quasi-φ-nonexpansive mappings in Banach spaces. Turkish J. Math. 2020, 44, 1146–1170. [Google Scholar] [CrossRef]
- Alakoya, T.O.; Taiwo, A.; Mewomo, O.T.; Cho, Y.J. An iterative algorithm for solving variational inequality, generalized mixed equilibrium, convex minimization and zeros problems for a class of nonexpansive-type mappings. Ann. Univ. Ferrara Sez. VII Sci. Mat. 2020. [Google Scholar] [CrossRef]
- Alakoya, T.O.; Jolaoso, L.O.; Mewomo, O.T. Modified inertia subgradient extragradient method with self adaptive stepsize for solving monotone variational inequality and fixed point problems. Optimization 2020. [Google Scholar] [CrossRef]
- Khan, S.H.; Alakoya, T.O.; Mewomo, O.T. Relaxed projection methods with self-adaptive step size for solving variational inequality and fixed point problems for an infinite family of multivalued relatively nonexpansive mappings in Banach spaces. Math. Comput. Appl. 2020, 25, 54. [Google Scholar] [CrossRef]
- Qin, X.; Shang, M.; Su, Y. A general iterative method for equilibrium problem and fixed point problem in Hilbert spaces. Nonlinear Anal. 2008, 69, 3897–3909. [Google Scholar] [CrossRef]
- Oyewole, O.K.; Abass, H.A.; Mewomo, O.T. Strong convergence algorithm for a fixed point constraint split null point problem. Rend. Circ. Mat. Palermo II 2020. [Google Scholar] [CrossRef]
- Jolaoso, L.O.; Alakoya, T.O.; Taiwo, A.; Mewomo, O.T. Inertial extragradient method via viscosity approximation approach for solving Equilibrium problem in Hilbert space. Optimization 2020. [Google Scholar] [CrossRef]
- Li, S.; Li, L.; Cao, L.; He, X.; Yue, X. Hybrid extragradient method for generalized mixed equilibrium problem and fixed point problems in Hilbert space. Fixed Point Theory Appl. 2013, 2013, 240. [Google Scholar] [CrossRef]
- Alakoya, T.O.; Jolaoso, L.O.; Mewomo, O.T. A general iterative method for finding common fixed point of finite family of demicontractive mappings with accretive variational inequality problems in Banach spaces. Nonlinear Stud. 2020, 27, 1–24. [Google Scholar]
- Aremu, K.O.; Izuchukwu, C.; Ogwo, G.N.; Mewomo, O.T. Multi-step Iterative algorithm for minimization and fixed point problems in p-uniformly convex metric spaces. J. Ind. Manag. Optim. 2020. [Google Scholar] [CrossRef]
- Ceng, L.-C.; Yao, J.-C. A hybrid iterative scheme for mixed equilibrium problems and fixed point problems. J. Comput. Appl. Math. 2008, 214, 186–201. [Google Scholar] [CrossRef]
- Flam, S.D.; Antiprin, A.S. Equilibrium programming using proximal-like algorithm. Math. Programm. 1997, 78, 29–41. [Google Scholar] [CrossRef]
- Combettes, P.L.; Histoaga, S.A. Equilibrium programming in Hilbert spaces. J. Nonlinear Convex Anal. 2005, 6, 117–136. [Google Scholar]
- Izuchukwu, C.; Ogwo, G.N.; Mewomo, O.T. An Inertial Method for solving Generalized Split Feasibility Problems over the solution set of Monotone Variational Inclusions. Optimization 2020. [Google Scholar] [CrossRef]
- Oyewole, O.K.; Mewomo, O.T. A subgradient extragradient algorithm for solving split equilibrium and fixed point problems in reflexive Banach spaces. J. Nonlinear Funct. Anal. 2020, 2020, 19. [Google Scholar]
- Taiwo, A.; Alakoya, T.O.; Mewomo, O.T. Halpern-type iterative process for solving split common fixed point and monotone variational inclusion problem between Banach spaces. Numer. Algorithms 2020. [Google Scholar] [CrossRef]
- Taiwo, A.; Jolaoso, L.O.; Mewomo, O.T.; Gibali, A. On generalized mixed equilibrium problem with α-β-μ bifunction and μ-τ monotone mapping. J. Nonlinear Convex Anal. 2020, 21, 1381–1401. [Google Scholar]
- Taiwo, A.; Jolaoso, L.O.; Mewomo, O.T. Inertial-type algorithm for solving split common fixed-point problem in Banach spaces. J. Sci. Comput. 2014, 2014, 389689. [Google Scholar] [CrossRef]
- Martinet, B. Regularisation d’inequations variationelles par approximations successives. Rev. Franaise Inf. Rech. Oper. 1970, 4, 154–158. [Google Scholar]
- Alakoya, T.O.; Jolaoso, L.O.; Mewomo, O.T. A self adaptive inertial algorithm for solving split variational inclusion and fixed point problems with applications. J. Ind. Manag. Optim. 2020. [Google Scholar] [CrossRef]
- Alakoya, T.O.; Jolaoso, L.O.; Mewomo, O.T. Two modifications of the inertial Tseng extragradient method with self-adaptive step size for solving monotone variational inequality problems. Demonstr. Math. 2020, 53, 208–224. [Google Scholar] [CrossRef]
- Cho, S.Y.; Dehaish, B.A.B.; Qin, X. Weak convergence on a splitting algorithm in Hilbert spaces. J. Appl. Anal. Comput. 2017, 7, 427–438. [Google Scholar]
- Dehghan, H.; Izuchukwu, C.; Mewomo, O.T.; Taba, D.A.; Ugwunnadi, G.C. Iterative algorithm for a family of monotone inclusion problems in CAT(0) spaces. Quaest. Math. 2020, 43, 975–998. [Google Scholar] [CrossRef]
- Gibali, A.; Jolaoso, L.O.; Mewomo, O.T.; Taiwo, A. Fast and simple Bregman projection methods for solving variational inequalities and related problems in Banach spaces. Results Math. 2020, 75, 36. [Google Scholar] [CrossRef]
- Godwin, E.C.; Izuchukwu, C.; Mewomo, O.T. An inertial extrapolation method for solving generalized split feasibility problems in real Hilbert spaces. Boll. Unione Mat. Ital. 2020. [Google Scholar] [CrossRef]
- Izuchukwu, C.; Aremu, K.O.; Mebawondu, A.A.; Mewomo, O.T. A viscosity iterative technique for equilibrium and fixed point problems in a Hadamard space. Appl. Gen. Topol. 2019, 20, 193–210. [Google Scholar] [CrossRef]
- Izuchukwu, C.; Mebawondu, A.A.; Aremu, K.O.; Abass, H.A.; Mewomo, O.T. Viscosity iterative techniques for approximating a common zero of monotone operators in an Hadamard space. Rend. Circ. Mat. Palermo II 2020, 69, 475–495. [Google Scholar] [CrossRef]
- Izuchukwu, C.; Mebawondu, A.A.; Mewomo, O.T. A New Method for Solving Split Variational Inequality Problems without Co-coerciveness. J. Fixed Point Theory Appl. 2020, 22, 1–23. [Google Scholar] [CrossRef]
- Jolaoso, L.O.; Taiwo, A.; Alakoya, T.O.; Mewomo, O.T. Strong convergence theorem for solving pseudo-monotone variational inequality problem using projection method in a reflexive Banach space. J. Optim. Theory Appl. 2020, 185, 744–766. [Google Scholar] [CrossRef]
- Jolaoso, L.O.; Oyewole, O.K.; Aremu, K.O.; Mewomo, O.T. A new efficient algorithm for finding common fixed points of multivalued demicontractive mappings and solutions of split generalized equilibrium problems in Hilbert spaces. Int. J. Comput. Math. 2020. [Google Scholar] [CrossRef]
- Jolaoso, L.O.; Taiwo, A.; Alakoya, T.O.; Mewomo, O.T. A unified algorithm for solving variational inequality and fixed point problems with application to the split equality problem. Comput. Appl. Math. 2020, 39, 38. [Google Scholar] [CrossRef]
- Oyewole, O.K.; Jolaoso, L.O.; Izuchukwu, C.; Mewomo, O.T. On approximation of common solution of finite family of mixed equilibrium problems involving μ-α relaxed monotone mapping in a Banach space. Politehn. Univ. Bucharest Sci. Bull. Ser. A Appl. Math. Phys. 2019, 81, 19–34. [Google Scholar]
- Shehu, Y.; Iyiola, O.S. Iterative algorithms for solving fixed point problems and variational inequalities with uniformly continuous monotone operators. Numer. Algorithms 2018, 79, 529–553. [Google Scholar] [CrossRef]
- Suwannaprapa, M.; Petrot, N. Finding a solution of split null point of the sum of monotone operators without prior knowledge of operator norms in Hilbert space. J. Nonlinear Sci. Appl. 2018, 11, 683–700. [Google Scholar] [CrossRef][Green Version]
- Censor, Y.; Elfving, T. A multiprojection algorithm using Bregman projections in product space. Numer. Algorithms 1994, 8, 221–239. [Google Scholar] [CrossRef]
- Bryne, C. Iterative oblique projection onto convex sets and split feasibility problem. Inverse Probl. 2002, 18, 441–453. [Google Scholar] [CrossRef]
- Censor, Y.; Bortfield, T.; Martin, B.; Trofimov, A. A unified approach for inversion problems in intensity-modulated radiation therapy. Phys. Med. Biol. 2006, 51, 2353–2365. [Google Scholar] [CrossRef]
- Lopez, G.; Martin-Marquez, V.; Wang, F.; Xu, H.K. Solving the split feasibility problem without prior knowledge of matrix norms. Inverse Probl. 2012, 28, 085004. [Google Scholar] [CrossRef]
- Bryne, C.; Censor, Y.; Gibali, A.; Reich, S. Weak and strong convergence of algorithms for the split common null point problem. J. Nonlinear Convex Anal. 2012, 13, 759–775. [Google Scholar]
- Bauschke, H.H.; Combettes, P.L. Convex Analysis and Monotone Operator Theory in Hilbert Spaces; Springer: Berlin, Germany, 2011. [Google Scholar]
- Boikanyo, O.A. The viscosity approximation forward-backward splitting method for zeros of the sum of monotone operators. Abstr. Appl. Anal. 2016, 2016, 10. [Google Scholar] [CrossRef][Green Version]
- Xu, H.K. Averaged mappings and the gradient-projection algorithm. J. Optim. Theory. Appl. 2011, 150, 360–378. [Google Scholar] [CrossRef]
- Rockafellar, R.T. On the maximality of sums of nonlinear monotone operators. Trans. Amer. Math. Soc. 1970, 149, 75–88. [Google Scholar] [CrossRef]
- Taiwo, A.; Owolabi, A.O.-E.; Jolaoso, L.O.; Mewomo, O.T.; Gibali, A. A new approximation scheme for solving various split inverse problems. Afr. Mat. 2020. [Google Scholar] [CrossRef]
- Taiwo, A.; Jolaoso, L.O.; Mewomo, O.T. Viscosity approximation method for solving the multiple-set split equality common fixed-point problems for quasi-pseudocontractive mappings in Hilbert Spaces. J. Ind. Manag. Optim. 2020. [Google Scholar] [CrossRef]
- Ogwo, G.N.; Izuchukwu, C.; Aremu, K.O.; Mewomo, O.T. A viscosity iterative algorithm for a family of monotone inclusion problems in an Hadamard space. Bull. Belg. Math. Soc. Simon Stevin 2020, 27, 127–152. [Google Scholar] [CrossRef]
- Xu, H.K. Iterative algorithms for nonlinear operators. J. Lond. Math. Soc. 2002, 66, 240–256. [Google Scholar] [CrossRef]



Publisher’s Note: MDPI stays neutral with regard to jurisdictional claims in published maps and institutional affiliations. |
© 2021 by the authors. Licensee MDPI, Basel, Switzerland. This article is an open access article distributed under the terms and conditions of the Creative Commons Attribution (CC BY) license (http://creativecommons.org/licenses/by/4.0/).
Share and Cite
Oyewole, O.K.; Mewomo, O.T. A Strong Convergence Theorem for Split Null Point Problem and Generalized Mixed Equilibrium Problem in Real Hilbert Spaces. Axioms 2021, 10, 16. https://doi.org/10.3390/axioms10010016
Oyewole OK, Mewomo OT. A Strong Convergence Theorem for Split Null Point Problem and Generalized Mixed Equilibrium Problem in Real Hilbert Spaces. Axioms. 2021; 10(1):16. https://doi.org/10.3390/axioms10010016
Chicago/Turabian StyleOyewole, Olawale Kazeem, and Oluwatosin Temitope Mewomo. 2021. "A Strong Convergence Theorem for Split Null Point Problem and Generalized Mixed Equilibrium Problem in Real Hilbert Spaces" Axioms 10, no. 1: 16. https://doi.org/10.3390/axioms10010016
APA StyleOyewole, O. K., & Mewomo, O. T. (2021). A Strong Convergence Theorem for Split Null Point Problem and Generalized Mixed Equilibrium Problem in Real Hilbert Spaces. Axioms, 10(1), 16. https://doi.org/10.3390/axioms10010016

