The Crystallization Age and Tectonic Significance of Multi-Stage Magmatic Intrusions in the Jiangligou Area, Western Qinling, China
Abstract
1. Introduction
2. Geological Background
3. Samples and Methods
3.1. Sample Collection
3.2. Methods
4. Results
4.1. Petrographic Characteristics
4.2. Zircon U–Pb Dates and Hf Isotope Characteristics
4.3. Major Element Characteristics
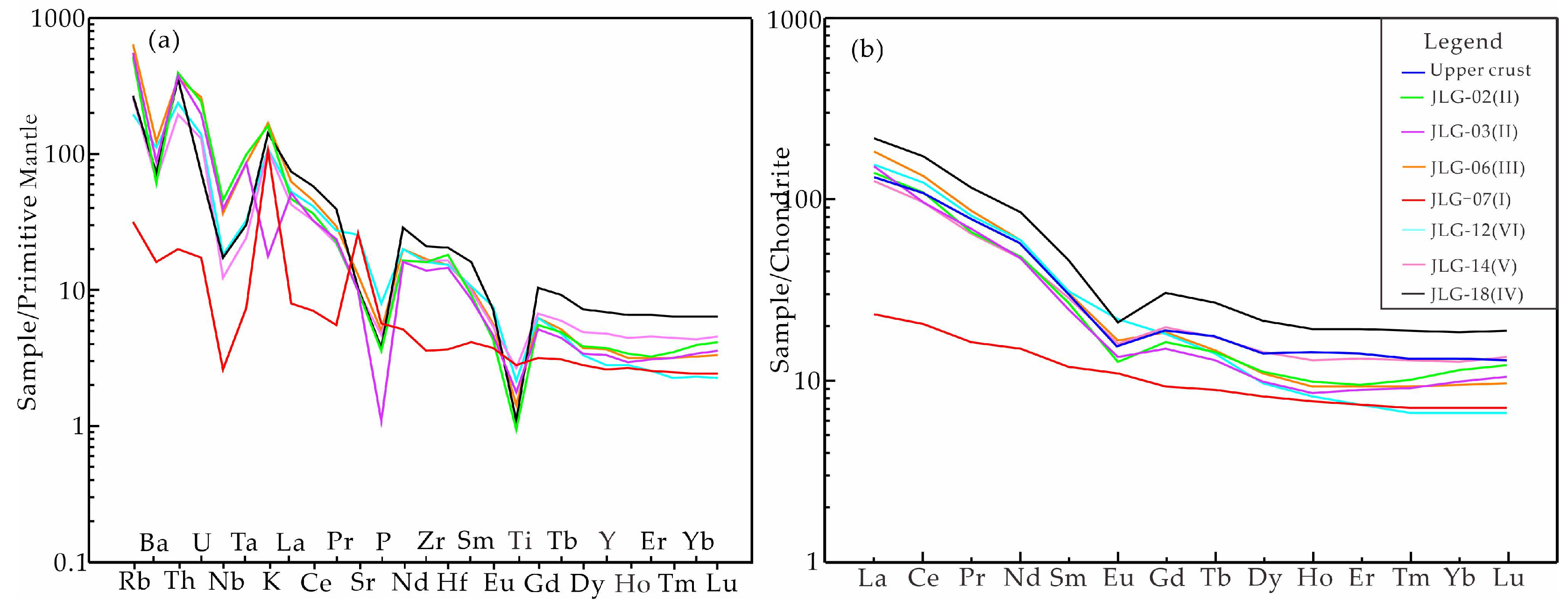
4.4. Trace Element and Rare Earth Element Characteristics
5. Discussion
5.1. Zircon Geochemistry and Crystallization Ages of the Plutons
5.2. Petrogenesis of the Plutons
5.3. Tectonic Setting and Its Implications for the Tectonic Evolution of the West Qinling
5.3.1. Multi-Stage Magmatism and Tectonic Significance
5.3.2. Geochemical Evidence for Tectonic Setting
5.3.3. Regional Tectonic Evolution Model
6. Conclusions
Supplementary Materials
Author Contributions
Funding
Data Availability Statement
Acknowledgments
Conflicts of Interest
References
- Dong, Y.P.; Zhang, G.W.; Neubauer, F.; Liu, X.M.; Genser, J.; Hauzenberger, C. Tectonic evolution of the Qinling orogen, China: Review and synthesis. J. Asian Earth Sci. 2011, 41, 213–237. [Google Scholar] [CrossRef]
- Martin, H. Adakitic magmas: Modern analogues of Archaean granitoids. Lithos 1999, 46, 411–429. [Google Scholar] [CrossRef]
- Xu, X.Y.; Li, T.; Chen, J.L.; Li, P. The Granitic Magmatism and Mineralization in West Section of the Western Qinling, NW China. Northwestern Geol. 2012, 45, 76–82, (In Chinese with English Abstract). [Google Scholar]
- Castillo, P.R. Adakite petrogenesis. Lithos 2012, 134, 304–316. [Google Scholar] [CrossRef]
- Sun, X.P.; Xu, X.Y.; Chen, J.L.; Gao, T.; Li, T.; Li, X.B.; Li, X.Y. Geochemical Characteristics and Chronology of the Jiangligou Granitic Pluton in West Qinling and Their Geological Significance. Acta Geol. Sin. 2013, 87, 330–342, (In Chinese with English Abstract). [Google Scholar]
- Xu, X.Y.; Chen, J.L.; Gao, T.; Li, P.; Li, T. Granitic Magmatism and Tectonic Evolution in the Northern edge of the Western Qinling terrane, NW China. Acta Petrol. Sin. 2014, 30, 371–389, (In Chinese with English Abstract). [Google Scholar]
- Lu, D.Y.; Ye, H.S.; Cao, J.; Qi, L.Z.; Wang, P.; Chao, W.W. LA-ICP-MS zircon U-Pb ages, Hf isotopic compositions, geochemistry characteristics and its geological significance of Jiangligou composite granite, West Qingling Orogen. Acta Petrol. Sin. 2017, 33, 942–962, (In Chinese with English Abstract). [Google Scholar]
- Ni, C.Y.; Jiang, Y.H. Petrogenesis and Tectonic Implications of the Indosinian Fengxian Pluton, Western Qinling Orogeny. Geol. J. China Univ. 2023, 29, 559–573. [Google Scholar] [CrossRef]
- Liu, X.C.; Hu, G.H.; Hu, F.F.; Wang, H.; Wang, Y. Genetic links of crustal radiogenic heating to peraluminous granites. Lithos 2025, 504–505, 108028. [Google Scholar] [CrossRef]
- Menzies, M.A.; Fan, W.M.; Zhang, M. Palaeozoic and Cenozoic lithoprobes and the loss of >120 km of Archaean lithosphere, Sino-Korean craton, China. Geol. Soc. Lond. Spec. Publ. 1993, 76, 71–81. [Google Scholar] [CrossRef]
- Lu, D.Y.; Ye, H.S.; Yu, M.; Cao, J.; Tan, J.; Tian, J. Geological features and molybdenite Re-Os isotopic dating of the Jiangligou W-Cu-Mo polymetallic deposit, West Qinling. Acta Geol. Sin. 2015, 89, 731–746. [Google Scholar]
- Goldfarb, R.J.; Groves, D.I. Orogenic gold: Common or evolving fluid and metal sources through time. Lithos 2015, 233, 2–26. [Google Scholar] [CrossRef]
- Groves, D.I.; Santosh, M.; Deng, J.; Wang, Q.F.; Yang, L.Q.; Zhang, L. A holistic model for the origin of orogenic gold deposits and its implications for exploration. Miner. Depos. 2020, 55, 275–292. [Google Scholar] [CrossRef]
- Wang, J.Q.; Liu, X.M. Proficiency Testing of the XRF Method for Measuring 10 Major Elements in Different Rock Types. Rock Miner. Anal. 2016, 35, 145–151, (In Chinese with English Abstract). [Google Scholar] [CrossRef]
- Liu, Y.; Liu, X.M.; Hu, Z.C.; Diwu, C.R.; Yuan, H.L.; Gao, S. Evaluation of Accuracy and Long-Term Stability of Determination of 37 Elements in Geological Samples by ICP-MS. Acta Petrol. Sin. 2007, 23, 1203–1210, (In Chinese with English Abstract). [Google Scholar]
- Yuan, H.L.; Gao, S.; Liu, X.M.; Li, H.M.; Günther, D.; Wu, F.Y. Accurate U-Pb Age and Trace Element Determinations of Zircon by Laser Ablation-Inductively Coupled Plasma-Mass Spectrometry. Geostand. Geoanalytical Res. 2004, 28, 353–370. [Google Scholar] [CrossRef]
- Andersen, T. Correction of common lead in U-Pb analyses that do not report 204Pb. Chem. Geol. 2002, 192, 59–79. [Google Scholar] [CrossRef]
- Vermeesch, P. IsoplotR: A free and open toolbox for geochronology. Geosci. Front. 2018, 9, 1479–1493. [Google Scholar] [CrossRef]
- Yuan, H.L.; Gao, S.; Dai, M.N.; Zong, C.L.; Günther, D.; Fontaine, H.G.; Liu, X.M.; Diwu, C.R. Simultaneous determinations of U-Pb age, Hf isotopes and trace element compositions of zircon by excimer laser-ablation quadrupole and multiple-collector ICP-MS. Chem. Geol. 2008, 247, 100–118. [Google Scholar] [CrossRef]
- Wu, F.Y.; Li, X.H.; Zheng, Y.F.; Gao, S. Lu-Hf Isotopic System and Its Petrological Applications. Acta Petrol. Sin. 2007, 23, 185–220, (In Chinese with English Abstract). [Google Scholar]
- Sun, S.S.; McDonough, W.F. Chemical and isotopic systematics of oceanic basalts: Implications for mantle composition and processes. In Magmatism in the Ocean Basins; Saunders, A.D., Norry, M.J., Eds.; Geological Society, London, Special Publications: London, UK, 1989; Volume 42, pp. 313–345. [Google Scholar] [CrossRef]
- Hoskin, P.W.O. Trace-element composition of hydrothermal zircon and the alteration of Hadean zircon from the Jack Hills, Australia. Geochim. Cosmochim. Acta 2005, 69, 637–648. [Google Scholar] [CrossRef]
- Chauvel, C.; Blichert-Toft, J. A hafnium isotope and trace element perspective on melting of the depleted mantle. Earth Planet. Sci. Lett. 2001, 190, 137–151. [Google Scholar] [CrossRef]
- Muir, I.D.; Tilley, C.E. Iron enrichment and pyroxene fractionation in tholeiites. Geol. J. 1964, 4, 81–103. [Google Scholar] [CrossRef]
- Rickwood, P.C. Boundary lines within petrologic diagrams which use oxides of major and minor elements. Lithos 1989, 22, 247–263. [Google Scholar] [CrossRef]
- Maniar, P.D.; Piccoli, P.M. Tectonic discrimination of granitoids. Geol. Soc. Am. Bull. 1989, 101, 635–643. [Google Scholar] [CrossRef]
- Middlemost, E.A.K. Naming materials in the magma/igneous rock system. Earth-Sci. Rev. 1994, 37, 215–224. [Google Scholar] [CrossRef]
- Zhu, D.C.; Wang, Q.; Zhao, Z.D.; Chung, S.L.; Cawood, P.A.; Niu, Y.; Liu, S.A.; Wu, F.Y.; Mo, X.X. Magmatic record of India-Asia collision. Sci. Rep. 2015, 5, 14289. [Google Scholar] [CrossRef] [PubMed]
- Taylor, S.R.; McLennan, S.M. The Continental Crust: Its Composition and Evolution; Blackwell Scientific Publications: Oxford, UK, 1985. [Google Scholar]
- Vavra, G.; Schmid, R.; Gebauer, D. Internal morphology, habit and U-Th-Pb microanalysis of amphibolite-to-granulite facies zircons: Geochronology of the Ivrea Zone (Southern Alps). Contrib. Min. Petrol. 1999, 134, 380–404. [Google Scholar] [CrossRef]
- Griffin, W.L.; Pearson, N.J.; Belousova, E.; Jackson, S.E.; van Achterbergh, E.; O’Reilly, S.Y.; Shee, S.R. The Hf isotope composition of cratonic mantle: LAM-MC-ICPMS analysis of zircon megacrysts in kimberlites. Geochim. Cosmochim. Acta 2000, 64, 133–147. [Google Scholar] [CrossRef]
- Geisler, T.; Rashwan, A.A.; Rahn, M.K.W.; Poller, U.; Zwingmann, H.; Pidgeon, R.T.; Schleicher, H.; Tomaschek, F. Low-temperature hydrothermal alteration of natural metamict zircons from the Eastern Desert, Egypt. Mineral. Mag. 2003, 67, 485–508. [Google Scholar] [CrossRef]
- Borba, M.L.; Tassinari, C.C.G.; Matos, F.M.V.; Sato, K.; Huhn, S.; Ferreira, S.N.; Medeiros, C.A. Tracking hydrothermal events using zircon REE geochemistry from the Carajás Mineral Province, Brazil. J. Geochem. Explor. 2021, 221, 106679. [Google Scholar] [CrossRef]
- Hoskin, P.W.O.; Ireland, T.R. Rare earth element chemistry of zircon and its use as a provenance indicator. Geology 2000, 28, 627–630. [Google Scholar] [CrossRef]
- Hoskin, P.W.O.; Schaltegger, U. The composition of zircon and igneous and metamorphic petrogenesis. Rev. Mineral. Geochem. 2003, 53, 27–62. [Google Scholar] [CrossRef]
- Goudie, D.J.; Fisher, C.M.; Hanchar, J.M.; Crowley, J.L.; Ayers, J.C. Simultaneous in situ determination of UlPb and Sm–Nd isotopes in monazite by laser ablation ICP–MS. Geochem. Geophys. Geosyst. 2014, 15, 2575–2600. [Google Scholar] [CrossRef]
- Wang, P.; Bai, J.; Wang, Y.; Han, H.; Song, Y.; Zhou, L.; Zhang, J.; Xiao, Z.; Chen, W. Petrogenesis and Tectonic Implication of Late-Triassic Granitoids in the West-Central Part of Songpan-Ganze Block. Northwestern Geol. 2023, 56, 223–244. [Google Scholar] [CrossRef]
- Wang, C.; Liu, Z.H.; Li, G.; Dong, X.J.; Li, S.C.; Zhao, Q.Y. Geochronology and geochemistry of Late Triassic intrusions in the Liaodong Peninsula, eastern North China Craton: Implications for post-collisional lithospheric thinning. Int. Geol. Rev. 2022, 64, 1033–1050. [Google Scholar] [CrossRef]
- Jiang, Y.H.; Jin, G.D.; Liao, S.Y.; Zhou, Q.; Zhao, P. Geochemical and Sr-Nd-Hf isotopic constraints on the origin of Late Triassic granitoids from the Qinling orogen, central China: Implications for a continental arc to continent-continent collision. Lithos 2010, 117, 183–197. [Google Scholar] [CrossRef]
- Boztuğ, D.; Harlavan, Y.; Arehart, G.B.; Satir, M.; Avci, N. K-Ar age, whole-rock and isotope geochemistry of A-type granitoids in the Divriği-Sivas region, eastern-central Anatolia, Turkey. Lithos 2007, 97, 193–218. [Google Scholar] [CrossRef]
- Grove, T.L.; Kinzler, R.J.; Bryan, W.B. Fractionation of mid-ocean ridge basalt (MORB). Geophys. Monogr. Ser. 1992, 71, 281–310. [Google Scholar] [CrossRef]
- Ludwig, K.R. Isoplot/Ex v. 3, a geochronological tool kit for Microsoft Excel: Berkeley. Calif. Geochronol. Cent. Spec. Publ. 2003, 4, 72. [Google Scholar]
- Lino, L.M.; Vlach, S.R.F. Textural and geochemical evidence for multiple, sheet-like magma pulses in the Limeira intrusion, Paraná Magmatic Province, Brazil. J. Petrol. 2021, 62, egab011. [Google Scholar] [CrossRef]
- Li, X.F.; Li, Y.S.; Dong, G.C.; Lv, X.; Xia, Q. Indosinian granitic magmatism and tectonic evolution in the eastern segment of the West Qinling: Constraints from geochemistry, zircon U-Pb geochronology and Hf isotopes. Acta Petrol. Sin. 2021, 37, 1691–1712. [Google Scholar]
- Petford, N.; Atherton, M. Na-rich partial melts from newly underplated basaltic crust: The Cordillera Blanca Batholith, Peru. J. Petrol. 1996, 37, 1491–1521. [Google Scholar] [CrossRef]
- Castillo, P.R. Origin of the adakite-high-Nb basalt association and its implications for postsubduction magmatism in Baja California, Mexico. Geol. Soc. Am. Bull. 2008, 120, 451–462. [Google Scholar] [CrossRef]
- Defant, M.J.; Drummond, M.S. Derivation of some modern arc magmas by melting of young subducted lithosphere. Nature 1990, 347, 662–665. [Google Scholar] [CrossRef]
- Kay, R.W. Aleutian magnesian andesites: Melts from subducted Pacific Ocean crust. J. Volcanol. Geotherm. Res. 1978, 4, 117–132. [Google Scholar] [CrossRef]
- Drummond, M.S.; Defant, M.J. A model for trondhjemite–tonalite–dacite genesis and crustal growth via slab melting: Archean to modern comparisons. J. Geophys. Res. Solid Earth 1990, 95, 21503–21521. [Google Scholar] [CrossRef]
- Atherton, M.P.; Petford, N. Generation of sodium-rich magmas from newly underplated basaltic crust. Nature 1993, 362, 144–146. [Google Scholar] [CrossRef]
- Chung, S.L.; Liu, D.; Ji, J.; Chu, M.F.; Lee, H.Y.; Wen, D.J.; Lo, C.H.; Lee, T.Y.; Qian, Q.; Zhang, Q. Adakites from continental collision zones: Melting of thickened lower crust beneath southern Tibet. Geology 2003, 31, 1021–1024. [Google Scholar] [CrossRef]
- Polat, A.; Hofmann, A.W. Alteration and geochemical patterns in the 3.7–3.8 Ga Isua greenstone belt, West Greenland. Precambrian Res. 2003, 126, 197–218. [Google Scholar] [CrossRef]
- Poli, S.; Schmidt, M.W. Petrology of subducted slabs. Annu. Rev. Earth Planet. Sci. 2002, 30, 207–235. [Google Scholar] [CrossRef]
- Meng, Q.R.; Zhang, G.W. Geologic framework and tectonic evolution of the Qinling orogen, central China. Tectonophysics 2000, 323, 183–196. [Google Scholar] [CrossRef]
- Gao, S.; Rudnick, R.L.; Yuan, H.L.; Liu, X.M.; Liu, Y.S.; Xu, W.L.; Ling, W.L.; Ayers, J.; Wang, X.C.; Wang, Q.H. Recycling lower continental crust in the North China craton. Nature 2004, 432, 892–897. [Google Scholar] [CrossRef]
- Xu, W.L.; Wang, Q.H.; Wang, D.Y.; Guo, J.H.; Pei, F.P. Mesozoic adakitic rocks from the Xuzhou-Suzhou area, eastern China: Evidence for partial melting of delaminated lower continental crust. J. Asian Earth Sci. 2006, 27, 454–464. [Google Scholar] [CrossRef]
- Pearce, J.A.; Harris, N.B.W.; Tindle, A.G. Trace element discrimination diagrams for the tectonic interpretation of granitic rocks. J. Petrol. 1984, 25, 956–983. [Google Scholar] [CrossRef]
- White, A.J.R.; Chappell, B.W. Petrographic discrimination of low–and high–temperature I–type granites. Resour. Geol. 2004, 54, 215–226. [Google Scholar] [CrossRef]
- Wang, Q.; Xu, J.F.; Jian, P.; Bao, Z.W.; Zhao, Z.H.; Li, C.F.; Xiong, X.L.; Ma, J.L. Petrogenesis of adakitic porphyries in an extensional tectonic setting, Dexing, South China: Implications for the genesis of porphyry copper mineralization. J. Petrol. 2006, 47, 119–144. [Google Scholar] [CrossRef]
- Blevin, P.L.; Chappell, B.W. Chemistry, origin, and evolution of mineralized granites in the Lachlan fold belt, Australia; the metallogeny of I-and S-type granites. Econ. Geol. 1995, 90, 1604–1619. [Google Scholar] [CrossRef]
- Chen, Y.J. Indosinian tectonic setting, magmatism and metallogenesis in Qinling Orogen, China. Geol. China 2010, 37, 854–865. [Google Scholar]
- Hou, Y.D.; Jiang, Z.W.; Liu, X.S.; Luo, J.L.; Fan, L.Y.; Hu, X.Y.; Du, Y.F. Formation age and genesis of Early Mesozoic intrusive dikes in the southwestern Ordos Basin. Geol. Bull. China 2023, 42, 1098–1117, (In Chinese with English Abstract). [Google Scholar] [CrossRef]
- Ratschbacher, L.; Hacker, B.R.; Calvert, A.; Webb, L.E.; Grimmer, J.C.; McWilliams, M.O.; Ireland, T.; Dong, S.W.; Hu, J.M. Tectonics of the Qinling (Central China): Tectonostratigraphy, geochronology, and deformation history. Tectonophysics 2003, 366, 1–53. [Google Scholar] [CrossRef]















| Scheme. | Lithology | Pluton No. | Longitude | Latitude |
|---|---|---|---|---|
| JLG-02 | Granite | II | E 102°18′03.6029″ | N 35°35′32.6149″ |
| JLG-03 | Granite | II | E 102°18′03.4436″ | N 35°35′33.2273″ |
| JLG-06 | Granite | III | E 102°18′00.4985″ | N 35°34′20.4380″ |
| JLG-07 | Gabbro | I | E 102°16′35.7829″ | N 35°36′06.6432″ |
| JLG-12 | Granodiorite | VI | E 102°21′59.6571″ | N 35°39′07.6874″ |
| JLG-14 | Granodiorite | V | E 102°25′20.4237″ | N 35°32′52.2087″ |
| JLG-18 | Granodiorite | IV | E 102°21′02.6581″ | N 35°33′29.1706″ |
| Sample No. | Category | Key Characteristics |
|---|---|---|
| JLG-07 | Hand Specimen | Light gray, massive texture; light gray mineral grains and dark speckles visible |
| Photomicrograph | Main minerals: Pl (~60%), Cpx (~20%), Bt (~15%), accessory ~5% | |
| JLG-18 | Hand Specimen | Gray-white, medium-coarse-grained; scattered dark mineral grains, coarse texture |
| Photomicrograph | Minerals: Qz (~25%, granular), Pl (~45%), Bt (~25%, flaky); accessory minerals ~5% | |
| JLG-12 | Hand Specimen | Light gray-white, medium-coarse-grained; flaky dark minerals, distinct grain boundaries |
| Photomicrograph | Minerals: Qz (~30%), Pl (~40%), Bt (~25%, flaky, preferred orientation); accessory ~5% | |
| JLG-14 | Hand Specimen | Light gray, massive, medium-grained; mixed light/dark minerals on surface |
| Photomicrograph | Minerals: Qz (~35%), Pl (~40%), Bt (~20%); well-developed grains; accessory ~5% | |
| JLG-06 | Hand Specimen | Gray-white, massive, medium-fine-grained; light platy/granular minerals visible |
| Photomicrograph | Minerals: Qz (~35%), Kfs/Or (~40%), Pl (~15%), Bt (~8%, flaky); accessory ~2% | |
| JLG-03 | Hand Specimen | Light gray, massive, medium-grained; even mineral distribution, interwoven light/dark phases |
| Photomicrograph | Minerals: Qz (~30%), Kfs/Or (~40%), Pl (~20%), Bt (~8%, flaky); accessory ~2% | |
| JLG-02 | Hand Specimen | Light gray, massive, medium-grained; dark speckles, dense fabric |
| Photomicrograph | Minerals: Qz (~35%), Or (~30%), Pl (~20%), Hb (~10%); well-formed grains; accessory ~5% |
| Point No. | Th | 238U | Th/U | Age (Ma) | |||
|---|---|---|---|---|---|---|---|
| 207Pb/235U | 2σ | 206Pb/238U | 2σ | ||||
| JLG-02, Pluton II (Granite) | |||||||
| JLG-2-2 | 573.7 | 1404.7 | 0.41 | 208.1 | 12.3 | 212.8 | 3.4 |
| JLG-2-4 | 228.6 | 464.6 | 0.49 | 217.9 | 7.9 | 217.0 | 2.7 |
| JLG-2-5 | 541.9 | 2287.2 | 0.24 | 214.7 | 4.7 | 214.0 | 2.2 |
| JLG-2-6 | 395.8 | 1650.2 | 0.24 | 210.0 | 4.9 | 212.8 | 3.2 |
| JLG-2-7 | 369.8 | 760.5 | 0.49 | 213.7 | 10.2 | 213.7 | 4.1 |
| JLG-2-9 | 1431.5 | 3564.6 | 0.40 | 218.0 | 6.7 | 215.2 | 2.5 |
| JLG-2-12 | 1393.0 | 3414.3 | 0.41 | 221.8 | 8.2 | 216.8 | 3.0 |
| JLG-2-16 | 964.5 | 2242.7 | 0.43 | 218.0 | 6.3 | 212.1 | 3.2 |
| JLG-2-17 | 368.9 | 2716.5 | 0.14 | 214.0 | 2.8 | 213.4 | 1.7 |
| JLG-2-18 | 369.3 | 1773.5 | 0.21 | 216.3 | 4.4 | 213.6 | 2.2 |
| JLG-2-19 | 496.9 | 2351.1 | 0.21 | 210.4 | 5.8 | 209.4 | 2.7 |
| JLG-2-20 | 335.3 | 1181.2 | 0.28 | 211.0 | 5.0 | 210.9 | 2.0 |
| JLG-03, Pluton II (Granite) | |||||||
| JLG-3-1 | 685.37 | 2369.7 | 0.3 | 217.50 | 8.4 | 215.7 | 4.10 |
| JLG-3-3 | 671.05 | 1489.9 | 0.5 | 215.10 | 6.8 | 211.3 | 4.10 |
| JLG-3-5 | 1402.30 | 1776.4 | 0.8 | 214.10 | 7.0 | 212.4 | 3.80 |
| JLG-3-6 | 282.91 | 1020.6 | 0.3 | 215.20 | 9.6 | 214.3 | 4.20 |
| JLG-3-7 | 767.06 | 3428.3 | 0.2 | 213.00 | 4.0 | 211.4 | 3.50 |
| JLG-3-10 | 785.22 | 2837.0 | 0.3 | 217.50 | 7.9 | 213.1 | 3.30 |
| JLG-3-14 | 438.52 | 1209.2 | 0.4 | 213.70 | 4.8 | 210.9 | 2.70 |
| JLG-3-17 | 1243.51 | 4496.0 | 0.3 | 214.90 | 6.2 | 216.1 | 3.70 |
| JLG-3-19 | 920.64 | 2446.5 | 0.4 | 215.50 | 4.0 | 215.0 | 2.10 |
| JLG-3-20 | 255.51 | 419.9 | 0.6 | 213.10 | 8.0 | 213.2 | 4.20 |
| JLG-06, Pluton III (Granite) | |||||||
| JLG-6-1 | 433.9 | 1538.63 | 0.3 | 215.30 | 10.0 | 210.20 | 5.8 |
| JLG-6-2 | 575.1 | 1323.76 | 0.4 | 214.40 | 7.1 | 213.50 | 4.2 |
| JLG-6-6 | 362.5 | 471.28 | 0.8 | 209.30 | 6.8 | 213.40 | 2.2 |
| JLG-6-8 | 669.8 | 1971.42 | 0.3 | 217.40 | 8.6 | 214.40 | 3.1 |
| JLG-6-9 | 324.7 | 1285.48 | 0.3 | 217.90 | 10.9 | 215.80 | 4.2 |
| JLG-6-10 | 714.7 | 3020.91 | 0.2 | 212.50 | 5.8 | 214.80 | 3.2 |
| JLG-6-11 | 479.0 | 1912.00 | 0.3 | 212.50 | 11.4 | 212.00 | 4.1 |
| JLG-6-12 | 571.9 | 1105.40 | 0.5 | 213.90 | 8.8 | 213.60 | 3.9 |
| JLG-6-13 | 654.0 | 1760.49 | 0.4 | 215.90 | 6.5 | 215.40 | 2.8 |
| JLG-6-14 | 1107.0 | 2332.13 | 0.5 | 214.40 | 4.7 | 213.00 | 2.4 |
| JLG-6-15 | 677.2 | 3293.79 | 0.2 | 213.80 | 3.9 | 213.00 | 2.3 |
| JLG-6-16 | 2906.8 | 2483.17 | 1.2 | 216.50 | 8.2 | 215.20 | 3.3 |
| JLG-6-17 | 840.9 | 2776.74 | 0.3 | 210.10 | 7.8 | 210.40 | 3.4 |
| JLG-6-19 | 78.3 | 159.03 | 0.5 | 212.70 | 14.2 | 219.00 | 3.6 |
| JLG-6-20 | 370.8 | 1604.03 | 0.2 | 213.60 | 5.0 | 214.90 | 2.5 |
| JLG-07, Pluton I (Gabbro) | |||||||
| JLG-7-1 | 235.50 | 1841.32 | 0.13 | 204.40 | 5.80 | 203.80 | 2.80 |
| JLG-7-2 | 253.53 | 1703.49 | 0.15 | 337.80 | 14.50 | 334.80 | 7.10 |
| JLG-7-3 | 3552.76 | 1949.58 | 1.82 | 239.40 | 9.30 | 237.70 | 5.30 |
| JLG-7-4 | 3423.41 | 2809.22 | 1.22 | 237.20 | 7.70 | 239.60 | 4.90 |
| JLG-7-5 | 6635.10 | 3365.79 | 1.97 | 237.20 | 3.00 | 238.20 | 2.10 |
| JLG-7-6 | 3043.64 | 2188.26 | 1.39 | 235.50 | 5.90 | 238.30 | 3.40 |
| JLG-7-7 | 2436.01 | 1776.23 | 1.37 | 237.90 | 5.10 | 238.10 | 2.90 |
| JLG-7-8 | 13,363.19 | 2604.27 | 5.13 | 237.90 | 3.60 | 237.90 | 2.00 |
| JLG-7-9 | 1866.03 | 2098.84 | 0.89 | 238.20 | 3.80 | 237.20 | 1.80 |
| JLG-7-10 | 3747.74 | 3267.73 | 1.15 | 237.90 | 3.70 | 237.90 | 2.50 |
| JLG-7-11 | 3522.87 | 2562.27 | 1.37 | 240.00 | 6.30 | 236.10 | 2.20 |
| JLG-7-12 | 7046.53 | 3063.84 | 2.30 | 239.70 | 3.50 | 238.80 | 1.90 |
| JLG-7-13 | 3102.76 | 4063.77 | 0.76 | 239.70 | 2.80 | 238.00 | 2.20 |
| JLG-7-14 | 4973.92 | 2448.97 | 2.03 | 238.90 | 3.60 | 237.90 | 2.10 |
| JLG-7-15 | 2779.34 | 2543.93 | 1.09 | 237.50 | 3.40 | 237.30 | 1.90 |
| JLG-7-16 | 5743.28 | 4149.78 | 1.38 | 237.90 | 3.40 | 237.30 | 2.60 |
| JLG-7-17 | 1998.55 | 2763.46 | 0.72 | 235.90 | 3.60 | 238.10 | 2.20 |
| JLG-7-18 | 3230.13 | 2005.61 | 1.61 | 237.20 | 4.80 | 236.50 | 2.40 |
| JLG-7-19 | 2311.73 | 1896.21 | 1.22 | 238.80 | 3.70 | 237.40 | 1.90 |
| JLG-12, Pluton VI (Granodiorite) | |||||||
| JLG-12-1 | 350.41 | 787.26 | 0.45 | 225.70 | 6.90 | 224.30 | 2.90 |
| JLG-12-2 | 1904.78 | 1179.33 | 1.62 | 228.40 | 8.80 | 225.90 | 4.00 |
| JLG-12-4 | 288.92 | 766.27 | 0.38 | 230.80 | 9.00 | 232.20 | 3.10 |
| JLG-12-5 | 308.44 | 694.58 | 0.44 | 224.40 | 8.00 | 223.80 | 3.90 |
| JLG-12-6 | 751.45 | 1220.45 | 0.62 | 223.00 | 10.60 | 221.00 | 3.60 |
| JLG-12-7 | 1422.83 | 966.88 | 1.47 | 217.40 | 7.50 | 218.40 | 4.80 |
| JLG-12-8 | 2969.44 | 1154.55 | 2.57 | 215.80 | 8.60 | 221.00 | 3.80 |
| JLG-12-9 | 428.26 | 836.89 | 0.51 | 223.60 | 7.90 | 223.20 | 2.60 |
| JLG-12-10 | 240.83 | 626.37 | 0.38 | 221.30 | 7.10 | 221.40 | 2.50 |
| JLG-12-11 | 654.26 | 813.49 | 0.80 | 225.70 | 6.70 | 225.70 | 2.70 |
| JLG-12-12 | 342.68 | 732.07 | 0.47 | 221.40 | 6.80 | 221.40 | 2.70 |
| JLG-12-14 | 332.71 | 774.57 | 0.43 | 223.10 | 6.10 | 223.00 | 1.90 |
| JLG-12-15 | 347.41 | 730.90 | 0.48 | 223.40 | 6.90 | 222.60 | 3.10 |
| JLG-12-16 | 402.75 | 894.51 | 0.45 | 222.60 | 6.90 | 222.70 | 2.00 |
| JLG-12-17 | 277.10 | 677.90 | 0.41 | 224.80 | 6.80 | 224.60 | 2.40 |
| JLG-12-18 | 402.44 | 736.28 | 0.55 | 222.30 | 9.10 | 223.60 | 5.20 |
| JLG-12-19 | 478.50 | 904.34 | 0.53 | 219.20 | 6.90 | 220.50 | 2.70 |
| JLG-14, Pluton V (Granodiorite) | |||||||
| JLG-14-1 | 101.05 | 196.41 | 0.51 | 256.20 | 16.20 | 259.60 | 4.00 |
| JLG-14-2 | 253.63 | 316.55 | 0.80 | 235.30 | 15.80 | 240.20 | 3.40 |
| JLG-14-3 | 51.52 | 114.41 | 0.45 | 239.50 | 15.50 | 241.50 | 4.60 |
| JLG-14-4 | 66.70 | 139.25 | 0.48 | 235.80 | 18.90 | 241.50 | 5.20 |
| JLG-14-5 | 160.79 | 332.53 | 0.48 | 243.00 | 16.80 | 250.30 | 5.80 |
| JLG-14-6 | 302.72 | 420.63 | 0.72 | 252.40 | 18.10 | 249.30 | 5.10 |
| JLG-14-7 | 105.88 | 239.50 | 0.44 | 239.30 | 7.90 | 239.30 | 2.20 |
| JLG-14-9 | 201.41 | 463.41 | 0.43 | 258.50 | 21.00 | 259.10 | 5.30 |
| JLG-14-10 | 316.56 | 881.59 | 0.36 | 238.60 | 13.50 | 247.40 | 3.80 |
| JLG-14-11 | 56.80 | 122.52 | 0.46 | 242.90 | 19.90 | 243.10 | 5.50 |
| JLG-14-12 | 74.32 | 146.65 | 0.51 | 250.20 | 10.10 | 252.60 | 3.40 |
| JLG-14-13 | 190.35 | 483.26 | 0.39 | 240.60 | 15.50 | 237.10 | 3.20 |
| JLG-14-16 | 266.48 | 861.99 | 0.31 | 246.20 | 11.60 | 253.30 | 4.40 |
| JLG-14-17 | 67.52 | 115.88 | 0.58 | 261.80 | 22.20 | 261.30 | 5.50 |
| JLG-14-18 | 201.62 | 443.92 | 0.45 | 255.10 | 20.10 | 251.50 | 5.00 |
| JLG-14-19 | 85.71 | 222.62 | 0.39 | 260.30 | 14.80 | 258.50 | 4.70 |
| JLG-14-20 | 99.37 | 247.57 | 0.40 | 252.00 | 12.80 | 254.30 | 4.10 |
| JLG-18, Pluton IV (Granodiorite) | |||||||
| JLG-18-1 | 158.30 | 193.59 | 0.82 | 239.90 | 14.80 | 247.00 | 4.60 |
| JLG-18-2 | 141.72 | 192.56 | 0.74 | 249.10 | 19.50 | 241.80 | 5.40 |
| JLG-18-3 | 70.33 | 85.86 | 0.82 | 225.00 | 17.10 | 238.50 | 4.30 |
| JLG-18-4 | 116.33 | 154.51 | 0.75 | 243.00 | 18.80 | 245.00 | 5.60 |
| JLG-18-5 | 97.52 | 115.55 | 0.84 | 248.70 | 24.90 | 246.70 | 5.30 |
| JLG-18-6 | 156.34 | 230.88 | 0.68 | 245.30 | 21.20 | 252.20 | 7.40 |
| JLG-18-7 | 94.26 | 120.92 | 0.78 | 239.00 | 23.50 | 250.60 | 6.50 |
| JLG-18-8 | 111.61 | 148.12 | 0.75 | 234.80 | 29.50 | 248.60 | 5.80 |
| JLG-18-9 | 134.66 | 111.27 | 1.21 | 230.20 | 29.00 | 245.30 | 9.20 |
| JLG-18-10 | 100.18 | 107.38 | 0.93 | 265.60 | 20.10 | 264.80 | 8.00 |
| JLG-18-11 | 93.75 | 119.70 | 0.78 | 244.10 | 21.40 | 240.50 | 6.60 |
| JLG-18-12 | 163.95 | 152.55 | 1.07 | 245.50 | 17.40 | 245.80 | 6.40 |
| JLG-18-13 | 176.45 | 582.13 | 0.30 | 231.70 | 13.00 | 241.40 | 4.10 |
| JLG-18-14 | 134.98 | 194.29 | 0.69 | 244.10 | 13.30 | 241.50 | 3.70 |
| JLG-18-15 | 143.79 | 124.53 | 1.15 | 247.60 | 26.70 | 240.20 | 5.90 |
| JLG-18-16 | 125.38 | 117.70 | 1.07 | 252.50 | 30.70 | 251.40 | 9.10 |
| JLG-18-17 | 103.09 | 114.14 | 0.90 | 261.80 | 24.90 | 257.70 | 7.20 |
| JLG-18-18 | 100.63 | 127.09 | 0.79 | 244.70 | 22.70 | 250.20 | 6.60 |
| JLG-18-19 | 75.33 | 105.03 | 0.72 | 254.20 | 30.20 | 253.50 | 7.80 |
| JLG-18-20 | 161.36 | 186.33 | 0.87 | 256.20 | 23.40 | 250.10 | 5.00 |
| Sample No. | JLG-02 (Pluton II) | JLG-03 (Pluton II) | JLG-06 (Pluton III) | JLG-07 (Pluton I) | JLG-12 (Pluton VI) | JLG-14 (Pluton V) | JLG-18 (Pluton IV) |
|---|---|---|---|---|---|---|---|
| Lithology | Granite | Gabbro | Granodiorite | ||||
| SiO2 | 73.2 | 72.9 | 71.3 | 51.8 | 68.0 | 66.3 | 65.6 |
| Al2O3 | 14.2 | 14.2 | 14.5 | 14.0 | 15.6 | 15.7 | 14.7 |
| Fe2O3 | 1.7 | 1.5 | 2.0 | 6.6 | 3.2 | 4.3 | 5.0 |
| MgO | 0.5 | 0.6 | 0.7 | 9.8 | 1.5 | 1.6 | 2.2 |
| CaO | 1.5 | 1.3 | 1.4 | 13.9 | 2.8 | 3.7 | 4.2 |
| Na2O | 3.5 | 3.3 | 3.5 | 1.4 | 3.8 | 3.0 | 2.6 |
| K2O | 4.4 | 4.9 | 5.2 | 0.5 | 3.3 | 3.3 | 3.2 |
| MnO | 0.1 | 0.0 | 0.1 | 0.1 | 0.1 | 0.1 | 0.1 |
| P2O5 | 0.1 | 0.1 | 0.1 | 0.0 | 0.2 | 0.1 | 0.1 |
| TiO2 | 0.2 | 0.2 | 0.3 | 0.4 | 0.5 | 0.6 | 0.6 |
| LOI | 0.563 | 0.639 | 0.842 | 1.472 | 1.073 | 1.278 | 1.424 |
| SUM | 99.882 | 99.577 | 99.801 | 99.929 | 99.980 | 99.806 | 99.716 |
| A/CNK | 1.07 | 1.08 | 1.05 | 0.50 | 1.04 | 1.03 | 0.96 |
| A/NK | 1.35 | 1.32 | 1.27 | 4.92 | 1.59 | 1.84 | 1.90 |
| K2O/Na2O | 1.239 | 1.505 | 1.489 | 0.39 | 0.872 | 1.108 | 1.256 |
| Na2O + K2O (%) | 7.86 | 8.19 | 8.66 | 1.89 | 7.17 | 6.22 | 5.82 |
| ΣREE (ppm) | 142.342 | 136.705 | 175.945 | 36.547 | 161.024 | 134.381 | 233.056 |
| LREE/HREE | 11.559 | 12.363 | 14.666 | 3.864 | 15.408 | 8.587 | 10.127 |
| LREE (ppm) | 131.008 | 126.475 | 164.714 | 29.033 | 151.21 | 120.364 | 212.11 |
| HREE (ppm) | 11.334 | 10.23 | 11.231 | 7.514 | 9.814 | 14.017 | 20.946 |
| (La/Yb)N | 12.017 | 15.285 | 19.113 | 3.237 | 22.915 | 9.742 | 11.605 |
| (La/Sm)N | 5.092 | 6.098 | 6.021 | 1.926 | 4.948 | 4.304 | 4.626 |
| Sr/Y | 12.209 | 13.947 | 16.228 | 45.833 | 42.031 | 9.677 | 7.006 |
| Y + Nb | 49.9 | 43.2 | 43.1 | 13.87 | 25.8 | 30.48 | 43.9 |
| YbN | 11.412 | 9.882 | 9.471 | 7.118 | 6.647 | 12.647 | 18.471 |
| Nb/Y | 1.901 | 1.842 | 1.581 | 0.156 | 1.016 | 0.405 | 0.398 |
| Th/Y | 1.983 | 2.125 | 1.832 | 0.141 | 1.594 | 0.783 | 0.978 |
| Sample Zircon No. | Pluton No. | Crystallization Age (Ma) | Weighted Mean Age | |
|---|---|---|---|---|
| 206Pb/238U | 2σ | |||
| JLG-2-4 | II | 217 | 2.7 | Mean = 216 ± 2 Ma MSWD = 3.4 |
| JLG-3-20 | II | 213.2 | 4.2 | |
| JLG-7-4.d | I | 239.6 | 4.9 | Mean = 238 ± 1 Ma MSWD = 0.39 |
| JLG-7-5.d | I | 238.2 | 2.1 | |
| JLG-7-6.d | I | 238.3 | 3.4 | |
| JLG-7-8.d | I | 237.9 | 2 | |
| JLG-7-9.d | I | 237.2 | 1.8 | |
| JLG-7-10.d | I | 237.9 | 2.5 | |
| JLG-7-12.d | I | 238.8 | 1.9 | |
| JLG-7-14.d | I | 237.9 | 2.1 | |
| JLG-7-15.d | I | 237.3 | 1.9 | |
| JLG-7-16.d | I | 237.3 | 2.6 | |
| JLG-7-18.d | I | 236.5 | 2.4 | |
| JLG-7-19.d | I | 237.4 | 1.9 | |
| JLG-14-6.d | V | 249.3 | 5.1 | Mean = 252 ± 2 Ma MSWD = 0.82 |
| JLG-14-12.d | V | 252.6 | 3.4 | |
| JLG-14-16.d | V | 253.3 | 4.4 | |
| JLG-18-12.d | IV | 245.8 | 6.4 | Mean = 246 ± 3 Ma MSWD = 1.8 |
| JLG-18-14.d | IV | 241.5 | 3.7 | |
| JLG-18-16.d | IV | 251.4 | 9.1 | |
| JLG-18-18.d | IV | 250.2 | 6.6 | |
| JLG-18-20.d | IV | 250.1 | 5 | |
| JLG-12-1.d | VI | 224.3 | 2.9 | Mean = 224 ± 2 Ma MSWD = 1.6 |
| JLG-12-16.d | VI | 222.7 | 2 | |
| JLG-6-19.d | III | 219 | 3.6 | Mean = 216 ± 2 Ma MSWD = 2.8 |
| JLG-6-20.d | III | 214.9 | 2.5 | |
Disclaimer/Publisher’s Note: The statements, opinions and data contained in all publications are solely those of the individual author(s) and contributor(s) and not of MDPI and/or the editor(s). MDPI and/or the editor(s) disclaim responsibility for any injury to people or property resulting from any ideas, methods, instructions or products referred to in the content. |
© 2025 by the authors. Licensee MDPI, Basel, Switzerland. This article is an open access article distributed under the terms and conditions of the Creative Commons Attribution (CC BY) license.
Share and Cite
Meiduo, L.; Jiang, Z.; Luo, C.; Ma, W.; Wang, C.; Shen, J.; Ma, Y.; Qin, X.; Ma, J.; Ma, W.; et al. The Crystallization Age and Tectonic Significance of Multi-Stage Magmatic Intrusions in the Jiangligou Area, Western Qinling, China. Minerals 2026, 16, 21. https://doi.org/10.3390/min16010021
Meiduo L, Jiang Z, Luo C, Ma W, Wang C, Shen J, Ma Y, Qin X, Ma J, Ma W, et al. The Crystallization Age and Tectonic Significance of Multi-Stage Magmatic Intrusions in the Jiangligou Area, Western Qinling, China. Minerals. 2026; 16(1):21. https://doi.org/10.3390/min16010021
Chicago/Turabian StyleMeiduo, Lamao, Ziwen Jiang, Changhai Luo, Weiming Ma, Chengyong Wang, Juan Shen, Yanjing Ma, Xiwei Qin, Jinhai Ma, Wenzhi Ma, and et al. 2026. "The Crystallization Age and Tectonic Significance of Multi-Stage Magmatic Intrusions in the Jiangligou Area, Western Qinling, China" Minerals 16, no. 1: 21. https://doi.org/10.3390/min16010021
APA StyleMeiduo, L., Jiang, Z., Luo, C., Ma, W., Wang, C., Shen, J., Ma, Y., Qin, X., Ma, J., Ma, W., Zhao, W., & Zhou, Z. (2026). The Crystallization Age and Tectonic Significance of Multi-Stage Magmatic Intrusions in the Jiangligou Area, Western Qinling, China. Minerals, 16(1), 21. https://doi.org/10.3390/min16010021

