Provenance of Middle-Upper Permian Sandstones in Lintan and Jiangligou Areas, West Qinling, China: Insights from Geochemistry, Detrital Zircon Chronology, and Hf Isotopes
Abstract
1. Introduction

2. Geological Background
3. Samples and Methods
3.1. Samples and Petrography
3.2. Methods
4. Results
4.1. Heavy Mineral Characteristics
4.2. Geochemical Composition
4.2.1. Major Elements
4.2.2. Trace Elements
4.2.3. Rare Earth Elements
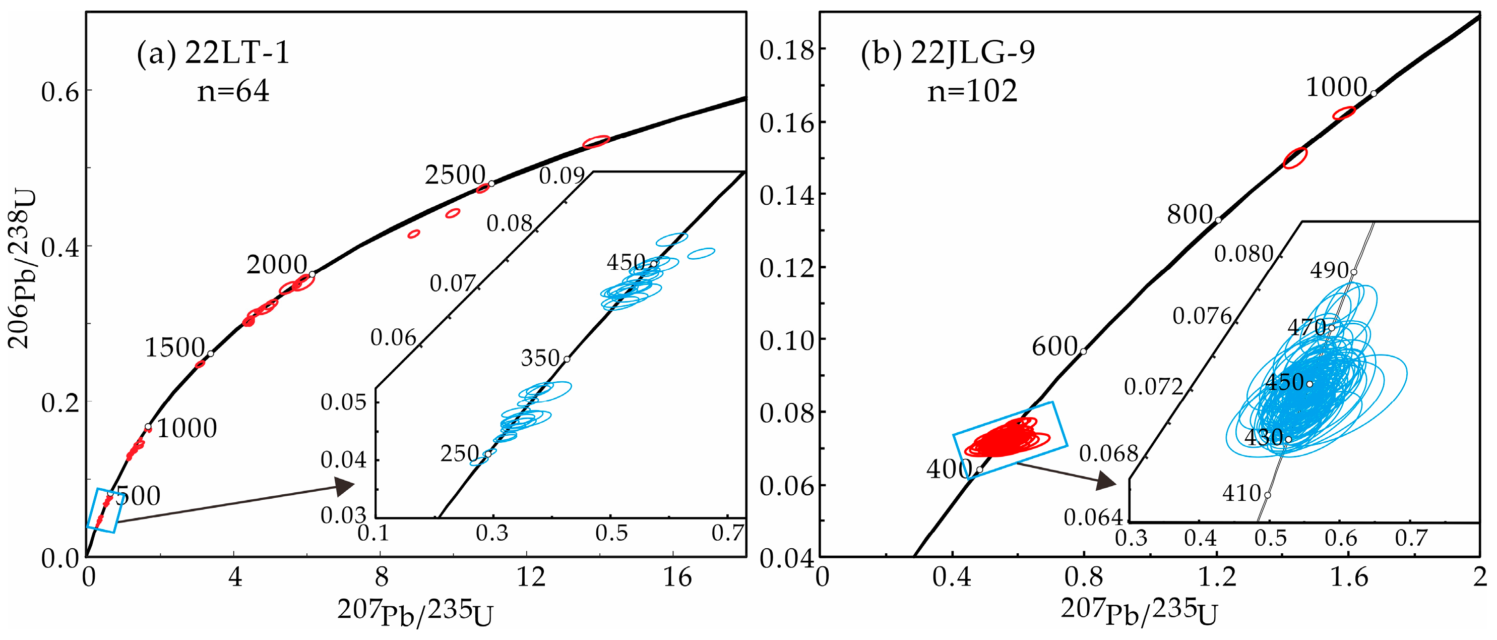
4.3. Zircon U-Pb Geochronology
4.4. Zircon Hf Isotopes
5. Discussion
5.1. Sediment Provenance Analysis
5.1.1. Heavy Mineral Provenance Analysis
5.1.2. Sedimentary Geochemical Provenance Analysis
5.1.3. Zircon U-Pb Geochronology and In Situ Hf Isotope Provenance Analysis
5.1.4. Comprehensive Provenance Analysis
5.2. Tectonic Significance
6. Conclusions
Supplementary Materials
Author Contributions
Funding
Data Availability Statement
Acknowledgments
Conflicts of Interest
Abbreviations
| QinOB | Qinling Orogenic Belt |
| NQinOB | North Qinling Orogenic Belt |
| NQiOB | North Qilian Orogenic Belt |
| MQiB | Middle Qilian Block |
| SQiOB | South Qilian Orogenic Belt |
| NCC | North China Craton |
| NCCB | North China Craton basement |
| SOB | Southern Ordos Basin |
| YB | Yinshan Block |
References
- Liu, S.G.; Luo, Z.L.; Zhao, X.K.; Xu, G.S.; Wang, G.Z.; Zhang, C.J. Coupling relationships of sedimentary basin-orogenic belt systems and their dynamic models in West China: A case study of the Longmenshan Orogenic Belt-West Sichuan foreland basin system. Acta Geol. Sin. 2003, 72, 177–186, (In Chinese with English Abstract). [Google Scholar]
- Dickinson, W.R.; Gehrels, G.E. U-Pb ages of detrital zircons in Jurassic eolian and associated sandstones of the Colorado Plateau: Evidence for transcontinental dispersal and intraregional recycling of sediment. Geol. Soc. Am. Bull. 2015, 121, 408–433. [Google Scholar] [CrossRef]
- Fornelli, A.; Gallicchio, S.; Micheletti, F. U-Pb detrital zircon ages and compositional features of Bifurto quartz-rich sandstones from Southern Apennines (Southern Italy): Comparison with Numidian Flysch sandstones to infer source area. Italian J. Geosci. 2019, 138, 216–230. [Google Scholar] [CrossRef]
- Asmussen, P.; Gust, D.A.; Bryan, S.E.; Purdy, D.; Murphy, D.; Allen, C.M. Multimethod provenance analysis using detrital zircon and rutile U-Pb geochronology across Devonian basin systems in the Tasmanides of eastern Australia. Gondwana Res. 2023, 118, 174–191. [Google Scholar] [CrossRef]
- Gao, X.Y.; Pei, X.Z.; Li, Z.C.; Li, R.B.; Wei, L.Y.; Wang, M.; Liu, C.J.; Gao, F.; Liang, G.B.; Shao, J.K.; et al. Age and provenance of Upper Shilidun Formation, Lintan, West Qinling Orogen: Constraints from LA-ICP-MS U-Pb dating of detrital zircons. Earth Sci. 2019, 44, 1389–1414, (In Chinese with English Abstract). [Google Scholar] [CrossRef]
- Chen, Y.L.; Li, D.P.; Zhou, J.; Zhang, H.F.; Liu, F.; Nie, L.S.; Jiang, L.T.; Liu, X.M. U-Pb ages of zircons in Western Qinling Mountain, China, and their teetonic implications. Earth Sci. Front. 2008, 15, 88–107, (In Chinese with English Abstract). [Google Scholar] [CrossRef]
- Feng, X.; Shao, X.K.; Hou, H.X.; Qin, D.H. Restoration of Devonian-Triassic sedimentary environment and basin tectonic evolution in Lintan Area, West Qinling. Geol. Res. 2023, 32, 517–527, (In Chinese with English Abstract). [Google Scholar] [CrossRef]
- Yan, Q.Z. Geologic Features and Provenance Analysis of Late Paleozoic-Early Mesozoic Sediment Strata at Qinghai Daowei Area in the Northern Margin of the West Qinling. Master’s Thesis, Chang’an University, Xi’an, China, 2017. (In Chinese with English Abstract). [Google Scholar]
- Zhang, Y.X.; Zeng, L.; Zhang, K.J.; Li, Z.W.; Wang, C.S.; Guo, T.L. Late Palaeozoic and early Mesozoic tectonic and palaeogeographic evolution of central China: Evidence from U–Pb and Lu–Hf isotope systematics of detrital zircons from the western Qinling region. Int. Geol. Rev. 2014, 56, 351–392. [Google Scholar] [CrossRef]
- Chang, L. Discussion on Stratigraphic Characteristics and Age Attribution of Shilidun Formation in Minxian Area of Western Qinling Mountains. Master’s Thesis, Chang’an University, Xi’an, China, 2019. (In Chinese with English Abstract). [Google Scholar]
- Chen, Y.Z. Research on Tectono-Sedimentary Characteristic of Marine Strata from Caboniferous to Middle Triassic in Southern Qilian Area and Northern Belt of West Qinling Mountains. Ph.D. Thesis, Northwest University, Xi’an, China, 2019. (In Chinese with English Abstract). [Google Scholar]
- Li, Z.C.; Pei, X.Z.; Wei, L.Y.; Zhao, W.C.; Wang, M.; Liu, C.J.; Li, R.B.; Pei, L.; Chen, Y.X.; Qin, L. Detrital zircon U-Pb age and provenance analysis of Lower Cretaceous-Pliocene continental strata at Lintan area in the West Qinling orogenic belt. Acta Geol. Sin. 2019, 93, 2171–2186, (In Chinese with English Abstract). [Google Scholar] [CrossRef]
- Sun, X.P.; Xu, X.Y.; Chen, J.L.; Gao, T.; Li, T.; Li, X.B.; Li, X.Y. Geochemical Characteristics and Chronology of the Jiangligou Granitic Pluton in West Qinling and Their Geological Significance. Acta Geol. Sin. 2013, 87, 330–342, (In Chinese with English Abstract). [Google Scholar]
- Pan, W.Q.; Jiang, Z.W.; Fan, L.Y.; Zhang, Z.T.; Li, Z.C.; Ma, S.W.; Wang, Z.D.; Li, X.J.; Zhao, W.R. Provenance of the He 8 Member of the Upper Paleozoic Shihezi Formation, Ordos Basin, China: Insights from Heavy Minerals, Paleocurrents, Detrital Zircon Chronology, and Hf Isotopes. Minerals 2024, 14, 1076. [Google Scholar] [CrossRef]
- Wang, J.Q.; Liu, X.M. Proficiency Testing of the XRF Method for Measuring 10 Major Elements in Different Rock Types. Rock. Miner. Anal. 2016, 35, 145–151, (In Chinese with English Abstract). [Google Scholar] [CrossRef]
- Liu, Y.; Liu, X.M.; Hu, Z.C.; Diwu, C.R.; Yuan, H.L.; Gao, S. Evaluation of accuracy and long-term stability of determination of 37 trace elements in geological samples by ICP-MS. Acta Petrol. Sin. 2006, 23, 1203–1210, (In Chinese with English Abstract). [Google Scholar]
- Yuan, H.L.; Gao, S.; Liu, X.M.; Li, H.M.; Gunther, D.; Wu, F.Y. Accurate U-Pb Age and Trace Element Determinations of Zircon by Laser Ablation-Inductively Coupled Plasma-Mass Spectrometry. Geostand. Geoanal. Res. 2004, 28, 353–370. [Google Scholar] [CrossRef]
- Andersen, T. Correction of common lead in U-Pb analyses that do not report 204Pb. Chem. Geol. 2002, 192, 59–79. [Google Scholar] [CrossRef]
- Yuan, H.L.; Gao, S.; Dai, M.N.; Zong, C.L.; Gunther, D.; Fontaine, G.H.; Liu, X.M.; Diwu, C.R. Simultaneous determinations of U–Pb age, Hf isotopes and trace element compositions of zircon by excimer laser-ablation quadrupole and multiple-collector ICP-MS. Chem. Geol. 2008, 247, 100–118. [Google Scholar] [CrossRef]
- Wu, F.Y.; Li, X.H.; Zheng, Y.F.; Gao, S. Lu-Hf isotopic systematics and their applications in petrology. Acta Petrol. Sin. 2007, 23, 185–220, (In Chinese with English Abstract). [Google Scholar]
- Taylor, S.R.; Mclennan, S.M. The Continental Crust: Its Composition and Evolution, An Examination of the Geochemical Record Preserved in Sedimentary Rocks; Blackwell Scientific Publishing: Oxford, UK, 1985; pp. 117–140. [Google Scholar]
- Rudnick, R.; Gao, S. The role of lower crustal recycling in continent formation. Geochim. Cosmochim. Acta 2003, 67, 403. [Google Scholar]
- Sun, S.S.; McDonough, W.F. Chemical and isotopic systematics of oceanic basalts: Implications for mantle composition and processes. In Magmatism in the Ocean Basins; Geological Society Special Publication: London, UK, 1989; pp. 313–345. [Google Scholar] [CrossRef]
- Belousova, E.A.; Griffin, W.L.; O’Reilly, S.Y.; Fisher, N.I. Igneous zircon: Trace element composition as an indicator of source rock type. Contrib. Mineral. Petrol. 2002, 143, 602–622. [Google Scholar] [CrossRef]
- Rubatto, D. Zircon trace element geochemistry: Partitioning with garnet and the link between U–Pb ages and metamorphism. Chem. Geol. 2002, 184, 123–138. [Google Scholar] [CrossRef]
- Hoskin, P.W.O.; Schaltegger, U. The Composition of Zircon and Igneous and Metamorphic Petrogenesis. Rev. Mineral. Geochem. 2003, 53, 27–62. [Google Scholar] [CrossRef]
- Duan, Y.L.; Pan, W.Q.; Zhang, X.; Zhang, Z.T.; Ding, Y.; Jiang, Z.W.; Li, Z.C.; Meiduo, L.M.; Li, W.H. Provenance of the Upper Paleozoic Shihezi Formation in the Luonan Region of the Qinling Orogenic Belt and Its Tectonic Implications. Minerals 2025, 15, 549. [Google Scholar] [CrossRef]
- Ji, B.; Li, X.M.; Huang, B.T.; Wang, L.; Wang, G.Q. Geochronology of detrital zircons from the Guaizhangshan Group from the southern Danghe Mountains in South Qilian and its geological implications. Acta Geol. Sin. 2021, 95, 765–778, (In Chinese with English Abstract). [Google Scholar]
- Griffin, W.L.; Person, N.J.; Belousova, E.; Jackson, S.E.; Achterbergh, E.V.; Reilly, S.Y.O.; Shee, S.R. The Hf isotope composition of cratonic mantle: LAM-MC-ICPMS analysis of zircon megacrysts in kimberlites. Geochim. Cosmochim. Acta 2000, 64, 133–147. [Google Scholar] [CrossRef]
- Nesbitt, H.W.; Young, G.M. Early Proterozoic climates and plate motions inferred from major element chemistry of lutites. Nature 1982, 299, 715–717. [Google Scholar] [CrossRef]
- Cox, R.; Lowe, D.R.; Cullers, R.L. The influence of sediment recycling and basement composition on evolution of mudrock chemistry in the southwestern United States. Geochim. Cosmochim. Acta 1995, 59, 2919–2940. [Google Scholar] [CrossRef]
- Roser, B.P.; Korsch, R.J. Provenance signatures of sandstone-mudstone suites determined using discriminant function analysis of major-element data. Chem. Geol. 1988, 67, 119–139. [Google Scholar] [CrossRef]
- Roser, B.P.; Korsch, R.J. Determination of tectonic setting of sandstone-mudstone suites using SiO2 content and K2O/Na2O ratio. J. Geol. 1986, 94, 635–650. [Google Scholar] [CrossRef]
- Bhatia, M.R. Plate tectonics and geochemical composition of sandstones. J. Geol. 1983, 91, 611–627. [Google Scholar] [CrossRef]
- Bhatia, M.R.; Crook, K.A.W. Trace element characteristics of graywackes and tectonic setting discrimination of sedimentary basins. Contrib. Mineral. Petrol. 1986, 92, 181–193. [Google Scholar] [CrossRef]
- Cawood, P.A.; Hawkesworth, C.J.; Dhuime, B. Detrital zircon record and tectonic setting. Geology 2012, 40, 875–878. [Google Scholar] [CrossRef]
- Cheng, C. The Evolution of Permian Sedimentary Sequences in Zhen’an, Shaanxi, China, and Its Response to the Changes of Permian Paleoclimate, Paleoenvironment and Paleogeography. Ph.D. Thesis, Hefei University of Technology, Hefei, China, 2018. (In Chinese with English Abstract). [Google Scholar]
- Jiang, Z.W.; Luo, J.L.; Liu, X.S.; Hu, X.Y.; Ma, S.W.; Hou, Y.D.; Fan, L.Y.; Hu, Y.H. Provenance and Implication of Carboniferous–Permian Detrital Zircons from the Upper Paleozoic, Southern Ordos Basin, China: Evidence from U-Pb Geochronology and Hf Isotopes. Minerals 2020, 10, 265. [Google Scholar] [CrossRef]
- Gao, C.Y.; Guo, A.L.; Li, X.H.; Li, K.; Liu, W.G. LA-ICP-MS U-Pb dating of detrital zircon from Liuyehe basin in North Qinling Mountains. Geol. Bull. China 2015, 34, 1689–1698, (In Chinese with English Abstract). [Google Scholar]
- Zhang, Y.; Dai, S.; Liu, F.; Qin, D.B.; Ding, L.F.; Chen, Z.Z.; Fang, Y.F.; Ma, X.N.; Wang, X.J.; Hua, Y.L. Devonian–Triassic tectonic evolution of the Western Qinling Orogenic Belt of central China: Insights from detrital zircon U–Pb chronology and rock geochemistry. Palaeogeogr. Palaeoclimatol. Palaeoecol. 2025, 676, 113155. [Google Scholar] [CrossRef]
- Lin, H.; Li, Z.; Pei, X.Z.; Li, R.B.; Zhou, H.; Wang, M.Z.; Qin, S.W.; Li, M.W. Investigating the Orogenic Evolution of the Wushan–Shangdan Ocean in the Qinling–Qilian Conjunction Zone: Insights from the Early Devonian Tailu Pluton. Minerals 2024, 14, 910. [Google Scholar] [CrossRef]
- Zhang, H.F.; Gao, S.; Zhang, B.R.; Luo, T.C.; Lin, W.L. Pb isotopes of granitoids suggest Devonian accretion of Yangtze (South China) craton to North China craton. Geology 1997, 25, 1015–1018. [Google Scholar] [CrossRef]
- Gao, S.; Zhang, B.R.; Gu, X.M.; Xie, Q.L.; Gao, C.L.; Guo, X.M. Silurian-Devonian provenance changes of South Qinling basins: Implications for accretion of the Yangtze (South China) to the North China cratons. Tectonophysics 1995, 250, 183–197. [Google Scholar] [CrossRef]
- Okay, A.I.; Sengör, A.M.C.; Satir, M. Tectonics of an ultrahigh-pressure metamorphic terrane: The Dabie Shan/Tongbai Shan Orogen, China. Tectonics 1993, 12, 1320–1334. [Google Scholar] [CrossRef]
- Ames, L.; Gaozhi, Z.; Baocheng, X. Geochronology and isotopic character of ultrahigh-pressure metamorphism with implications for collision of the Sino-Korean and Yangtze cratons, central China. Tectonics 1996, 15, 472–489. [Google Scholar] [CrossRef]
- Bradley, R.H.; Lothar, R.; Webb, L.; Trevor, I.; Doug, W.; Dong, S.W. U/Pb zircon ages constrain the architecture of the ultrahigh-pressure Qinling–Dabie Orogen, China. Earth Planet. Sci. Lett. 1998, 161, 215–230. [Google Scholar] [CrossRef]
- Enkin, R.J.; Yang, Z.; Chen, Y.; Courtillot, V. Paleomagnetic constraints on the geodynamic history of the major blocks of China from the Permian to the present. J. Geophy. Res. 1992, 97, 13953–13989. [Google Scholar] [CrossRef]
- Sengör, A.M.C. East Asian tectonic collage. Nature 1985, 318, 16–17. [Google Scholar] [CrossRef]
- Dong, Y.P.; Zhang, G.W.; Neubauer, F.; Liu, X.M.; Genser, J.; Hauzenberger, C. Tectonic evolution of the Qinling orogen, China: Review and synthesis. J. Asian Earth Sci. 2011, 41, 213–237. [Google Scholar] [CrossRef]
- Zhang, G.W. The Qinling Menglue Structural Belt and the Continental Structure of China; Science Press: Beijing, China, 2015; pp. 1–516. [Google Scholar]
- Wu, Y.B.; Zheng, Y.F. Tectonic evolution of a composite collision orogen: An overview on the Qinling–Tongbai–Hong’an–Dabie–Sulu orogenic belt in central China. Gondwana Res. 2013, 23, 1402–1428. [Google Scholar] [CrossRef]
- Xu, D.X.; Wei, L.Y.; Zhang, Z.; Kou, S.L.; Chang, L.; Cao, L. U-Pb Age, Geochemical Characteristics and Sedimentary Environment Analysis of Detrital Zircons from the Longwuhe Formation in Lintan area, West Qinling. Northwest Geol. 2020, 53, 102–125, (In Chinese with English Abstract). [Google Scholar]
- Duan, Y.L. Marine Transgression Events and Depositional Environment Evolution in the Southern Margin of the Ordos Basin during the Middle-Late Permian to Early Triassic. Ph.D. Thesis, Northwest University, Xi’an, China, 2025. (In Chinese with English Abstract). [Google Scholar]















| Sample Number | 22LT-1 | 22LT-2 | 22JLG-3 | 22JLG-9 | Sample Number | 22LT-1 | 22LT-2 | 22JLG-3 | 22JLG-9 | ||
|---|---|---|---|---|---|---|---|---|---|---|---|
| Lithology | Medium Sandstone | Medium Sandstone | Medium-Coarse Sandstone | Medium Sandstone | Lithology | Medium Sandstone | Medium Sandstone | Medium-Coarse Sandstone | Medium Sandstone | ||
| Element | Element | ||||||||||
| SiO2 | 65.75 | 75.29 | 50.32 | 58.83 | Sb | 0.12 | 0.46 | 0.16 | 0.15 | ||
| TiO2 | 0.47 | 0.63 | 0.20 | 0.61 | Cs | 3.93 | 2.09 | 4.38 | 13.04 | ||
| Al2O3 | 15.82 | 7.42 | 8.82 | 17.90 | Ba | 698.45 | 162.75 | 487.10 | 687.23 | ||
| TFe2O3 | 2.98 | 5.79 | 1.38 | 5.42 | La | 23.21 | 23.45 | 14.72 | 12.33 | ||
| MnO | 0.02 | 0.12 | 0.01 | 0.05 | Ce | 45.72 | 46.18 | 29.70 | 24.56 | ||
| MgO | 1.74 | 0.99 | 1.24 | 3.02 | Pr | 5.18 | 5.03 | 3.21 | 3.13 | ||
| CaO | 1.84 | 1.78 | 18.42 | 5.05 | Nd | 18.75 | 17.78 | 11.49 | 12.24 | ||
| Na2O | 4.30 | 0.21 | 1.89 | 4.47 | Sm | 3.71 | 3.50 | 2.17 | 2.51 | ||
| K2O | 3.14 | 0.91 | 2.30 | 1.72 | Eu | 1.18 | 0.83 | 0.64 | 1.03 | ||
| P2O5 | 0.10 | 0.18 | 0.06 | 0.15 | Gd | 3.31 | 4.27 | 2.17 | 2.32 | ||
| SO3 | 0.01 | 0.16 | 0.08 | 0.02 | Tb | 0.38 | 0.66 | 0.29 | 0.32 | ||
| Loss On | 2.94 | 6.18 | 14.52 | 1.57 | Dy | 1.75 | 3.92 | 1.63 | 1.81 | ||
| Total | 99.09 | 99.65 | 99.24 | 98.82 | Ho | 0.29 | 0.79 | 0.31 | 0.35 | ||
| K2O/Na2O | 0.73 | 4.37 | 1.22 | 0.38 | Er | 0.71 | 2.27 | 0.89 | 0.99 | ||
| K2O/Al2O3 | 0.20 | 0.12 | 0.26 | 0.10 | Tm | 0.10 | 0.34 | 0.13 | 0.15 | ||
| Al2O3/SiO2 | 0.24 | 0.10 | 0.18 | 0.30 | Yb | 0.56 | 2.21 | 0.81 | 0.91 | ||
| SiO2/Al2O3 | 4.16 | 10.15 | 5.71 | 3.29 | Lu | 0.08 | 0.34 | 0.12 | 0.14 | ||
| Li | 66.57 | 55.11 | 30.39 | 24.27 | Hf | 4.13 | 8.56 | 1.33 | 2.32 | ||
| Be | 4.12 | 0.90 | 1.31 | 1.63 | Ta | 0.47 | 0.76 | 0.48 | 0.38 | ||
| Sc | 5.42 | 8.71 | 4.06 | 10.52 | W | 0.86 | 1.88 | 0.57 | 0.67 | ||
| Ti | 2768.01 | 3742.44 | 1137.42 | 3621.28 | Tl | 0.88 | 0.28 | 0.64 | 1.20 | ||
| V | 34.70 | 55.35 | 24.77 | 108.82 | Pb | 27.49 | 9.38 | 19.67 | 10.46 | ||
| Cr | 35.31 | 68.15 | 32.09 | 54.16 | Bi | 0.51 | 0.17 | 0.13 | 0.14 | ||
| Mn | 285.83 | 1054.56 | 171.06 | 507.95 | Th | 9.25 | 10.91 | 6.50 | 2.59 | ||
| Co | 6.61 | 12.02 | 3.20 | 13.71 | U | 3.66 | 2.50 | 1.05 | 0.77 | ||
| Ni | 8.53 | 24.01 | 9.80 | 25.45 | ΣREE | 104.92 | 111.56 | 68.28 | 62.79 | ||
| Cu | 4.44 | 13.21 | 4.54 | 2.77 | ΣLREE | 97.75 | 96.77 | 61.93 | 55.81 | ||
| Zn | 60.31 | 50.13 | 22.18 | 50.87 | ΣHREE | 7.17 | 14.79 | 6.36 | 6.99 | ||
| Ga | 20.96 | 8.76 | 9.14 | 18.21 | LREE/HREE | 13.62 | 6.54 | 9.74 | 7.99 | ||
| Ge | 1.04 | 1.37 | 0.85 | 1.24 | La/Sc | 4.29 | 2.69 | 3.63 | 1.17 | ||
| Rb | 122.80 | 43.90 | 84.80 | 81.01 | Th/Sc | 1.71 | 1.25 | 1.60 | 0.25 | ||
| Sr | 201.47 | 60.50 | 353.19 | 939.17 | Cr/Th | 3.82 | 6.25 | 4.94 | 20.94 | ||
| Y | 8.34 | 23.07 | 9.67 | 10.12 | Th/U | 2.53 | 4.36 | 6.20 | 3.35 | ||
| Zr | 153.54 | 350.50 | 48.45 | 93.03 | Zr/Hf | 37.17 | 40.93 | 36.49 | 40.19 | ||
| Nb | 6.73 | 10.10 | 4.52 | 5.92 | (La/Yb)N | 29.50 | 7.61 | 13.06 | 9.67 | ||
| Mo | 0.11 | 0.58 | 0.12 | 0.35 | δEu | 1.00 | 0.66 | 0.89 | 1.29 | ||
| Sn | 2.98 | 1.61 | 2.14 | 1.51 | δCe | 0.98 | 0.99 | 1.01 | 0.94 | ||
| Area | Xunhua Area | Jiangligou Area | Hezuo Area | North Lintan Area | Northeast Lintan Area | Minxian Area |
|---|---|---|---|---|---|---|
| Epoch | Permian | Upper Permian | Middle Permian | Middle-Upper Permian | Upper Permian | Middle-Upper Permian |
| Fm. | Ganjia Fm. | Shiguan Fm. | Maomaolong Fm. | Upper Shilidun Fm. | Upper Shilidun Fm. | Shilidun Fm. |
| Provenance | NQinOB | NQiOB | NCC (main), NQinOB (minor) | NCC (main), NQinOB (minor) | NQinOB (main), NCC (minor) | NQinOB (main), NCC (minor) |
| Data sources | Yan, 2017 [8] | This study | Zhang et al., 2014 [9] | Gao et al., 2019 [5] | This study | Chang, 2019 [10] |
| Proportion of NCC provenance | 0 | 0 | 79% | 80% | 23% | 14% |
Disclaimer/Publisher’s Note: The statements, opinions and data contained in all publications are solely those of the individual author(s) and contributor(s) and not of MDPI and/or the editor(s). MDPI and/or the editor(s) disclaim responsibility for any injury to people or property resulting from any ideas, methods, instructions or products referred to in the content. |
© 2025 by the authors. Licensee MDPI, Basel, Switzerland. This article is an open access article distributed under the terms and conditions of the Creative Commons Attribution (CC BY) license (https://creativecommons.org/licenses/by/4.0/).
Share and Cite
Jiang, Z.; Meiduo, L.; Li, Z.; Zhang, Z.; Li, X.; Qin, X.; Ma, S.; Ma, J.; Li, J.; Ma, W.; et al. Provenance of Middle-Upper Permian Sandstones in Lintan and Jiangligou Areas, West Qinling, China: Insights from Geochemistry, Detrital Zircon Chronology, and Hf Isotopes. Minerals 2025, 15, 1024. https://doi.org/10.3390/min15101024
Jiang Z, Meiduo L, Li Z, Zhang Z, Li X, Qin X, Ma S, Ma J, Li J, Ma W, et al. Provenance of Middle-Upper Permian Sandstones in Lintan and Jiangligou Areas, West Qinling, China: Insights from Geochemistry, Detrital Zircon Chronology, and Hf Isotopes. Minerals. 2025; 15(10):1024. https://doi.org/10.3390/min15101024
Chicago/Turabian StyleJiang, Ziwen, Lamao Meiduo, Zhichao Li, Zhengtao Zhang, Xiangjun Li, Xiwei Qin, Shangwei Ma, Jinhai Ma, Jie Li, Wenzhi Ma, and et al. 2025. "Provenance of Middle-Upper Permian Sandstones in Lintan and Jiangligou Areas, West Qinling, China: Insights from Geochemistry, Detrital Zircon Chronology, and Hf Isotopes" Minerals 15, no. 10: 1024. https://doi.org/10.3390/min15101024
APA StyleJiang, Z., Meiduo, L., Li, Z., Zhang, Z., Li, X., Qin, X., Ma, S., Ma, J., Li, J., Ma, W., Zhao, W., Pan, W., & Tian, Z. (2025). Provenance of Middle-Upper Permian Sandstones in Lintan and Jiangligou Areas, West Qinling, China: Insights from Geochemistry, Detrital Zircon Chronology, and Hf Isotopes. Minerals, 15(10), 1024. https://doi.org/10.3390/min15101024

