Next Article in Journal
Laboratory Comparison of Dense Medium Separation and Acid Leaching for Preconcentration of Coarse Rejects from Phosphate Washing Plant
Next Article in Special Issue
Mineral Deposition on the Rough Walls of a Fracture
Previous Article in Journal
Leaching Platinum Group Metals from Simulated Spent Auto-Catalyst Material Using Ozone and Hydrochloric Acid
 
 
Font Type:
Arial Georgia Verdana
Font Size:
Aa Aa Aa
Line Spacing:
Column Width:
Background:
Article

Numerical Investigation of Heterogeneous Calcite Distributions in MICP Processes

by
Lingxiang Wang
1,
Yajie Chu
1,
Xuerui Wang
2,
Pengzhi Pan
3 and
Dianlei Feng
1,*
1
Department of Hydraulic Engineering, College of Civil Engineering, Tongji University, Shanghai 200092, China
2
Gesellschaft für Anlagen-und Reaktorsicherheit (GRS), Theodor-Heuss-Straße 4, 38122 Braunschweig, Germany
3
State Key Laboratory of Geomechanics and Geotechnical Engineering, Institute of Rock and Soil Mechanics, Chinese Academy of Sciences, Wuhan 430071, China
*
Author to whom correspondence should be addressed.
Minerals 2024, 14(10), 999; https://doi.org/10.3390/min14100999
Submission received: 2 September 2024 / Revised: 20 September 2024 / Accepted: 28 September 2024 / Published: 30 September 2024
(This article belongs to the Special Issue Mineral Dissolution and Precipitation in Geologic Porous Media)

Abstract

Microbially induced calcite precipitation (MICP) is a sustainable and environmentally friendly technology with applications in soil stabilization, concrete crack repair, and wastewater treatment. This study presents an improved Darcy-scale numerical model to simulate the MICP processes in heterogeneous porous media. It focuses on the effects of porosity heterogeneity, characterized by average porosity and correlation length, as well as injection strategies. Both average porosity and correlation length are critical factors influencing mass transport and calcite distribution during MICP treatment. An increase in average porosity leads to significant reductions in transport distance and total calcite mass. Notably, in the case of low averaged porosity, a larger correlation length results in more heterogeneous calcite distributions. However, there exists an upper threshold value of the initial averaged porosity ( ϕ 0 = 0.45 ) above which the heterogeneity of the calcite does not present clear dependence on the correlation length. Additionally, injection strategies significantly impact the consolidation effects. Compared to continuous injection, using the phased injection strategy can greatly improve the precipitated calcite area and mass due to its high utility and the efficiency of reactants.

1. Introduction

In recent years, microbially induced calcite precipitation (MICP) has garnered significant attention in the field of geo-environmental engineering due to its sustainability and environmental friendliness [1,2,3,4,5]. This technology has been successfully applied to repair surface defects and cracks in concrete [6,7], as well as to control metal pollutants in wastewater to enhance water quality [8,9,10]. Additionally, MICP technology has been utilized for the grouting of soil and rock [11,12]. Notably, Xiao et al. [13] conducted loading tests on biogrout-improved and unimproved concrete model piles, demonstrating that precipitated calcite contributes to particle-pore patching, particle coating, particle bonding, and void filling. Compared to traditional chemical grouting, the MICP method is more environmentally friendly and efficiently enhances both mechanical and hydraulic properties [5,12,14,15,16,17,18,19].
Despite its advantages, MICP applications at the field scale still present challenges due to the induced nonuniform distribution of calcite precipitation [20,21,22]. Specifically, the calcite distribution directly influences the consolidation properties [23,24,25]. Therefore, the calcite distribution properties of MICP treatment have received considerable attention and have been investigated continuously in recent decades. Van et al. [26] applied a field-scale MICP treatment to a 100 m3 sand volume, finding that only 40 % of the volume cemented, with significant nonuniformity in cementation. In detail, this nonuniformly consolidated distribution presents excessive calcite precipitation near the inlet [27], and such a problem reduces the efficiency of the whole grouting process.
Heterogeneous porosity distribution is a key factor influencing the distribution of precipitated calcite [5,23,28]. To gain a better understanding of this influence, many experimental and numerical studies have been conducted. For instance, Zhang et al. [29] highlighted the impact of MICP on cementation anisotropy in quartz and calcareous sands, emphasizing how intra-particle pores in calcareous sands facilitate bacterial adsorption and enhance calcite crystallization. Similarly, Zhou et al. [30] discussed the unique effects of MICP in calcareous sands, where intra-particle pores contribute to a significant improvement in soil strength. Chae et al. [31] observed that medium sands treated using the pouring method presented a relatively uniform calcite distribution, efficiently improving resistance to wind erosion. Additionally, Xiao et al. [28] developed a temperature-controlled one-phase MICP method inspired by the temperature sensitivity of bacterial activity to form more homogeneous calcite precipitation, significantly enhancing specimen strength. The grain size distribution [32], sand content [33], and treatment conditions [8,34] can also influence the mechanical properties of samples after MICP treatment.
In addition to experimental studies, numerous numerical models have also been developed to provide efficient and quantitative investigation tools for the investigation of MICP processes [1,35,36,37,38]. For example, Xiao et al. [39] developed a thermodynamics-based constitutive model for calcareous treated sand. This model successfully captures cyclic stress–strain hysteresis and the generation of excess pore pressure in sand treated with MICP, deepening our understanding of the underlying mechanisms of such treatments. Wang et al. [22] developed a coupled bio-chemo-hydro-mechanical (BCHM) model of MICP to predict permeability reduction and stiffness improvement, observing the significant influence of pore structures on reaction rates. Moreover, Konstantinou et al. [40] assessed the effect of solid shape and size on the mechanical performance of grouted samples and found that in the case of moderate particle sizes ( D 50 = 180–890 µm), MICP treatment results in the best performance in terms of the strength improvement and permeability control. Due to the complexity of reactive mass transport processes in MICP, the development and optimization of numerical models still face many challenges [24]. One of the difficulties is to accurately model these processes in heterogeneous porous media [12]. While the significance of porosity distribution is well recognized, most studies have focused on the mechanical properties of MICP-treated samples, and very few studies have investigated the role played by porosity distribution during the whole process of reactive mass transport [23,40].
Apart from the heterogeneity of porous media, injection strategies also play an important role in the eventual performance of the grouting properties [5,12]. Kakelar et al. [41] demonstrated that a multi-step injection strategy significantly enhances calcite content and sample strength compared to a single-step approach. Moreover, the additional insertion of fibers into MICP-treated samples could also help to improve the shear strength and ductility of grouted samples [16]. Minto et al. [42] studied the circulating MICP grouting process numerically and found that increasing the injection rate can improve urea utilization efficiency. Qabany and Soga [43] investigated the effects of varying concentrations of cementation solutions on sand samples and observed that high-concentration solutions can lead to a rapid decrease in permeability and increased inhomogeneity in cementation distributions. Although injection strategies have been extensively studied both experimentally and numerically, a comprehensive understanding of their impact on consolidation effects within heterogeneous porous media is still lacking, necessitating further detailed investigations.
The aim of this paper is to gain insight into the impact of heterogeneous porosity distributions on cementation performance during MICP treatment, with additional consideration of injection strategies. In engineering practice and experiments, soil porosity varies significantly. To comprehensively assess these effects, a numerical model is employed for qualitative and quantitative analysis. This study is structured as follows. Details of the mathematical model are presented in Section 2. In Section 3, the simulation results are shown and investigated. We apply the validated numerical model (see Section 3.1) to investigate the effects of heterogeneous porosity distributions on mass transport in the MICP processes (see Section 3.2) and those of injection strategies on the consolidation effect (see Section 3.3). Section 4 presents a summary and conclusions. Moreover, detailed simulation results of the transport of other substances in MICP processes are presented in Appendix A.

2. Mathematical Model

2.1. Chemical Reactions

In the MICP reaction, bacteria (e.g., Sporosarcina pasteurii) are injected into porous media to catalyze urea hydrolysis. During the process, ammonium ( N H 4 + ) and carbonate ( C O 3 2 ) are produced as
C O N H 2 2 + 2 H 2 O bacteria 2 N H 4 + + C O 3 2
By additionally injecting a calcium solution (e.g., C a C l 2 ), calcium carbonate ( C a C O 3 ) in the form of calcite precipitates in the pore space as
C O 3 2 + C a 2 + C a C O 3
The overall reaction yields
C O N H 2 2 + 2 H 2 O + C a 2 + bacteria 2 N H 4 + + C a C O 3

2.2. Model Assumptions

The MICP reaction, in practice, is complex, influenced by numerous factors, like temperature, pH, and bacterial species. To improve computational efficiency and focus on key transport processes, the mathematical model used in this study is based on the following assumptions:
  • The porous medium is fully saturated, with an incompressible fluid of constant viscosity.
  • The model operates at the Darcy scale, which is not applicable to pore-scale simulation.
  • Mass transport of chemical species, including bacterial metabolism and ureolysis, occurs only in the mobile liquid phase, while bacterial encapsulation and calcite precipitation take place in the immobile solid phase.
  • The effects of pH and temperature on biochemical reactions are not explicitly accounted for in the model.

2.3. Flow Model

In this study, the flow in the porous medium is modeled using Darcy’s law. The flow velocity in terms of the Darcian velocity q ( [ L T 1 ] ) reads as follows:
q = κ μ p + ρ g
where κ [ L 2 ] and μ [ L 2 T 1 ] denote the intrinsic permeability of the porous medium and fluid kinematic viscosity, respectively. The velocity ( q ) depends on the gradient of the flow pressure (p [ M L 1 T 2 ] ) and the gravity force ( ρ g ), in which ρ [ M L 3 ] and g [ L T 2 ] denote the fluid density and gravitational acceleration, respectively.
The current permeability at time step i ( κ i ) [ L 2 ] induced by the reduction in porosity is calculated using the Kozeny–Carman (KC) equation [44] as follows:
κ i = κ 0 1 ϕ 0 1 ϕ i 2 ϕ i ϕ 0 3
where ϕ 0 and ϕ i [ ] denote the initial effective porosity and the current porosity, respectively. κ 0 refers to the basic permeability parameter.

2.4. Reactive Mass Transport Model

The mass transport of reactants and products in two phases is governed by the mass balance equations described by coupled, nonlinear, time-dependent advection–diffusion–reaction (ADR) equations. Figure 1 illustrates the reactive transport processes, including bacterial metabolism, growth, ureolysis, and precipitation. In the following, the governing equations for substances in the mobile liquid phase and the immobile solid phase are introduced.

2.4.1. Liquid Phase (Mobile)

The reactive processes of the reactants (suspended bacteria, urea, and calcium) and products (ammonium and carbonate) in the liquid phase are modeled by solving the ADR equations, in which the substance concentration ( ( C ) [ N L 3 ] ) is the main variable. It is worth noting that the optical density at 600 nm is used as a measure of the bacterial concentration [42]. The mass balance equation of the suspended bacteria in terms of their concentration ( C b a c 1 ) [ O D 600 ] reads as follows:
ϕ C b a c 1 t + · q C b a c 1 · ϕ D · C b a c 1 = R g r o 1 R a t t 1
where ϕ [ ] and D [ L 2 T 1 ] denote the porosity and the diffusion tensor of substrates, respectively. The production of and reduction in suspended bacteria depend on their growth reaction ( R g r o 1 [ O D 600 T 1 ] ) and attachment reaction ( R a t t 1 ). The growth reaction term of suspended bacteria reads as follows:
R g r o 1 = ϕ k g r o S a t t C b a c 1
Following the model presented in [42], the attachment reaction term reads as follows:
R a t t 1 = ϕ k a t t U a t t + k s t r S a t t C b a c 1
where k a t t , k s t r , and k g r o [ T 1 ] are constants representing the rates of attachment, straining, and growth in bacteria, respectively. U a t t and S a t t [ ] denote the maximum attachment velocity dependence and the solid cell attachment parameter, respectively. In this model, the attachment of bacteria to surfaces is considered irreversible. It is worth noting that the attachment process includes straining, whereby some bacteria are immobilized due to wedging in cracks and constrictions [42].
Urea and calcium chloride solution ( C a C l 2 ) is also injected into the porous media from the outside. Similarly, the mass balance equations of urea and calcium read as follows:
ϕ C u r e a t + · q C u r e a · ϕ D · C u r e a = R u r e o
ϕ C C a 2 + t + · q C C a 2 + · ϕ D · C C a 2 + = R p r e c
where R u r e o and R p r e c [ N L 3 T 1 ] denote the reaction terms for ureolysis and calcite precipitation, respectively. A detailed discussion on ( R u r e o ) is presented later in Section 3.1. The precipitation process is assumed to be limited by the minimum concentrations of produced carbonate ( C C O 3 2 ) and calcium ( C C a 2 + ). Thus, R p r e c is expressed as follows:
R p r e c = ϕ k p r e c min ( C C a 2 + , C C O 3 2 )
where k p r e c [ T 1 ] denotes the precipitation rate.
Since one mole of urea hydrolyzes into two moles of ammonium and one mole of carbonate, as shown in Equation (3), the mass balance equations for ammonium and carbonate are expressed as follows:
ϕ C N H 4 + t + · q C N H 4 + · ϕ D · C N H 4 + = 2 R u r e o
ϕ C C O 3 2 t + · q C C O 3 2 · ϕ D · C C O 3 2 = R u r e o R p r e c

2.4.2. Solid Phase (Immobile)

The attached surface bacteria and precipitated calcite are treated as immobile, simplifying their governing equations to ordinary differential equations (ODEs). The governing equations for surface bacteria and calcite are expressed as follows:
ϕ C b a c 2 t = R a t t 1 + R g r o 2 C b a c 2 C C a C O 3 k e n c a
C C a C O 3 t = R p r e c M W C a C O 3
In this model, surface bacteria are inactivated by encapsulation within precipitated calcite, where k e n c a [ M L 3 T 1 ] represents the encapsulation rate constant. C C a C O 3 [ M L 3 ] denotes the mass concentration of precipitated calcite at the last time step, and M W C a C O 3 [ M N 1 ] is the molecular weight of calcite.
Additionally, the growth of attached bacteria on particle surfaces, namely their self-reproduction process, is modeled by the following equation:
R g r o 2 = ϕ k g r o S a t t C b a c 2
The reductions in porosity and permeability result from the increased amount of calcite precipitation. To accurately represent this phenomenon, the porosity ( ϕ ) is considered to be a variable governed by the following equation:
ϕ t + C C a C O 3 t ρ C a C O 3 = 0
where ρ C a C O 3 [ M L 3 ] denotes the bulk density of precipitated calcite.

2.5. Numerical Methods

In this study, the coupled ADR equations are numerically solved by using the operator-splitting method (OSM) [45] within the OpenGeoSys (OGS) open-source finite-element code [46]. Specifically, the reaction terms of mass balance equations are handled by the integrated reaction solver, namely PHREEQC [47,48]. The solution scheme of the MICP model is illustrated in Figure 2. The standard finite-element method is used for the spatial discretization of the PDEs, and the second-order Crank–Nicolson scheme is applied for time integration.

3. Results

In the following section, we first validate the improved numerical model by using the experimental data reported by Van Paassen [11]. The validation process involves the determination of key parameters in the model. Then, the impact of heterogeneous porosity distributions on MICP processes is simulated by this validated model. Specifically, the porosity distribution is varied to explore its effect on the calcite distribution. Finally, we conduct a numerical comparison of different injection strategies by implementing phased and continuous injection methods in the model. All the results presented in this study were derived from our developed numerical model.

3.1. Model Validation

3.1.1. Simulation Setup I

Following the experimental setup reported by Van Paassen [11], a five-meter-long sand column (internal diameter, 66 mm) is used for the MICP treatment, as shown in Figure 3a. The experimental data of reactants and products at the gauge points (as illustrated in Figure 3b) are measured and recorded at different times, namely at 6 h, 12 h, 14 h, 18 h, and 24 h. As the length of the sand column is much larger than its diameter, we model the whole MICP process as a one-dimensional numerical problem. The length of the computational domain is numerically discretized by using 100 linear elements with a constant grid size of Δ x = 0.05   m . Initially, the entire domain is filled with bacteria and C a C l 2 ( C b a c 1 = 1.538 O D 600 and C C a 2 + = 0.05   M ). Then, the bacteria and other chemical reactants are continuously injected into the domain from the inlet point for 24.9 h. To model such a process, a constant flow velocity is applied in association with given fluxes of the bacteria, urea, and C a C l 2 at the inlet point. Regarding the outlet boundary, a constant pressure condition is applied for the flow equation, and a zero-gradient condition of concentration is applied for each reactive mass transport equation. More detailed information regarding the boundary conditions is summarized in Table 1, and the modeling parameters used in the simulation are listed in Table 2.

3.1.2. Numerical Analysis

The reaction model of the ureolysis process plays an important role in MICP modeling. One of the most widely used models directly adopts the Monod equation, as shown in Equation (18), in which the reaction rate is only limited by the urea concentration [45].
  • Model I:
R u r e o = ϕ C b a c 1 k u r e o C u r e a K m + C u r e a
where k u r e o [ T 1 ] and K m [ N L 3 ] refer to the ureolysis rate and half saturation constant, respectively. However, such a type of model fails to take the ammonium inhibition mechanism into account. Ref. [42] further improved the reaction model by multiplying an inhibition term as follows:
  • Model II:
R u r e o = ϕ C b a c 1 k u r e o C u r e a K m + C u r e a K N H 4 + K N H 4 + + C N H 4 +
where K N H 4 + [ N L 3 ] is the ammonium inhibition constant. It is notably observed that reaction terms of bacterial metabolism and growth are not involved in either Model I or Model II, namely by taking R g r o and R a t t as 0 in Equations (7), (8), and (16).
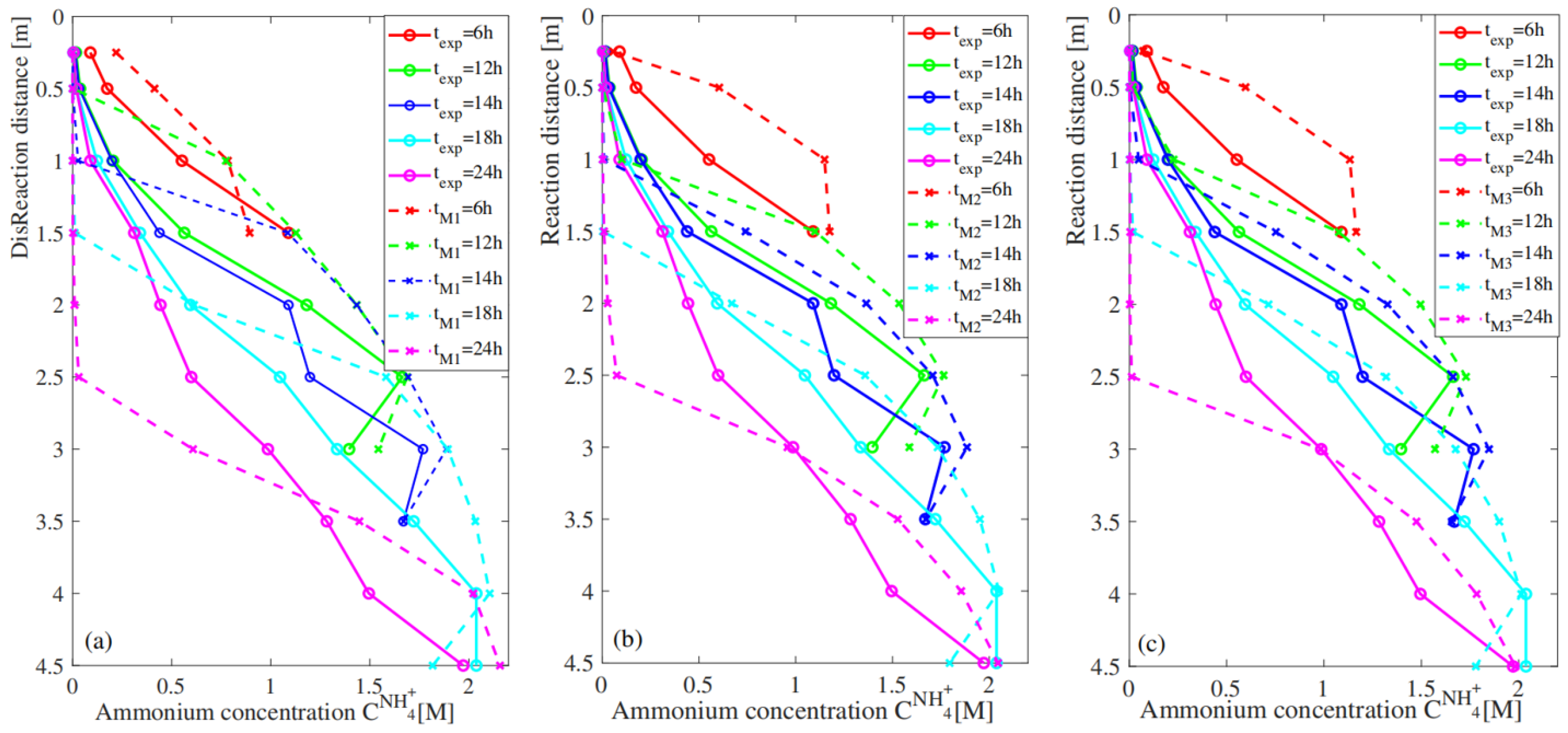
Clearly, compared to Model I, a larger value of the ureolysis rate ( k u r e o ) is needed in Model II due to the multiplied inhibition term. We calibrate k u r e o in Model I and Model II by using data collected at the 24th hour in the experiment [11] and obtain k u r e o = 2.5 × 10 5 s−1 and k u r e o = 1.5 × 10 4 s−1, respectively. The applicable value of k u r e o has been investigated in different studies and lies in a large range from 1.39 × 10 5 s−1 [49] to 2.69 × 10 4 s−1 [50]. Our calibrated values both lie in this range, which demonstrates that both Model I and Model II are useful for modeling the MICP problem. Figure 4a,b illustrate a comparison of the experimentally measured ammonium concentrations at different times relative to the simulation results by using these two models. The models can reproduce the concentration profiles in a satisfactory manner. What should be noticed is that with a more detailed comparison of the modeling error, Model II presents more accurate results than Model I, as demonstrated by the detailed root mean square error (RMSE) values listed in Table 3. The results demonstrate that taking the ammonium inhibition mechanism into account can help to improve the prediction performance of MICP processes.
We can further consider the bacterial growth and the ureolysis induced by the attached bacteria, as presented in Equation (20), and the same parameter value of k u r e o ( 1.5 × 10 4 s−1) can be used.
  • Model III:
R u r e o = ϕ C b a c 1 + C b a c 2 k u r e o C u r e a K m + C u r e a K N H 4 + K N H 4 + + C N H 4 +
In this model, the suspended and attached bacterial concentrations ( C b a c t 1 and C b a c t 2 ) depend on the reaction rates of bacterial attachment ( k a t t ), straining ( k s t r ), and growth ( k g r o ), as defined in Equations (7), (8), and (16), respectively, in Section 2.4. These three parameters are calibrated by using the same experimental data as in previous studies.
The simulation results of the ammonium concentration profiles obtained using Model III are illustrated in Figure 4c. The results demonstrate that Model III can better reproduce the experimental data. As shown in Table 3, we obtain the smallest RMSE value ( 0.232 ) by using Model III compared to the other two models. It can be observed that the simulation results from Model III do not differ much from those of Model II. This is because the short experimental duration leads to a domination of the suspended bacteria in the whole system; thus, the attached bacteria do not significantly influence the simulation results. However, when modeling a longer duration of the MICP processes, Model III is more applicable than the other two models, although the complexity of the model is increased. In the following studies, Model III is applied for numerical investigations.

3.2. Influence of Heterogeneous Porosity Distributions

The presented model can also be applied to simulate multi-dimensional MICP processes. In this section, we look into a two-dimensional MICP problem with emphasis on investigating the influence of heterogeneity on the reactive transport processes in the porous media. For such a purpose, different scenarios associated with various average porosities, as well as the porosity distributions of different correlation lengths, are numerically investigated in the following.

3.2.1. Simulation Setup II

The validated numerical model is applied to simulate MICP processes in heterogeneous porous media within a 100 m × 100 m square domain. Initially, the entire domain is filled with 0.05 M C a C l 2 . Then, bacteria and cementation fluids are simultaneously injected from the middle inlet of the left boundary, as illustrated in Figure 5. During the injection phase, the same boundary conditions as in Section 3.1 are applied (see Table 1). As shown in Figure 6, six random porosity distributions, which are composed of two different average porosities ( ϕ 0 ) and three types of correlation lengths (l), are considered. A total of 170 h of the MICP process is simulated with a time step of Δ t = 10 h. The values of most parameters are the same as in Section 3.1, and additional model parameters are listed in Table 4.

3.2.2. Results of Simulation II

The simulated concentration distributions of bacteria in the six above-mentioned scenarios at t = 170 h are illustrated in Figure 7. A comparison of concentration profiles along the y = 50 m line is shown in Figure 7A–E, each representing different porosity distributions. It can be observed that an increase in average porosity leads to a significant decrease in bacterial transport distances (see Figure 7C–E). This is due to the reduction in flow velocity resulting from the increased porosity while keeping the boundary condition of the flow equation unchanged. Such a phenomenon has also been found in experimental studies [53]. The concentration profiles of other reactants such as urea and calcium behave similarly to the bacteria in terms of spatial patterns, although the values are not the same. Therefore, we take the bacterial concentration distribution as an example in this study, while simulation results regarding the other substances can be found in Appendix A.
In this study of MICP treatment in porous media, we are mostly interested in the eventual profiles of the precipitated calcite. The simulation results of the calcite distributions regarding these six scenarios are presented in Figure 8. Similar to the simulation results of the bacteria, the averaged porosity also plays a crucial role in determining the precipitation volume or mass (see Figure 8C–E). However, the impact of correlation length on the mass of precipitated calcite remains an interesting question. To quantitatively answer this question, we measured the simulated volume percentage of both bacteria and calcite within four distinct concentration ranges for each scenario, and the results are listed in Table 5. For instance, in the case of scenario (1a), 28.08 % of the volume corresponds to precipitated calcite within the concentration range of 1.0–1.1 kg/L. We observe that the l parameter in porosity distributions does not have a large influence on the total mass of each substance. In fact, it does not even affect the volume percentage of different grades of concentrations.
Although the calcite mass is not influenced much by the correlation length (l), an increase in l may result in less homogeneous calcite distributions (see Figure 8(1c)). Moreover, the value of the averaged porosity seems to also have an influence on the calcite profiles. To quantify the heterogeneity of the calcite distribution, the precipitated calcite mass within local areas is investigated. The reason why we use the calcite mass within a predefined area to evaluate the heterogeneity is simple. Since the total calcite mass remains the same under different correlation lengths, its precipitation distribution is more heterogeneous, meaning that there are more occasions for which the mass transports flow out of the area, leaving less mass within the chosen area. What should be noted is that the local area has to be carefully selected, usually by only cutting the front plumes of the concentration profile in the scenario corresponding to the smallest l parameter. Therefore, we choose the local area based on a large area of calcite coverage (Figure 8(1a)) in the horizontal direction from the left border of the domain to x = 40 m in the case of ϕ 0 = 0.25 . Similarly, the local areas at ϕ 0 = 0.45 are scaled proportionally according to the averaged porosity, as represented in Figure 8. The simulated calcite mass per unit thickness in the local areas is listed in Table 6. It is observed that in the case of ϕ 0 = 0.25 , the calcite mass gradually decreases in the local areas with an increased correlation length, which demonstrates that having a larger correlation length in porosity distributions may lead to more heterogeneous calcite distributions.
The observed relationship between the heterogeneity and the correlation length works in scenarios with a relatively small averaged porosity, such as in the case of ϕ 0 = 0.25 . However, for cases with larger porosities (e.g., ϕ 0 = 0.45 ), as the data in Table 6 demonstrate, the calcite distribution in scenario (2c) appears to be more uniform than in scenario (2b). This is because when both the averaged porosity and its correlation length are large, the calcite distribution profiles may become highly random, and it is difficult to find a simple rule to categorize the heterogeneity. To illustrate this, we controlled these two parameters, namely ϕ 0 and l as in scenario (2c) to generate another scenario (referred to as scenario (2d)), as illustrated in Figure 9a, and the corresponding simulated calcite profile is shown in Figure 9b. By measuring the calcite mass within the local area, a much smaller value is measured, as listed in Table 6. It is observably noted that in scenario (2d), the calcite distribution is the most heterogeneous. In summary, one may draw the conclusion that a larger correlation length of the porosity can lead to a more heterogenous calcite distribution in MICP under the condition that the value of the averaged porosity is not too large. There could be an upper bound for such a threshold porosity value; however, determining this threshold is beyond the scope of the current study.

3.3. Influence of the Injection Strategies in Porous Media

In addition to heterogeneous porosity distributions, the injection strategies also have a great influence on the calcite precipitation properties. In this section, we simulate MICP processes in heterogeneous porous media with different injection strategies.

3.3.1. Simulation Setup III

The model is built with the same computational domain, boundary conditions, and modeling parameters as those presented in Section 3.2. In this study, the average porosity is fixed at 0.35 , and three porosity distributions with different correlation lengths are considered, as illustrated in Figure 10. Initially, the concentrations of bacteria and cementation solutions (urea and C a C l 2 ) are set to zero in the domain. The following two injection strategies are applied in the model: (1) continuous injection, namely by injecting the bacterial and cementation solutions together, and (2) phased injection, in which the bacterial solution is injected first, followed by the cementation solution, with 15 injection cycles, as listed in Table 7.

3.3.2. Results of Simulation III

Simulation results of the bacteria concentration at the end of simulation are illustrated in Figure 11. In the figure, the left column shows the concentration distribution at t = 150 h obtained using continuous injection (see Figure 11A) and at t = 300 h using phased injection (see Figure 11B). The concentration profiles along the middle line of y = 50 m corresponding to different scenarios are plotted in the right column. The corresponding simulated results of urea concentration are illustrated in Figure 12. The simulation results demonstrate that the injection strategies directly influence the substance distributions and the consolidation effect. Furthermore, we observe that both the transport distance of substances and the consolidation area are increased in the case of the phased injection, compared to applying the continuous strategy. It should be noted that the concentration profiles of reactants exhibit multiple peaks in the case of phased injection, as shown in Figure 11 and Figure 12. This is due to the presence of residual reactants from previous injections. Moreover, in the phased injection, urea is not continuously supplied after its consumption due to the presence of a blank phase, which results in the urea concentration decreasing more rapidly with the application of the phased injection strategy (see Figure 12).
In cases with different injection strategies, the correlation length still impacts the precipitated calcite distributions. We further compare the calcite distributions at l = 2 Δ x , l = 4 Δ x , and l = 6 Δ x by applying the phased injection strategy, with the simulation results shown in the second rows of Figure 13. It turns out that the increase in the correlation length (l) results in significantly nonuniform calcite distributions—in particular, extremely large differences in its horizontal distribution distance. Not only dies the injection strategy have an impact on the substance distributions, but it also directly influences the precipitated calcite mass. Table 8 presents the volume concentrations of reactants. It can be observed that as a result of applying the phased injection strategy, only a small percentage of high-concentration reactants is left in the system. This demonstrates that using the phased injection strategy, the reactants can be utilized more efficiently, and as shown in Table 8, about 25 % more mass of calcite is produced compared to the continuous injection strategy.

4. Summary and Conclusions

This study systematically investigated the microbially induced calcite precipitation (MICP) process in heterogeneous porous media using a developed Darcy-scale numerical model. The results demonstrate that both heterogeneous porosity distributions and injection strategies play critical roles in influencing mass transport and calcite precipitation during MICP treatments. Notably, the heterogeneity in porosity distributions is defined by changing average porosity and correlation length.
The precipitation efficiency is primarily influenced by average porosity. An increase in average porosity leads to a notable reduction in substance transport distance and total calcite mass. At lower average porosities, an increase in correlation length leads to a more heterogeneous calcite distribution. In cases where the initial porosity is ϕ 0 = 0.25 , the precipitated calcite mass in local regions decreases substantially with increasing correlation length. However, once the average porosity exceeds a certain threshold (in this study, ϕ 0 = 0.45 ), the influence of correlation length diminishes, and the calcite distribution becomes less dependent on correlation length. The correlation length has no impact on the volume percentage of substance concentrations and total calcite mass.
This study also demonstrates that injection strategies considerably affect the consolidation effect of MICP treatments. The phased injection strategy consistently outperforms continuous injection, resulting in greater calcite mass and more uniform cementation due to more efficient reactant utilization. This highlights the potential of optimizing MICP treatments through the use of injection strategies in practical applications.
In addition to porosity distribution and injection strategies, maintaining appropriate environmental conditions—particularly in terms of pH fluctuations and quorum sensing [54,55]—plays a crucial role in enhancing calcite precipitation. An alkaline environment with a pH range of 8 to 9.5 is ideal for promoting microbial activity and facilitating calcite crystallization [12,56,57]. Although this model assumes stable environmental conditions, maintaining consistency in heterogeneous natural porous media poses challenges both in laboratory and field applications.
Despite these limitations, MICP shows great potential in industrial applications such as soil stabilization, concrete crack repair, and subsurface grouting. In soil stabilization, MICP can enhance mechanical properties by improving soil strength and reducing permeability. Future studies should focus on integrating factors such as pH fluctuations and discrepancies between laboratory and field conditions into the model to improve the predictive accuracy and practical applicability of MICP processes. A deeper understanding of these mechanisms will enable the development of more effective MICP treatments.

Author Contributions

L.W.: data curation, investigation, and writing—original draft; Y.C.: formal analysis, investigation, and validation; X.W.: software, writing—review, and supervision; P.P.: writing—review and supervision; D.F.: funding acquisition, formal analysis, project administration, and writing—review and editing. All authors have read and agreed to the published version of the manuscript.

Funding

This research was funded by the Fundamental Research Funds for the Central Universities in China and the National Natural Science Foundation of China (No. 42207198).

Data Availability Statement

Data are contained within the article.

Acknowledgments

Dianlei Feng thanks the Fundamental Research Funds for the Central Universities in China and the National Natural Science Foundation of China (No. 42207198) for financial support.

Conflicts of Interest

The authors declare that they have no known competing financial interests or personal relationships that could have appeared to influence the work reported in this paper.

Appendix A

The concentration distributions of other substances in heterogeneous porosity distributions from Section 3.2 are shown in Appendix A. These substances include urea, calcium, ammonium, and carbonate. Figure A1 shows urea concentration distributions in six scenarios at t = 170 h. The concentration distributions at ϕ 0 = 0.25 with increases in correlation length (from left to right with l = 2 Δ x to l = 6 Δ x ) are illustrated in the first row, while the case of ϕ 0 = 0.45 is shown in the second row. The concentration distribution of calcium injected at t = 170 h is illustrated in Figure A2. Finally, the concentration distributions of ammonium and carbonate at t = 170 h are shown in Figure A3 and Figure A4, respectively.
Figure A1. Urea concentration distributions in the six scenarios with different average porosity and correlation length (see Figure 6) at t = 170 h, as shown from (1a2c). First row (1a1c): ϕ 0 = 0.25 under different correlation lengths (from left to right: l = 2 Δ x , l = 4 Δ x , and l = 6 Δ x ); second row (2a2c): ϕ 0 = 0.45 .
Figure A1. Urea concentration distributions in the six scenarios with different average porosity and correlation length (see Figure 6) at t = 170 h, as shown from (1a2c). First row (1a1c): ϕ 0 = 0.25 under different correlation lengths (from left to right: l = 2 Δ x , l = 4 Δ x , and l = 6 Δ x ); second row (2a2c): ϕ 0 = 0.45 .
Minerals 14 00999 g0a1
Figure A2. Calcium concentration distributions in the six scenarios with different average porosity and correlation length (see Figure 6) at t = 170 h, as shown from (1a2c). First row (1a1c): ϕ 0 = 0.25 under different correlation lengths (from left to right: l = 2 Δ x , l = 4 Δ x , and l = 6 Δ x ); second raw (2a2c): ϕ 0 = 0.45 .
Figure A2. Calcium concentration distributions in the six scenarios with different average porosity and correlation length (see Figure 6) at t = 170 h, as shown from (1a2c). First row (1a1c): ϕ 0 = 0.25 under different correlation lengths (from left to right: l = 2 Δ x , l = 4 Δ x , and l = 6 Δ x ); second raw (2a2c): ϕ 0 = 0.45 .
Minerals 14 00999 g0a2
Figure A3. Ammonium concentration distributions in the six scenarios with different average porosity and correlation length (see Figure 6) at t = 170 h, as shown from (1a2c). First row (1a1c): ϕ 0 = 0.25 under different correlation lengths (from left to right: l = 2 Δ x , l = 4 Δ x , and l = 6 Δ x ); second row (2a2c): ϕ 0 = 0.45 .
Figure A3. Ammonium concentration distributions in the six scenarios with different average porosity and correlation length (see Figure 6) at t = 170 h, as shown from (1a2c). First row (1a1c): ϕ 0 = 0.25 under different correlation lengths (from left to right: l = 2 Δ x , l = 4 Δ x , and l = 6 Δ x ); second row (2a2c): ϕ 0 = 0.45 .
Minerals 14 00999 g0a3
Figure A4. Carbonate concentration distributions in the six scenarios with different average porosity and correlation length (see Figure 6) at t = 170 h, as shown from (1a2c). First row (1a1c): ϕ 0 = 0.25 under different correlation lengths (from left to right: l = 2 Δ x , l = 4 Δ x , and l = 6 Δ x ); second row (2a2c): ϕ 0 = 0.45 .
Figure A4. Carbonate concentration distributions in the six scenarios with different average porosity and correlation length (see Figure 6) at t = 170 h, as shown from (1a2c). First row (1a1c): ϕ 0 = 0.25 under different correlation lengths (from left to right: l = 2 Δ x , l = 4 Δ x , and l = 6 Δ x ); second row (2a2c): ϕ 0 = 0.45 .
Minerals 14 00999 g0a4

References

  1. Achal, V.; Mukherjee, A.; Reddy, M.S. Microbial concrete: Way to enhance the durability of building structures. J. Mater. Civ. Eng. 2011, 23, 730–734. [Google Scholar] [CrossRef]
  2. Cheng, L.; Shahin, M.; Cord-Ruwisch, R.; Addis, M.; Hartanto, T.; Elms, C. Soil stabilisation by microbial-induced calciteprecipitation (micp): Investigation into some physical and environmental aspects. In Proceedings of the 7th International Congress on Environmental Geotechnics, Melbourne, Australia, 10–14 November 2014; Volume 64, pp. 1105–1112. [Google Scholar]
  3. Rajasekar, A.; Moy, C.K.; Wilkinson, S. Micp and advances towards eco-friendly and economical applications. In IOP Conference Series: Earth and Environmental Science; IOP Publishing: Bristol, UK, 2017; Volume 78, p. 012016. [Google Scholar]
  4. Han-Long, L.; Peng, X.; Yang, X.; Jian-Ping, W.; Yu-Min, C.; Jian, C. Dynamic behaviors of micp-treated calcareous sand in cyclic tests. Chin. J. Geotech. Eng. 2018, 40, 38–45. [Google Scholar]
  5. Zhang, J.; Shi, X.; Chen, X.; Huo, X.; Yu, Z. Microbial-induced carbonate precipitation: A review on influencing factors and applications. Adv. Civ. Eng. 2021, 2021, 9974027. [Google Scholar] [CrossRef]
  6. Achal, V.; Mukerjee, A.; Reddy, M.S. Biogenic treatment improves the durability and remediates the cracks of concrete structures. Constr. Build. Mater. 2013, 48, 1–5. [Google Scholar] [CrossRef]
  7. Sun, X.; Miao, L.; Wu, L.; Wang, H. Theoretical quantification for cracks repair based on microbially induced carbonate precipitation (micp) method. Cem. Concr. Compos. 2021, 118, 103950. [Google Scholar] [CrossRef]
  8. Terzis, D.; Laloui, L. 3-d micro-architecture and mechanical response of soil cemented via microbial-induced calcite precipitation. Sci. Rep. 2018, 8, 1416. [Google Scholar] [CrossRef]
  9. Kumar, A.; Song, H.-W.; Mishra, S.; Zhang, W.; Zhang, Y.-L.; Zhang, Q.-R.; Yu, Z.-G. Application of microbial-induced carbonate precipitation (micp) techniques to remove heavy metal in the natural environment: A critical review. Chemosphere 2023, 318, 137894. [Google Scholar] [CrossRef]
  10. Rajasekar, A.; Wilkinson, S.; Moy, C.K. Micp as a potential sustainable technique to treat or entrap contaminants in the natural environment: A review. Environ. Sci. Ecotechnol. 2021, 6, 100096. [Google Scholar] [CrossRef]
  11. Paassen, L.A.V. Biogrout, Ground Improvement by Microbial Induced Carbonate Precipitation. Ph.D. Thesis, Delft University of Technology, Delft, The Netherlands, 2009. [Google Scholar]
  12. Mujah, D.; Shahin, M.A.; Cheng, L. State-of-the-art review of biocementation by microbially induced calcite precipitation (micp) for soil stabilization. Geomicrobiol. J. 2017, 34, 524–537. [Google Scholar] [CrossRef]
  13. Xiao, Y.; He, X.; Stuedlein, A.W.; Chu, J.; Evans, T.M.; Paassen, L.A.V. Crystal growth of micp through microfluidic chip tests. J. Geotech. Geoenviron. Eng. 2022, 148, 06022002. [Google Scholar] [CrossRef]
  14. Mortensen, B.M.; DeJong, J. Strength and stiffness of micp treated sand subjected to various stress paths. Geo-Front. 2011 Adv. Geotech. Eng. 2011, 4012–4020. [Google Scholar]
  15. Cuthbert, M.O.; McMillan, L.A.; Handley-Sidhu, S.; Riley, M.S.; Tobler, D.J.; Phoenix, V.R. A field and modeling study of fractured rock permeability reduction using microbially induced calcite precipitation. Environ. Sci. Technol. 2013, 47, 13637–13643. [Google Scholar] [CrossRef] [PubMed]
  16. Li, M.; Li, L.; Ogbonnaya, U.; Wen, K.; Tian, A.; Amini, F. Influence of fiber addition on mechanical properties of micp-treated sand. J. Mater. Civ. Eng. 2016, 28, 04015166. [Google Scholar] [CrossRef]
  17. Phillips, A.J.; Cunningham, A.B.; Gerlach, R.; Hiebert, R.; Hwang, C.; Lomans, B.P.; Westrich, J.; Mantilla, C.; Kirksey, J.; Esposito, R.; et al. Fracture sealing with microbially-induced calcium carbonate precipitation: A field study. Environ. Sci. Technol. 2016, 50, 4111–4117. [Google Scholar] [CrossRef] [PubMed]
  18. Cunningham, A.B.; Class, H.; Ebigbo, A.; Gerlach, R.; Phillips, A.J.; Hommel, J. Field-scale modeling of microbially induced calcite precipitation. Comput. Geosci. 2019, 23, 399–414. [Google Scholar] [CrossRef]
  19. Hataf, N.; Baharifard, A. Reducing soil permeability using microbial induced carbonate precipitation (micp) method: A case study of shiraz landfill soil. Geomicrobiol. J. 2020, 37, 147–158. [Google Scholar] [CrossRef]
  20. Gomez, M.G.; DeJong, J.T. Engineering properties of bio-cementation improved sandy soils. Grouting 2017 2017, 23–33. [Google Scholar]
  21. Wijngaarden, W.V.; Vermolen, F.; Meurs, G.V.; Vuik, C. Modelling biogrout: A new ground improvement method based on microbial-induced carbonate precipitation. Transp. Porous Media 2011, 87, 397–420. [Google Scholar] [CrossRef]
  22. Wang, X.; Nackenhorst, U. Micro-feature-motivated numerical analysis of the coupled bio-chemo-hydro-mechanical behaviour in micp. Acta Geotech. 2022, 17, 4537–4553. [Google Scholar] [CrossRef]
  23. Tang, C.-S.; Yin, L.-Y.; Jiang, N.-J.; Zhu, C.; Zeng, H.; Li, H.; Shi, B. Factors affecting the performance of microbial-induced carbonate precipitation (micp) treated soil: A review. Environ. Earth Sci. 2020, 79, 1–23. [Google Scholar] [CrossRef]
  24. Fu, T.; Saracho, A.C.; Haigh, S.K. Microbially induced carbonate precipitation (micp) for soil strengthening: A comprehensive review. Biogeotechnics 2023, 1, 100002. [Google Scholar] [CrossRef]
  25. Xiao, Y.; Wang, Y.; Desai, C.; Jiang, X.; Liu, H. Strength and deformation responses of biocemented sands using a temperature-controlled method. Int. J. Geomech. 2019, 19, 04019120. [Google Scholar] [CrossRef]
  26. Paassen, L.A.V.; Ghose, R.; Linden, T.J.M.V.; Star, W.R.L.V.; Loosdrecht, M.C.M.V. Quantifying biomediated ground improvement by ureolysis: Large-scale biogrout experiment. J. Geotech. Geoenviron. Eng. 2010, 136, 1721–1728. [Google Scholar] [CrossRef]
  27. Stocks-Fischer, S.; Galinat, J.K.; Bang, S.S. Microbiological precipitation of caco3. Soil Biol. Biochem. 1999, 31, 1563–1571. [Google Scholar] [CrossRef]
  28. Xiao, Y.; Wang, Y.; Wang, S.; Evans, T.M.; Stuedlein, A.W.; Chu, J.; Zhao, C.; Wu, H.; Liu, H. Homogeneity and mechanical behaviors of sands improved by a temperature-controlled one-phase micp method. Acta Geotech. 2021, 16, 1417–1427. [Google Scholar] [CrossRef]
  29. Zhang, X.; Zhou, B.; You, L. Cementation anisotropy associated with microbially induced calcium-carbonate precipitation and its treatment effect on calcareous and quartz sands. Constr. Build. Mater. 2023, 395, 132237. [Google Scholar] [CrossRef]
  30. Zhou, B.; Zhang, X.; Wang, J. Insight into the mechanism of microbially induced carbonate precipitation treatment of bio-improved calcareous sand particles. Acta Geotech. 2023, 18, 985–999. [Google Scholar] [CrossRef]
  31. Chae, S.H.; Chung, H.; Nam, K. Evaluation of microbially induced calcite precipitation (micp) methods on different soil types for wind erosion control. Environ. Eng. Res. 2021, 26, 1. [Google Scholar] [CrossRef]
  32. Mahawish, A.; Bouazza, A.; Gates, W.P. Effect of particle size distribution on the bio-cementation of coarse aggregates. Acta Geotech. 2018, 13, 1019–1025. [Google Scholar] [CrossRef]
  33. Zhao, Y.; Wang, Q.; Yuan, M.; Chen, X.; Xiao, Z.; Hao, X.; Zhang, J.; Tang, Q. The effect of micp on physical and mechanical properties of silt with different fine particle content and pore ratio. Appl. Sci. 2021, 12, 139. [Google Scholar] [CrossRef]
  34. Xiao, Y.; Stuedlein, A.W.; Ran, J.; Evans, T.M.; Cheng, L.; Liu, H.; Paassen, L.A.V.; Chu, J. Effect of particle shape on strength and stiffness of biocemented glass beads. J. Geotech. Geoenvironmental Eng. 2019, 145, 06019016. [Google Scholar] [CrossRef]
  35. Martinez, B.; DeJong, J.; Ginn, T. Bio-geochemical reactive transport modeling of microbial induced calcite precipitation to predict the treatment of sand in one-dimensional flow. Comput. Geotech. 2014, 58, 1–13. [Google Scholar] [CrossRef]
  36. Nassar, M.K.; Gurung, D.; Bastani, M.; Ginn, T.R.; Shafei, B.; Gomez, M.G.; Graddy, C.M.R.; Nelson, D.C.; DeJong, J.T. Large-scale experiments in microbially induced calcite precipitation (micp): Reactive transport model development and prediction. Water Resour. Res. 2018, 54, 480–500. [Google Scholar] [CrossRef]
  37. Wijngaarden, W.V.; Paassen, L.V.; Vermolen, F.; Meurs, G.V.; Vuik, C. A reactive transport model for biogrout compared to experimental data. Transp. Porous Media 2016, 111, 627–648. [Google Scholar] [CrossRef]
  38. Soulaine, C.; Tchelepi, H.A. Micro-continuum approach for pore-scale simulation of subsurface processes. Transp. Porous Media 2016, 113, 431–456. [Google Scholar] [CrossRef]
  39. Xiao, Y.; Zhang, Z.; Stuedlein, A.W.; Evans, T.M. Liquefaction modeling for biocemented calcareous sand. J. Geotech. Geoenviron. Eng. 2021, 147, 04021149. [Google Scholar] [CrossRef]
  40. Konstantinou, C.; Wang, Y.; Biscontin, G. A systematic study on the influence of grain characteristics on hydraulic and mechanical performance of micp-treated porous media. Transp. Porous Media 2023, 147, 305–330. [Google Scholar] [CrossRef]
  41. Kakelar, M.M.; Yavari, M.; Yousefi, M.R.; Nimtaj, A. The influential factors in the effectiveness of microbial induced carbonate precipitation (micp) for soil consolidation. J. Hum. Environ. Health Promot. 2020, 6, 40–46. [Google Scholar]
  42. Minto, J.M.; Lunn, R.J.; Mountassir, G.E. Development of a reactive transport model for field-scale simulation of microbially induced carbonate precipitation. Water Resour. Res. 2019, 55, 7229–7245. [Google Scholar] [CrossRef]
  43. Qabany, A.A.; Soga, K. Effect of chemical treatment used in micp on engineering properties of cemented soils. In Bio-and Chemo-Mechanical Processes in Geotechnical Engineering: Géotechnique Symposium in Print 2013; ICE Publishing: London, UK, 2014; pp. 107–115. [Google Scholar]
  44. Wang, X.; Nackenhorst, U. A coupled bio-chemo-hydraulic model to predict porosity and permeability reduction during microbially induced calcite precipitation. Adv. Water Resour. 2020, 140, 103563. [Google Scholar] [CrossRef]
  45. Feng, D.; Wang, X.; Nackenhorst, U.; Zhang, X.; Pan, P. A comparative study of using two numerical strategies to simulate the biochemical processes in microbially induced calcite precipitation. J. Rock Mech. Geotech. Eng. 2022, 14, 592–602. [Google Scholar] [CrossRef]
  46. Kolditz, O.; Bauer, S.; Bilke, L.; Böttcher, N.; Delfs, J.-O.; Fischer, T.; Görke, U.J.; Kalbacher, T.; Kosakowski, G.; McDermott, C.; et al. Opengeosys: An open-source initiative for numerical simulation of thermo-hydro-mechanical/chemical (thm/c) processes in porous media. Environ. Earth Sci. 2012, 67, 589–599. [Google Scholar] [CrossRef]
  47. Jang, E.; Boog, J.; He, W.; Kalbacher, T. OpenGeoSys Tutorial: Computational Hydrology III: OGS# IPhreeqc Coupled Reactive Transport Modeling; Springer: Berlin/Heidelberg, Germany, 2017. [Google Scholar]
  48. Muniruzzaman, M.; Rolle, M. Modeling multicomponent ionic transport in groundwater with iphreeqc coupling: Electrostatic interactions and geochemical reactions in homogeneous and heterogeneous domains. Adv. Water Resour. 2016, 98, 1–15. [Google Scholar] [CrossRef]
  49. Mitchell, A.C.; Espinosa-Ortiz, E.J.; Parks, S.L.; Phillips, A.J.; Cunningham, A.B.; Gerlach, R. Kinetics of calcite precipitation by ureolytic bacteria under aerobic and anaerobic conditions. Biogeosciences 2019, 16, 2147–2161. [Google Scholar] [CrossRef]
  50. Tobler, D.J.; Cuthbert, M.O.; Greswell, R.B.; Riley, M.S.; Renshaw, J.C.; Handley-Sidhu, S.; Phoenix, V.R. Comparison of rates of ureolysis between sporosarcina pasteurii and an indigenous groundwater community under conditions required to precipitate large volumes of calcite. Geochim. Cosmochim. Acta 2011, 75, 3290–3301. [Google Scholar] [CrossRef]
  51. Monod, J. The growth of bacterial cultures. Annu. Rev. Microbiol. 1949, 3, 371–394. [Google Scholar] [CrossRef]
  52. Fidaleo, M.; Lavecchia, R. Kinetic study of enzymatic urea hydrolysis in the ph range 4–9. Chem. Biochem. Eng. Q. 2003, 17, 311–318. [Google Scholar]
  53. Amarakoon, G.; Kawasaki, S. Factors affecting the improvement of sand properties treated with microbially-induced calcite precipitation. Geo-Chicago 2016, 2016, 72–83. [Google Scholar]
  54. Abisado, R.G.; Benomar, S.; Klaus, J.R.; Dandekar, A.A.; Chandler, J.R. Bacterial quorum sensing and microbial community interactions. MBio 2018, 9, 10–1128. [Google Scholar] [CrossRef]
  55. Hawver, L.A.; Jung, S.A.; Ng, W.-L. Specificity and complexity in bacterial quorum-sensing systems. Fems Microbiol. Rev. 2016, 40, 738–752. [Google Scholar] [CrossRef]
  56. Ng, W.-S.; Lee, M.-L.; Hii, S.-L. An overview of the factors affecting microbial-induced calcite precipitation and its potential application in soil improvement. Int. J. Civ. Environ. Eng. 2012, 6, 188–194. [Google Scholar]
  57. Gebru, K.A.; Kidanemariam, T.G.; Gebretinsae, H.K. Bio-cement production using microbially induced calcite precipitation (micp) method: A review. Chem. Eng. Sci. 2021, 238, 116610. [Google Scholar] [CrossRef]
Figure 1. Schematic diagram of MICP reactive mass transport processes. The blue area represents fluid, and khaki represents solid particles, with brown areas corresponding to precipitated calcite attached to solid surfaces. The circles represent bacteria, which include suspended bacteria ( b a c t 1 ) and surface-attached bacteria ( b a c t 2 ), and chemical species (urea, N H 4 + , C a 2 + , and C O 3 2 ).
Figure 1. Schematic diagram of MICP reactive mass transport processes. The blue area represents fluid, and khaki represents solid particles, with brown areas corresponding to precipitated calcite attached to solid surfaces. The circles represent bacteria, which include suspended bacteria ( b a c t 1 ) and surface-attached bacteria ( b a c t 2 ), and chemical species (urea, N H 4 + , C a 2 + , and C O 3 2 ).
Minerals 14 00999 g001
Figure 2. Coupled scheme in the numerical model of MICP.
Figure 2. Coupled scheme in the numerical model of MICP.
Minerals 14 00999 g002
Figure 3. Schematic diagram of experimental setup and layout of gauge points. (a) Experimental setup for MICP processes in porous media as reported by Van Paassen [11]. The setup features a length of 5 m. (b) Gauge-point layout along the column from the inlet (0 m) to the outlet (5 m) used for concentration measurements.
Figure 3. Schematic diagram of experimental setup and layout of gauge points. (a) Experimental setup for MICP processes in porous media as reported by Van Paassen [11]. The setup features a length of 5 m. (b) Gauge-point layout along the column from the inlet (0 m) to the outlet (5 m) used for concentration measurements.
Minerals 14 00999 g003
Figure 4. Comparison of ammonium concentrations in experimental data with simulation results obtained using Models I, II, and III. (a) Model I is derived by the Monod kinetics [51]. (b) Model II considers ammonium inhibition. (c) Model III considers bacterial metabolism and growth, as well as precipitation encapsulation on surface bacteria. The full and dotted lines denote the experimental data and simulation results, respectively.
Figure 4. Comparison of ammonium concentrations in experimental data with simulation results obtained using Models I, II, and III. (a) Model I is derived by the Monod kinetics [51]. (b) Model II considers ammonium inhibition. (c) Model III considers bacterial metabolism and growth, as well as precipitation encapsulation on surface bacteria. The full and dotted lines denote the experimental data and simulation results, respectively.
Minerals 14 00999 g004
Figure 5. Two-dimensional simulation schematic. Bacteria and chemical substances are injected from the inlet, indicated by the red line.
Figure 5. Two-dimensional simulation schematic. Bacteria and chemical substances are injected from the inlet, indicated by the red line.
Minerals 14 00999 g005
Figure 6. Six scenarios with different average porosities ( ϕ 0 ) and correlation lengths (l). First row: at ϕ 0 = 0.25 (subgraph from (1a1c)); second row: at ϕ 0 = 0.45 (subgraph from (2a2c)); from left to right: at l = 2 Δ x (subgraphs (1a,2a)), l = 4 Δ x (subgraphs (1b,2b)), and l = 6 Δ x (subgraphs (1c,2c)).
Figure 6. Six scenarios with different average porosities ( ϕ 0 ) and correlation lengths (l). First row: at ϕ 0 = 0.25 (subgraph from (1a1c)); second row: at ϕ 0 = 0.45 (subgraph from (2a2c)); from left to right: at l = 2 Δ x (subgraphs (1a,2a)), l = 4 Δ x (subgraphs (1b,2b)), and l = 6 Δ x (subgraphs (1c,2c)).
Minerals 14 00999 g006
Figure 7. Bacterial concentration distributions in the six scenarios with different average porosity and correlation length (see Figure 6) at t = 170 h, as shown from (1a2c). Comparisons of bacteria concentration profiles in different scenarios are presented from (AE). (A) Bacterial concentration profiles at y = 50 m with a distance of ϕ 0 = 0.25 under different correlation lengths; (B) ϕ 0 = 0.45 ; (C) l = 2 Δ x under different average porosities; (D) l = 4 Δ x ; (E) l = 6 Δ x .
Figure 7. Bacterial concentration distributions in the six scenarios with different average porosity and correlation length (see Figure 6) at t = 170 h, as shown from (1a2c). Comparisons of bacteria concentration profiles in different scenarios are presented from (AE). (A) Bacterial concentration profiles at y = 50 m with a distance of ϕ 0 = 0.25 under different correlation lengths; (B) ϕ 0 = 0.45 ; (C) l = 2 Δ x under different average porosities; (D) l = 4 Δ x ; (E) l = 6 Δ x .
Minerals 14 00999 g007
Figure 8. Calcite concentration distributions in the six scenarios with different average porosity and correlation length (see Figure 6) at t = 170 h, as shown from (1a2c). The local area is represented by shading. Comparisons of calcite concentration profiles in different scenarios are presented from (AE). (A) Calcite concentration profiles at y = 50 m with a distance of ϕ 0 = 0.25 under different correlation lengths; (B) ϕ 0 = 0.45 ; (C) l = 2 Δ x under different average porosities; (D) l = 4 Δ x ; subgraph (E) l = 6 Δ x .
Figure 8. Calcite concentration distributions in the six scenarios with different average porosity and correlation length (see Figure 6) at t = 170 h, as shown from (1a2c). The local area is represented by shading. Comparisons of calcite concentration profiles in different scenarios are presented from (AE). (A) Calcite concentration profiles at y = 50 m with a distance of ϕ 0 = 0.25 under different correlation lengths; (B) ϕ 0 = 0.45 ; (C) l = 2 Δ x under different average porosities; (D) l = 4 Δ x ; subgraph (E) l = 6 Δ x .
Minerals 14 00999 g008
Figure 9. (a)Random heterogeneous porosity distribution at ϕ 0 = 0.45 & l = 6 Δ x in scenario (2d). (b) Corresponding precipitated calcite distribution.
Figure 9. (a)Random heterogeneous porosity distribution at ϕ 0 = 0.45 & l = 6 Δ x in scenario (2d). (b) Corresponding precipitated calcite distribution.
Minerals 14 00999 g009
Figure 10. Three scenarios in heterogeneous porosity distributions at ϕ 0 = 0.35 with different correlation lengths (from left to right: correlation lengths of l = 2 Δ x , l = 4 Δ x , and l = 6 Δ x ).
Figure 10. Three scenarios in heterogeneous porosity distributions at ϕ 0 = 0.35 with different correlation lengths (from left to right: correlation lengths of l = 2 Δ x , l = 4 Δ x , and l = 6 Δ x ).
Minerals 14 00999 g010
Figure 11. Bacterial concentration distributions and their profiles with distance in heterogeneous porous media under different injection strategies. Left column: concentration distributions in continuous injection (A) and phased injection (B) at the end of simulation time; right column: concentration profiles at y = 50 m with distance.
Figure 11. Bacterial concentration distributions and their profiles with distance in heterogeneous porous media under different injection strategies. Left column: concentration distributions in continuous injection (A) and phased injection (B) at the end of simulation time; right column: concentration profiles at y = 50 m with distance.
Minerals 14 00999 g011
Figure 12. Urea concentration distributions and their profiles with distance in heterogeneous porous media under different injection strategies. Left column: concentration distributions in continuous injection (A) and phased injection (B) at the end of the simulation time; right column: concentration profiles at y = 50 m with distance.
Figure 12. Urea concentration distributions and their profiles with distance in heterogeneous porous media under different injection strategies. Left column: concentration distributions in continuous injection (A) and phased injection (B) at the end of the simulation time; right column: concentration profiles at y = 50 m with distance.
Minerals 14 00999 g012
Figure 13. Calcite concentration distributions in heterogeneous porous media under different injection strategies at the end of simulation time. First row: calcite concentration distributions in continuous injection; second row: in phased injection.
Figure 13. Calcite concentration distributions in heterogeneous porous media under different injection strategies at the end of simulation time. First row: calcite concentration distributions in continuous injection; second row: in phased injection.
Minerals 14 00999 g013
Table 1. Boundary conditions of the numerical model.
Table 1. Boundary conditions of the numerical model.
InletOutlet
Bacteria ( ϕ D · C q C ) · n = q i n C b a c 1 ( C ) · n = 0
Urea ( ϕ D · C q C ) · n = q i n C u r e a ( C ) · n = 0
C a C l 2 ( ϕ D · C q C ) · n = q i n C C a 2 + ( C ) · n = 0
Flow q · n = q i n p = P r e f
Table 2. Reaction parameters of the numerical model.
Table 2. Reaction parameters of the numerical model.
ParameterUnitDescriptionValueReference
Model designL mLength of the column5[11]
ϕ 0 -Initial effective porosity0.378
Q i n L  · h−1Flow rate0.35
q i n m · s−1Inflow velocity 2.84 × 10 5
C b a c 1 OD600Bacteria concentration1.538
C u r e a MUrea concentration1.1
C C a 2 + M C a C l 2 concentration1.1
Δ x mLength of the grid 0.05 Assumed
Hydrodynamics D m m2 · s−1Diffusion coefficient 10 9 [42]
α L mLongitudinal dispersion length0.001[37]
P r e f PaReference pressure 1.5 × 10 5
Permeability μ Pa  · sDynamic viscosity of the fluid 1.15 × 10 3
κ 0 m2Basic permeability of media 10 9 [42]
Ureolysis K m MHalf saturation constant0.301
Bacterial transport k e n c a kg  · m−3  · s−1Encapsulation rate of bacteria12
U a t t -Velocity dependence1
Precipitation k p r e c s−1Precipitation rate constant0.01
ρ C a C O 3 kg · m−3Bulk density of C a C O 3 1620Standard value
M W C a C O 3 kg · m−3  · M−1Molecular weight100.0869
Table 3. Parameters of the numerical model compared with experimental results.
Table 3. Parameters of the numerical model compared with experimental results.
Model IModel IIModel III
Parameters and their corresponding values k u r e o ( 2.5 × 10 5 s−1) k u r e o ( 1.5 × 10 4 s−1) k u r e o ( 1.5 × 10 4 s−1)
- K N H 4 + ( 0.22 M) [52] K N H 4 + ( 0.22 M) [52]
-- k a t t ( 1.8 × 10 6 s−1)
-- k s t r ( 1.8 × 10 7 s−1)
-- k g r o ( 9.0 × 10 8 s−1)
Occurrence time of maximum value 2.1572 m at 24 h 2.0502 m at 18 h 2.0134 m at 18 h
RMSE values 0.307 0.244 0.232
Table 4. Additional parameters for the numerical model.
Table 4. Additional parameters for the numerical model.
ParameterUnitDescriptionValue
Model design Am2 Simulation area 100 × 100
ϕ0-Initial average porosity0.25; 0.45
lmCorrelation lengthx; 4Δx; 6Δx
ΔxmLength of the mesh1.0
HydrodynamicsαTmTransversal dispersion length0.0001
Bacterial mass transportkatts−1Bacterial attachment rate1.8 × 10−6
kstrs−1Bacterial straining rate1.8 × 10−7
kgros−1Bacterial growth rate9.0 × 10−8
Ureolysiskureos−1Ureolysis rate1.5 × 10−4
K N H 4 + MAmmonium inhibition constant0.22 [52]
Table 5. Concentration proportions of bacteria and calcite and total calcite mass per unit thickness in the six scenarios at t = 170 h.
Table 5. Concentration proportions of bacteria and calcite and total calcite mass per unit thickness in the six scenarios at t = 170 h.
Bacterial Concentration (OD600)Calcite Concentration (kg/L)Total Calcite Mass (kg)
1.2–1.60.8–1.20.4–0.80.0–0.41.0–1.10.8–1.00.4–0.80.0–0.4100 m × 100 m × 1 m
Scenario (1a) 6.52 % 12.16 % 31.81 % 49.51 % 28.08 % 2.39 % 2.44 % 67.09 % 3371.90 × 10 3
Scenario (1b) 6.61 % 11.59 % 32.31 % 49.50 % 28.19 % 2.39 % 2.28 % 67.14 % 3364.96 × 10 3
Scenario (1c) 6.53 % 11.63 % 32.12 % 49.72 % 28.29 % 2.29 % 2.28 % 67.14 % 3373.98 × 10 3
Scenario (2a) 3.73 % 7.28 % 17.13 % 71.86 % 15.29 % 1.53 % 1.64 % 81.54 % 1891.07 × 10 3
Scenario (2b) 3.73 % 7.06 % 17.30 % 71.90 % 15.23 % 1.58 % 1.72 % 81.47 % 1893.35 × 10 3
Scenario (2c) 3.66 % 6.78 % 17.89 % 71.67 % 15.32 % 1.46 % 1.59 % 81.63 % 1881.48 × 10 3
Table 6. Proportions of consolidation area and calcite mass per unit thickness in local areas.
Table 6. Proportions of consolidation area and calcite mass per unit thickness in local areas.
Porosity DistributionProportion of Consolidation AreaCalcite Mass
(CCaCO3 = 1.0–1.1 kg/L)×103 kg
40 m × 100 mScenario (1a) 63.00 % 2844.03
Scenario (1b) 62.35 % 2814.52
Scenario (1c) 55.95 % 2573.65
22 m × 100 mScenario (2a) 54.27 % 1372.04
Scenario (2b) 53.45 % 1380.73
Scenario (2c) 58.23 % 1479.86
Scenario (2d) 39.64 % 1013.76
Table 7. Comparison of two injection strategies.
Table 7. Comparison of two injection strategies.
Total Injection TimeTime StepInjection Time of BacteriaInjection Time of Cementation Fluid
Continuous injection150 h10 h0–150 h0–150 (at the same time)
Phased injection300 h10 h0–10, 20–30, …, 280–290 h.10–20, 30–40, …, 290–300 h.
Table 8. Substance concentration proportions and total calcite mass per unit thickness in various scenarios with different injection strategies.
Table 8. Substance concentration proportions and total calcite mass per unit thickness in various scenarios with different injection strategies.
Bacterial ConcentrationUrea ConcentrationCalcite ConcentrationCalcite Mass
1.2–1.6 (OD600)1.0–2.0 (M)1.0–1.1 (kg/L)×103 kg
Continuous injection and scenario (a)8.36%17.10%18.37%2288.28
Continuous injection and scenario (b)8.40%17.23%18.47%2292.13
Continuous injection and scenario (c)8.38%16.62%18.43%2294.03
Phased injection and scenario (a)1.91%1.72%24.44%3043.35
Phased injection and scenario (b)1.93%1.76%24.73%3054.72
Phased injection and scenario (c)1.86%1.83%24.39%3054.43
Disclaimer/Publisher’s Note: The statements, opinions and data contained in all publications are solely those of the individual author(s) and contributor(s) and not of MDPI and/or the editor(s). MDPI and/or the editor(s) disclaim responsibility for any injury to people or property resulting from any ideas, methods, instructions or products referred to in the content.

Share and Cite

MDPI and ACS Style

Wang, L.; Chu, Y.; Wang, X.; Pan, P.; Feng, D. Numerical Investigation of Heterogeneous Calcite Distributions in MICP Processes. Minerals 2024, 14, 999. https://doi.org/10.3390/min14100999

AMA Style

Wang L, Chu Y, Wang X, Pan P, Feng D. Numerical Investigation of Heterogeneous Calcite Distributions in MICP Processes. Minerals. 2024; 14(10):999. https://doi.org/10.3390/min14100999

Chicago/Turabian Style

Wang, Lingxiang, Yajie Chu, Xuerui Wang, Pengzhi Pan, and Dianlei Feng. 2024. "Numerical Investigation of Heterogeneous Calcite Distributions in MICP Processes" Minerals 14, no. 10: 999. https://doi.org/10.3390/min14100999

APA Style

Wang, L., Chu, Y., Wang, X., Pan, P., & Feng, D. (2024). Numerical Investigation of Heterogeneous Calcite Distributions in MICP Processes. Minerals, 14(10), 999. https://doi.org/10.3390/min14100999

Note that from the first issue of 2016, this journal uses article numbers instead of page numbers. See further details here.

Article Metrics

Back to TopTop