Effects of Cations/Anions in Recycled Tailing Water on Cationic Reverse Flotation of Iron Oxides
Abstract
:1. Introduction
2. Materials and Methods
2.1. Materials
2.2. Methods
2.2.1. Bench Flotation Tests
2.2.2. Micro-Flotation Tests
2.2.3. Zeta Potential Measurement
2.2.4. Water Chemical Analyses
3. Results and Discussion
3.1. Water Chemistry of the Recycled Tailing Water and Its Reuse in Flotation
3.1.1. Effect on Flotation Performance by Using the Recycled Tailing Water
3.1.2. Water Chemistry of the Recycled Tailing Water
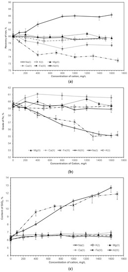
3.2. Flotation Performance of Iron Oxides in the Presence of Cations
3.3. Flotation Recovery of Quartz in the Presence of Cation
3.4. Zeta Potentials of Quartz in the Presence of Cations
3.5. Effect on Flotation Performance in the Presence of Cl− or SO42−
4. Conclusions
Author Contributions
Funding
Conflicts of Interest
References
- Muzenda, E. An investigation into the effect of water quality on flotation performance. Int. J. Chem. Mol. Nucl. Mater. Metal. Eng. 2010, 4, 562–566. [Google Scholar]
- Michaux, B.; Rudolph, M.; Reuter, M.A. Challenges in predicting the role of water chemistry in flotation through simulation with an emphasis on the influence of electrolytes. Miner. Eng. 2018, 125, 252–264. [Google Scholar] [CrossRef]
- Haselhuhn, H.J.; Carlson, J.J.; Kawatra, S.K. Water chemistry analysis of an industrial selective flocculation dispersion hematite ore concentrator plant. Int. J. Miner. Process. 2012, 102, 99–106. [Google Scholar] [CrossRef]
- Ruan, Y.; Zhang, Z.; Luo, H.; Xiao, C.; Zhou, F.; Chi, R. Effects of metal ions on the flotation of apatite, dolomite and quartz. Minerals 2018, 8, 141. [Google Scholar] [CrossRef]
- Ren, L.; Qiu, H.; Zhang, Y.; Nguyen, A.; Zhang, M.; Wei, P.; Long, Q. Effects of alkyl ether amine and calcium ions on fine quartz flotation and its guidance for upgrading vanadium from stone coal. Powder Technol. 2018, 338, 180–189. [Google Scholar] [CrossRef]
- Dove, P.M. The dissolution kinetics of quartz in aqueous mixed cation solutions. Geochim. Cosmochim. Acta 1999, 63, 3715–3727. [Google Scholar] [CrossRef]
- Fuerstenau, M.C.; Palmer, B.R. Anionic Flotation of Oxides and Silicates; Society of Mining Engineers of AIME, Mineral Processing Division, Gaudin, A.M., Fuerstenau, M.C., Eds.; American Institute of Mining, Metallurgical, and Petroleum Engineers: New York, NY, USA, 1976; pp. 148–196. [Google Scholar]
- Nevasaia, D.; Guerrero-Ruiz, A.; Lopez-Gonzalez, J.D.D. Adsorption of polyoxyethylenic nonionic and anionic surfactants from aqueous solution: Effects induced by the addition of NaCl and CaCl2. J. Colloid Interface Sci. 1998, 205, 97–105. [Google Scholar] [CrossRef]
- Fuerstenau, M.C.; Martin, C.C.; Bhappu, R.B. The Role of Hydrolysis in Sulfonate Flotation of Quartz. Trans. AIME 1963, 226, 449–454. [Google Scholar]
- Chen, Y.; Tong, X.; Feng, X.; Xie, X. Effect of Al(III) ions on the separation of cassiterite and clinochlore through reverse flotation. Minerals 2018, 8, 347. [Google Scholar] [CrossRef]
- Durate, R.S.; Lima, R.M.F.; Leao, V.A. Effect of inorganic and organic depressants on the cationic flotation and surface charge of rhodonite-rhodochrosite. Rem Revista Escola de Minas 2015, 68, 463–469. [Google Scholar] [CrossRef]
- Flood, C.; Cosgrove, T.; Howell, I.; Revell, P. Effects of electrolytes on adsorped polymer layers: Poly(ethylene oxide)—Silica system. Langmuir 2006, 22, 6923–6930. [Google Scholar] [CrossRef] [PubMed]
- Ofor, O. Effect of inorganic ions on oleate adsorption at a Nigerian hematite—Water interface. J. Colloid Interface Sci. 1996, 179, 323–328. [Google Scholar] [CrossRef]
- Choi, J.; Choi, S.; Park, K.; Han, Y.; Kim, H. Flotation behaviour of malachite in mono-and di-valent salt solutions using sodium oleate as a collector. Int. J. Miner. Process. 2016, 146, 38–45. [Google Scholar] [CrossRef]
- Wang, J.; Xie, L.; Liu, Q.; Zeng, H. Effects of salinity on xanthate adsorption on sphalerite and bubble-sphalerite interactions. Miner. Eng. 2015, 77, 34–41. [Google Scholar] [CrossRef]
- Brown, P.L.; Ekberg, C. Alkaline Earth Metals, Hydrolysis of Metal Ions; Wiley-VCH Verlag GmbH & Co. KGaA: Weinheim, Germany, 2016; pp. 155–224. [Google Scholar]
- Rao, S.R. Electrical characteristics at interfaces. In Surface Chemistry of Froth Flotation, 2nd ed.; Kluwer Academic/Plenum Publishers: New York, NY, USA, 2004; pp. 209–256. [Google Scholar]
- Shortridge, P.G.; Harris, P.J.; Bradshaw, D.J. The influence of ions on the effectiveness of polysaccharide depressants in the flotation of talc. In Proceedings of the 3rd UBC-McGill Bi-Annual International Symposium on Fundamentals of Mineral Processing, Canadian Institute of Mining, Metallurgy and Petroleum, Quebec City, QC, Canada, 20–26 August 1999; pp. 155–169. [Google Scholar]
- Ikumapayi, F.; Makitalo, M.; Johansson, B.; Rao, K.H. Recycling of process water in sulphide flotation: Effect of calcium and sulphate ions on flotation of galena. Miner. Eng. 2012, 39, 77–88. [Google Scholar] [CrossRef]
- De Araujo, A.C.; Coelho, E.M. Effect of aluminum aqueous species on the amine flotation of quartz. Trans. ASME 1991, 290, 1930–1934. [Google Scholar]
- Chen, Z.; Ren, Z.; Gao, H.; Lu, J.; Jin, J.; Min, F. The Effects of Calcium Ions on the Flotation of Sillimanite Using Dodecylammonium Chloride. Minerals 2017, 7, 28. [Google Scholar] [CrossRef]
- Rusch, B.; Hanna, K.; Humbert, B. Coating of quartz silica with iron oxides: Characterization and surface reactivity of iron coating phases. Colloid Surf. A 2010, 353, 172–180. [Google Scholar] [CrossRef]
- Rao, S.R.; Espinosa-Gomez, R.; Finch, J.A.; Biss, R. Effects of water chemistry on the flotation of pyrochlore and silicate minerals. Miner. Eng. 1988, 1, 189–202. [Google Scholar] [CrossRef]
- Stumm, W. The Inner-sphere surface complex—A key to understanding surface reactivity. In Aquatic Chemistry; American Chemistry Society: Washington, DC, USA, 1995; pp. 1–32. [Google Scholar]
- Stumm, W. The coordination chemistry of the hydrous oxide-water interface. In Chemistry of Solid-Water Interface, 1st ed.; Wiley-Interscience: Hoboken, NJ, USA, 1992; Chapter 2; pp. 13–41. [Google Scholar]
- Ren, L.; Qiu, H.; Qin, W.; Zhang, M.; Li, Y.; Wei, P. Inhibition mechanism of Ca2+, Mg2+ and Fe3+ in fine cassiterite flotation using octanohydroxamic acid. R. Soc. Open Sci. 2018, 5, 180158. [Google Scholar] [CrossRef] [PubMed]
- Ahmed, S.M.; Maksimov, D. Studies of the double layer cassiterite and rutile. J. Colloid Interface Sci. 1968, 29, 97–104. [Google Scholar] [CrossRef]
- Hesleitner, P.; Babic, D.; Nikola, K.; Matjevic, E. Adsorption at sold/solution interfaces. 3. Surface charge and potential of colloidal hematite. Langmuir 1987, 3, 983–990. [Google Scholar] [CrossRef]
- Wantanaba, H.; Seto, J. The point of zero charge and the isoelectric point of α-Fe2O3 and γ-Fe2O3. Bull. Chem. Soc. Jpn. 1986, 59, 2683–2687. [Google Scholar]
- Westall, J. Adsorption Mechanisms in Aquatic Chemistry. In Aquatic Surface Chemistry; Stumm, W., Ed.; John Wiley: New York, NY, USA, 1987; pp. 3–32. [Google Scholar]
- Hug, S.J. In situ Fourier transform infrared measurements of sulfate adsorption on hematite in aqueous solutions. J. Colloid Interface Sci. 1997, 188, 415–422. [Google Scholar] [CrossRef]
- Peak, D.; Ford, R.G.; Sparks, D.L. An in-situ ATR-FTIR investigation of sulfate bonding mechanisms on goethite. J. Colloid Interface Sci. 1999, 218, 289–299. [Google Scholar] [CrossRef] [PubMed]
- Wijnja, H.; Schulthess, C.P. Vibrational spectroscopy study of selenate and sulfate adsorption mechanisms on Fe and Al (hydr)oxide surfaces. J. Colloid Interface Sci. 2000, 229, 286–297. [Google Scholar] [CrossRef] [PubMed]








| Cations/Anions | Type of Collector | Minerals Floated | Main Results or Conclusions | References |
|---|---|---|---|---|
| Ca2+, Mg2+, Fe3+, Al3+/Cl− | Anionic | Quartz | (i) Promotive adsorption of an anionic collector on quartz by Ca2+ at near 10.5 or Mg2+ at near 9.5; (ii) The order of the activation abilities on quartz: Ca2+ ≥ Mg2+ > Fe3+ > Al3+. | Ruan et al. 2018 [4] |
| Ca2+, Mg2+/Cl− | Cationic | Competitive adsorption of ester amine on quartz. | Ren et al. 2018 [5] | |
| Ca2+, Mg2+, K+, Na+/Cl− | Non | Dissolution rate of quartz in near neutral pH salt-free solutions: MgCl2 < CaCl2 < NaCl~KCl. | Dove 1999 [6] | |
| Fe3+, Pb2+, Mg2+, Al3+, Mn2+, Co2+/Cl− | Anionic | (i) Reversal of the zeta potential; (ii) The surface complexes: Fe(OH)2+, Pb(OH)+, Mg(OH)+, Al(OH)2+, Mn(OH)+, or Co(OH)+. | Fuerstenau and Palmer 1976 [7] | |
| Na+, Ca2+/Cl− | Anionic | (i) Promote the adsorption of anionic surfactants on quartz; (ii) Little difference on this adsorption between Na+ and Ca2+. | Nevskaia et al. 1998 [8] | |
| Ca2+, Mg2+, Pb2+, Al3+, Fe3+/Cl− | Anionic | Promotive adsorption of sulfonate on quartz. | Fuerstenau et al. 1963 [9] | |
| Al3+/SO42− | Anionic | Silica | Al ions/species adsorbed and hinder its reaction with NaOl. | Chen et al. 2018 [10] |
| Mn2+/Cl− | Cationic | Competitive adsorption of Mn(OH)2. | Duarte et al. 2015 [11] | |
| Na+, Mg2+, Ca2+, La3+/Cl− | Polymer | (i) Promotive adsorption with an increase of concentration and valency strength; (ii) Little effect by NaCl. | Flood et al. 2006 [12] | |
| Ca2+, Mg2+, Al3+, Sn4+/NO3−, SO42−, PO43− | Anionic | Hematite | (i) Depress the adsorption of oleate; (ii) Anions have a greater depression than cations of the same charge; (iii) A drop on adsorption density with increasing charge of cation or anion | Ofor 1996 [13] |
| Materials or Reagents | Serial Number/Company | Purity, % |
|---|---|---|
| Corn starch | S-4180/Sigma-Aldrich, St. Louis, MO, USA | 99.0 |
| DDA | 124-22-1/Shandong Chemical Technology Co., Laizhou, China | /°C 155.0~158.0 (2.0) |
| Sodium hydroxide | S318-1/Thermo Fisher Scientific, Shanghai, China | 98.8 |
| Sodium chloride | S271-500/Thermo Fisher Scientific, Shanghai, China | 99.8 |
| Calcium chloride | 10043-52-4/Kunming Minerals Co., Kunming, China | 96 |
| Magnesium chloride | 7791-18-6/Kunming Minerals Co., Kunming, China | 99 |
| Ferric chloride | 10025-77-1/Kunming Minerals Co., Kunming, China | 99 |
| Aluminum chloride | 446-70-0/Kunming Minerals Co., Kunming, China | ≥98.5 |
| Sodium sulfate | 7757-82-6/Sigma-Aldrich, St. Louis, MO, USA | ≥99.0 |
| Hydrochloric acid | 7647-01-0/Thermo Fisher Scientific, Shanghai, China | 36.5–38.0 |
| Sulfuric acid | 7664-93-9 Sigma-Aldrich, MO, USA | 95–98 |
| Quartz (–37 μm, 90%) | Kunming Minerals Co., Kunming, China | 95.0 |
| Item | Tap Water from Lab | Recycled Tailing Water before Its Reuse | Recycled Tailing Water after Its Reuse | |
|---|---|---|---|---|
| Water Filtrated from Concentrate | Water Filtrated from Tailing | |||
| pH | 7.90 | 9.80 | 9.90 | 9.50 |
| Al3+, mg/L | <0.020 | 0.035 | 0.020 | 0.038 |
| TFen+, mg/L | 0.009 | 5.361 | 16.12 | 8.57 |
| Ca2+, mg/L | - | 196.5 | 278.3 | 235.4 |
| Mg2+, mg/L | - | 134.7 | 186.9 | 268.9 |
| Total Hardness (CaCO3), mg/L | 158.7 | 1254 | 1587 | 1871 |
| Cl−, mg/L | 5.52 | 258 | 589 | 347 |
| SO42−, mg/L | 12.7 | 463 | 972 | 417 |
© 2019 by the authors. Licensee MDPI, Basel, Switzerland. This article is an open access article distributed under the terms and conditions of the Creative Commons Attribution (CC BY) license (http://creativecommons.org/licenses/by/4.0/).
Share and Cite
Tang, M.; Wen, S. Effects of Cations/Anions in Recycled Tailing Water on Cationic Reverse Flotation of Iron Oxides. Minerals 2019, 9, 161. https://doi.org/10.3390/min9030161
Tang M, Wen S. Effects of Cations/Anions in Recycled Tailing Water on Cationic Reverse Flotation of Iron Oxides. Minerals. 2019; 9(3):161. https://doi.org/10.3390/min9030161
Chicago/Turabian StyleTang, Min, and Shuming Wen. 2019. "Effects of Cations/Anions in Recycled Tailing Water on Cationic Reverse Flotation of Iron Oxides" Minerals 9, no. 3: 161. https://doi.org/10.3390/min9030161
APA StyleTang, M., & Wen, S. (2019). Effects of Cations/Anions in Recycled Tailing Water on Cationic Reverse Flotation of Iron Oxides. Minerals, 9(3), 161. https://doi.org/10.3390/min9030161
