Abstract
Aggregates are essential in the production of composite building materials and their properties and characteristics influence the performance of these materials in use. Nevertheless, despite the existence of several standardized and other methods for testing aggregates, the inherent inhomogeneity of these geomaterials does not permit the establishment of rigid specifications for their quality. Hence, research on aggregate testing and quality control is always timely. This paper presents the results of standardized (soundness, Micro-Deval, sand equivalent, methylene blue, water absorption, and relative density) and non-standardized (PXRD) laboratory tests performed on crushed fine aggregates of different mineralogical composition quarried in Cyprus. From these results, it is evident that the mineralogical composition of aggregates affects their physicomechanical properties. A good correlation was observed between the magnesium sulphate soundness coefficient and the Micro-Deval coefficient. This may lead to the introduction of an alternative test method for the quality testing of fine aggregates at European level. A reasonable correlation was also noted between the methylene blue and sand equivalent test results, despite the fact that the literature does not seem to support such a relationship. No further correlations were observed among the rest of the properties investigated.
1. Introduction
Aggregates are essential raw materials in the production of composite building materials, such as mortars and concretes. Their contribution in concrete varies between 65% to 80% by volume [1]. In lime mortars, the most common aggregate to binder ratio encountered in the literature is 3:1 by weight [2,3]. Consequently, the physicomechanical properties of aggregates are expected to have an effect on the durability and performance of concretes and mortars in use.
Indeed, aggregates exert an important influence on concrete/mortar strength and stiffness, providing rigidity to the material in the hardened state that is necessary for engineering use. At the same time, aggregates are the most durable and stable among the raw materials incorporated into concrete/mortar mixtures, and thus affect the durability of the hardened end-products [4]. In addition, they also play a major role in determining the cost and workability of concrete/mortar [5]. Knowledge of certain aggregate characteristics (i.e., density, grading and moisture state) is required for proportioning concrete/mortar mixtures. The porosity or density, grading, shape, and surface texture of aggregates determine the properties of plastic concrete/mortar mixtures. Furthermore, in addition to porosity, the mineralogical composition of aggregates also affects their crushing strength, hardness, elastic modulus and soundness, which in turn influence various properties of hardened concretes/mortars [5].
De Brito et al. [6] reported that the geological nature of aggregates affects the ultimate strength of concrete and, hence, the quality of aggregates used in concrete production is considered a major factor in estimating the compressive strength of low and high strength concretes. Tugrul et al. [7] came to the same conclusion regarding mortars; they stated that the mineralogical composition of fine aggregates plays an important role in mortar production, because it generally affects the strength and durability of mortars.
Aggregates used in concrete/mortar production are obliged to comply with the minimum standards of cleanliness (i.e., they should be substantially free from deleterious substances), strength and durability. Concrete should not contain aggregates that are soft, extremely flaky, too porous, or chemically active, since the aforementioned characteristics, and consequently the quality of aggregates, usually have an effect on the long-term performance of composite building materials [8]. Despite the existence of several standardized and non-standardized methods for testing aggregates, the inherent inhomogeneity of these geomaterials does not permit the establishment of rigid specifications for their quality. Hence, research on aggregates is always timely and essential in order to ensure long-lasting and durable composite building materials.
This paper presents the results of standardized and non-standardized laboratory tests performed on crushed fine aggregates of different mineralogical composition quarried in Cyprus. These results are further used to investigate possible correlations between the various properties of the aggregates tested and to highlight the most important mineralogical and other factors influencing the characteristics of these aggregates. The study is anticipated to help concrete practitioners in choosing aggregates for different applications based on their intrinsic properties.
2. State-of-the-Art Review
2.1. Standardized and Non-Standardized Procedures for Fine Aggregate Quality Testing
The specifications for aggregates intended for use in the production of composite building materials are covered by a number of standards and normative documents. These define aggregate performance requirements, sampling and testing. The most widely used standards are probably those developed by ASTM (American Society for Testing and Materials). Within the European Union (EU), the responsibility for developing standards for aggregate testing lies with a Technical Committee (TC 154 Aggregates). Since 1987, most of the requirements included in national relevant standards in European member countries have been harmonized and replaced by European standards (EN).
The introduction of Europe-wide standards for aggregates is somewhat problematic due to the variation in climate, type and usage of aggregates in different parts of Europe. Thus, the European documents only cover general requirements for aggregates, leaving specific issues to member countries or regions [9]. It is worth noting that all European standards are revised and modified from time to time, resulting in a continuous state of flux [4]. Nevertheless, the EN testing methodologies are the only accepted normative documents regarding the quality of aggregates in Europe.
Each type of aggregate exhibits different geometrical, physical, mechanical, and chemical properties. In order to investigate the aforementioned properties, the following tests are suggested by EN: methylene blue, sand equivalent, particle density and water absorption, magnesium sulphate soundness, and determination of resistance to wear (Micro-Deval). At the same time, the examination of new or untried sources of aggregates prior to their use in concrete/mortar production should also aim at a petrographic/mineralogical analysis [4]. X-Ray Diffraction (XRD) is one of the most powerful methods for identifying and quantifying minerals in aggregates.
2.1.1. Sand Equivalent and Methylene Blue
The sand equivalent (SE) and methylene blue (MB) tests are used to determine the presence of fines (<63 μm) in aggregates. According to Petkovšek et al. [10], the sand equivalent (SE) test was developed by Hveem in 1954 in order to define the amount of clay-like minerals in fine aggregates; these minerals were assumed to be harmful to the performance of hot mix asphalt. Later, the method was also accepted as a standard method for testing unbound base aggregate. In European countries, the sand equivalent test is carried out in accordance with EN 933-8 [11]; the American Society for Testing and Materials (ASTM) covers the relevant procedure in ASTM D-2419 [12]. The main variation between these two test procedures lies with the size of the fine aggregate sample needed for the test. A higher sand equivalent value indicates a cleaner fine aggregate sample (i.e., less dust or clay-like materials) [13].
Westerholm et al. [14] reported sand equivalent values derived from tests on crushed granitoid rocks in line with EN 933-8 [11]. The results of 13 samples varied from 41% to 89%. Nikolaides et al. [15] also reported results of sand equivalent tests (EN 933-8 [11]) on fine limestone aggregates; these ranged from 58% to 80%. From these studies, it is obvious that values of sand equivalent vary, irrespective of bedrock origin.
Although the sand equivalent test is rather quick to perform, requires very simple and cheap equipment, and can be used with minimal training or experience [13], it can not distinguish the difference between a non-swelling (i.e., kaolinite) and a swelling (i.e., bentonite) clay; it will simply give a low sand equivalent value in both cases, if either type of clay mineral is present in noticeable quantities [16]. On the contrary, the methylene blue test quantifies the reactive (i.e., swelling) clay fraction in the fines of an aggregate, by measuring the amount of methylene blue dye that it preferentially adsorbs; the non-swelling clay fraction, which is inert, is virtually non-adsorbent [13]. In fact, the methylene blue test is the simplest and most common test in order to determine the presence of reactive clay minerals in soils and rocks. The test procedure was first described by Fairbairn and Robertson; nowadays it is incorporated in ASTM C837-09 [17] and EN 933-9 [18] standards. The main difference between these two standard procedures is that, when tested by ASTM C837-09 [17], the test portion should pass through the 75 μm (No. 200) sieve, whereas for EN 933-9 [18] the dry test portion (≥200 g) should be 0/2 mm in particle size. Low methylene blue values usually denote a small amount of clay; according to Tugrul and Yilmaz [1], if the methylene blue (MB) value is found to be <1 g/kg, there is no negative effect on concrete strength. Kandhal and Parker [19] noted that igneous rocks tend to have higher MB values due to their montmorillonite (smectite) content. Nikolaides et al. [15] reported MB values for eight different limestone aggregates; these varied from 0.3 to 1.3 g/kg. In the same study, the MB values for seven different non-limestone aggregates ranged from 0.3 to 11.3 g/kg. From these results, it is obvious that for the non-limestone aggregates the values are much higher due to the presence of reactive clay minerals. It is worth noting that clay particles can be harmful in concrete due to their ability to absorb water and swell, thus resulting in the increase of water demand in the fresh material [20]. Clay particles are actually verified as multi-layer formations. The space between these layers and the free cations present in the interlayer space are the main reasons which determine whether a particular clay mineral has a swelling behavior; therefore, swelling eventually depends on the type of clay mineral [21].
2.1.2. Water Absorption and Relative Density
One of the most important physical properties used to provide information on the quality of aggregates is water absorption (and consequently relative density). It is well known that aggregates, as porous materials, are likely to shrink or swell upon releasing or absorbing water respectively; thus, they have a significant influence on the shrinkage (and therefore cracking), strength and other composite material properties [22]. The moisture content of an aggregate, which depends on its porosity, is influential when deciding upon the water/cementitious materials ratio during concrete/mortar mix design. Aggregates used in concrete are usually dry; hence they tend to absorb a portion of the water used during mixing. Depending on the amount of water the aggregates can absorb, necessary corrections need to be made to the mix design to maintain a constant water/cement ratio, so that the desired ultimate strength of the hardened composite will not be affected.
Bulk specific gravity (or relative density) is also an important physical characteristic of aggregates used to provide information about the volume taken up by the aggregate in different mixtures. The aforementioned property can also be used to estimate the volume of voids in an aggregate [23].
The water absorption test procedure for fine aggregates is described in ASTM C128-15 [24]. The equivalent European standard for either coarse or fine aggregate is EN 1097-6 [25]. The main difference between the two aforementioned test procedures is that the European standard requires removal of fine material (i.e., material passing through a 63 μm test sieve) prior to testing.
Fookes [26] stated that the water absorption of good quality aggregates needs to be <1.5%. According to Cortas et al. [22], the water absorption of aggregates usually ranges from 0.5% to 2% depending on the type of aggregate under investigation. There are, however, exceptions to the low water absorptions suggested above. For example, Brandes et al. [27] reported that Hawaiian basaltic coarse aggregate can absorb up to 8.8% of water. High water absorption values have also been reported for carbonate and diabasic/basaltic aggregates quarried in Cyprus [28,29].
2.1.3. Magnesium Sulphate Soundness and Micro-Deval
Beyond the aforementioned properties, aggregates should also be “durable” in order to perform well in structures or pavements. Durability is a term that generally describes the resistance of an aggregate to environmental, physical, and cyclic loading conditions and it is affected by temperature, load, moisture, chemical exposure, and freeze/thaw cycles [30]. Aggregates with poor durability tend to experience particle breakdown, which leads to gradation changes and serious pavement/structural performance issues.
Aggregate durability often incorporates the concepts of both soundness and toughness. Soundness refers to the ability of aggregates to withstand cyclic environmental distress, while toughness refers to the ability of aggregates to withstand physical distress experienced during their manufacture, production, transportation, and use in construction.
Several durability tests are available to quantify the soundness of aggregates. The soundness test was originally developed in 1818 by Brard, who described a method for evaluating the susceptibility of stone to damage by freezing and thawing using Glauber’s salt (i.e., sodium sulphate) [31]. Many variations to this method were used to quantify the weathering resistance of aggregates. In EU member states, the magnesium sulphate heptahydrate soundness test (EN 1367-2) [32] is used, whereas in most of the US and some other countries in the world, the ASTM C88/C88M-18 [33] sodium/magnesium sulphate soundness test is followed. Both tests (despite differences in their procedures) are geared towards providing information related to the ability of aggregates to withstand environmental effects, such as wetting-drying and temperature changes [34]. In both tests, the percent loss in each gradation size after five cycles is measured. However, in the ASTM test, the final analysis of results is based on the calculation of a weighted average, taking into account the contribution of each gradation size to the initial sample. It is worth noting that the EN test is normative only for fraction 10–14 mm. The testing of other fractions, including fines, is covered by informative Annex B. The latest revision of EN 1367-2 [32] has led to the inclusion of Annex C, which permits the use of a weighted average in the calculation of results for the assessment of complete grading.
While soundness is associated with degradation due to weathering, toughness/abrasion resistance is associated with mechanical degradation. Aggregates must be tough and resistant to abrasion to prevent crushing, degradation and disintegration during their manufacture, production, transportation and use in construction. Aggregates lacking adequate toughness and abrasion resistance may lead to construction and performance problems [35]. A method which can be used to characterize aggregate toughness/abrasion resistance is the Micro-Deval test. This test, originally called the Deval test, was developed in the 1900s to assess the quality of railroad ballast. French researchers modified the Deval test to abrade aggregates [36]. The same researchers found out that aggregate degradation by friction and abrasion was more pronounced in the presence of water [37]. Hence, the Deval test was modified accordingly.
In the US, the test used to predict the resistance of fine aggregate to degradation by abrasion in the presence of water is ASTM D7428-15 [38]. In Europe, the Micro-Deval test (EN 1097-1) [39] is recommended only for coarse aggregate. Another difference between the two aforementioned standardized tests has to do with the sample portion; in the ASTM test, the mass of the sample passing through the various sieves between 4.75 mm and 75 μm is pre-determined, whilst in the EN test the grading of the test portion passing the 14 mm sieve and retained on the 10 mm sieve should comply with at least one of the following requirements: between 30–40% should pass the 11.2 mm sieve or between 60–70% should pass the 12.5 mm sieve. The ASTM test also requires that the test portion should be immersed for a minimum of 1 h in water prior to testing. In contrast, the EN test does not refer to immersion before the beginning of the rotation of the drums. Besides the aforementioned differences, both tests are generally similar in nature.
Wu et al. [35] and Cuelho et al. [40] stated that the Micro-Deval test is directly related to the performance of the end-product i.e., concrete. At the same time, some other researchers [41,42] have reported that the Micro-Deval test has good repeatability and reproducibility, in contrast to the soundness test, the validity of which is questioned due to its known poor repeatability and arbitrary nature [28]. Since the Micro-Deval test is also rapid and simple, whereas the soundness test is rather lengthy, certain scientists [19] recommend the use of the former in assessing the quality of fine aggregates, despite the fact that it uses a different mechanism to quantify aggregate durability (i.e., abrasion/friction in the presence of water, rather than chemical weathering). In fact, Cuelho et al. [40] considered the Micro-Deval as the most suitable substitute for the sodium sulphate test for aggregates that are not borderline pass/fail in terms of percent loss durability.
2.2. Established Correlations between Fine Aggregate Properties
Several researches investigated potential correlations between various aggregate properties. Rogers et al. [43] and Rogers et al. [44] reported a very good correlation between the results of the Micro-Deval and magnesium sulphate tests for fine aggregates. Brandes and Robinson [45] stated that this is reasonable because both tests are carried out in wet conditions. A similarly good correlation was also observed by Senior and Rogers [46], following tests on coarse aggregates. These authors believe that the accuracy of the Micro-Deval test, especially for materials that show high mass losses, is better than the corresponding accuracy of the soundness test with magnesium sulphate. They also claim that the Micro-Deval test, combined with the water absorption test and a petrographic examination of the sample, may be used to predict the performance of the aggregate in use. It is worth noting that in many countries, including Cyprus, the quality of aggregates is currently judged based on the results of individual tests. For example, if an aggregate sample satisfies the local requirements for water absorption, but exceeds the maximum permissible limit for the soundness coefficient, it is deemed inappropriate for use.
Brandes and Robinson [45] noted a slightly better correlation of the Micro-Deval test results with the sodium sulphate soundness test results (r = 0.87), than with the magnesium sulphate test (r = 0.77). In contrast, Rangaraju and Edlinski [47] believe that there is no particular correlation between the Micro-Deval test and the magnesium sulphate or sodium sulphate soundness tests. The aforementioned authors claim that this lack of correlation was due to the relatively low mass loss values observed in the soundness tests they carried out, where the noise in the data was significant; this was attributed to the fact that the majority of aggregates used in their study were primarily granites and granitic–gneiss. It is worth noting that fine aggregates in Cyprus show excessively high mass losses (>35%) when tested in accordance with EN 1367-2 [32], irrespective of their geological origin [34].
Hoare [48] states that, even though the aim of both the soundness test with magnesium sulphate and the Micro-Deval test is to assess the quality of aggregates, these are completely different in nature. In fact, the degradation mechanisms simulated in the magnesium sulphate soundness and the Micro-Deval tests are also different. In the magnesium sulphate soundness test, the ultimate breakup of aggregates is attributed to internal stresses exerted from salt crystal growth within the pores of the material, whereas in the Micro-Deval test, degradation is mainly due to soaking and subjecting the aggregates to external mechanical forces. Nevertheless, in both cases the type and effectiveness of the cementing material determine the ultimate strength of the aggregate test sample.
Regarding correlations between the methylene blue and sand equivalent test results, Nikolaides et al. [15] stated that there is no specific link between these two tests. Petkovšek et al. [10] agree with the aforementioned authors and emphasize that those two tests are complementary and can not replace each other in assessing the quality of aggregates. However, they also mention that when SE >40%, the criterion for 1.5 g/kg of methylene blue is certainly met. Richardson [49] reports that the sand equivalent test does not correlate well with any other test due to the fact that several problems are noted within the test method itself; for example, infiltration of fines back into the sand layer is usually observed. Furthermore, the same author states that the gradation and particle shape of the coarser particles vary from material to material and this seems to cause variability in the test results. Prowell et al. [50] suggested that the sand equivalent test can be misleading for crushed sand and claimed that the methylene blue test may be the best method to quantify the amount of harmful clays in fine aggregate.
In addition to the above, several attempts were made in order to correlate water absorption with other aggregate quality control tests. According to Fowler et al. [51], there is no correlation between the absorption of water and the sodium sulphate soundness test. Williamson [52] reached the same conclusion, following a comparison of results obtained from sodium sulphate soundness tests and water absorption tests; this comparison led to a low correlation coefficient (R2 = 0.30) which was attributed to the great variability of the soundness test results. Intermediate positive correlation between water absorption and sodium sulphate soundness coefficient was observed by Goswami [53], Koukis et al. [54] and Rigopoulos et al. [55]; the aforementioned authors assume that rocks which have increased absorption rates are expected to be particularly susceptible to degradation due to salt crystallization. Koukis et al. [54], in particular, stated that that the water absorption value is a principal and broadly comparable index of material soundness. Aggregates with water absorption >3% may be damaged due to freeze-thaw or salt crystallization. Aghamelu and Okogbue [56] agree that the water absorption test is very important in determining the strength, durability and general quality of rocks. The aforementioned authors also claim that low water absorption coefficients (<1%) are generally observed in hard rocks, while samples with water absorptions >4% need to undergo further tests to assess their quality in order to be used safely. Tia et al. [57] note that the water absorption is an indirect measure of the permeability of an aggregate, which in turn can relate to other physical characteristics such as its mechanical strength, shrinkage, soundness, and to its general durability potential. A very good correlation (r = 0.94) was obtained by Brennan et al. [58] upon comparing the Micro-Deval and water absorption test results for igneous aggregates. These authors note that past records of water absorption could be indicative of the performance of aggregates in the Micro-Deval test.
Texture, size, shape, chemical, and mineralogical compositions also affect the mechanical and physical properties of aggregates [59,60,61,62,63,64,65]. The aforementioned characteristics, as well as the degree of alteration, disintegration and deformation of aggregates, affect their quality and thus their suitability for use in various applications. Haraldsson [66], for example, noted that rhyolite can damage concrete structural elements through alkali-silica reactions. In fact, aggregates of rhyolitic composition have moderate to very poor qualities and may develop deleterious reactions if they contain non-weathered and/or altered glass in their matrix, and alteration minerals resulting from devitrification, such as argillaceous minerals and cryptocrystalline silica [67]. Haraldsson [66] also believes that basalt is the best rock type; however, its strength, durability and other properties deteriorate rapidly with increased alteration.
Tugrul and Zarif [68] claim that the mineralogical composition of the matrix provides the most direct control on the durability of rocks; nevertheless, textural and fabric characteristics appear to be more important than grain mineralogy in predicting the engineering properties of sandstones. Sabatakakis et al. [69] reached the same conclusion; these authors suggest that textural characteristics appear to be more important than mineral composition when it comes to the assessment of the mechanical properties of limestones. For example, the grain size of sparitic textures is typically large and therefore packing is not very dense; this results in lower strength rocks and aggregates. Similarly, Kazi and Al-Mansour [70], who studied the effect of the size of mineralogical components in the mechanical strength of igneous rocks, concluded that fine-grained rocks were tougher and more durable than coarse-grained rocks.
Sabatakakis et al. [69] also believe that, with increasing percentage composition of quartz grains, the strength of sandstones is gradually increased. On the other hand, Zorlu et al. [71], after reviewing previous studies, reached the conclusion that it is too difficult to explain the nature of the relationship between the uniaxial compressive strength of rocks/aggregates and quartz content. Physically, a positive correlation between the uniaxial compressive strength of sandstones and quartz content is expected; nevertheless, the aforementioned authors suggested that the percentage of quartz should not be used alone to predict the uniaxial compressive strength of sandstones. In other words, petrographic examination should be used as a supplement to other physicomechanical property tests, because it is not sufficient for the prediction of aggregate performance on its own [72]. Petrounias et al. [73] agree that petrographic methods should be used along with a number of other engineering property tests to evaluate the quality of aggregates.
3. Materials and Methodology
This study aims at the characterization of crushed fine aggregates of different mineralogical composition quarried in Cyprus. The results are used to investigate possible correlations between the various properties of the aggregates tested and to highlight the most important mineralogical and other factors influencing the characteristics of these aggregates.
3.1. Geological Setting
Cyprus is a large island in the Eastern Basin of the Mediterranean Sea. It is located in a complex tectonic active zone, between the African lithospheric plate to the south and the Eurasian lithospheric plate to the north [74]. The island geologically is divided into four distinct geomorphological regions (Figure 1), reflecting changes in lithology: (a) the Keryneia or Pentadactylos Range, (b) the Troodos Ophiolite Complex (Range), (c) the Mamonia Complex, and (d) the Mesaoria Plain (or Circum Troodos Sedimentary Succession). The topography of the island is controlled by the tectonic structure of these four geological terranes [75,76].
Figure 1.
Map of Cyprus showing the four geomorphological regions of the island and sampling locations.
3.2. Materials
A total of 30 crushed fine (0–4 mm) aggregate samples from several active quarries located in the various geological zones of Cyprus were collected for this study (Figure 1). The samples originated mostly from the Troodos Ophiolite Complex and the Circum Troodos Sedimentary Succession (specifically Pakhna and Nicosia Formations). These aggregates are normally used locally in Portland cement mortar/concrete and asphalt concrete production. Table 1 provides a list of all the test samples by material type.
Table 1.
List of test samples.
The diabase/basalt that is used for the production of both fine and coarse aggregates comes from the Troodos Ophiolite Complex (Late Cretaceous). This intrusive rock type (Sheeted Dyke Complex), which covers the greater part of Troodos Area, has a basaltic to doleritic composition and was formed by the solidification of the magma in the channels, through which it intruded from the magma chambers at the bottom of the oceanic crust, feeding at the same time the submarine extrusion of lava on the sea floor [77]. The diabase/basalt, as shown in Figure 2a, has a characteristic greyish colour and it is a fine- to medium-grained rock, with a well-preserved igneous texture; its primary minerals have been pervasively altered to a greenschist facies assemblage (albite + chlorite + quartz + actinolite + epidote + magnetite + sphene) [78].
Figure 2.
Photomicrographs (crossed Nicols) of representative samples from the aggregates under investigation: (a) Diabase/Basalt—pyroxene altering to actinolite (Px: Pyroxene, Act: Actinolite, Pl: Plagioclase); (b) Reef Limestone—remnants of fossils; considerable percentage of pore space and voids (P: Pores, F: Fossil (coral)); (c) Calcarenite Limestone—grains mostly of limestone, fossils, quartz, plagioclase, pyroxenes, and amphibole (F: Fossils, clas: clastic grains).
The reef limestone samples (Figure 2b) come from the Terra and Koronia Members of the Pakhna Formation. The Terra Member, which is the first phase of reef growth on Cyprus (Lower Miocene; late Aquitanian-early Burdigalian), is located at the base of the Formation. It is found in the western and southeastern Cyprus, it is rich in large microfossils and corals, and often appears in the form of secondary debris flows and breccia, which indicate deposition in an active tectonic environment [79]. More specifically, the Terra Member consists of diverse coral framestones, comprising faviids, domal poritids and secondary reef-dwelling corals. Its off-reef facies comprises of benthonic foraminiferal packstones-grainstones [79]. The Koronia Member (Upper Miocene; Tortonian) represents the second phase of reef growth on Cyprus and is located at the upper part of the Pakhna Formation. In contrast to the Terra Member, the Koronia member is a bindstone comprising monospecific, laminar poritid corals. Its off-reef facies comprises of decimeter-thick beds of bioclastic reef detritus. The Koronia member is found both in the south and at the north side of Troodos. Appearances on the south part consist of coarse resistant carbonate sediments, which include fragments of sea shells, urchins and corals living in shallow seas. Other components of these rocks are pieces of chalk marl and cherts from underlying sedimentary rocks and material derived from the ophiolitic rocks of the Troodos Terrane. At the north side of Troodos, the Koronia member occurs locally as reefs [77]. The Pakhna limestone is generally hard, massive, relatively porous, and has a creamy–off-white colour [28]. This rock type is used for the production of both fine and coarse aggregates.
The calcarenite limestone samples (Figure 2c) come from the Pliocene Nicosia Formation (Athalassa Member). The latter is made up of a series of fossiliferous, medium to coarse-grained, cross-bedded shallow marine calcarenite limestones [80]. These sediments are characteristically enriched in skeletal carbonate material, which in several facies reaches 50% by volume. The formation crops out in the northern and eastern parts of the Mesaoria basin, a narrow, mainly Neogene sedimentary basin that separates the Mesozoic ophiolitic Troodos Massif to the south from the also mainly Mesozoic Keryneia Range to the north [81].
3.3. Testing Methodology
The vast majority of the tests were carried out in accordance with the European standards (EN). For the determination of water absorption and relative density, the pyknometer method was used (EN 1097-6) [25]. The methylene blue was estimated based on the provisions of EN 933-9 [18], while for the sand equivalent, EN 933-8 [11] was adopted. Last but not least, the magnesium sulphate soundness test was carried out in accordance with EN 1367-2 (Annex C) [32].
For the Micro-Deval test, ASTM D7428-15 [38] was adopted. The reason for adopting the aforementioned ASTM test was that the relevant EN test (EN 1097-1) [39] is recommended only for coarse aggregates.
Qualitative and semi-quantitative Powder X-Ray Diffraction (PXRD) mineralogical analyses were also carried out on all samples. These analyses were carried out using a Bruker D8 Advance system (Bruker, Billerica, MA, USA) with a Cu anode (λ = 1.5406 nm). The samples were first pulverized and then scanned with continual rotation from 2θ = 2–100°, with a scan rate of 0.5 °/min. All the crystalline phases were identified using Bruker’s EVA (version 15.0) software, which is coupled with the International Centre for Diffraction Data (ICDD) PDF2 database. The semi-quantitative analysis was performed using Bruker’s TOPAS software (version 4.2), which adopts the Rietveld method.
4. Results and Discussion
Table 2 summarizes the results of the standardised tests carried out to determine the physicomechanical properties of the samples belonging to the three different types of fine aggregates under study, while Table 3 shows the results of the mineralogical analyses.
Table 2.
Summary of fine aggregate physicomechanical properties. WA: Water Absorption, ρrd: oven-dried particle density, MB: Methylene Blue, SE: Sand equivalent, MS: Magnesium Sulphate Soundness, MD: Micro-Deval, D: Diabase/Basalt, L: Reef Limestone, C: Calcarenite Limestone.
Table 3.
PXRD analyses of fine aggregates (only the main crystalline phases are shown).
From the results of the water absorption test, it is observed that diabasic/basaltic aggregates generally have slightly higher absorption values than the other two types of aggregates examined. This may be due to the fact that diabasic/basaltic aggregates have higher percentages of phyllosilicate minerals (i.e., chlorite, montmorillonite) and zeolite, than the other two categories of aggregates under study (see also Table 3). Phyllosilicate minerals have a multi-layer structure and can absorb water rapidly [21,82]. According to Rigopoulos et al. [55], the chlorite content in dolerites shows a strong positive relationship with the water absorption and total porosity of these aggregates.
From Table 3, it is also obvious that the diabasic/basaltic aggregates hereby studied are generally weathered. It is well known that weathering increases porosity and therefore water absorption in igneous rocks [83]. Weathering in fact causes progressive changes in rock porosity, due to changes in pore size distribution, pore geometry, pore connectivity, pore infilling, and new pore formation [84]. Dokic et al. [85] reported that weathered dolerites displayed high values of porosity and water absorption because they contained abundant microcraks and voids and were characterized by higher degrees of alteration and lower degrees of mineral interlocking. Microcracks and fissures could also be formed by stresses due to tectonic shearing [86]. Any brittle rock, regardless of its density and strength, may become porous and permeable as a result of fracturing, fissuring and shattering [83].
In calclarenite limestone aggregates, the demand for water seems to increase with the montmorillonite percentage content. For example, sample C6 with the highest montmorillonite percentage content (3%) (see Table 3) also exhibits the highest value of water absorption (>3%). All the other calcarenite limestone samples have WA < 2%; this is still high, but not uncommon for Cyprus fine aggregates.
Pore systems in rocks and aggregates are generally affected by grain size, shape, sorting and packing, the nature of cementing materials, detrital and authigenic pore fillers, and previously imposed pressure and temperature history. These parameters are closely related to various petrophysical properties, including water absorption [87]. Lindquist et al. [88] claimed that sedimentary rocks, and consequently limestone aggregates, have more rounded pores than magmatic rocks. The reason for this is that porosity in a sedimentary rock reflects the sedimentary processes that formed the rock itself. At the same time, limestone aggregates usually contain both large and small pores. The presence of different pore sizes in the limestone aggregates tested in the framework of this study is probably responsible for the variation presented in the WA results (0.3–3.0%) of these aggregates reported in Table 2.
Overall, it is worth noting that the water absorption of fine aggregates in Cyprus, irrespective of geological origin, is generally quite high (>1.5%), compared to the water absorption of fine aggregates elsewhere [22,88,89]. This is also the case with coarse aggregates in Cyprus; in fact, the WA values reported in that case generally exceed 3% and sometimes reach as high as 5.5%, or even higher [28].
The results of the methylene blue test (Table 2) point towards the presence of high-activity clays in diabasic/basaltic aggregates. These aggregates exhibit MB values consistently higher than 1.0 g/kg. The PXRD results (Table 3) confirm the presence of active clay minerals in diabasic/basaltic aggregates. For example, sample D8, which has a MB value of 3.0 g/kg, also has the highest percentage of chlorite (29%), compared to the rest of the samples investigated.
In contrast, the reef limestone aggregate samples exhibit MB values ≤ 1.0 g/kg, with the exception of sample L9, which nevertheless contains higher percentages of fines; this is confirmed by the relatively low SE value of this sample. According to Rouvelas et al. [90], the presence of fines (i.e., limestone filler) usually adversely affects the result of the MB test. Muscovite may also affect the results of the MB test, since it is considered harmful, albeit to a lower degree than montmorillonite [91]. Sample L9, which has the highest MB value (2.5 g/kg), in fact has the highest percentage of muscovite as well (Table 3). As far as the other carbonate samples are concerned (i.e., calcarenite limestones), it is obvious from the results reported in this study that the higher the percentage of montmorillonite and muscovite in them (e.g., samples C6 and C5), the higher the MB value.
The results of the sand equivalent test show considerable fluctuations in the case of diabasic/basaltic aggregates. This may be due to the degree of alteration of the parent rock and/or the development of tectonic stress over geological time, which lead to changes in the gradation and mineralogy of the aggregates and, therefore, induce variations in SE among different quarry locations (or even within the same quarry). According to Rigopoulos et al. [55], Pola et al. [92] and Giannakopoulou et al. [93], mineralogical, chemical and physicomechanical properties are indeed affected by the degree of alteration of the parent rock material.
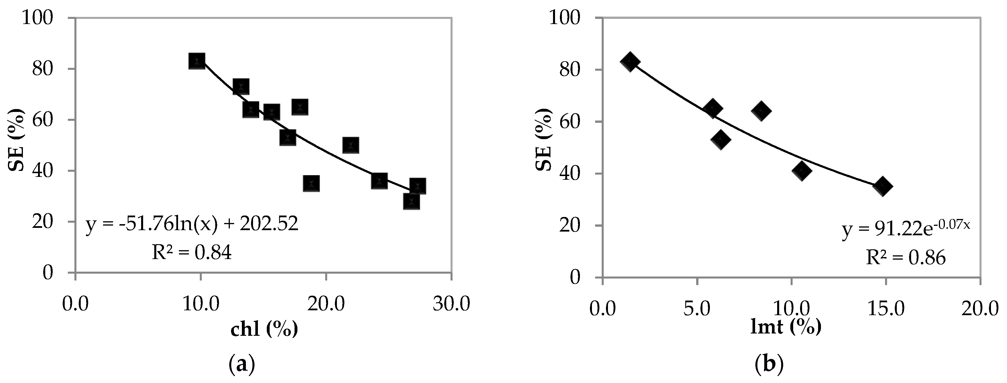
The presence of phyllosilicate minerals (i.e., mica, chlorite, clays) is noticeable in all diabasic/basaltic aggregates investigated (Table 3); these minerals, which have probably been formed as a result of hydrothermal alteration of the parent rock, show a very strong correlation with the SE test results (Figure 3a,b). In fact, phyllosilicate minerals, due to their flake-formed shape, appear to be suspended rather than flocculated during the test, thus affecting the results.
Figure 3.
(a) Correlation between chlorite (chl) and sand equivalent (SE) for diabasic/basaltic aggregates; (b) correlation between laumontite (lmt) and sand equivalent (SE) for diabasic/basaltic aggregates.
In carbonate samples, the presence of montmorillonite seems to contribute towards lower SE values (see results for calcarenite limestone samples in Table 2 and Table 3). This is reasonable and expected, since the aforementioned member of the smectite group comprises of plate-shaped particles with an average diameter around 1 μm. From the limestone samples investigated, L9 showed the lowest SE value (see Table 2); as previously mentioned, this sample also has the highest percentage of muscovite (Table 3).
The magnesium sulphate soundness test results are noticeably high (Table 2). More than half of the samples tested, especially carbonates, present MS coefficients >35%, which is the maximum permissible mass loss category reported in EN 12620 [94]. These results are in line with the findings of Ioannou et al. [34], who suggested that the magnesium sulphate soundness test may be inappropriate for fine aggregates.
From Table 2 and Table 3, it is worth noting that sample D12, which has the highest value of MS among the diabasic/basaltic aggregates investigated, also has the highest concentration of laumontite. In fact, summing the parentages of phyllosilicates (chlorite and clay) and zeolites (analcime, laumontite, chabazite, natrolite) and correlating them to the results of the magnesium sulphate soundness test, leads to a moderate correlation (R2 = 0.51), as shown in Figure 4a.
Figure 4.
(a) Correlation between phyllosilicate and zeolite minerals and magnesium sulphate soundness coefficient (MS) for diabasic/basaltic aggregates; (b) correlation between calcite (cal) and magnesium sulphate soundness coefficient (MS) for calcarenite limestone aggregates.
The MS results for the reef limestone samples (Table 2) show considerable variations, besides generally high (>35%) values. The former is attributed to the quarry location, while the latter to the intrinsic properties and microstructure of the samples tested. A common physical feature of limestones that has important implications for aggregate durability, is their intrinsic porosity [95]. Many limestones, particularly those of biogenic origin, have a medium to high degree of porosity. A porous limestone can suffer rapid degradation due to freeze-thaw cycling [37]. Modestou et al. [96] also stated that less resistant to weathering stone varieties generally exhibit high porosity, low cementation between grains, fracturing and/or high heterogeneity. Another key characteristic of limestones when it comes to durability is their relative softness, compared with other types of rocks. This is mainly a function of their mineral composition. Calcite, which is the predominant mineral found in limestones, has a hardness of 3 on the Mohs scale; hence, it can be easily degraded [37].
The high percentage of dolomite in the reef limestone samples tested seems to be equally important in the MS results. Balboni et al. [97] reported that the intense damage of dolomitic limestone, when exposed to salt crystallization, was found to be related to phase changes of magnesium sulphate salts in the pores of the material. It is interesting to note that EN 1367-2 [32] itself states that the magnesium sulphate soundness test may not be suitable for all rock types; in fact, reservations are expressed explicitly for carbonate aggregates and aggregates having a high proportion of magnesium bearing materials.
In the calcarenite limestone samples tested, the presence of calcite seemed to have the most significant role in the final MS results. Figure 4b shows that the MS coefficient is higher in these samples, when the percentage of calcite increases.
The results of the Micro-Deval test correlate very well with the results of the magnesium sulphate soundness test (see Figure 5a and Table 4), even though the two tests apply different mechanisms to measure the durability of aggregates. The Micro-Deval test, which apparently is also useful in forecasting the performance of the final product [35,40], mostly inflicts mechanical disintegration to the aggregate through abrasion/friction in the presence of water. In contrast, the magnesium sulphate test inflicts chemical weathering. The very good correlation between the two aforementioned tests is entirely in line with other results reported in the literature [42,51] and suggests that the Micro-Deval test may in fact be used as a substitute to the soundness test, which is considered unsuitable for fine aggregates [34].
Figure 5.
(a) Correlation between Micro-Deval (MD) and magnesium sulphate soundness coefficient (MS); (b) correlation between sand equivalent (SE) and methylene blue (MB).
Table 4.
Pearson correlations and p-values for the various fine aggregate properties.
The limestone samples showed the highest mass losses when exposed to the Micro-Deval test (Table 2); these samples also showed the highest variation in the test results (14.4% to 38.5%). Macroscopically, the softer limestone aggregates ended up being more spherical after exposure to the Micro-Deval test than the diabasic/basaltic aggregates, which were flaky and elongated. Gatchalian [98] presented results of Micro-Deval tests conducted on different types of coarse aggregates; these results also indicated that the softer limestones exhibit the highest percentage mass losses during the test. Furthermore, the aggregates tested in the aforementioned study showed a significant change in sphericity after the Micro-Deval test. This is an indication of particle breakage, as opposed to a change in angularity, which indicates loss of angular elements from the surface; the latter tend to be smaller than the particles produced due to breakage. Limestone aggregates became less elongated after the Micro-Deval test due to the abrasion of their surface. Therefore, besides limestone porosity and softness, the higher percentage mass losses during the Micro-Deval test may also be attributed to the sphericity of these aggregates.
Besides the correlation noted between MD and MS (Figure 5a), a strong negative correlation was also observed between MB and SE (Figure 5b and Table 4). Tugrul and Yilmaz [1] and Rismantojo [99] observed a similar correlation between MB and SE, despite evidence in the literature suggesting that the two aforementioned tests are not correlated [10,15,49]. This suggests that aggregates with high SE (>75%) and low MB (<1 g/kg) should be preferred for use in concrete/mortar production. Such aggregates are bound to contain limited amounts of harmful clay minerals. Nevertheless, it should be noted that the sand equivalent (SE) and methylene blue (MB) tests remain complementary; the former does not target active clay minerals and cannot therefore replace the latter in aggregate quality control testing.
A strong negative correlation was further observed between WA and ρrd (Figure 6 and Table 4), for all the samples hereby tested. This correlation is marginally weaker for the reef limestone samples, due to the fact that these aggregates show greater fluctuations in both their density and water absorption values (Table 2).
Figure 6.
Correlation between water absorption (WA) and oven-dried particle density (ρrd) (D: Diabase/Basalt, L: Reef Limestone, C: Calcarenite Limestone).
No other significant linear correlation was observed between the various physicomechanical properties tested in the framework of this study (Table 4). For example, despite the fact that Koukis et al. [54] and Petrounias et al. [100] found a correlation between the magnesium sulphate soundness coefficient and the water absorption of aggregates, no such correlation was observed in our study. This was expected, bearing in mind that some samples tested had extremely high MS soundness coefficients (>35%) and relatively low (≤1.5%) water absorptions at the same time (see Table 2). No correlation was found between the Micro-Deval and the water absorption of aggregates hereby tested either, despite evidence in the literature suggesting that such a correlation might have existed [101,102].
The aforementioned results suggest that fine aggregates should not be evaluated based on a single test method; instead, a more reliable picture of their quality could be obtained if more tests were taken under consideration at the same time.
5. Conclusions
Crushed fine aggregates from Cyprus used in Portland cement mortar/concrete and asphalt concrete production were characterized in terms of their mineralogical and physicomechanical properties. The results have been used to investigate potential correlations between the properties tested. The most important findings are summarized below:
- The physicomechanical properties of fine aggregates are influenced by their mineralogical composition.
- Diabasic/basaltic aggregates have slightly higher water absorption values due to the presence of phyllosilicate minerals and zeolite.
- The presence of phyllosilicate minerals, as well as of high activity clays, affects the results of the methylene blue test in diabasic/basaltic aggregates. These aggregates consequently have lower sand equivalent values.
- The results of the magnesium sulphate soundness tests are noticeably high. Carbonates generally display higher percentage mass losses due to their porosity and softness. The high percentage of dolomite in the reef limestone aggregate samples also seems to be decisive in the final MS results.
- The magnesium sulphate soundness coefficients correlate well with the Micro-Deval coefficients. This suggests that the Micro-Deval could possibly serve as an alternative test method for the quality testing of fine aggregates, despite the fact that it uses a different mechanism to quantify aggregate durability (i.e., abrasion/friction in the presence of water, rather than chemical weathering).
- A good correlation between the methylene blue and sand equivalent tests has also been observed; however, these two tests remain complementary and should not replace each other in assessing fine aggregate quality.
The aforementioned results suggest that fine aggregates should not be evaluated based on a single test method, as is the current norm in most countries; instead a more reliable picture of their quality may be obtained if more tests are taken under consideration during their quality assessment. This points towards a new practice for testing aggregates, which will be of utmost importance to concrete practitioners during the selection of aggregates for different construction applications.
Author Contributions
Conceptualization, I.I.; Funding acquisition, I.I.; Project administration, I.I.; Writing: original draft, R.F.; Writing, review and editing, I.I.
Funding
This research was funded by the Cyprus Ministry of Interior and the University of Cyprus.
Acknowledgments
The authors gratefully acknowledge Dimitris Vatyliotis for his contribution during the tests and Ioannis Rigopoulos for his assistance during the mineralogical analyses. They would also like to thank the Geological Survey Department for providing the test samples.
Conflicts of Interest
The authors declare no conflict of interest. The funders had no role in the design of the study; in the collection, analyses, or interpretation of data; in the writing of the manuscript, or in the decision to publish the results.
References
- Tugrul, A.; Yilmaz, M. Assessing the Quality of Sandstones for Use as Aggregate in concrete. Mag. Concr. Res. 2012, 64, 1067–1078. [Google Scholar] [CrossRef]
- Theodoridou, M.; Ioannou, I.; Philokyprou, M. New Evidence of Early Use of Artificial Pozzolanic Material in Mortars. J. Archaeol. Sci. 2013, 40, 3263–3269. [Google Scholar] [CrossRef]
- Stefanidou, M.; Papayianni, I. The Role of Aggregates on the Structure and Properties of Lime Mortars. Cement Concr. Comp. 2005, 27, 914–919. [Google Scholar] [CrossRef]
- Alexander, M.G.; Mindess, S. Aggregates for Concrete; Taylor and Francis Group: New York, NY, USA, 2005; p. 448. ISBN 0-203-96369-5. [Google Scholar]
- Mehta, P.K.; Monteiro, P.J.M. Concrete. Microstructure, Properties, and Materials, 4th ed.; The McGraw-Hill Companies: New York, NY, USA, 2013. [Google Scholar]
- De Brito, J.; Kurda, R.; da Silva, P.R. Can we truly predict the Compressive Strength of Concrete without Knowing the Properties of Aggregates? Appl. Sci. 2018, 8, 1095. [Google Scholar] [CrossRef]
- Tugrul, A.; Hasdemir, S.; Yılma, M. The Effect of Feldspar, Mica and Clay Minerals on Compressive Strength of Mortar. In Engineering Geology for Society and Territory—Volume 5; Lollino, G., Manconi, A., Guzzetti, F., Culshaw, M., Bobrowsky, P., Luino, F., Eds.; Springer International Publishing: Basel, Switzerland, 2015; pp. 93–96. [Google Scholar]
- Quiroga, P.N.; Fowler, D.W. The Effects of Aggregates Characteristics on the Performance of Portland Cement Concrete; Technical Report for International Center for Aggregates Research: Austin, TX, USA, July 2004. [Google Scholar]
- Schouenborg, B.; Akesson, U. Aggregate Research in Support of European Standardization. In Engineering Geology for Infrastructure Planning in Europe: A European Perspective; Hack, R., Azzam, R., Charlier, R., Eds.; Springer Science & Business Media: Heidelberg, Germany, 2004; p. 803. ISBN 1613-2580. [Google Scholar]
- Petkovšek, A.; Maček, M.; Pavšič, P.; Bohar, F. Fines Characterization through the Methylene Blue and Sand Equivalent Test: Comparison with Other Experimental Techniques and Application of Criteria to the Aggregate Quality Assessment. Bull. Eng. Geol. Environ. 2010, 69, 561–574. [Google Scholar] [CrossRef]
- EN 933-8. Tests for the Geometrical Properties of Aggregates—Part 8: Assessment of Fines—Sand Equivalent Test; European Committee for Standardization: Brussels, Belgium, 2012+A1:2015.
- ASTM D2419-14. Standard Test Method for Sand Equivalent Value of Soils and Fine Aggregates; American Society for Testing and Materials: West Conshohocken, PA, USA, 2014. [Google Scholar]
- Kondelchuk, D.; Miskovsky, K. Determination of the Test Methods Sensitive to Free Mice Content in Aggregate Fine Fractions. J. Mater. Eng. Perform. 2009, 18, 282–286. [Google Scholar] [CrossRef]
- Westerholm, M.; Lagerblad, B.; Silfwerbrand, J.; Forssberg, E. Influence of Fine Aggregate Characteristics on the Rheological Properties of Mortars. Cement Concr. Comp. 2008, 30, 274–282. [Google Scholar] [CrossRef]
- Nikolaides, A.; Manthos, E.; Sarafidou, M. Sand Equivalent and Methylene Blue Value of Aggregates for Highway Engineering. Found. Civ. Environ. Eng. 2007, 10, 111–121. [Google Scholar]
- Mukhopadhyay, A.K.; Pitre, B.; Russell, A.; Arambula, E.; Estakhri, C.; Deng, Y. Treatments for Clays in Aggregates Used to Produce Cement Concrete, Bituminous Materials, and Chip Seals; Technical Report for Texas Department of Transportation: Austin, TX, USA, July 2013.
- ASTM C837-09. Standard Test Method for Methylene Blue Index of Clay; American Society for Testing and Materials: West Conshohocken, PA, USA, 2014. [Google Scholar]
- EN 933-9. Tests for the Geometrical Properties of Aggregates—Part 9: Assessment of Fines—Methylene Blue Test; European Committee for Standardization: Brussels, Belgium, 2009+A1:2013.
- Kandhal, P.S.; Parker, F.J.R. Aggregate Tests Related to Asphalt Concrete Performance in Pavements; Final Report to the Transportation Research Board: Washington, DC, USA, 1998. [Google Scholar]
- Petrounias, P.; Giannakopoulou, P.P.; Rogkala, A.; Stamatis, P.M.; Tsikouras, B.; Papoulis, D.; Lampropoulou, P.; Hatzipanagiotou, K. The Influence of Alteration of Aggregates on the Quality of the Concrete: A Case Study from Serpentinites and Andesites from Central Macedonia (North Greece). Geosciences 2018, 8, 115. [Google Scholar] [CrossRef]
- Nehdi, M.L. Clay in Cement-Based Materials: Critical Overview of State-of-the-Art. Constr. Build. Mater. 2014, 51, 372–382. [Google Scholar] [CrossRef]
- Cortas, R.; Rozière, E.; Staquet, S.; Hamami, A.; Loukili, A.; Delplancke-Ogletree, M.P. Effect of the Water Saturation of Aggregates on the Shrinkage Induced Cracking Risk of Concrete at Early Age. Cement Concr. Comp. 2014, 50, 1–9. [Google Scholar] [CrossRef]
- Alqarni, A.S. Quantifying the Characteristics of Fine Aggregate Using Direct and Indirect Test Methods. Master’s Thesis, University of Texas, Austin, TX, USA, December 2013. [Google Scholar]
- ASTM C128-15. Standard Test Method for Relative Density (Specific Gravity) and Absorption of Fine Aggregate; American Society for Testing and Materials: West Conshohocken, PA, USA, 2015. [Google Scholar]
- EN 1097-6. Tests for the Mechanical and Physical Properties of Aggregates—Part 6: Determination of Particle Density and Water Absorption; European Committee for Standardization: Brussels, Belgium, 2013. [Google Scholar]
- Fookes, P.G. An Introduction to the Influence of Natural Aggregates on the Performance and Durability of Concrete. Q. J. Eng. Geol. 1980, 13, 207–229. [Google Scholar] [CrossRef]
- Brandes, H.G.; Robinson, C.E.; Johnson, G.P. Soil and Rock Properties in a Young Volcanic Deposit on the Island of Hawaii. J. Geotech. Geoenviron. 2011, 137, 597–610. [Google Scholar] [CrossRef]
- Ioannou, I.; Petrou, M.F.; Fournari, R.; Andreou, A.; Hadjigeorgiou, C.; Tsikouras, B.; Hatzipanagiotou, K. Crushed Limestone as an Aggregate in Concrete Production: The Cyprus Case. Geol. Soc. Spec. Publ. 2010, 331, 127–135. [Google Scholar] [CrossRef]
- Fournari, R.; Ioannou, I.; Vatyliotis, D. A Study of Fine Aggregate Properties and their Effect on the Quality of Cementitious Composite Materials. In IAEG XII Congress Engineering Geology for Society and Territory—Volume 5: Urban Geology, Sustainable Planning and Landscape Exploitation, 15–19 Sep 2014 Torino, Italy; Lollino, G., Manconi, A., Guzzetti, F., Culshaw, M., Bobrowsky, P., Luino, F., Eds.; Springer: New York, NY, USA; London, UK, 2015; pp. 33–36. [Google Scholar]
- Williams, S.G.; Cunningham, J.B. Evaluation of Aggregate Durability Performance Test Procedures. 2012. Available online: http://arkansastrc.com/TRC%20REPORTS/TRC%200905.pdf (accessed on 20 February 2016).
- West, D. Brard’s test into the 21st Century: Sodium Sulphate Soundness Testing of Dimension Stone. In Sandstone City: Sydney’s Dimension Stone and Other Sandstone Geomaterials; McNally, G.H., Franklin, B.J., Eds.; Geological Society of Australia Environmental, Engineering and Hydrogeology Specialist Group Monograph: Sydney, Australia, 2000; Volume 5, pp. 138–148. ISBN 1876315229. [Google Scholar]
- EN 1367-2. Tests for Thermal and Weathering Properties of Aggregates—Part 2: Magnesium Sulphate Test; European Committee for Standardization: Brussels, Belgium, 2009. [Google Scholar]
- ASTM C88/C88M-18. Standard Test Method for Soundness of Aggregates by Use of Sodium Sulfate or Magnesium Sulfate; American Society for Testing and Materials: West Conshohocken, PA, USA, 2018. [Google Scholar]
- Ioannou, I.; Fournari, R.; Petrou, M. Testing the Soundness of Aggregates Using Different Methodologies. Constr. Build. Mater. 2013, 40, 604–610. [Google Scholar] [CrossRef]
- Wu, Y.; Parker, F.; Kandhal, Κ. Aggregate Toughness/Abrasion Resistance and Durability/Soundness Tests Related to Asphalt Concrete Performance in Pavements; Technical Report for NCAT: Auburn, AL, USA, March 1998. [Google Scholar]
- Clement, J.; Stutts, Z.; Alqarni, A.; Fowler, D.; Whitney, D. Revamping Aggregate Property Requirements for Portland Cement Concrete; Technical Report for the Center for Transportation Research at The University of Texas: Austin, TX, USA, August 2013. [Google Scholar]
- Jayawickrama, P.W.; Hossain, S.; Hoare, A.R. Long-Term Research on Bituminous Coarse Aggregate: Use of Micro-Deval Test for Project Level Aggregate Quality Control; Technical Report for Texas Transportation Institute: Austin, TX, USA, March 2007. [Google Scholar]
- ASTM D7428-15. Standard Test Method for Resistance of Fine Aggregate to Degradation by Abrasion in the Micro-Deval Apparatus; American Society for Testing and Materials: West Conshohocken, PA, USA, 2015. [Google Scholar]
- EN 1097-1. Tests for the Mechanical and Physical Properties of Aggregates—Part 1: Determination of the Resistance to Wear (Micro-Deval); European Committee for Standardization: Brussels, Belgium, 2011. [Google Scholar]
- Cuelho, E.; Mokwa, R.; Obert, K. Comparative Analysis of Coarse Surfacing Aggregate Using Micro-Deval, l.A. Abrasion and Sodium Sulfate Soundness Tests; Final Report to the Western Transportation Institute: Bozeman, MT, USA, January 2007. [Google Scholar]
- Phillips, F.W. Comparative Analysis between the Magnesium Sulfate Soundness and Micro-Deval Tests in the Evaluation of Bituminous Aggregates. Master’s Thesis, Texas Tech University, Lubbock, TX, USA, May 2000. [Google Scholar]
- Hanna, A.N. Aggregate Tests for Portland Cement Concrete Pavements: Review and Recommendations; Technical Report for the National Cooperative Highway Research Program: Washington, DC, USA, September 2003. [Google Scholar]
- Rogers, C.A.; Bailey, M.L.; Price, B. Micro-Deval Test for Evaluating the Quality of Fine Aggregate for Concrete and Asphalt. Transp. Res. Record. 1991, 1301, 68–76. [Google Scholar]
- Rogers, C.A.; Lane, B.C.; Senior, S.A. The Micro-Deval Abrasion Test for Coarse and Fine Aggregate in Asphalt Pavement; Technical Report for the Materials Engineering and Research Office, Ministry of Transportation (MTO): Downsview, ON, Canada, 2003. [Google Scholar]
- Brandes, H.G.; Robinson, C.E. Correlation of Aggregate Test Parameters to Hot Mix Asphalt Pavement Performance in Hawaii. J. Transp. Eng. 2006, 132, 86–95. [Google Scholar] [CrossRef]
- Senior, S.A.; Rogers, C.A. Laboratory Tests for Predicting Coarse Aggregate Performance in Ontario. Transp. Res. Record. 1991, 1301, 97–106. [Google Scholar]
- Rangaraju, P.; Edlinski, J. Comparative Evaluation of Micro-Deval Abrasion Test with Other Toughness/Abrasion Resistance and Soundness Tests. J. Mater. Civ. Eng. 2008, 20, 343–351. [Google Scholar] [CrossRef]
- Hoare, R.A. Feasibility of Using the Micro-Deval Test Method as an Aggregate Production Quality Control Tool. Master’s Thesis, Texas Tech University, Lubbock, TX, USA, December 2003. [Google Scholar]
- Richardson, D.N. Quick Test for Percent of Deleterious Material; Final Report to the Missouri Department of Transportation: Jefferson City, MI, USA, August 2009. [Google Scholar]
- Prowell, B.D.; Zhang, J.; Brown, E.R. Aggregate Properties and the Performance of Superpave-Designed Hot Mix Asphalt; Final Report to the National Cooperative Highway Research Program: Washington DC, USA, June 2005. [Google Scholar]
- Fowler, D.W.; Allen, J.J.; Lang, A.; Range, P. The Prediction of Coarse Aggregate Performance by Micro-Deval and Other Aggregate Test; Technical Report for the International Center for Aggregates Research: Austin, TX, USA, June 2006. [Google Scholar]
- Williamson, G.S. Investigation of Testing Methods to Determine Long-Term Durability of Wisconsin Aggregate Resources Including Natural Materials, Industrial By-Products, and Recycled/Reclaimed Materials. Master’s Thesis, Faculty of the Virginia Polytechnic Institute and State University, Blacksburg, VA, USA, April 2005. [Google Scholar]
- Goswami, S.C. Influence of Geological Factors on Soundness and Abrasion Resistance of Road Surface Aggregates: A Case Study. Bull. Eng. Geol. Environ. 1984, 30, 59–61. [Google Scholar] [CrossRef]
- Koukis, G.; Sabatakakis, N.; Spyropoulos, A. Resistance Variation of Low-Quality Aggregates. Bull. Eng. Geol. Environ. 2007, 66, 457–466. [Google Scholar] [CrossRef]
- Rigopoulos, I.; Tsikouras, B.; Pomonis, P.; Hatzipanagiotou, K. The Influence of Alteration on the Engineering Properties of Dolerites: The Examples from the Pindos and Vourinos Ophiolites (Northern Greece). Int. J. Rock Mech. Min. 2010, 47, 69–80. [Google Scholar] [CrossRef]
- Aghamelu, O.P.; Okogbue, C.O. Some Geological Considerations and Durability Analysis on the Use of Crushed Pyroclastics from Abakaliki (Southeastern Nigeria) as Concrete Aggregate. Geotech. Geol. Eng. 2013, 31, 699–711. [Google Scholar] [CrossRef]
- Tia, M.; Bekoe, P.; Chen, Y. Development of Tiered Aggregate Specifications for Fdot Use; Final Report to the Department of Civil and Coastal Engineering, Engineering School of Sustainable Infrastucture and Environment, Collage of Engineering, University of Florida: Gainesville, FL, USA, March 2012. [Google Scholar]
- Brennan, M.J.; Crawley, K.; Sheahan, J.N.; Jordan, J. Ranking the Performance of Aggregates Using CEN Test Results. Road Mater. Pavement. 2003, 4, 439–454. [Google Scholar] [CrossRef]
- Shakoor, A.; Bonelli, R.E. Relationship between Petrographic Characteristics, Engineering Index Properties, and Mechanical Properties of Selected Sandstones. Bull. Assoc. Eng. Geol. 1991, 28, 55–71. [Google Scholar] [CrossRef]
- Miskovsky, K.; Taborda Duarte, M.; Kou, S.Q.; Lindqvist, P.A. Influence of the Mineralogical Composition and Textural Properties on the Quality of Coarse Aggregates. J. Mater. Eng Perform. 2004, 13, 144–150. [Google Scholar] [CrossRef]
- Yzenas, J.J., Jr. Bulk Density, Relative Density (Specific Gravity), Pore Structure, Absorption and Surface Moisture. In Significance of Tests and Properties of Concrete & Concrete-Making Materials; Lamond, J., Pielert, J., Eds.; ASTM: Philadelphia, PA, USA, 2006; pp. 346–354. ISBN 0-8031-3367-7. [Google Scholar]
- Pomonis, P.; Rigopoulos, I.; Tsikouras, B.; Hatzipanagiotou, K. Relationships between Petrographic and Physicomechanical Properties of Basic Igneous Rocks from the Pindos Ophiolitic Complex, NW Greece. In Proceedings of the 11th International Conference of the Geological Society of Greece, Bulletin of the Geological Society of Greece, Athens, Greece, 24–26 May 2007. [Google Scholar]
- Makani, A.; Vidal, T. Relationships between Mineralogical and Physico-Mechanical Properties of Granitic Aggregates. Chem. Mater. Res. 2013, 4, 25–31. [Google Scholar]
- Fortes, A.P.P.; Anastasio, S.; Kuznetsova, E.; Danielsen, S.W. Behaviour of Crushed Rock Aggregates used in Asphalt Surface Layer Exposed to Cold Climate Conditions. Environ. Earth Sci. 2016, 75, 1414. [Google Scholar] [CrossRef]
- Santos, A.R.; Veiga, M.R.; Santos Silva, A.; de Brito, J.; Alvarez, J.I. Evolution of The Microstructure of Lime Based Mortars and Influence on the Mechanical Behaviour: The Role of the Aggregates. Constr. Build. Mater. 2018, 187. [Google Scholar] [CrossRef]
- Haraldsson, H. Relations between Petrography and the Aggregate Properties of Icelandic Rocks. Bull. Int. Assoc. Eng. Geol. 1984, 30, 73–76. [Google Scholar] [CrossRef]
- Marfil, S.A.; Maiza, P.J. Assessment of the Potential Alkali Reactivity of Rhyolitic Rocks from Argentina. In Proceedings of the 10th IAEG International Congress Engineering Geology for Tomorrow’s Cities, Nottingham, UK, 6–10 September 2006. [Google Scholar]
- Tugrul, A.; Zarif, I.H. The Influence of Mineralogical Textural and Chemical Characteristics on the Durability of Selected Sandstones in Istanbul, Turkey. Bull. Eng. Geol. Environ. 1998, 57, 185–190. [Google Scholar] [CrossRef]
- Sabatakakis, N.; Koukis, G.; Tsiambaos, G.; Papanakli, S. Index Properties and Strength Variation Controlled by Microstructure for Sedimentary Rocks. Eng. Geol. 2008, 97, 80–90. [Google Scholar] [CrossRef]
- Kazi, A.; Al-Mansour, Z.R. Influence of Geological Factors on Abrasion and Soundness Characteristics of Aggregate. Eng. Geol. 1980, 15, 195–203. [Google Scholar] [CrossRef]
- Zorlu, K.; Gokceoglu, C.; Ocakoglu, F.; Nefeslioglu, H.A.; Acikalin, S. Prediction of Uniaxial Compressive Strength of Sandstones using Petrography-Based Models. Eng. Geol. 2008, 96, 141–158. [Google Scholar] [CrossRef]
- Williams, G.D.; Hampel, K.; Allen, J.J.; Fowler, D.W. The Significance and Application of the Micro-Deval Test; Technical Report for the International Center for Aggregates Research: Austin, TX, USA, 2005. [Google Scholar]
- Petrounias, P.; Giannakopoulou, P.P.; Rogkala, A.; Lampropoulou, P.; Koutsopoulou, E.; Papoulis, D.; Tsikouras, B.; Hatzipanagiotou, K. The Impact of Secondary Phyllosilicate Minerals on the Engineering Properties of Various Igneous Aggregates from Greece. Minerals 2018, 8, 329. [Google Scholar] [CrossRef]
- Ben-Avraham, Z.; Kempler, D.; Ginzburg, A. Plate Convergence in the Cyprean Arc. Tectonophysics 1988, 146, 231–240. [Google Scholar] [CrossRef]
- Van der Meer, F.; Vazquez-Torres, F.M.; Van Dijk, P.M. Spectral Characterization of Ophiolite Lithologies in the Troodos Ophiolite Complex of Cyprus and its Potential in Prospecting for Massive Sulphide Deposits. Int. J. Remote Sens. 1997, 18, 1245–1257. [Google Scholar] [CrossRef]
- Stylianou, I.I.; Tassou, S.; Christodoulides, P.; Panayides, I.; Florides, G. Measurement and Analysis of Thermal Properties of Rocks for the Compilation of Geothermal Maps of Cyprus. Renew. Energy 2016, 88, 418–429. [Google Scholar] [CrossRef]
- Constantinou, G.; Panagides, I. Κύπρος και Γεωλογία. Επιστήμη—Περιβάλλον—Πολιτισμός [Cyprus and Geology. Science—Environment- Culture]; Bank of Cyprus Cultural Foundation: Cyprus, Nicosia, 2013; ISBN 978-9963-42-940-0. (In Greek) [Google Scholar]
- Richardson, C.J.; Cann, J.R.; Richards, H.G.; Cowan, J.G. Metal-Depleted root Zones of the Troodos Ore-Forming Hydrothermal Systems, Cyprus. Earth Planet. Sc. Lett. 1987, 84, 243–253. [Google Scholar] [CrossRef]
- Kinnaird, T.C. Tectonic and Sedimentary Response to Oblique and Incipient Continental—Continental Collision in the Easternmost Mediterranean (Cyprus). Ph.D. Thesis, University of Edinburgh, Edinburgh, UK, 2008. [Google Scholar]
- Zomeni, Z. Quaternary Marine Terraces on Cyprus: Constraints on Uplift and Pedogenesis, and the Geoarchaeology of Palaipafos. Ph.D. Thesis, Oregon State University, Corvallis, OR, USA, 2012. [Google Scholar]
- McCallum, J.E.; Robertson, A.H.F. Late Pliocene-Early Pleistocene Athalassa Formation, North-Central Cyprus: Carbonates sand Bodies in a Shallow Seaway between two Emerging Landmasses. Terra Nova 1995, 7, 265–278. [Google Scholar] [CrossRef]
- Franzini, M.; Leoni, L.; Lezzerini, C.R. Relationships between Mineralogical Composition, Water Absorption and Hydric Dilatation in the “Macigno” Sandstones from Lunigiana (Massa, Tuscany). Eur. J. Mineral. 2007, 19, 113–123. [Google Scholar] [CrossRef]
- Toth, J. Groundwater in Igneous, Metamorphic, and Sedimentary Rocks. In Groundwater—Volume I; Silveira, L., Usunoff, E.J., Eds.; EOLSS Publications: Oxford, UK, 2009; pp. 67–96. ISBN 978-1-84826-027-6. [Google Scholar]
- Tugrul, A. The effect of Weathering on Pore Geometry and Compressive Strength of Selected Rock Types from Turkey. Eng. Geol. 2004, 75, 215–227. [Google Scholar] [CrossRef]
- Dokic, O.; Matovic, V.; Eric, S.; Saric, K. Influence of Engineering Properties on Polished Stone Value (PSV): A Case Study on Basic Igneous Rocks from Serbia. Constr. Build. Mater. 2015, 101, 1088–1096. [Google Scholar] [CrossRef]
- Kelsall, P.C.; Watters, R.J.; Franzone, J.G. Engineering Characterization of Fissured, Weathered Dolerite and Vesicular Basalt. In Proceedings of the 27th U.S. Symposium on Rock Mechanics Rock Mechanics: Key to Energy Production, Tuscaloosa, AL, USA, 23–25 June 1986; pp. 77–84. [Google Scholar]
- Timur, A.; Hempkins, W.B.; Weinbrandt, R.M. Scanning Electron Microscope Study of Pore Systems in Rocks. J. Geophys. Res. 1971, 76, 4932–4948. [Google Scholar] [CrossRef]
- Lindquist, J.E.; Malaga, K.; Middendorf, B.; Savukoski, M.; Pétursson, M.P. Frost Resistance of Natural Stone, the Importance of Micro and Nano-Porosity, Geological Survey of Sweden, External Research Project Report. Available online: http://www.sgu.se/dokument/fou_extern/Lindqvist-etal_2007.pdf (accessed on 3 February 2016).
- Carlos, A.; Masumi, I.; Hiroaki, M.; Maki, M.; Takahisa, O. The effects of limestone aggregate on concrete Properties. Constr. Build. Mater. 2010, 24, 2363–2368. [Google Scholar]
- Rouvelas, G.; Xintaras, K.; Alafouzos, K. Determination of Clay Content or Plastic Fines in Aggregate through Sand Equivalent Test (ASTM D 2419-02 and EN 933-08) and Methylene Blue (EN 933-09)—Comparative results. In Proceedings of the 16th Concrete Conference, Paphos, Cyprus, 21–23 October 2009. (In Greek). [Google Scholar]
- Stapel, E.E.; Verhoef, P.N.W. The Use of the Methylene Blue Adsorption Test in Assessing the Quality of Basaltic Tuff Rock Aggregate. Eng. Geol. 1989, 26, 233–246. [Google Scholar] [CrossRef]
- Pola, A.; Crosta, G.B.; Fusi, N.; Castellanza, R. General Characterization of the Mechanical Behaviour of Different Volcanic Rocks with Respect to Alteration. Eng. Geol. 2014, 169, 1–13. [Google Scholar] [CrossRef]
- Giannakopoulou, P.P.; Petrounias, P.; Rogkala, A.; Tsikouras, B.; Stamatis, P.M.; Pomonis, P.; Hatzipanagiotou, K. The Influence of the Mineralogical Composition of Ultramafic Rocks on Their Engineering Performance: A Case Study from the Veria-Naousa and Gerania Ophiolite Complexes (Greece). Geosciences 2018, 8, 251. [Google Scholar] [CrossRef]
- EN 12620. Aggregates for Concrete; European Committee for Standardization: Brussels, Belgium, 2013. [Google Scholar]
- Benavente, D.; Garcia del Cura, M.A.; Garcia-Guinea, J.; Sanchez-Moral, S.; Ordóñez, S. Role of Pore Structure in Salt Crystallization in Unsaturated Porous Stone. J. Cryst. Growth. 2004, 260, 532–544. [Google Scholar] [CrossRef]
- Modestou, S.; Theodoridou, M.; Fournari, R.; Ioannou, I. Physico-Mechanical Properties and Durability Performance of Natural Building and Decorative Carbonate Stones from Cyprus. In Sustainable Use of Traditional Geomaterials in Construction Practice; Přikryl, R., Török, A., Gómez-Heras, M., Miskovsky, K., Theodoridou, M., Eds.; The Geological Society: London, UK, 2016; pp. 145–162. ISBN 9781862397187. [Google Scholar]
- Balboni, E.; Espinosa-Marzal, R.M.; Doehne, E.; Scherer, G.W. Can Drying and Re-Wetting of Magnesium Sulfate Salts lead to Damage of Stone? Environ. Earth Sci. 2011, 63, 1463–1473. [Google Scholar] [CrossRef]
- Gatchalian, D. Characterization of Aggregate Resistance to Degradation in Stone Matrix Asphalt Mixtures. Master’s Thesis, Texas A&M University, Texas, TX, USA, December 2005. [Google Scholar]
- Rismantojo, E. Permanent Deformation and Moisture Susceptibility Related Aggregate Tests for Use in Hot-Mix Asphalt Pavements. Ph.D. Thesis, Purdue University, West Lafayette, PA, USA, December 2002. [Google Scholar]
- Petrounias, P.; Rogkala, A.; Kalpogiannaki, M.; Tsikouras, B.; Hatzipanagiotou, K. Comparative Study of Physico-Mechanical Properties of Ultrabasic Rocks (Veria-Naousa Ophiolite) and Andesites from Central Macedonia (Greece). Bull. Geol. Soc. Gr. 2016, 50, 1989–1998. [Google Scholar]
- Dakwar, M.A. Evaluation of Durability of Existing Base Aggregates in Wisconsin Pavements. Master’s Thesis, University of Wisconsin Milwaukee, Milwaukee, WI, USA, May 2017. [Google Scholar]
- Titi, H.H.; Dakwar, M.A.; Sooman, M.; Tabatabai, H. Long Term Performance of Gravel Base Course Layers in Asphalt Pavements. Case Stud. Constr. Mater. 2018, 9, e00208. [Google Scholar] [CrossRef]
© 2019 by the authors. Licensee MDPI, Basel, Switzerland. This article is an open access article distributed under the terms and conditions of the Creative Commons Attribution (CC BY) license (http://creativecommons.org/licenses/by/4.0/).





