Importance of Magmatic Water Content and Oxidation State for Porphyry-Style Au Mineralization: An Example from the Giant Beiya Au Deposit, SW China
Abstract
1. Introduction
2. Geological Setting
3. Petrography of Alkaline Intrusions
3.1. The Wandongshan Monzogranite Porphyry
3.2. The Bailiancun Monzogranite Porphyry
4. Analytical Methods and Results
4.1. Analytical Methods
4.2. Mineral Chemistry
4.2.1. Amphibole Compositions
4.2.2. Zircon Trace Element Composition
5. Discussion
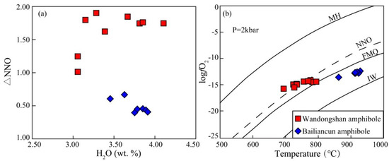
5.1. The Water Content of the Parental Magmas
5.2. Magmatic Oxidation State
5.3. Implications for Au Mineralization
6. Conclusions
Supplementary Materials
Author Contributions
Funding
Acknowledgments
Conflicts of Interest
References
- Sillitoe, R.H. Porphyry copper systems. Econ. Geol. 2010, 105, 3–41. [Google Scholar] [CrossRef]
- Richards, J.P. High Sr/Y arc magmas and porphyry Cu-Mo-Au deposits: Just add water. Econ. Geol. 2011, 106, 1075–1081. [Google Scholar] [CrossRef]
- Robb, L. Introduction to Ore-Forming Processes; Blackwell Publishing: Hoboken, NJ, USA, 2005; pp. 1–386. [Google Scholar]
- Sun, W.D.; Arculus, R.J.; Kamenetsky, V.S.; Binns, R.A. Release of gold-bearing fluids in convergent margin magmas prompted by magnetite crystallization. Nature 2004, 431, 975–978. [Google Scholar] [CrossRef] [PubMed]
- Richards, J.P. The oxidation state, and sulfur and Cu contents of arc magmas: Implications for metallogeny. Lithos 2015, 233, 27–45. [Google Scholar] [CrossRef]
- Zhou, T.C.; Zeng, Q.D.; Chu, S.X.; Zhou, L.L.; Yang, Y.H. Magmatic oxygen fugacities of porphyry Mo deposits in the East Xing’an-Mongolian Orogenic Belt (NE China) with metallogenic implications. J. Asian Earth Sci. 2018, in press. [Google Scholar] [CrossRef]
- Yang, Z.; Yang, L.Q.; He, W.Y.; Gao, X.; Liu, X.D.; Bao, X.S.; Lu, Y.G. Control of magmatic oxidation state in intracontinental porphyry mineralization: A case study from Cu (Mo-Au) deposits in the Jinshajiang–Red River metallogenic belt, SW China. Ore Geol. Rev. 2017, 90, 827–846. [Google Scholar] [CrossRef]
- Kelley, K.A.; Cottrell, E. Water and the oxidation state of subduction zone magmas. Science 2009, 325, 605–607. [Google Scholar] [CrossRef] [PubMed]
- Yang, Z.M.; Lu, Y.J.; Hou, Z.Q.; Chang, Z.S. High-Mg diorite from Qulong in southern Tibet: Implications for the genesis of adakite-like intrusions and associated porphyry Cu deposits in collisional orogens. J. Petrol. 2015, 56, 227–254. [Google Scholar] [CrossRef]
- Richards, J.P.; Spell, T.; Rameh, E.; Razique, A.; Fletcher, T. High Sr/Y magmas reflect arc maturity, high magmatic water content, and porphyry Cu-Mo-Au potential: Examples from the Tethyan arcs of Central and Eastern Iran and Western Pakistan. Econ. Geol. 2012, 107, 295–332. [Google Scholar] [CrossRef]
- Yang, L.Q.; Deng, J.; Guo, L.N.; Wang, Z.L.; Li, X.Z.; Li, J.L. Origin and evolution of ore fluid, and Au deposition processes at the giant Taishang Au deposit, Jiaodong Peninsula, eastern China. Ore Geol. Rev. 2016, 72, 582–602. [Google Scholar] [CrossRef]
- Li, Y.; Audetat, A. Gold solubility and partitioning between sulfide liquid, monosulfide solid solution and hydrous mantle melts: Implications for the formation of Au-rich magmas and crust-mantle differentiation. Cosmochim. Acta 2013, 118, 247–262. [Google Scholar] [CrossRef]
- Zajacz, Z.; Candela, P.A.; Piccoli, P.M.; Walle, M.; Sanchez-Valle, C. Gold and copper in volatile saturated mafic to intermediate magmas: Solubilities, partitioning, and implications for ore deposit formation. Geochem. Cosmochim. Acta 2012, 91, 140–159. [Google Scholar] [CrossRef]
- Deng, J.; Wang, Q.F. Gold mineralization in China: Metallogenic provinces, deposit types and tectonic framework. Gondwana Res. 2016, 36, 219–274. [Google Scholar] [CrossRef]
- He, W.Y.; Yu, X.H.; Mo, X.X.; He, Z.H.; Li, Y.; Huang, X.K.; Su, G.S. Genetic types and the relationship between alkali-rich intrusion and mineralization of Beiya Au-polymetallic ore field, western Yunnan province, China. Acta Petrol. Sin. 2012, 5, 1401–1412. (In Chinese) [Google Scholar]
- He, W.Y. The Beiya Giant Au-Polymetallic Deposit: Magmatism and Metallogenic Model. Ph.D. Thesis, China University of Geosciences (Beijing), Beijing, China, 2014. (In Chinese). [Google Scholar]
- He, W.Y.; Yang, L.Q.; Brugger, J.; McCuaig, T.C.; Lu, Y.J.; Bao, X.S.; Gao, X.Q.; Lu, Y.G.; Xing, Y.L. Hydrothermal evolution and ore genesis of the Beiya giant Au polymetallic deposit, western Yunnan, China: Evidence from fluid inclusions and H-O-S-Pb isotopes. Ore Geol. Rev. 2017, 90, 847–862. [Google Scholar] [CrossRef]
- Xu, X.W.; Cai, X.P.; Xiao, Q.B. Porphyry Cu-Au and associated polymetallic Fe-Cu-Au deposits in the Beiya area, western Yunnan province, South China. Ore Geol. Rev. 2007, 31, 224–246. [Google Scholar] [CrossRef]
- Bao, X.S.; He, W.Y.; Gao, X. The Beiya Gold deposit: Constrainition of water-rich magmas to mineralization. Acta Petrol. Sin. 2017, 33, 2175–2188. (In Chinese) [Google Scholar]
- Gao, X.Q.; He, W.Y.; Gao, X.; Bao, X.S.; Yang, Z. Constraints of magmatic oxidation state on mineralization in the Beiya alkali-rich porphyry Au deposit, western Yunnan, China. Solid Earth Sci. 2017, 2, 65–78. [Google Scholar] [CrossRef]
- Meng, X.Y.; Mao, J.W.; Zhang, C.Q.; Zhang, D.Y.; Liu, H. Melt recharge, fO2-T conditions, and metal fertility of felsic magmas: Zircon trace element chemistry of Cu-Au porphyries in the Sanjiang orogenic belt, southwest China. Miner. Depos. 2018, 53, 649–663. [Google Scholar] [CrossRef]
- Liu, B.; Liu, H.; Zhang, C.Q.; Mao, Z.H.; Zhou, Y.M.; Huang, H.; He, Z.H.; Su, G.S. Geochemistry and geochronology of porphyries from the Beiya Au-polymetallic orefield, western Yunnan, China. Ore Geol. Rev. 2015, 69, 360–379. [Google Scholar] [CrossRef]
- He, W.Y.; Mo, X.X.; Yang, L.Q.; Xing, Y.L.; Dong, G.C.; Yang, Z.; Gao, X.; Bao, X.S. Origin of the Eocene porphyries and mafic microgranular enclaves from the Beiya porphyry Au polymetallic deposit, western Yunnan, China: Implications for magma mixing/mingling and mineralization. Gondwana Res. 2016, 40, 230–248. [Google Scholar] [CrossRef]
- He, W.Y.; Mo, X.X.; He, Z.H.; White, N.C.; Chen, J.B.; Yang, K.H.; Wang, R.; Yu, X.H.; Dong, G.C.; Huang, X.F. The Geology and mineralogy of the Beiya Skarn Au Deposit in Yunnan, Southwest China. Econ. Geol. 2015, 110, 1625–1641. [Google Scholar] [CrossRef]
- Ridolfi, F.; Renzulli, A.; Puerini, M. Stability and chemical equilibrium of amphibole in calc-alkaline magmas: An overview, new thermobarometric formulations and application to subduction-related volcanoes. Contrib. Mineral. Petrol. 2010, 160, 45–66. [Google Scholar] [CrossRef]
- Yang, L.Q.; He, W.Y.; Gao, X.; Xie, S.X.; Yang, Z. Mesozoic multiple magmatism and porphyry–skarn Cu-polymetallic systems of the Yidun Terrane, Eastern Tethys: Implications for subduction-and transtension-related metallogeny. Gondwana Res. 2018, 62, 144–162. [Google Scholar] [CrossRef]
- Deng, J.; Wang, Q.F.; Li, G.J.; Santosh, M. Cenozoic tectono-magmatic and metallogenic processes in the Sanjiang region, southwestern China. Earth Sci. Rev. 2014, 138, 268–299. [Google Scholar] [CrossRef]
- Deng, J.; Liu, X.F.; Wang, Q.F.; Dilek, K.; Yang, L.Q. Isotopic characterization and petrogenetic modeling of early cretaceous mafic diking-lithospheric extension in the North China craton, eastern Asia. GSA Bull. 2017, 129, 1379–1407. [Google Scholar] [CrossRef]
- Deng, J.; Wang, Q.F.; Li, G.J. Tectonic evolution, superimposed orogeny, and composite metallogenic system in China. Gondwana Res. 2017, 50, 216–266. [Google Scholar] [CrossRef]
- Yang, L.Q.; Deng, J.; Qiu, K.F.; Ji, X.Z.; Santosh, M.; Song, K.R.; Song, Y.H.; Geng, J.Z.; Zhang, C.; Hua, B. Magma mixing and crust-mantle interaction in the Triassic monzogranites of Bikou Terrane, central China: Constraints from petrology, geochemistry, and zircon U-Pb-Hf isotopic systematics. J. Asian Earth Sci. 2015, 98, 320–341. [Google Scholar] [CrossRef]
- Tapponnier, P.; Lacassin, R.; Leloup, P.H.; Shharer, U.; Zhong, D.L.; Wu, H.X.; Liu, X.H.; Ji, S.C.; Zhang, L.S.; Zhong, J.Y. The Ailaoshan-Red River metamorphic belt: Tertiary left-lateral shear between Indochina and South China. Nature 1990, 343, 431–437. [Google Scholar] [CrossRef]
- Deng, J.; Yang, L.Q.; Li, R.H.; Groves, D.I.; Santosh, M.; Wang, Z.L.; Sai, S.X.; Wang, S.R. Regional structural control on the distribution of world-class gold deposits: An overview from the Giant Jiaodong Gold Province, China. Geol. J. 2018, 3. [Google Scholar] [CrossRef]
- Yang, L.Q.; Deng, J.; Wang, Z.L.; Zhang, L.; Aufarb, R.J.; Yuan, W.M.; Weinberg, R.F.; Zhang, R.Z. Thermochronologic constraints on evolution of the Linglong Metamorphic Core Complex and implications for Au mineralization: A case study from the Xiadian Au deposit, Jiaodong Peninsula, eastern China. Ore Geol. Rev. 2016, 72, 165–178. [Google Scholar] [CrossRef]
- Deng, J.; Wang, Q.F.; Li, G.J.; Li, C.S.; Wang, C.M. Tethys tectonic evolution and its bearing on the distribution of important mineral deposits in the Sanjiang region, SW China. Gondwana Res. 2014, 26, 419–437. [Google Scholar] [CrossRef]
- Deng, J.; Wang, C.M.; Li, G.J. Style and process of the superimposed mineralization in the Sanjiang Tethys. Acta Petrol. Sin. 2012, 28, 1349–1361. (In Chinese) [Google Scholar]
- Schmidt, M.W. Amphibole composition in tonalite as a function of pressure; an experimental calibration of the Al-in-hornblende barometer. Contrib. Mineral. Petrol. 1992, 110, 304–310. [Google Scholar] [CrossRef]
- Liu, Y.S.; Hu, Z.C.; Gao, S.; Günther, D.; Xu, J.; Gao, C.G.; Chen, H.H. In situ analysis of major and trace elements of anhydrous minerals by LA-ICP-MS without applying an internal standard. Chem. Geol. 2008, 257, 34–43. [Google Scholar] [CrossRef]
- Cherniak, D.J.; Watson, E.B.; Hanchar, J.M. Rare-earth diffusion in zircon. Chem. Geol. 1997, 134, 289–301. [Google Scholar] [CrossRef]
- Loader, M.A.; Wilkinson, J.J.; Armstrong, R.N. The effect of titanite crystallisation on Eu and Ce anomalies in zircon and its implications for the assessment of porphyry Cu deposit fertility. Earth Planet. Sci. Lett. 2017, 472, 107–119. [Google Scholar] [CrossRef]
- Watson, E.B.; Wark, D.A.; Thomas, J.B. Crystallization thermome-ters for zircon and rutile. Contrib. Mineral. Petrol. 2006, 151, 413–433. [Google Scholar] [CrossRef]
- Leake, B.E.; Woolley, A.R.; Arps, C.E.S.; Birch, W.D.; Gilbert, M.C.; Grice, J.D.; Hawthorne, F.C.; Kato, A.; Kisch, H.J.; Krivovichev, V.G.; et al. Nomenclature of amphiboles: Report of the subcommittee on amphiboles of the International Mineralogical Association Commission on New Minerals and Mineral Names. Can. Mineral. 1997, 35, 219–246. [Google Scholar]
- Ballard, J.R.; Palin, J.M.; Campbell, I.H. Relative oxidation states of magmas inferred from Ce(IV)/Ce(III) in zircon: Application to porphyry copper deposits of northern Chile. Contrib. Mineral. Petrol. 2002, 144, 347–364. [Google Scholar] [CrossRef]
- Qiu, J.T.; Yu, X.Q.; Santosh, M.; Zhang, D.H.; Chen, S.Q.; Li, P.J. Geochronology and magmatic fO2 of the Tongcun molybdenum deposit, northwest Zhejiang, SE China. Miner. Depos. 2013, 48, 545–556. [Google Scholar] [CrossRef]
- Burnham, C.W. Magmas and hydrothermal fluids. In Geochemistry of Hydrothermal Ore Deposits, 2nd ed.; Wiley: Hoboken, NJ, USA, 1979; pp. 71–136. [Google Scholar]
- Rohrlach, B.D.; Loucks, R.R.; Porter, T.M. Multi-million-year cyclic ramp-up of volatiles in a lower crustal magma reservoir trapped below the tampakan Cu-Au deposit by mio-pliocene crustal compression in the southern philippines. Super Porphyry Copp. Gold Depos. 2005, 2, 369–407. [Google Scholar]
- Whitney, J.A.; Naldrett, A.J. Ore deposition associated with magmas. Econ. Geol. 1989, 4, 250. [Google Scholar]
- Yang, L.Q.; Deng, J.; Dilek, Y.; Meng, J.Y.; Gao, X.; Santosh, M.; Wang, Da.; Yan, H. Melt source and evolution of I-type granitoids in the SE Tibetan Plateau: Late Cretaceous magmatism and mineralization driven by collision-induced transtensional tectonics. Lithos 2016, 245, 258–273. [Google Scholar] [CrossRef]
- Bell, A.S.; Simon, A.; Guillong, M. Gold solubility in oxidized and reduced, water-saturated mafic melt. Geochim. Cosmochim. Acta 2011, 75, 1718–1732. [Google Scholar] [CrossRef]
- Yang, L.Q.; Deng, J.; Wang, Z.L.; Guo, L.N.; Li, R.H.; Groves, D.I.; Danyushevsky, L.V.; Zhang, C.; Zheng, X.L.; Zhao, K. Relationships between Au and pyrite at the Xincheng Au deposit, Jiaodong Peninsula, China: Implications for Au source and deposition in a brittle epizonal environment. Econ. Geol. 2016, 111, 105–126. [Google Scholar] [CrossRef]
- Humphreys, M.C.; Brooker, R.A.; Fraser, D.G.; Burgisser, A.; Mangan, M.T.; McCammon, C. Coupled interactions between volatile activity and Fe oxidation state during arc crustal processes. J. Petrol. 2015, 56, 795–814. [Google Scholar] [CrossRef]







| Ore Deposits | Rock Type | Phenocrysts | Groundmass | Accessory |
|---|---|---|---|---|
| Wandongshan | Monzogranite porphyry | Kfs + Qtz + Pl + Bt + Amp | Pl + Qtz | Ap + Zrc + Ttn + Mag |
| Bailiancun | Monzogranite porphyry | Qtz + Kfs + Pl + Amp | Kfs + Qtz + Amp | Ap + Zrc |
| Amphibole Phenocryst | Zircon | |||||
|---|---|---|---|---|---|---|
| Magmatic Geochemistry | Pressure (MPa) | Water Content (wt %) | Oxidation State Index | |||
| ∆NNO | ∆FMQ | Ce4+/Ce3+ | δCe | |||
| Wandongshan | 31.5~68.6 | 3.05~4.11 | +1.62 | +3.5 | 12.1~144.6 | 9.25~203.83 |
| Bailiancun | 142.3~192.8 | 3.46~3.91 | +0.5 | +1.5 | 11.5~39.4 | 11.42~53.49 |
© 2018 by the authors. Licensee MDPI, Basel, Switzerland. This article is an open access article distributed under the terms and conditions of the Creative Commons Attribution (CC BY) license (http://creativecommons.org/licenses/by/4.0/).
Share and Cite
Bao, X.; Yang, L.; He, W.; Gao, X. Importance of Magmatic Water Content and Oxidation State for Porphyry-Style Au Mineralization: An Example from the Giant Beiya Au Deposit, SW China. Minerals 2018, 8, 441. https://doi.org/10.3390/min8100441
Bao X, Yang L, He W, Gao X. Importance of Magmatic Water Content and Oxidation State for Porphyry-Style Au Mineralization: An Example from the Giant Beiya Au Deposit, SW China. Minerals. 2018; 8(10):441. https://doi.org/10.3390/min8100441
Chicago/Turabian StyleBao, Xinshang, Liqiang Yang, Wenyan He, and Xue Gao. 2018. "Importance of Magmatic Water Content and Oxidation State for Porphyry-Style Au Mineralization: An Example from the Giant Beiya Au Deposit, SW China" Minerals 8, no. 10: 441. https://doi.org/10.3390/min8100441
APA StyleBao, X., Yang, L., He, W., & Gao, X. (2018). Importance of Magmatic Water Content and Oxidation State for Porphyry-Style Au Mineralization: An Example from the Giant Beiya Au Deposit, SW China. Minerals, 8(10), 441. https://doi.org/10.3390/min8100441
