Connecting the Morphological and Crystal Structural Changes during the Conversion of Lithium Hydroxide Monohydrate to Lithium Carbonate Using Multi-Scale X-ray Scattering Measurements
Abstract
:1. Introduction
2. Materials and Methods
3. Results and Discussion
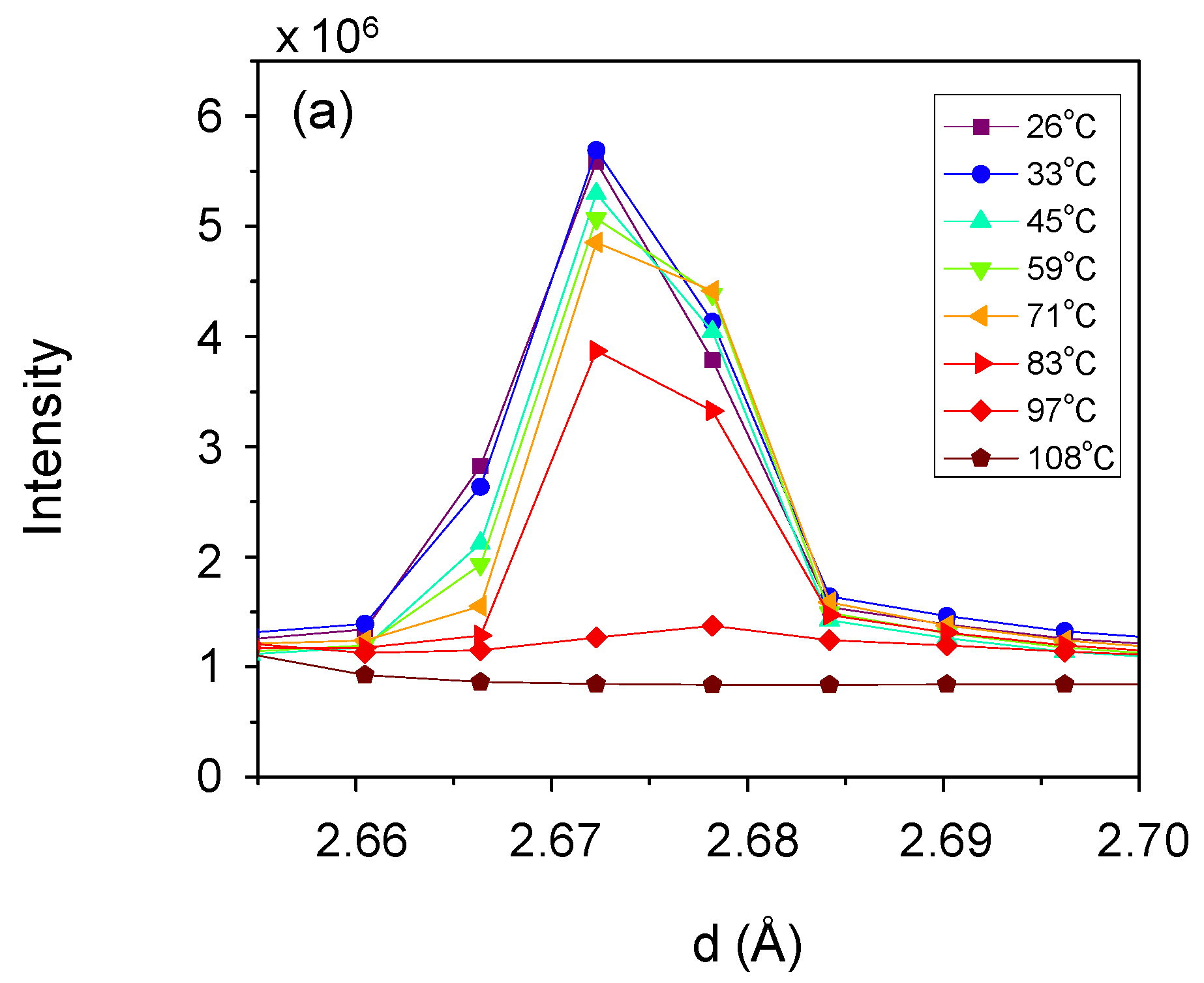
3.1. Structural Changes during the Carbonation of Lithium Hydroxide Monohydrate
3.2. Morphological Changes during the Carbonation of Lithium Hydroxide Monohydrate
3.2.1. Contrast Variation
3.2.2. USAXS and SAXS Data Interpretation Using the Unified Fit Model
3.2.3. Quantification of the Morphological Features from Unified Fit Analyses
4. Conclusions
Supplementary Materials
Acknowledgments
Conflicts of Interest
References
- Lackner, K.S.; Wendt, C.H.; Butt, D.P.; Joyce, E.L., Jr.; Sharp, D.H. Carbon dioxide disposal in carbonate minerals. Energy 1995, 20, 1153–1170. [Google Scholar] [CrossRef]
- Oelkers, E.H.; Gislason, S.R.; Matter, J. Mineral carbonation of CO2. Elements 2008, 4, 333–337. [Google Scholar] [CrossRef]
- Park, A.H.A.; Jadhav, R.; Fan, L.S. CO2 mineral sequestration: Chemically enhanced aqueous carbonation of serpentine. Can. J. Chem. Eng. 2003, 81, 885–890. [Google Scholar] [CrossRef]
- Park, A.H.A.; Fan, L.S. CO2 mineral sequestration: Physically activated dissolution of serpentine and pH swing process. Chem. Eng. Sci. 2004, 59, 5241–5247. [Google Scholar] [CrossRef]
- Gerdemann, S.J.; O’Connor, W.K.; Dahlin, D.C.; Penner, L.R.; Rush, H. Ex situ aqueous mineral carbonation. Environ. Sci. Technol. 2007, 41, 2587–2593. [Google Scholar] [CrossRef] [PubMed]
- Gadikota, G.; Park, A.H.A. Accelerated Carbonation of Ca- and Mg-Bearing Minerals and Industrial Wastes Using CO2. In Carbon Dioxide Utilization: Closing the Carbon Cycle; Styring, P., Quadrelli, A., Armstrong, K., Eds.; Elsevier: Oxford, UK, 2014. [Google Scholar]
- Gadikota, G.; Matter, J.; Kelemen, P.; Park, A.A. Chemical and morphological changes during olivine carbonation for CO2 storage in the presence of NaCl and NaHCO3. Phys. Chem. Chem. Phys. 2014, 16, 4679–4693. [Google Scholar] [CrossRef] [PubMed]
- Pan, S.-Y.; Chang, E.; Chiang, P.-C. CO2 Capture by Accelerated Carbonation of Alkaline Wastes: A Review on Its Principles and Applications. Aerosol Air Qual. Res. 2012, 12, 770–791. [Google Scholar] [CrossRef]
- Gadikota, G.; Swanson, E.J.; Zhao, H.; Park, A.H.A. Experimental design and data analysis for accurate estimation of reaction kinetics and conversion for carbon mineralization. Ind. Eng. Chem. Res. 2014, 53, 6664–6676. [Google Scholar] [CrossRef]
- Gadikota, G. Commentary: Ex Situ Aqueous Mineral Carbonation. Front. Energy Res. 2016, 4, 21. [Google Scholar] [CrossRef]
- Zhao, H.; Park, Y.; Lee, D.H.; Park, A.-H.A. Tuning the dissolution kinetics of wollastonite via chelating agents for CO2 sequestration with integrated synthesis of precipitated calcium carbonates. Phys. Chem. Chem. Phys. 2013, 15, 15185–15192. [Google Scholar] [CrossRef] [PubMed]
- O’Connor, W.K.; Dahlin, D.C.; Rush, G.E.; Gerdemann, S.J.; Nilsen, D.N. Final Report: Aqueous Mineral Carbonation: DOE/ARC-TR-04-002; National Energy Technology Laboratory: Albany, OR, USA, 2004. [Google Scholar]
- Matter, J.M.; Kelemen, P.B. Permanent storage of carbon dioxide in geological reservoirs by mineral carbonation. Nat. Geosci. 2009, 2, 837–841. [Google Scholar] [CrossRef]
- Kelemen, P.B.; Matter, J.; Streit, E.E.; Rudge, J.F.; Curry, W.B.; Blusztajn, J. Rates and mechanisms of mineral carbonation in peridotite: Natural processes and recipes for enhanced, in situ CO2 capture and storage. Annu. Rev. Earth Planet. Sci. 2011, 39, 545–576. [Google Scholar] [CrossRef]
- Gadikota, G.; Fricker, K.; Jang, S.-H.; Park, A.-H.A. Carbonation of Silicate Minerals and Industrial Wastes and Their Potential Use as. In Advances in CO2 Capture, Sequestration, and Conversion; Jin, F., He, L.-N., Hu, Y.H., Eds.; American Chemical Society: Washington, DC, USA, 2015; pp. 295–322. [Google Scholar]
- Contestabile, M.; Panero, S.; Scrosati, B. A laboratory-scale lithium battery recycling process. J. Power Sources 1999, 83, 75–78. [Google Scholar] [CrossRef]
- Granata, G.; Moscardini, E.; Pagnanelli, F.; Trabucco, F.; Toro, L. Product recovery from Li-ion battery wastes coming from an industrial pre-treatment plant: Lab scale tests and process simulations. J. Power Sources 2012, 206, 393–401. [Google Scholar] [CrossRef]
- Richa, K.; Babbitt, C.W.; Gaustad, G.; Wang, X. A future perspective on lithium-ion battery waste flows from electric vehicles. Resour. Conserv. Recycl. 2014, 83, 63–76. [Google Scholar] [CrossRef]
- Gaines, L. The future of automotive lithium-ion battery recycling: Charting a sustainable course. Sustain. Mater. Technol. 2014, 1, 2–7. [Google Scholar] [CrossRef]
- Nan, J.; Han, D.; Zuo, X. Recovery of metal values from spent lithium-ion batteries with chemical deposition and solvent extraction. J. Power Sources 2005, 152, 278–284. [Google Scholar] [CrossRef]
- Williams, D.D.; Miller, R.R. Effect of Water Vapor on the LiOH-CO2 Reaction. Dynamic Isothermal System. Ind. Eng. Chem. Fundam. 1970, 9, 454–457. [Google Scholar] [CrossRef]
- Boryta, D.A.; Maas, A.J. Factors Influencing Rate of Carbon Dioxide Reaction with Lithium Hydroxide. Ind. Eng. Chem. Process Des. Dev. 1971, 10, 489–494. [Google Scholar] [CrossRef]
- Wang, T.C.; Bricker, J.L. Combined temperature and water vapor effects on the lithium hydroxide-carbon dioxide reaction in underwater life support systems. Environ. Int. 1979, 2, 425–430. [Google Scholar] [CrossRef]
- Zho, Z.; Chashchin, V.A.; Vishnyakov, A.V. Carbonization kinetics of lithium hydroxide and its monohydrate. Theor. Found. Chem. Eng. 2007, 41, 577–584. [Google Scholar] [CrossRef]
- Noda, Y.; Koga, N. Phenomenological kinetics of the carbonation reaction of lithium hydroxide monohydrate: Role of surface product layer and possible existence of a liquid phase. J. Phys. Chem. C 2014, 118, 5424–5436. [Google Scholar] [CrossRef]
- Gadikota, G.; Zhang, F.; Allen, A.J. Towards understanding the microstructural and structural changes in natural hierarchical materials for energy recovery: In-operando multi-scale X-ray scattering characterization of Na- and Ca-montmorillonite on heating to 1150 °C. Fuel 2017, 196, 195–209. [Google Scholar] [CrossRef]
- Gadikota, G.; Allen, A.J. Microstructural and structural characterization of materials for CO2 storage using multi-scale scattering methods. In Materials and Processes for CO2 Capture, Conversion, and Sequestration; Li, L., Wong-Ng, W., Eds.; John Wiley & Sons: Hoboken, NJ, USA, 2017. [Google Scholar]
- Chupas, P.J.; Chapman, K.W.; Kurtz, C.; Hanson, J.C.; Lee, P.L.; Grey, C.P. A versatile sample-environment cell for non-ambient X-ray scattering experiments. J. Appl. Crystallogr. 2008, 41, 822–824. [Google Scholar] [CrossRef]
- Ilavsky, J.; Jemian, P.R.; Allen, A.J.; Zhang, F.; Levine, L.E.; Long, G.G. Ultra-small-angle X-ray scattering at the Advanced Photon Source. J. Appl. Crystallogr. 2009, 42, 469–479. [Google Scholar] [CrossRef]
- Ilavsky, J.; Zhang, F.; Allen, A.J.; Levine, L.E.; Jemian, P.R.; Long, G.G. Ultra-small-angle X-ray scattering instrument at the advanced photon source: History, recent development, and current status. Metall. Mater. Trans. A 2013, 44, 68–76. [Google Scholar] [CrossRef]
- Black, D.R.; Windover, D.; Henins, A.; Gil, D.; Filliben, J.; Cline, J.P. Certification of nist standard reference material 640d. Powder Diffr. 2010, 25, 187–190. [Google Scholar] [CrossRef]
- Ilavsky, J.; Jemian, P.R. Irena: Tool suite for modeling and analysis of small-angle scattering. J. Appl. Crystallogr. 2009, 42, 347–353. [Google Scholar] [CrossRef]
- Ilavsky, J. Nika: Software for two-dimensional data reduction. J. Appl. Crystallogr. 2012, 45, 324–328. [Google Scholar] [CrossRef]
- Beaucage, G. Small-Angle Scattering from Polymeric Mass Fractals of Arbitrary Mass-Fractal Dimension. J. Appl. Crystallogr. 1996, 29, 134–146. [Google Scholar] [CrossRef]
- Alcock, N.W. Refinement of the crystal structure of lithium hydroxide monohydrate. Acta Crystallogr. Sect. B Struct. Crystallogr. Cryst. Chem. 1971, 27, 1682–1683. [Google Scholar] [CrossRef]
- Dachs, H. Bestimmung der Lage des Wasserstoffs in LiOH durch Neutronenbeugung. Z. Krist. Mater. 1959, 112, 60–67. [Google Scholar] [CrossRef]
- Zemann, J. Die Kristallstruktur von Li2CO3. Acta Crystallogr. 1957, 10, 664–666. [Google Scholar] [CrossRef]
- Beaucage, G. Approximations leading to a unified exponential power-law approach to small-angle scattering. J. Appl. Crystallogr. 1995, 28, 717–728. [Google Scholar] [CrossRef]
- Glatter, O.; Kratky, O. Small Angle Scattering; Academic: New York, NY, USA, 1982. [Google Scholar]










© 2017 by the author. Licensee MDPI, Basel, Switzerland. This article is an open access article distributed under the terms and conditions of the Creative Commons Attribution (CC BY) license (http://creativecommons.org/licenses/by/4.0/).
Share and Cite
Gadikota, G. Connecting the Morphological and Crystal Structural Changes during the Conversion of Lithium Hydroxide Monohydrate to Lithium Carbonate Using Multi-Scale X-ray Scattering Measurements. Minerals 2017, 7, 169. https://doi.org/10.3390/min7090169
Gadikota G. Connecting the Morphological and Crystal Structural Changes during the Conversion of Lithium Hydroxide Monohydrate to Lithium Carbonate Using Multi-Scale X-ray Scattering Measurements. Minerals. 2017; 7(9):169. https://doi.org/10.3390/min7090169
Chicago/Turabian StyleGadikota, Greeshma. 2017. "Connecting the Morphological and Crystal Structural Changes during the Conversion of Lithium Hydroxide Monohydrate to Lithium Carbonate Using Multi-Scale X-ray Scattering Measurements" Minerals 7, no. 9: 169. https://doi.org/10.3390/min7090169
APA StyleGadikota, G. (2017). Connecting the Morphological and Crystal Structural Changes during the Conversion of Lithium Hydroxide Monohydrate to Lithium Carbonate Using Multi-Scale X-ray Scattering Measurements. Minerals, 7(9), 169. https://doi.org/10.3390/min7090169

