Predictive Modelling of Lithium Mineral Grades from Chemical Assays for Geometallurgical Applications
Abstract
1. Introduction
1.1. Background
1.2. Techniques for Quantification of Lithium Mineral Grades
2. Materials and Methods
2.1. Sample Description and Initial Sample Preparation
2.2. Analytical Techniques
2.3. Workflows for Predicting Mineral Grades
2.3.1. EMC Using the Mass Balance Approach
2.3.2. EMC Using the MLM Approach
2.4. Evaluation of Accuracy and Predictive Uncertainty
3. Results
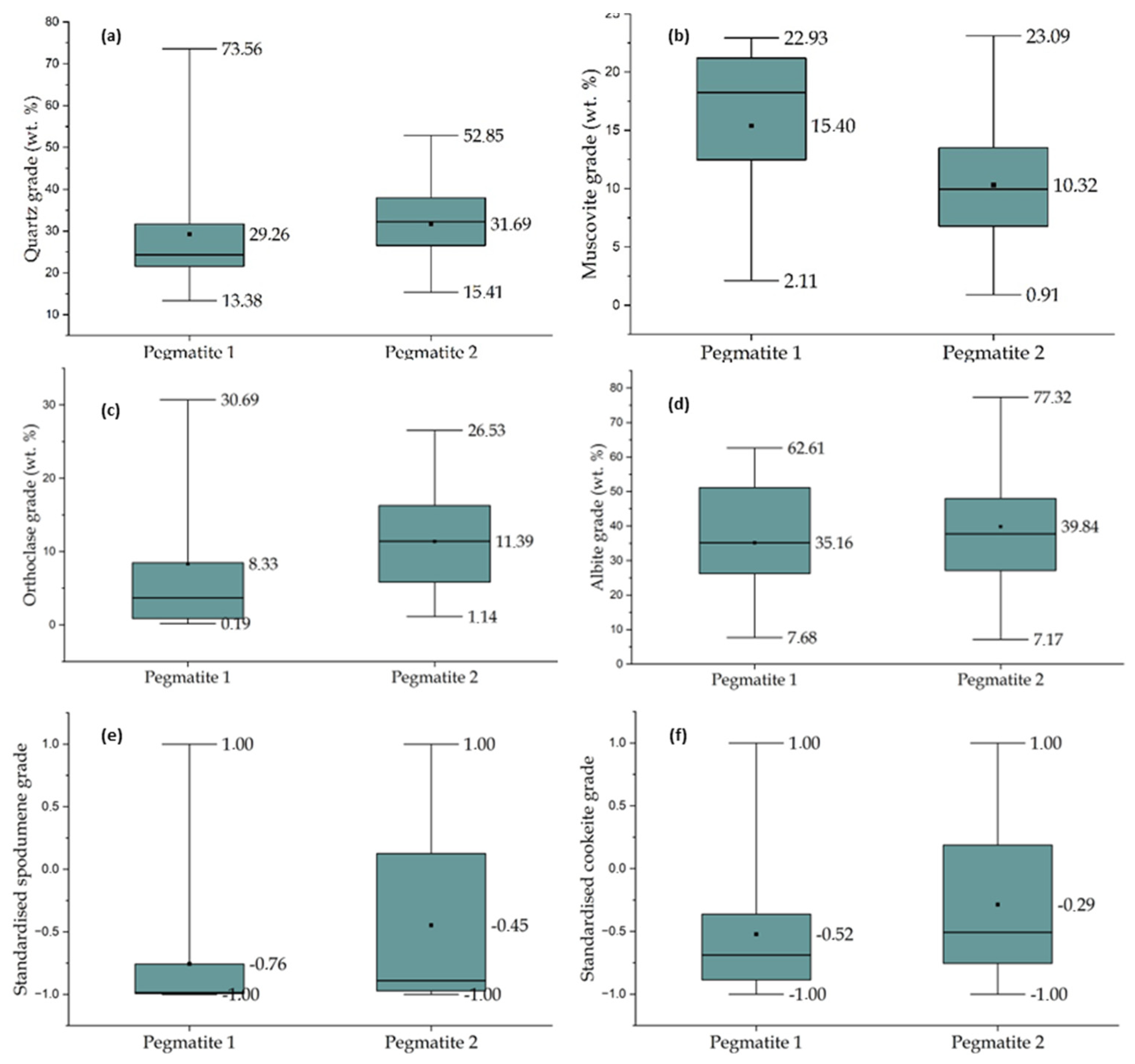
3.1. Characterisation of Lithium Pegmatites
3.1.1. Mineralogical and Textural Characteristics
3.1.2. Mineral Chemistry
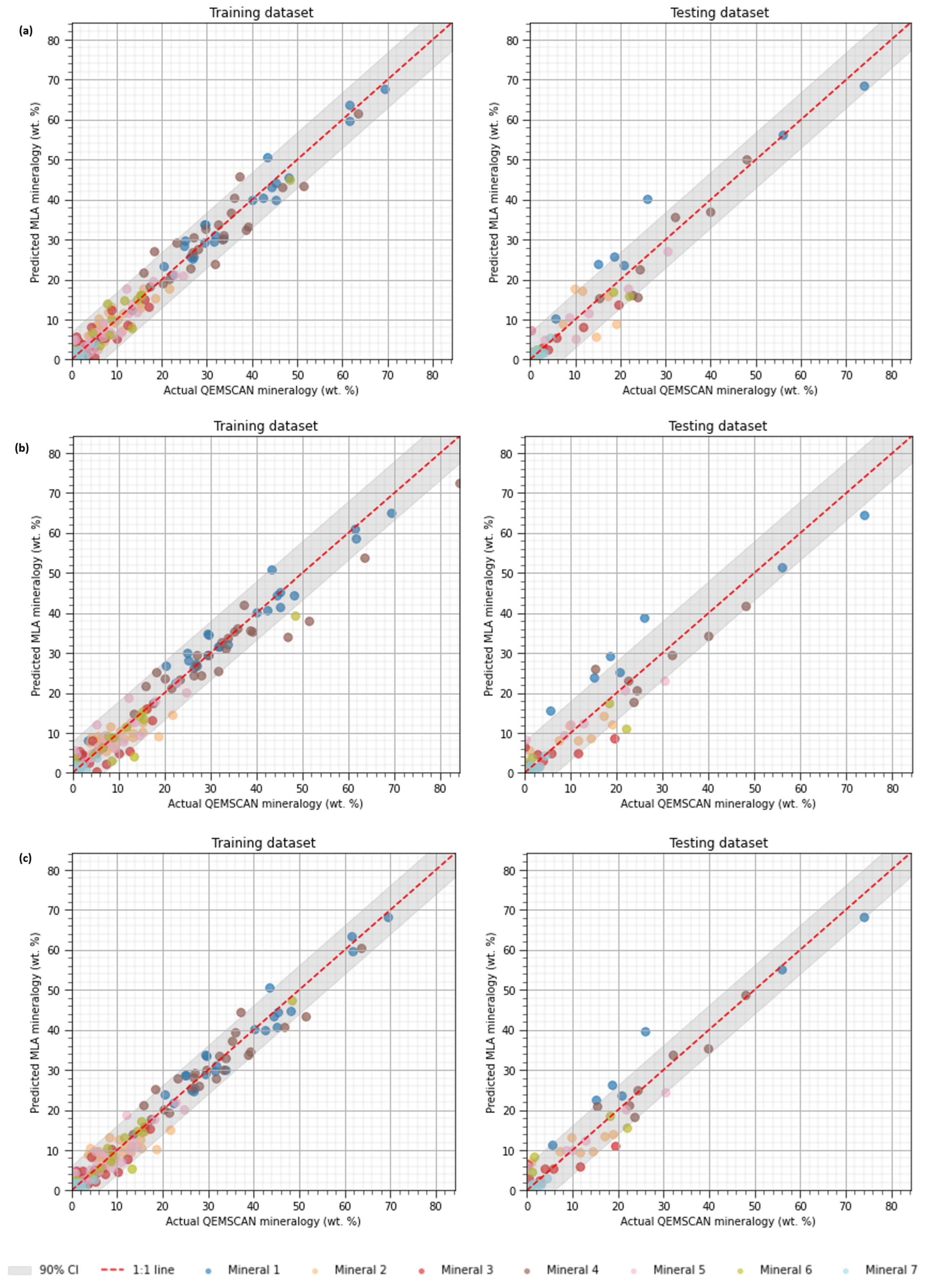
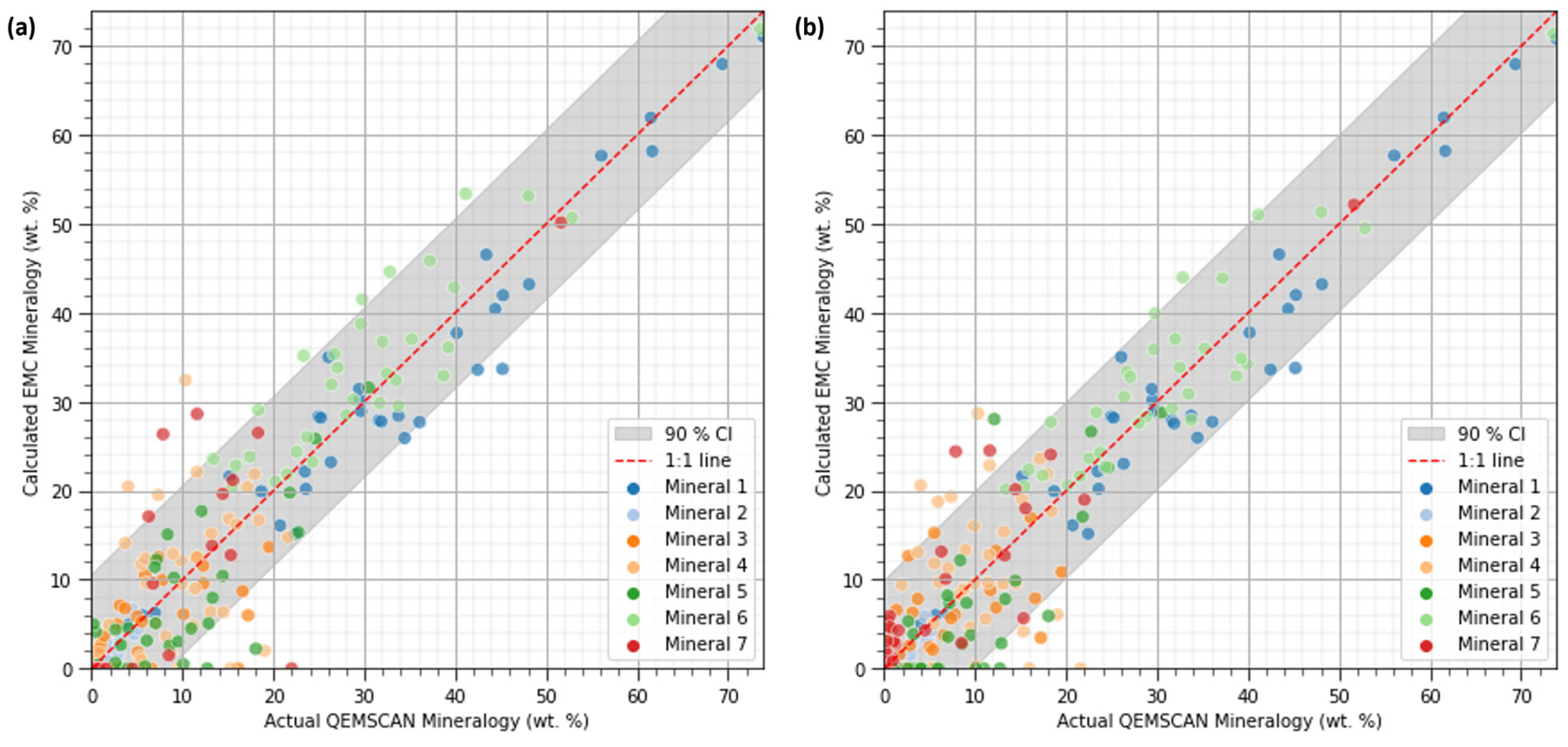
3.2. Prediction of Mineral Grades Using EMC
3.2.1. EMC Using the Mass Balance Approach
3.2.2. EMC Using the MLM Approach
4. Discussion
5. Conclusions and Recommendations
Supplementary Materials
Author Contributions
Funding
Data Availability Statement
Acknowledgments
Conflicts of Interest
Abbreviations
| AMICS | Automated Mineral Identification and Classification System |
| EDS | Energy dispersive x-ray spectroscopy |
| EMC | Element to mineral conversion |
| ICP-OES | Inductively Coupled Plasma Optical Emission Spectrometry |
| KNN | K nearest neighbour |
| LA-ICP-MS | Laser Ablation Inductively Coupled Plasma Mass Spectrometry |
| LCT | Lithium–caesium–tantalum |
| MAD | Median absolute error |
| MAE | Mean absolute error |
| MLA | Mineral Liberation Analysis |
| MLM | Machine learning methods |
| MLP | Multi-Layer Perceptron |
| QEMSCAN | Quantitative Evaluation of Minerals by Scanning Electron Microscopy |
| QXRD | Quantitative X-ray Diffraction |
| RMSE | Root mean squared error |
| SEM | Scanning electron microscopy |
| SVR | Support Vector Regression |
| TIMA-X | TESCAN Integrated Mineral Analyser |
| XRF | X-ray fluorescence |
References
- Crabtree, G. The Coming Electric Vehicle Transformation: A Future Electric Transportation Market Will Depend on Battery Innovation. Science 2019, 366, 422–424. [Google Scholar] [CrossRef]
- Masias, A.; Marcicki, J.; Paxton, W.A. Opportunities and Challenges of Lithium Ion Batteries in Automotive Applications. ACS Energy Lett. 2021, 6, 621–630. [Google Scholar] [CrossRef]
- Diouf, B.; Pode, R. Potential of Lithium-Ion Batteries in Renewable Energy. Renew. Energy 2015, 76, 375–380. [Google Scholar] [CrossRef]
- Demuesy, B. Development of a Process for the Recovery of Tin, Niobium and Tantalum from Unconventional Lithium Deposits: A Case Study on the Beauvoir Granite (Allier, France). Ph.D. Thesis, University of Lorraine, Nancy, France, 2025. [Google Scholar]
- Benson, T.R.; Coble, M.A.; Dilles, J.H. Hydrothermal Enrichment of Lithium in Intracaldera Illite-Bearing Claystones. Sci. Adv. 2023, 9, eadh8183. [Google Scholar] [CrossRef] [PubMed]
- Kavanagh, L.; Keohane, J.; Cabellos, G.G.; Lloyd, A.; Cleary, J. Global Lithium Sources-Industrial Use and Future in the Electric Vehicle Industry: A Review. Resources 2018, 7, 57. [Google Scholar] [CrossRef]
- Heredia, F.; Martinez, A.L.; Surraco Urtubey, V. The Importance of Lithium for Achieving a Low-Carbon Future: Overview of the Lithium Extraction in the ‘Lithium Triangle’. J. Energy Nat. Resour. Law 2020, 38, 213–236. [Google Scholar] [CrossRef]
- Goodenough, K.M.; Shaw, R.A.; Borst, A.M.; Nex, P.A.M.; Kinnaird, J.A.; van Lichtervelde, M.; Essaifi, A.; Koopmans, L.; Deady, E.A. Lithium Pegmatites in Africa: A Review. Econ. Geol. 2025, 120, 513–539. [Google Scholar] [CrossRef]
- Mudd, G.M. An Analysis of Historic Production Trends in Australian Base Metal Mining. Ore Geol. Rev. 2007, 32, 227–261. [Google Scholar] [CrossRef]
- Lishchuk, V.; Pettersson, M. The Mechanisms of Decision-Making When Applying Geometallurgical Approach to the Mining Industry. Miner. Econ. 2021, 34, 71–80. [Google Scholar] [CrossRef]
- Mu, Y.; Salas, J.C. Data-Driven Synthesis of a Geometallurgical Model for a Copper Deposit. Processes 2023, 11, 1775. [Google Scholar] [CrossRef]
- Dominy, S.C.; O’connor, L.; Parbhakar-Fox, A.; Glass, H.J.; Purevgerel, S. Geometallurgy—A Route to More Resilient Mine Operations. Minerals 2018, 8, 560. [Google Scholar] [CrossRef]
- Fandrich, R.; Gu, Y.; Burrows, D.; Moeller, K. Modern SEM-Based Mineral Liberation Analysis. Int. J. Min. Process. 2007, 84, 310–320. [Google Scholar] [CrossRef]
- Bicak, O. A Technique to Determine Ore Variability in a Sulphide Ore. Miner. Eng. 2019, 142, 105927. [Google Scholar] [CrossRef]
- Michaux, S.; O’connor, L. How to Set Up and Develop a Geometallurgical Program; Geological Survey of Finland: Espoo, Finland, 2020.
- Lotter, N.O.; Baum, W.; Reeves, S.; Arrué, C.; Bradshaw, D.J. The Business Value of Best Practice Process Mineralogy. Min. Eng. 2018, 116, 226–238. [Google Scholar] [CrossRef]
- da Silva, G.F.; Ferreira, M.V.; Costa, I.S.L.; Bernardes, R.B.; Mota, C.E.M.; Cuadros Jiménez, F.A. Qmin—A Machine Learning-Based Application for Processing and Analysis of Mineral Chemistry Data. Comput. Geosci. 2021, 157, 104949. [Google Scholar] [CrossRef]
- Ingersoll, R.V.; Bullard, T.F.; Ford, R.L.; Grimm, J.P.; Pickle, J.D.; Sares, S.W. The Effect of Grain Size on Detrital Models: A Test of the Gazz-Dickinson Point-Counting Method 1. J. Sediment. Petrol. 1984, 54, 103–116. [Google Scholar]
- Nirasawa, M.; Minato, Y.; Yagishita, K. Two Point-Counting Methods for Modal Analyses of Holocene Sands: Their Comparison and Evaluation. J. Sedimentol. Soc. Jpn. 1998, 48, 85–93. [Google Scholar] [CrossRef]
- Gottlieb, P.; Wilkie, G.; Sutherland, D.; Ho-Tun, E.; Suthers, S.; Perera, K.; Jenkins, B.; Spencer, S.; Butcher, A.; Rayner, J. Using Quantitative Electron Microscopy for Process Mineralogy Applications. J. Miner. Met. Mater. Soc. 2000, 52, 24–25. [Google Scholar] [CrossRef]
- Guanira, K.; Valente, T.M.; Ríos, C.A.; Castellanos, O.M.; Salazar, L.; Lattanzi, D.; Jaime, P. Methodological Approach for Mineralogical Characterization of Tailings from a Cu(Au,Ag) Skarn Type Deposit Using QEMSCAN (Quantitative Evaluation of Minerals by Scanning Electron Microscopy). J. Geochem. Explor. 2020, 209, 106439. [Google Scholar] [CrossRef]
- Pownceby, M.I.; MacRae, C.M.; Wilson, N.C. Mineral Characterisation by EPMA Mapping. Min. Eng. 2007, 20, 444–451. [Google Scholar] [CrossRef]
- Bunaciu, A.A.; Udriştioiu, E.G.; Aboul-Enein, H.Y. X-Ray Diffraction: Instrumentation and Applications. Crit. Rev. Anal. Chem. 2015, 45, 289–299. [Google Scholar] [CrossRef]
- Berry, R.; Hunt, J.; McKnight, S. Estimating Mineralogy in Bulk Samples. In Proceedings of the The First AUSIMM International Geometallurgy Conference, Brisbane, Australia, 5–7 September 2011. [Google Scholar]
- Mulwanda, J. Extraction of Lithium from Lepidolite and Spodumene. Ph.D. Thesis, Murdoch University, Murdoch, Australia, 2021. [Google Scholar]
- Fosu, A.Y.; Kanari, N.; Bartier, D.; Hodge, H.; Vaughan, J.; Chagnes, A. Physico-Chemical Characteristics of Spodumene Concentrate and Its Thermal Transformations. Materials 2021, 14, 7423. [Google Scholar] [CrossRef] [PubMed]
- Guimarães, D.; Monteiro, C.; Teixeira, J.; Lopes, T.; Capela, D.; Dias, F.; Lima, A.; Jorge, P.A.; Silva, N.A. Unsupervised and interpretable discrimination of lithium-bearing minerals with Raman spectroscopy imaging. Heliyon 2024, 10, e35632. [Google Scholar] [CrossRef] [PubMed]
- Perring, S.; Brand, N. Rapid Field Identification of LCT Pegmatite Mineralogy: Application of Portable Raman Spectroscopy. ASEG Ext. Abstr. 2019, 2019, 1–3. [Google Scholar] [CrossRef]
- Ding, X.; Li, J.; Chou, I.M.; Chen, Z.; Li, S. Raman Spectroscopic Identification of Cookeite in the Crystal-Rich Inclusions in Spodumene from the Jiajika Lithium Pegmatite Deposit, China, and Its Geological Implications. Eur. J. Mineral. 2020, 32, 67–75. [Google Scholar] [CrossRef]
- Sindern, S. Analysis of Rare Earth Elements in Rock and Mineral Samples by ICP-MS and LA-ICP-MS. Phys. Sci. Rev. 2017, 2, 20160066. [Google Scholar] [CrossRef]
- Lichtervelde, M.; Grégoire, M.; Linnen, R.L.; Béziat, D.; Salvi, S. Trace Element Geochemistry by Laser Ablation ICP-MS of Micas Associated with Ta Mineralization in the Tanco Pegmatite, Manitoba, Canada. Contrib. Mineral. Petrol. 2008, 155, 791–806. [Google Scholar] [CrossRef]
- Breiter, K.; Vaňková, M.; Galiová, M.V.; Korbelová, Z.; Kanický, V. Lithium and Trace-Element Concentrations in Trioctahedral Micas from Granites of Different Geochemical Types Measured via Laser Ablation ICP-MS. Mineral. Mag. 2017, 81, 15–33. [Google Scholar] [CrossRef]
- Whiten, B. Calculation of Mineral Composition from Chemical Assays. Miner. Process. Extr. Metall. Rev. 2008, 29, 83–97. [Google Scholar] [CrossRef]
- Silva, C.M.; Sørensen, B.E.; Aasly, K.; Ellefmo, S.L. Geometallurgical Approach to the Element-to-Mineral Conversion for the Nabbaren Nepheline Syenite Deposit. Minerals 2018, 8, 325. [Google Scholar] [CrossRef]
- Herrmann, W.; Berry, R.F. MINSQ-a Least Squares Spreadsheet Method for Calculating Mineral Proportions from Whole Rock Major Element Analyses. Geochem. Explor. Environ. Anal. 2002, 2, 361–368. [Google Scholar]
- Ji, S.; Huang, F.; Wang, S.; Gupta, P.; Seyfried, W.; Zhang, H.; Chu, X.; Cao, W.; Zhou, J.Z. Identifying Serpentine Minerals by Their Chemical Compositions with Machine Learning. Am. Mineral. 2024, 109, 315–324. [Google Scholar] [CrossRef]
- Kalashnikov, A.O.; Pakhomovsky, Y.A.; Bazai, A.V.; Mikhailova, J.A.; Konopleva, N.G. Rock-Chemistry-to-Mineral-Properties Conversion: Machine Learning Approach. Ore Geol. Rev. 2021, 136, 104292. [Google Scholar] [CrossRef]
- Wang, L.; Su, C.; Wang, L.Q.; Zhang Zhou, J.; Xia, Q.K.; Wang, Q.Y. Refined Estimation of Li in Mica by a Machine Learning Method. Am. Mineral. 2022, 107, 1034–1044. [Google Scholar] [CrossRef]
- Koch, P.H.; Lund, C.; Rosenkranz, J. Automated Drill Core Mineralogical Characterization Method for Texture Classification and Modal Mineralogy Estimation for Geometallurgy. Min. Eng. 2019, 136, 99–109. [Google Scholar] [CrossRef]
- Barker, R.D.; Barker, S.L.L.; Cracknell, M.J.; Stock, E.D.; Holmes, G. Quantitative Mineral Mapping of Drill Core Surfaces II: Long-Wave Infrared Mineral Characterization Using ΜXRF and Machine Learning. Econ. Geol. 2021, 116, 821–836. [Google Scholar] [CrossRef]
- Battalgazy, N.; Valenta, R.; Gow, P.; Spier, C.; Forbes, G. Addressing Geological Challenges in Mineral Resource Estimation: A Comparative Study of Deep Learning and Traditional Techniques. Minerals 2023, 13, 982. [Google Scholar] [CrossRef]
- Blannin, R.; Frenzel, M.; Gutzmer, J.; Dresden-Rossendorf, H.-Z. Predictive Modelling of Mineralogical and Textural Properties of Tailings Using Geochemical Data. In Proceedings of the 16th SGA Biennial Meeting, Rotorua, New Zealand, 28–31 May 2022. [Google Scholar]
- Price, W.; Molifie, A.; Pillay, K.; Moses, K.; Lipton, I.; Greenhill, P.; Torres, L.; Spathelf, P.; Becker, M. Modelling Sphalerite Mineral Chemistry—Towards a Geometallurgical Model for Gamsberg North. In Proceedings of the Geometallurgy Conference 2023, Stellenbosch, South Africa, 5–6 September; The Southern African Institute of Mining and Metallurgy: Stellebosch, South Africa, 2023. [Google Scholar]
- Mena Silva, C.A.; Ellefmo, S.L.; Sandøy, R.; Sørensen, B.E.; Aasly, K. A Neural Network Approach for Spatial Variation Assessment—A Nepheline Syenite Case Study. Miner. Eng. 2020, 149, 106178. [Google Scholar] [CrossRef]
- Fernández-Delgado, M.; Sirsat, M.S.; Cernadas, E.; Alawadi, S.; Barro, S.; Febrero-Bande, M. An Extensive Experimental Survey of Regression Methods. Neural Netw. 2019, 111, 11–34. [Google Scholar] [CrossRef]
- Jadhav, P.; Patil, V.; Gore, S. A Comparative Study of Linear Regression and Regression Tree. SSRN Electron. J. 2020. [Google Scholar] [CrossRef]
- Breiman, L. Random Forests. Mach. Learn. 2001, 45, 5–32. [Google Scholar] [CrossRef]
- Cao, J.; Kwong, S.; Wang, R. A Noise-Detection Based AdaBoost Algorithm for Mislabeled Data. Pattern Recognit. 2012, 45, 4451–4465. [Google Scholar] [CrossRef]
- Tsirikoglou, P.; Abraham, S.; Contino, F.; Lacor, C.; Ghorbaniasl, G. A Hyperparameters Selection Technique for Support Vector Regression Models. Appl. Soft Comput. J. 2017, 61, 139–148. [Google Scholar] [CrossRef]
- Sifaou, H.; Kammoun, A.; Alouini, M.-S. A Precise Performance Analysis of Support Vector Regression. In Proceedings of the The 38th International Conference on Machine Learning, Vienna, Austria, 18–24 July 2021. [Google Scholar]
- Song, Y.; Liang, J.; Lu, J.; Zhao, X. An Efficient Instance Selection Algorithm for k Nearest Neighbor Regression. Neurocomputing 2017, 251, 26–34. [Google Scholar] [CrossRef]
- Wang, Z.; Fan, F.; Si, Y. An Improved K-Nearest Neighbor Classifier Based on Z-Distance. In Proceedings of the 2023 IEEE International Conference on Sensors, Electronics and Computer Engineering, ICSECE 2023, Wuhan, China, 22–24 December 2023; Institute of Electrical and Electronics Engineers Inc.: Jinzhou, China, 2023. [Google Scholar]
- Cupido, I.; Burness, S.; Becker, M.; Nwaila, G. Predictive Modelling of Lithium Mineral Grades Using Data Analytics and Chemical Assay Data. In Proceedings of the MEI Process Mineralogy Conference, Cape Town, South Africa, 11–13 November 2024; Minerals Engineering International (MEI): Cape Town, South Africa, 2024. [Google Scholar]
- Efron, B. Bootstrap Methods: Another Look at the Jackknife. Ann. Stat. 1979, 7, 1–26. [Google Scholar] [CrossRef]
- London, D. Ore-Forming Processes within Granitic Pegmatites. Ore Geol. Rev. 2018, 101, 349–383. [Google Scholar] [CrossRef]
- Phelps-Barber, Z.; Trench, A.; Groves, D.I. Recent Pegmatite-Hosted Spodumene Discoveries in Western Australia: Insights for Lithium Exploration in Australia and Globally. Appl. Earth Sci. Trans. Inst. Min. Metall. 2022, 131, 100–113. [Google Scholar] [CrossRef]
- Shaw, R.A.; Goodenough, K.M.; Deady, E.; Nex, P.; Ruzvidzo, B.; Rushton, J.C.; Mounteney, I. The Magmatic-Hydrothermal Transition in Lithium Pegmatites: Petrographic and Geochemical Characteristics from the Kamativi Area, Zimbabwe. Can. Mineral. 2022, 60, 957–987. [Google Scholar] [CrossRef]
- Bobos, I.; Vieillard, P.; Charoy, B.; Noronha, F. Alteration of Spodumene to Cookeite and Its Pressure and Temperature Stability Conditions in Li-Bearing Aplite-Pegmatites from Northern Portugal. Clays Clay Min. 2007, 55, 295–310. [Google Scholar] [CrossRef]
- Charoy, B.; Lhote, F. The Crystal Chemistry of Spodumene in Some Granitic Aplite Pegmatite in Northern Portugal. Can. Mineral. 1992, 30, 639–651. [Google Scholar]
- Filip, J.; Novák, M.; Beran, A.; Zbořil, R. Crystal Chemistry and OH Defect Concentrations in Spodumene from Different Granitic Pegmatites. Phys. Chem. Min. 2006, 32, 733–746. [Google Scholar] [CrossRef]
- Wise, M.A.; Harmon, R.S.; Curry, A.; Jennings, M.; Grimac, Z.; Khashchevskaya, D. Handheld LIBS for Li Exploration: An Example from the Carolina Tin-Spodumene Belt, USA. Minerals 2022, 12, 77. [Google Scholar] [CrossRef]
- Harmon, R.S.; Wise, M.A.; Curry, A.C.; Mistele, J.S.; Mason, M.S.; Grimac, Z. Rapid analysis of muscovites on a lithium pegmatite prospect by handheld LIBS. Minerals 2023, 13, 697. [Google Scholar] [CrossRef]
- Halder, R.K.; Uddin, M.N.; Uddin, M.A.; Aryal, S.; Khraisat, A. Enhancing K-Nearest Neighbor Algorithm: A Comprehensive Review and Performance Analysis of Modifications. J. Big Data 2024, 11, 113. [Google Scholar] [CrossRef]
- Kundu, T.; Rath, S.S.; Das, S.K.; Parhi, P.K.; Angadi, S.I. Recovery of Lithium from Spodumene-Bearing Pegmatites: A Comprehensive Review on Geological Reserves, Beneficiation, and Extraction. Powder Technol. 2023, 415, 118142. [Google Scholar] [CrossRef]
- Han, D.; Peng, Z.; Song, E.; Shen, L. Leaching Behavior of Lithium-Rich Beneficiation Tailings in Caustic Solution. JOM 2022, 74, 1027–1034. [Google Scholar] [CrossRef]
- Zuo, R. Machine Learning of Mineralization-Related Geochemical Anomalies: A Review of Potential Methods. Nat. Resour. Res. 2017, 26, 457–464. [Google Scholar] [CrossRef]







| Type | Algorithm | Performance Characteristics | References |
|---|---|---|---|
| Parametric | Linear Regression | Assumes linear relationships between features and targets. Fast training, even on large datasets. | [45,46] |
| Non-Parametric | Tree-Based Methods (Random Forest, Extra Trees, Boosting (i.e., AdaBoost and Gradient Boosting) | Adapts well to non-linear relationships; works best with larger datasets. May overfit smaller datasets if not tuned. Moderate RMSE, especially on testing data. Tuning the number of trees, maximum depth, and minimum samples per leaf is critical to balance performance versus overfitting and computational cost. | [47,48] |
| Non-Parametric | Support Vector Regressor (SVR) | Flexible with kernel options (linear, RBF, poly); adjusts to both linear and complex patterns depending on kernel choice. Shows balanced performance with moderate test RMSE. Training can become slow with very large datasets, especially for non-linear kernels. Choice of kernel and hyperparameters greatly impact performance. | [49,50] |
| Non-Parametric | K-Nearest Neighbours (KNN) | Good for capturing non-linear relationships; sensitive to dataset size and may struggle with sparse data. Moderate to high RMSE on test due to sensitivity to noise. Minimal training time but can be slower at prediction (because it must search through the data at inference time). Sensitive to the choice of k (number of neighbours) and distance metric. KNN can overfit if k is too small. | [51,52] |
| Non-Parametric | Multi-Layer Perceptron (MLP) | Can capture both linear and non-linear relationships; performs well with sufficient data and careful tuning. Balanced training and testing performance with moderate RMSE. Computational demands can increase significantly with the number of hidden layers and neurons. | [44] |
| Routine 1 | Routine 2 | |||
|---|---|---|---|---|
| Round | Assigned Element | Mineral Calculated | Assigned Element | Mineral Calculated |
| 1 | P | Apatite | P | Apatite |
| 2 | Na | Albite | Na | Albite |
| 3 | Mg | Muscovite | Mg | Muscovite |
| 4 | K | Orthoclase | K | Orthoclase |
| 5 | Li | Spodumene | Al | Cookeite |
| 6 | Si | Quartz | Si | Quartz |
| Algorithm | Parameter Range |
|---|---|
| Linear Regression | fit_intercept: [True, False] |
| Random Forest | n_estimators: [100, 200, 500]; max_depth: [10, 20, None]; min_samples_split: [2, 5, 10]; min_samples_leaf: [1, 2, 4]; max_features: [‘sqrt’, ‘log2’]; bootstrap: [True, False] |
| Adaboost | n_estimators: [50, 100, 200, 500]; learning_rate: [0.001, 0.01, 0.1, 1, 10]; loss: [‘linear’, ‘square’, ‘exponential] |
| Extra Trees | n_estimators: [100, 200, 500]; max_depth: [10, 20, 30, None]; min_samples_split: [2, 5, 10]; min_samples_leaf: [1, 2, 4]; max_features: [‘sqrt’, ‘log2’]; bootstrap: [True, False] |
| Gradient Boosting | n_estimators: [100, 200, 500]; learning_rate: [0.001, 0.01, 0.1, 0.2, 1]; max_depth: [3, 5, 10, None]; min_samples_split: [2, 5, 10]; min_samples_leaf: [1, 2, 4] |
| SVR | kernel: [‘linear’, ‘rbf’, ‘poly’, ‘sigmoid’]; C: [0.1, 1, 10, 100]; gamma: [‘scale’, ‘auto’, 0.001, 0.01, 0.1] |
| KNN | n_neighbors: [1, 3, 5, 7, 10]; weights: [‘uniform’, ‘distance’]; algorithm: [‘auto’, ‘ball_tree’, ‘kd_tree’, ‘brute’]; p: [1, 2] |
| MLP | hidden_layer_sizes: [(50,), (100,), (50, 50), (100, 50, 50)]; activation: [‘tanh’, ‘relu’, ‘logistic’]; solver: [‘adam’, ‘sgd’]; alpha: [0.0001, 0.001, 0.01]; learning_rate: [‘constant’, ‘invscaling’, ‘adaptive’]; max_iter: [1000, 2000] |
| Mineral | No. of Analyses | SiO2 | Al2O3 | FeO | CaO | MgO | Na2O | K2O | Li2O | Total | |
|---|---|---|---|---|---|---|---|---|---|---|---|
| Spodumene | 27 | Ave. | 64.1 | 27.4 | 0.1 | - | - | - | - | 7.1 * | 98.6 |
| Std. dev. | 0.3 | 0.3 | 0.1 | - | - | - | - | 0.2 | |||
| Orthoclase | 8 | Ave. | 65.6 | 19.0 | - | - | - | 0.3 | 15.4 | - | 100.3 |
| Std. dev. | 1.2 | 0.7 | - | - | - | 0.4 | 0.5 | - | |||
| Muscovite | 62 | Ave. | 45.8 | 38.6 | 0.4 | 0.0 | 0.2 | 0.6 | 10.0 | - | 95.5 |
| Std. dev. | 2.3 | 1.9 | 0.2 | 0.0 | 0.5 | 0.2 | 0.6 | - | |||
| Cookeite | 7 | Ave. | 42.6 | 43.4 | 0.1 | 0.0 | 0.8 | 0.0 | 3.2 | 3.2 ** | 93.4 |
| Std. dev. | 1.8 | 1.9 | 0.1 | 0.0 | 0.2 | 0.0 | 0.1 | 0.2 | |||
| Albite | 27 | Ave. | 68.3 | 19.7 | - | - | - | 11.8 | 0.0 | - | 99.9 |
| Std. dev. | 1.9 | 0.9 | - | - | - | 0.7 | 0.1 | - |
| Mass Balance Calculation Routine | Error Metrics | Prediction Uncertainty | |||||
|---|---|---|---|---|---|---|---|
| RMSE | MAE | R2 | MAD | Percentage Data Within 90% CI (%) | Error (%) | Uncertainty Classification | |
| Routine 1 | 5.745 | 3.918 | 0.859 | 2.420 | 90.48 | 9.52 | Low |
| Routine 2 | 5.588 | 3.932 | 0.867 | 2.847 | 90.04 | 9.96 | |
| Machine Learning Algorithm | Training RMSE | Training MAE | Training R2 | Training MAD | Testing RMSE | Testing MAE | Testing R2 | Testing MAD |
|---|---|---|---|---|---|---|---|---|
| Linear regression | 2.601 | 2.094 | 0.804 | 1.770 | 4.206 | 3.425 | 0.612 | 2.967 |
| Random Forest | 2.923 | 1.825 | 0.835 | 1.196 | 5.815 | 4.518 | 0.481 | 3.564 |
| Adaboost | 1.053 | 0.766 | 0.974 | 0.632 | 5.811 | 4.476 | 0.425 | 3.743 |
| Extra Trees | 0.000 | 0.000 | 1.000 | 0.000 | 6.604 | 5.561 | 0.345 | 4.658 |
| Gradient Boosting | 0.048 | 0.025 | 1.000 | 0.013 | 4.998 | 3.913 | 0.536 | 2.714 |
| SVR | 3.087 | 2.052 | 0.754 | 1.286 | 4.913 | 4.035 | 0.618 | 3.538 |
| KNN | 4.829 | 3.601 | 0.541 | 2.717 | 6.184 | 5.268 | 0.376 | 4.677 |
| MLP | 2.576 | 2.000 | 0.762 | 1.561 | 3.916 | 3.152 | 0.691 | 2.309 |
| Machine Learning Algorithm | Percentage Testing Data Within 90% CI (%) | Testing Dataset Error (%) | Uncertainty Classification |
|---|---|---|---|
| Linear Regression | 81.6 | 18.4 | High |
| SVR | 81.6 | 18.4 | |
| MLP | 83.7 | 16.3 |
| EMC Approach | Percentage Data Within 90% CI (%) | Error (%) | R2 | RMSE | Uncertainty Classification | Mineral Resource Classification | Stage(s) of Mine Value Chain |
|---|---|---|---|---|---|---|---|
| EMC mass balance: Routine 1 | 90.48 | 9.52 | 0.859 | 5.745 | Low | Measured | Feasibility and operation |
| EMC mass balance: Routine 2 | 90.04 | 9.96 | 0.867 | 5.588 | Low | Measured | Feasibility and operation |
| MLM: Linear Regression | 81.6 | 18.4 | 0.612 | 4.206 | High | Inferred | Scoping and pre-feasibility |
| MLM: SVR | 81.6 | 18.4 | 0.618 | 4.913 | High | Inferred | Scoping and pre-feasibility |
| MLM: MLP | 83.7 | 16.3 | 0.691 | 3.916 | High | Inferred | Scoping and pre-feasibility |
Disclaimer/Publisher’s Note: The statements, opinions and data contained in all publications are solely those of the individual author(s) and contributor(s) and not of MDPI and/or the editor(s). MDPI and/or the editor(s) disclaim responsibility for any injury to people or property resulting from any ideas, methods, instructions or products referred to in the content. |
© 2026 by the authors. Licensee MDPI, Basel, Switzerland. This article is an open access article distributed under the terms and conditions of the Creative Commons Attribution (CC BY) license.
Share and Cite
Cupido, I.; Burness, S.; Becker, M.; Nwaila, G. Predictive Modelling of Lithium Mineral Grades from Chemical Assays for Geometallurgical Applications. Minerals 2026, 16, 139. https://doi.org/10.3390/min16020139
Cupido I, Burness S, Becker M, Nwaila G. Predictive Modelling of Lithium Mineral Grades from Chemical Assays for Geometallurgical Applications. Minerals. 2026; 16(2):139. https://doi.org/10.3390/min16020139
Chicago/Turabian StyleCupido, Ivana, Sara Burness, Megan Becker, and Glen Nwaila. 2026. "Predictive Modelling of Lithium Mineral Grades from Chemical Assays for Geometallurgical Applications" Minerals 16, no. 2: 139. https://doi.org/10.3390/min16020139
APA StyleCupido, I., Burness, S., Becker, M., & Nwaila, G. (2026). Predictive Modelling of Lithium Mineral Grades from Chemical Assays for Geometallurgical Applications. Minerals, 16(2), 139. https://doi.org/10.3390/min16020139

