Provenance Tracing of Uranium-Bearing Sandstone of Saihan Formation in Naomugeng Sag, Erlian Basin, China
Abstract
1. Introduction
2. Regional Geological Setting
3. Sample Collection and Testing
3.1. Sample Collection
3.2. Analytical Methods
3.2.1. Grain Size Analysis
3.2.2. Heavy Mineral Analysis
3.2.3. Detrital Zircon U-Pb Dating
3.2.4. Porosity and Permeability Detection
4. Test Results
4.1. Stratigraphy and Lithofacies Characteristics
4.2. Characteristics of Clastic Grain Size Parameters
4.2.1. Mean Grain Size
4.2.2. Standard Deviation
4.2.3. Skewness
4.2.4. Kurtosis
4.3. Characteristics of Heavy Mineral Assemblages
4.4. Detrital Zircon U-Pb Geochronology
4.4.1. Zircon Morphology and Genetic Types
4.4.2. Zircon Age Spectrum
5. Discussion
5.1. Sedimentary Environment and Transport Mechanisms
5.2. Tracing by Heavy-Mineral Assemblages and Diagnostic Indices
5.3. Zircon U–Pb Provenance Tracing
5.4. Uranium Mineralization Model
- (1)
- Sedimentary Pre-Concentration Stage
- (2)
- Redox Mineralization Stage
6. Conclusions
- (1)
- Grain-size analysis and sedimentary facies characterization indicate that the uranium-bearing sandstones of the Lower Member of the Saihan Formation are dominated by rolling–hopping components, with negligible suspended load, representing high-energy braided-channel deposits. The sand bodies reach thicknesses of 39.67–140.36 m, with an average sand content of 76.33%, porosity ranging from 24.44% to 28.97%, and permeability between 2.51 and 2.91 μm2, providing favorable pathways for uranium migration and ample reservoir space for subsequent enrichment.
- (2)
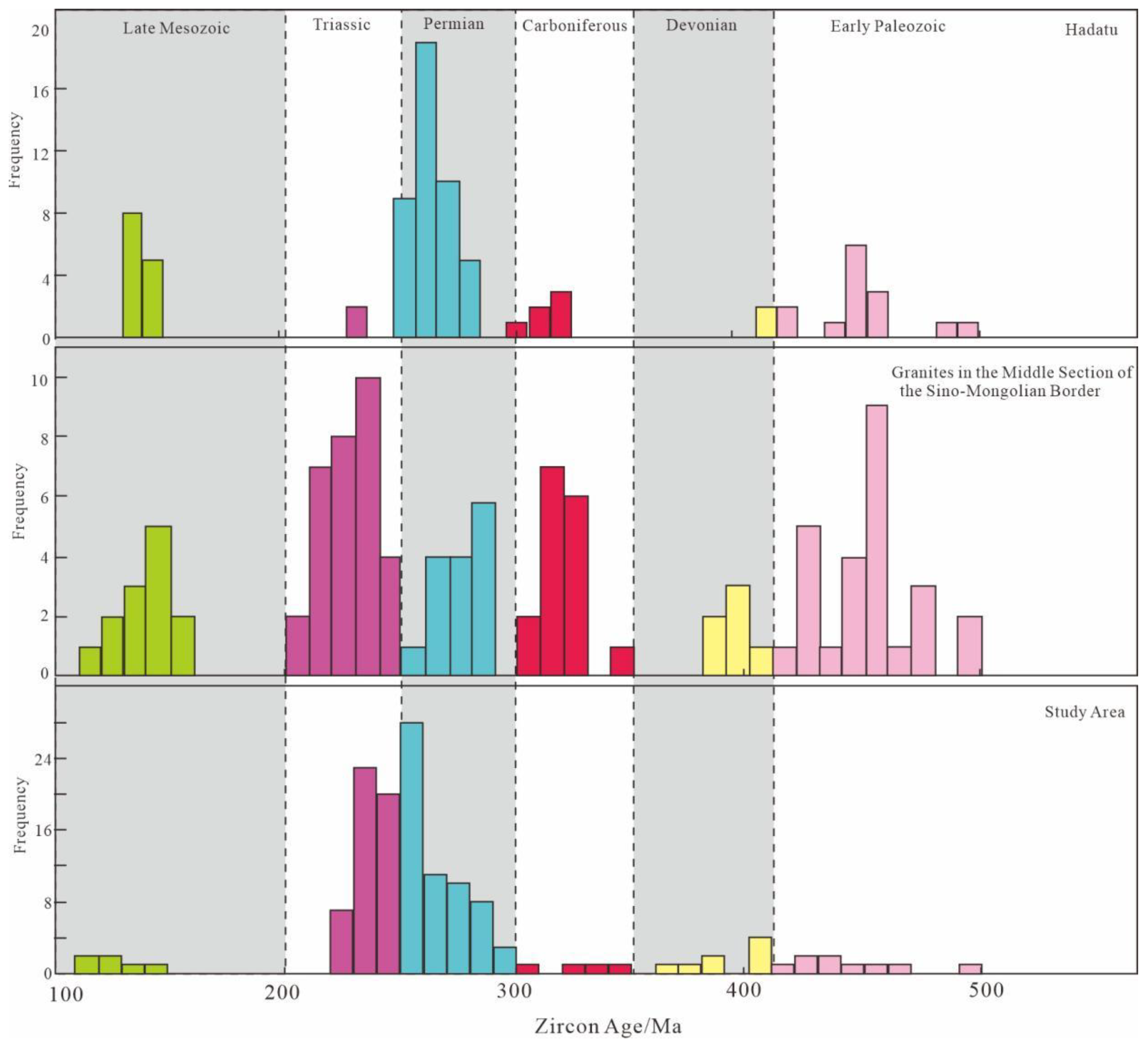
- Heavy mineral assemblages are dominated by zircon + limonite + ilmenite + garnet, indicating a mixed provenance of intermediate–acidic igneous and metamorphic rocks. Detrital zircon U–Pb age spectra show a main peak at 294–217 Ma (Early Permian–Late Triassic) and a subordinate peak at 146–112 Ma (Middle Jurassic–Early Cretaceous), which closely correspond to the ages of granitic plutons in the southern Sonid Uplift, confirming this uplift as the primary provenance area.
- (3)
- Zircons exhibit an average U content of 520.53 ppm and a Th/U ratio of 0.73. Combined with the uranium characteristics of regional plutons, this indicates that the uranium-rich bodies of the Sonid Uplift supplied significant amounts of uranium to the basin during the sedimentary stage, providing a critical uranium source for subsequent interlayer redox-controlled mineralization.
Supplementary Materials
Author Contributions
Funding
Data Availability Statement
Conflicts of Interest
References
- Jiao, Y.Q.; Wu, L.Q.; Rong, H.; Zhang, F. Review of Basin Uranium Resources in China. Earth Sci. 2021, 46, 2675–2696, (In Chinese with English Abstract). [Google Scholar]
- Jiao, Y.Q.; Wu, L.Q.; Rong, H.; Zhang, F.; Le, L.; Song, H.; Tao, Z.P.; Peng, H.; Sun, Y.H.; Xiang, Y. Sedimentation, Diagenesis and Uranium Mineralization: Innovative Discoveries and Cognitive Challenges in Study of Sandstone-Type Uranium Deposits in China. Earth Sci. 2022, 47, 3580–3602, (In Chinese with English Abstract). [Google Scholar]
- Xue, C.J.; Chi, G.X.; Xue, W. Interaction of two fluid systems in the formation of sandstone-hosted uranium deposits in the Ordos Basin: Geochemical evidence and hydrodynamic modeling. J. Geochem. Explor. 2009, 106, 226–235. [Google Scholar] [CrossRef]
- Yan, Z.B.; Zhang, W.W.; Xia, F.; Yin, S.; Fu, J.L.; Ning, J.; Zhang, X.N.; Zang, Y.H.; Duan, J.B. Uranium pre-concentration in sandstone-hosted U deposits: A case study from the Hailijin ore field, SW Songliao Basin, NE China. Ore Geol. Rev. 2023, 161, 105661. [Google Scholar] [CrossRef]
- Tong, Q.L.; Qin, M.K.; Ye, F.W. The Early Cretaceous hydrothermal sedimentation and its influence on sandstone-type uranium mineralization in the Xinniwusu Sag, Bayingobi Basin, NW China. Sediment. Geol. 2024, 462, 106588. [Google Scholar] [CrossRef]
- Yang, S.L.; Liu, X.Z.; Shan, Z.B.; Lei, A.G.; Liu, Y.; Wei, D.; Zhu, S.J.; Fu, Y.; Zhang, L. Occurrence State and Enrichment Mechanism of Rhenium in the Qianjiadian Uranium Deposit in the Southwestern Songliao Basin, Northeast China. Minerals 2024, 14, 67. [Google Scholar] [CrossRef]
- Huang, S.H.; Liu, Z.Y.; Qin, M.K.; Zhang, L.L.; Zhong, F.J.; Ning, J.; Liu, N.; He, Z.B.; Jiang, W.J. Magmatic-hydrothermal events and their implications for sandstone uranium mineralization in the Qianjiadian area, southwestern Songliao basin. Ore Geol. Rev. 2025, 184, 106756. [Google Scholar] [CrossRef]
- Rong, H.; Zhou, J.; Zhou, Y.; Zhang, Y.C.; Liu, M.; Chang, K.Y. Metallogenic constraints of sandstone-hosted uranium deposits in arid red beds: A case study from the northwestern Santanghu Basin. J. Geochem. Explor. 2026, 280, 107923. [Google Scholar] [CrossRef]
- Ding, B.; Liu, H.X.; Xu, D.R.; Qiu, L.F.; Zhang, Z.L.; He, F. Uranium metallogenic effect of hydrothermal fluid transformation in sandstone-type uranium deposits in Northern Ordos Basin: Constraints from the study of biotite chloritization process. Earth Sci. 2024, 49, 625–638, (In Chinese with English Abstract). [Google Scholar]
- Cheng, Y.H.; Jin, R.S.; Miao, P.S.; Wang, S.Y.; Teng, X.M. Two Metallogenic Models of Sedimentary-Hosted Uranium Deposit: Jingchuan and Tale Types. Earth Sci. 2025, 50, 46–57, (In Chinese with English Abstract). [Google Scholar]
- Cheng, Y.H.; Petrov, V.A.; Jin, R.S.; Miao, P.S. Neotectonic controls on large-scale uranium mineralization in the Meso-Cenozioc basins, Northern China. Ore Geol. Rev. 2025, 176, 106393. [Google Scholar] [CrossRef]
- Ding, B.; Liu, H.X.; Xu, D.R.; Qiu, L.F.; Liu, W.H. Mineralogical Evidence for Hydrothermal Uranium Mineralization: Discovery and Genesis of the Uranyl Carbonate Minerals in the BLS U Deposit, SW Songliao Basin, Northeast China. Minerals 2023, 13, 339. [Google Scholar] [CrossRef]
- Geng, Y.Y.; Liu, Z.Y.; He, Z.B.; Zhu, P.F.; Huang, S.H.; Ji, H.L. 3D Geological Modeling and Metallogenic Prediction of Kamust Sandstone-Type Uranium Deposit in the Eastern Junggar Basin, NW China. Minerals 2024, 14, 988. [Google Scholar] [CrossRef]
- Zhang, C.Y.; Xia, F.; Deng, W.; Liu, X.; Zhang, Q.X.; Shi, B.B.; Li, H.X.; Fu, Y.K. The migration pattern of oxidation fluids and its constraints on uranium mineralization in the Tamusu sandstone type uranium deposit of the Bayingobi Basin, China. Sediment. Geol. 2025, 478, 106823. [Google Scholar] [CrossRef]
- Tian, M.M.; Li, Z.Y.; Jia, L.C.; Liu, J.G.; Ning, J.; Li, J.M. Epigenetic Alteration of the Hailijin Sandstone-Hosted Uranium Deposit and Its Indications on Uranium Metallogenesis in the Songliao Basin, NE China. Minerals 2025, 15, 393. [Google Scholar] [CrossRef]
- Jin, R.S.; Liu, H.J.; Li, X.G. Theoretical System of Sandstone-Type Uranium Deposits in Northern China. J. Earth Sci. 2022, 33, 257–277. [Google Scholar] [CrossRef]
- Peng, H.; Jiao, Y.Q.; Rong, H.; Pang, B.; Lv, D.L.; Guo, X.D.; Wang, Q.S.; Yuwen, X.Y. Spatial-Temporal Coupling of Key Ore-Controlling Factors for Sandstone-Type Uranium Deposits in Tiefa Area, Songliao Basin. Earth Sci. 2024, 49, 3182–3198, (In Chinese with English Abstract). [Google Scholar]
- Cheng, Y.H.; Jin, R.S.; Cuney, M.; Petrov, V.A.; Miao, P.S. The strata constraint on large scale sandstone-type uranium mineraliiation in Mesco-Cenozoic basins, northern China. Acta Geol. Sin. 2024, 98, 1953–1976, (In Chinese with English Abstract). [Google Scholar]
- Kang, H.; Chen, Y.L.; Li, D.P.; Zhao, J.X.; Cui, F.R.; Xu, Y.L. Deep-penetrating geochemistry for concealed sandstone-type uranium deposits: A case study of Hadatu uranium deposit in the Erenhot Basin, North China. J. Geochem. Explor. 2020, 211, 106464. [Google Scholar] [CrossRef]
- Lu, M.; Ye, R.; Zhang, B.M. Source identification of the geochemical anomaly from the fine-grained soil survey in the Nuheting sandstone-type uranium deposit, Erlian Basin, North China. J. Geochem. Explor. 2021, 227, 106797. [Google Scholar] [CrossRef]
- Bonnetti, C.; Cuney, I.; Michels, R.; Truche, L.; Malartre, F.; Liu, X.D.; Yang, J.X. The Multiple Roles of Sulfate-Reducing Bacteria and Fe-Ti Oxides in the Genesis of the Bayinwula Roll Front-Type Uranium Deposit, Erlian Basin, NE China. Econ. Geol. 2015, 110, 1059–1081. [Google Scholar] [CrossRef]
- Yang, Y.; Song, Z.J.; Wang, G.; Lv, Y.H.; Li, T.Y.; Li, J.Y.; Gao, D.F. U-Pb chronology and Hf isotope characteristics of detrital zircons from sandstones of the Lower Cretaceous Saihan Formation within the Durimu area in the Tengger depression of the Erlian basin and their constraints to the uranium source. Bull. Mineral. Petrol. Geochem. 2023, 42, 1344–1358, (In Chinese with English Abstract). [Google Scholar]
- Chen, N.N.; Li, M.G.; Song, Z.J.; Guan, B.W.; Duan, J.B.; Li, X.D.; Liu, W.S.; Fan, P.F.; Liu, Y. Relationships between inverted structures and sandstone-hosted uranium deposits in the Tabei Sag, Erlian Basin. Geophys. Geochem. Explor. 2025, 49, 22–31, (In Chinese with English Abstract). [Google Scholar]
- Li, Z.; Yu, X.L.; Zhang, L.; Quan, H.Q.; Liu, X. Provenance characteristics of uranium-bearing sandstone in Saihan Formation of Naomugeng Sag, Erlian Basin. Geol. Rev. 2025, 71, 156–158, (In Chinese with English Abstract). [Google Scholar]
- Liu, Y.; Peng, H.; Luo, N.; Yu, X.L.; Li, M.; Ji, B. The Key Controlling Factors and Mechanisms for the Formation of Sandstone-Type Uranium Deposits in the Central Part of the Ulanqab Depression, Erlian Basin. Minerals 2025, 15, 688. [Google Scholar] [CrossRef]
- Jiao, Y.Q.; Wu, L.Q.; Peng, Y.B.; Rong, H.; Ji, D.M.; Miao, A.S.; Li, H.L. Sedimentary-tectonic setting of the deposition-type uranium deposits forming in the Paleo-Asian tectonic domain, North China. Earth Sci. Front. 2015, 22, 189–205, (In Chinese with English Abstract). [Google Scholar]
- Nie, F.J.; Xia, F.; Yan, Z.B.; Jiang, M.Z.; He, J.F.; Yang, D.G.; Feng, Z.B.; Zhang, C.Y.; Zhang, X.; Lv, Y.H.; et al. Study on Uranium Loss of Weijing Granite and Sandstone-type Uranium Mineralization in Erlian Basin. Acta Geosci. Sin. 2022, 43, 616–632, (In Chinese with English Abstract). [Google Scholar]
- Zhang, Y.Y.; Chen, Y.L.; Li, D.P.; Kang, H.; Fang, M.L.; Xu, Y.L. Tracing Sources of Geochemical Anomalies in a Deeply Buried Volcanic-Related Hydrothermal Uranium Deposit: The Daguanchang Deposit, Northern Hebei Province, North China Craton. J. Earth Sci. 2024, 35, 1186–1195. [Google Scholar] [CrossRef]
- Peng, H.; Jiao, Y.Q.; Fu, X.F.; Wu, L.Q.; Guo, X.D.; Wang, Q.S.; Liu, C. Provenance and uranium source tracing for uranium-bearing series in the south of Songliao Basin: Evidence from zircon U–Pb chronology and lithogeochemistry. J. Geochem. Explor. 2025, 272, 107703. [Google Scholar] [CrossRef]
- Huang, G.W.; Wu, D.H.; Huang, G.N.; Xue, W.W.; Min, Z.; Fan, P.F. Provenance of Jurassic Sediments from Yuqia Sandstone-Type Uranium Deposits in the Northern Margin of Qaidam Basin, China and Its Implications for Uranium Mineralization. Minerals 2022, 12, 82. [Google Scholar] [CrossRef]
- Zhou, Y.; Liu, Z.L.; Mänd, K.; Li, F.J.; Peng, N.; Kuang, H.W.; Liu, Y.Q.; Liu, Y.X.; Zhang, M.H. Geochemical characteristics of Jurassic sandstones on the southern margin of the Junggar Basin: Constraints on provenance and sandstone-type uranium mineralization. Ore Geol. Rev. 2022, 146, 104922. [Google Scholar] [CrossRef]
- Liu, Y.; Liu, H.; Jiao, Y.Q.; Zhao, J.H. Evolution and uranium mineralization of the northern Ordos Basin revealed by detrital zircons of the Jurassic strata. GSA Bull. 2025, 137, 575–593. [Google Scholar] [CrossRef]
- Liu, Y.; Huang, K.; Rong, H.; Sun, T.; Yin, Y.P. Relationship between provenance-deposition lobes and uranium mineralization: A case study from the northern Songliao basin. J. Geochem. Explor. 2026, 280, 107907. [Google Scholar] [CrossRef]
- Tao, R.; Song, Y.; Duan, L.; Li, M.T. Provenance analysis signposts for sedimentary uranium exploration in aeolian sandstone systems: Insights from the Luohe Formation, Western Ordos Basin. J. Geochem. Explor. 2025, 271, 107672. [Google Scholar] [CrossRef]
- Yu, R.A.; Li, T.; Zhu, Q.; Si, Q.H.; Tu, J.R.; Peng, S.L.; Tang, Y.X. Geochemistry and Detrital Zircon U-Pb Chronology of Late Mesozoic Strata in the Western Erlian Basin and Their Indication to Provenance and Uranium Metallization. J. Earth Sci. 2025, 36, 2058–2074. [Google Scholar] [CrossRef]
- Liu, J.L.; Liu, W.S.; Yu, H.; Zhang, Z.M. U-Pb Geochronology of Detrital Zircons From the Upper Member of Saihan Formation and its Geological Implications in Hadatu Area, Erlian Basin. Uranium Geol. 2020, 36, 14–19, (In Chinese with English Abstract). [Google Scholar]
- Yan, X.B.; Li, H.M.; Kang, S.H.; Zhang, F.; Du, P.F.; Peng, R.Q. Sediment Source Analysis for the Upper Member of Saihan Formation of Hadatu Uranium Deposit in the Erlian Basin. Uranium Geol. 2022, 38, 867–878, (In Chinese with English Abstract). [Google Scholar]
- Liu, H.J.; Xu, Z.L.; Tang, C.; Jin, R.S.; Duan, M.; Wei, J.L.; Zeng, H.; Zhang, C. Provenance Characteristics of Uranium-Bearing Sediments of Upper Saihan Formation and Its Implications for Sandstone-Type Uranium Mineralization in Manite Depression, Erlian Basin. Earth Sci. 2024, 49, 3589–3609, (In Chinese with English Abstract). [Google Scholar]
- Luo, N.; Chen, L.L.; Yu, R.A.; Li, J.M.; Zang, Y.L.; Yu, X.L.; Liu, Y. Metallogenic Geologic Condition of Beiciwa Sandstone-hosted Uranium Deposit in Naomugen Depression, Central Erlian Basin. J. Henan Polytech. Univ. (Nat. Sci.) 2025. (In Chinese with English Abstract). [Google Scholar] [CrossRef]
- Li, K.; Wang, Z.G.; Zhang, Z.C.; Tang, J.Z. Geochronology and geochemistry of Early Cretaceous volcanic rocks in the Erlian Basin, NE China: Implications for the late Mesozoic tectonic transformation of East Asia. Int. Geol. Rev. 2023, 65, 3500–3522. [Google Scholar] [CrossRef]
- Tang, J.Z.; Zhang, Z.C.; Allen, M.B.; Song, S.G.; Ding, C.; Li, K.; Chen, Y. Origin of Early Cretaceous mafic volcanic rocks from the Erlian Basin west of the Great Xing’an Range of North China: Implications for the tectono-magmatic evolution of East Asia. GSA Bull. 2023, 136, 3085–3102. [Google Scholar] [CrossRef]
- Xu, W.; Zhou, Y.S.; Zhang, J.; Li, Y. Thermo-tectonic evolution of the northern Erlian Basin (NE China): Evidence from fission track and (U–Th)/He thermochronology. J. Asian Earth Sci. 2023, 248, 105620. [Google Scholar] [CrossRef]
- Nie, F.J.; Yan, Z.B.; Feng, Z.B.; Li, M.G.; Xia, F.; Zhang, C.Y.; Wang, Y.G.; Yang, J.X.; Kang, S.H.; Shen, K.F. Genetic models and exploration implication of the paleochannel sandstone-type uranium deposits in the Erlian Basin, North China—A review and comparative study. Ore Geol. Rev. 2020, 127, 103821. [Google Scholar] [CrossRef]
- Folk, R.L.; Ward, W.C. Brazos river bar: A study in the signification of grain size paramenters. J. Sedim. Petrol. 1957, 27, 3–27. [Google Scholar] [CrossRef]
- Folk, R.L. A review of grain-size parameters. Sedimentology 1966, 6, 73–93. [Google Scholar] [CrossRef]
- Xiao, C.X.; Li, Z.Z. The Research Summary of Grain Size Analysis and its Application in the Sedimentation. J. Xinjiang Norm. Univ. (Nat. Sci. Ed.) 2006, 25, 118–123, (In Chinese with English Abstract). [Google Scholar]
- Pszonka, J.; Schulz, B.; Sala, D. Application of mineral liberation analysis (MLA) for investigations of grain size distribution in submarine density flow deposits. Mar. Pet. Geol. 2021, 129, 105109. [Google Scholar] [CrossRef]
- Liu, K.F.; Feng, C.R.; Xu, L.; Qi, X.P.; Cai, Z.F. Grain-size Characteristics and Sedimentary Environment Analysis of the Lower Member of the Anju’an Formation, A Copper-bearing Rock Series at the Shalu Copper Deposit, Wuhe, Xinjiang. Geoscience 2024, 38, 1134–1146, (In Chinese with English Abstract). [Google Scholar]
- Liu, H.J.; Jin, R.S.; Xiao, P.; Tang, C.; Xu, Z.L.; Li, J.G.; Wang, T.J.; Chen, L.L.; Wei, J.L. Grain-size characteristics of the Sifangtai Formation of uranium-bearing series in Guqia area, northern Songliao basin and its sedimentary environmental implications. Geol. Surv. Res. 2018, 41, 40–50, (In Chinese with English Abstract). [Google Scholar]
- Zhao, H.G.; Liu, C.Y. Approaches and Prospects of Provenance Analysis. Acta Sedimentol. Sin. 2003, 21, 409–415, (In Chinese with English Abstract). [Google Scholar]
- Yang, R.C.; Li, J.B.; Fan, A.P.; Zong, M.; Zhang, T. Research Progress and Development Tendency of Provenance Analysis on Terrigenous Sedimentary Rocks. Acta Sedimentol. Sin. 2013, 31, 99–107, (In Chinese with English Abstract). [Google Scholar]
- Liu, T.; Chen, G.; Xu, X.G.; Kang, Y.; Yan, F. Methods and Development Trend of Provenance Analysis. Northwestern Geol. 2016, 49, 121–128, (In Chinese with English Abstract). [Google Scholar]
- Yan, D.; Shen, T.Y.; Wang, G.C.; Ji, J.L. Sedimentary and Heavy Mineral Records for the Oligocene-Miocene Exhumation of the Easternmost Tianshan. J. Earth Sci. 2024, 35, 449–461. [Google Scholar]
- Fu, C.; Fan, X.; Li, S.L.; Li, S.L. Effect of the Tectonic Inversion on the Source-to-Sink System Evolution in a Lacustrine Rift Basin, a Case Study of South Yellow Sea Basin, East China. J. Earth Sci. 2025, 36, 562–583. [Google Scholar] [CrossRef]
- Zhang, A.M.; Ma, L.Y.; Li, H.D.; Asis, J.; Fang, X.D.; Fang, Q.; Chen, M.; Ren, M.; Dong, X.Y. Detrital Zircon U-Pb Dating and Hf Isotopes of the Crocker Fan Sandstones in Sabah, North Borneo: Constraints on Their Provenance and the Tectonic Evolution of Borneo. J. Earth Sci. 2025, 36, 894–909. [Google Scholar] [CrossRef]
- Xu, M.M.; Wei, X.C.; Yang, R.; Wang, P.; Cheng, X.G. Research Progress of Provenance Tracing Method for Heavy Mineral Analysis. Adv. Earth Sci. 2021, 36, 154–171, (In Chinese with English Abstract). [Google Scholar]
- Liu, J.Y.; Lin, C.S.; Li, S.T.; Cai, Z.Z.; Xia, S.Q.; Fu, C.; Liu, Y.Q. Detrital Zircon U-Pb Geochronology and Its Provenance Implications on Silurian Tarim Basin. J. Earth Sci. 2012, 23, 455–475+20–22. [Google Scholar] [CrossRef]
- Peng, H.; Xie, C.M.; Li, C.; Zhang, Z.Y. Provenance and palaeogeographic implications of detrital zircons from the lower Carboniferous Riwanchaka Formation of the central Tibetan Plateau. Geol. Mag. 2019, 156, 2031–2042. [Google Scholar] [CrossRef]
- Tong, Y.; Hong, D.W.; Wang, T.; Shi, X.J.; Zhang, J.J.; Zeng, T. Spatial and Temporal Distribution of Granitoids in the Middle Segment of the Sino-Mongolian Border and Its Tectonic and Metallogenic Implications. Acta Geosci. Sin. 2010, 31, 395–412, (In Chinese with English Abstract). [Google Scholar]
- Tao, J.X.; Hu, F.X.; Chen, Z.Y. Characteristics and tectonic setting of Indosinian S-type granites in the northern margin of North China landmass. Acta Petrol. Mineral. 2023, 22, 112–118, (In Chinese with English Abstract). [Google Scholar]
- Shi, Y.R.; Liu, D.Y.; Zhang, Q.; Jian, P.; Zhang, F.Q.; Miao, L.C.; Zhang, L.Q. SHRIMP U-Pb zircon dating of Triassic A-type granites in Sonid Zuoqi, central Inner Mongolia, China and its tectonic implications. Geol. Bull. China 2007, 26, 183–189, (In Chinese with English Abstract). [Google Scholar]
- Liu, C.F.; Zhou, Z.G.; Zhang, H.F.; Liu, W.C.; Zhang, L. Petrochemical characteristics and timing of wuertagalemiao granitoids, siziwangqi, Inner Mongolia. J. Mineral. Petrol. 2011, 31, 34–43, (In Chinese with English Abstract). [Google Scholar]
- Nie, F.J.; Xu, D.Q.; Jiang, S.H.; Hu, P. Zircon SHRIMP U-Pb Dating of K-Feldspar Granite Samples from the Aobaotu Granite Stock in the Su-Cha (Sumoqagan Obo) Fluorite Ore District, Inner Mongolia. Acta Geosci. Sin. 2009, 30, 803–811, (In Chinese with English Abstract). [Google Scholar]
- Chen, Z.G.; Zhang, L.C.; Wu, H.Y.; Zhou, X.H.; Liu, Q. Ar-Ar age, geochemistry and petrogenesis of Late Mesozoic volcanic rocks in the northern marginal region of Erlian basin, Inner-Mongolia. Acta Petrol. Sin. 2009, 25, 297–310, (In Chinese with English Abstract). [Google Scholar]
- Yu, R.A.; Wu, Z.J.; Sima, X.Z.; Han, X.Z.; Li, Z.N.; Wen, S.B.; Tu, J.R. Geochronology and Geological Significance of Sandstone Detrital Zircons from Saihantala Formation in Southern Manite Depression, Erlian Basin. Earth Science 2020, 45, 1609–1620, (In Chinese with English Abstract). [Google Scholar]
- Wu, Y.B.; Zheng, Y.F. Zircon Genetic Mineralogy and Its Constraints on U-Pb Age Interpretation. Chin. Sci. Bull. 2024, 49, 1589–1604, (In Chinese with English Abstract). [Google Scholar]
- Xia, Y.L.; Zheng, J.W.; Li, Z.Y.; Li, L.Q.; Tian, S.F. Metallogenic characteristics and metallogenic model of the Qianjiadian uranium deposit in the Songliao Basin. Miner. Depos. 2010, 29, 154–155, (In Chinese with English Abstract). [Google Scholar]
- Zhang, F.; Jiao, Y.Q.; Wu, L.Q.; Rong, H.; Wang, L.H.; Zhang, Z.C. In-situ analyses of organic matter maturation heterogeneity of uranium-bearing carbonaceous debris within sandstones: A case study from the Ordos Basin in China. Ore Geol. Rev. 2019, 107, 117–129. [Google Scholar] [CrossRef]
- Zhang, F.; Jiao, Y.Q.; Wu, L.Q.; Rong, H. Roles of dispersed organic matters in sandstone-type uranium mineralization: A review of geological and geochemical processes. Ore Geol. Rev. 2021, 139, 104485. [Google Scholar] [CrossRef]
- Zhang, F.; Jiao, Y.Q.; Liu, Y.; Wu, L.Q.; Rong, H. Relations between pyrite morphologies and uranium mineralization in the Shuanglong region, northern China. Ore Geol. Rev. 2022, 141, 104637. [Google Scholar] [CrossRef]
- Zhang, F.; Jiao, Y.Q.; Wu, L.Q.; Rong, H.; Wang, J.Y.; Zhang, C.C. Geochemical characteristics of uranium-rich dispersed organic matter and their geological significance for uranium mineralization: A case study from the Ordos Basin. J. Geochem. Explor. 2024, 264, 107528. [Google Scholar] [CrossRef]
- Yue, L.; Jiao, Y.Q.; Wu, L.Q.; Rong, H.; Fayek, M.; Xie, H.L. Evolution and origins of pyrite in sandstone-type uranium deposits, northern Ordos Basin, north-central China, based on micromorphological and compositional analysis. Ore Geol. Rev. 2020, 118, 103334. [Google Scholar] [CrossRef]
- Yue, L.; Jiao, Y.Q.; Fayek, M.; Wu, L.Q.; Rong, H. Micromorphologies and sulfur isotopic compositions of pyrite in sandstone-hosted uranium deposits: A review and implications for ore genesis. Ore Geol. Rev. 2021, 139, 104512. [Google Scholar] [CrossRef]
- Yue, L.; Jiao, Y.Q.; Fayek, M.; Wu, L.Q.; Rong, H.; Xie, H.L. Transformation of Fe-bearing minerals from Dongsheng sandstone-type uranium deposit, Ordos Basin, north-central China: Implications for ore genesis. Am. Mineral. 2022, 107, 1396–1409. [Google Scholar] [CrossRef]
- Yue, L.; Jiao, Y.Q.; Wu, L.Q.; Rong, H. Quantitative characterization on multistage formation of sedimentary pyrite driven by H2S derived from biogenic process in the northeastern Ordos Basin, China. Sediment. Geol. 2024, 473, 106768. [Google Scholar] [CrossRef]
- Lu, C. Study on the Basic Features of Fault-Depression Transition Phase and Structural Paleogeomorphology Model of Uranium Bearing Paleo-valley in Erlian Basin. Uranium Geol. 2025, 41, 537–550, (In Chinese with English Abstract). [Google Scholar]
- Cuney, M. Evolution of uranium fractionation processes through time: Driving the secular variation of uranium deposit types. Econ. Geol. 2010, 105, 553–569. [Google Scholar] [CrossRef]
- Wang, S.Y.; Cheng, Y.H.; Zeng, L.; Miao, P.S.; Jin, R.S.; Zhang, T.F.; Li, C.H.; Zhang, X.W. Thermal imprints of Cenozoic tectonic evolution in the Songliao Basin, NE China: Evidence from apatite fission-track (AFT) of CCSD-SK1 borehole. J. Asian Earth Sci. 2020, 195, 104353. [Google Scholar] [CrossRef]
- Wang, S.Y.; Cheng, Y.H.; Jin, R.S.; Miao, P.S.; Zhang, T.F.; Xu, Z.L.; Ao, C.; Teng, X.M.; Cheng, X.Y. Detrital zircon U-Pb ages of the cretaceous strata in the southern Songliao Basin, NE China: Constraints on basin-and-range evolution. Sediment. Geol. 2022, 433, 106133. [Google Scholar] [CrossRef]
- Cheng, Y.H.; Wang, S.Y.; Li, Y.; Ao, C.; Li, Y.F.; Li, J.G.; Li, H.L.; Zhang, T.F. Late Cretaceous–Cenozoic thermochronology in the southern Songliao Basin, NE China: New insights from apatite and zircon fission track analysis. J. Asian Earth Sci. 2018, 160, 95–106. [Google Scholar] [CrossRef]
- Cheng, Y.H.; Wang, S.Y.; Jin, R.S.; Li, J.G.; Ao, C.; Teng, X.M. Global miocene tectonics and regional sandstone-style uranium mineralization. Ore Geol. Rev. 2019, 106, 238–250. [Google Scholar] [CrossRef]
- Cheng, Y.H.; Wang, S.Y.; Zhang, T.F.; Teng, X.M.; Ao, C.; Jin, R.S.; Li, H.L. Regional sandstone-type uranium mineralization rooted in Oligo–Miocene tectonic inversion in the Songliao Basin, NE China. Gondwana Res. 2020, 88, 88–105. [Google Scholar] [CrossRef]
- Zhao, K.; Zhou, Y.P.; Chen, K.Y.; Bao, Z.A.; Zhang, Y.; An, F.; Wu, B.L.; Li, G.R.; Yuan, H.L. Compositions of in-situ trace elements, S and Pb isotopes of pyrite in Mengqiguer deposit, Yili basin, NW China:implications for uranium mineralization processes of sandstone − type uranium deposit. Ore Geol. Rev. 2025, 179, 106503. [Google Scholar] [CrossRef]
- Tang, C.; Xu, Z.; Duan, M.; Meng, L.; Liu, H.; Wei, J.; Zhang, C.; Zhao, L. Genetic Model of the Luhai Sandstone-Type Uranium Deposit in the Erlian Basin, Inner Mongolia. Minerals 2025, 15, 294. [Google Scholar] [CrossRef]
- Wu, C.H.; Rodríguez-López, J.P.; Santosh, M. Plateau archives of lithosphere dynamics, cryosphere and paleoclimate: The formation of Cretaceous desert basins in east Asia. Geosci. Front. 2022, 13, 101454. [Google Scholar] [CrossRef]
- Zhang, C. Episodic sandstone-type uranium mineralization in Asia during the Late Mesozoic-Cenozoic. Sci. China Earth Sci. 2023, 66, 2034–2044. [Google Scholar] [CrossRef]
- Xiao, J.; Qin, M.K.; Guo, Q.; Yan, Z.L.; Jia, L.C.; Liu, X.; Xing, Z.C. Red-colored uranium target horizon reclassification and its significance in Qianjiadian uranium deposit and surrounding areas. Earth Sci. 2024, 49, 1277–1291. [Google Scholar]
- Zhang, Y.C.; Rong, H.; Jiao, Y.Q.; Cao, M.Q.; Li, Q.C.; Guo, L.L.; Guo, C.Q.; Zhou, M.W. Occurrence State of Fe-Ti Oxides and Its Response to Uranium Mineralization Process in Interlayer Oxidation Zone of Qianjiadian Uranium Deposit. Earth Sci. 2024, 49, 2024–2043, (In Chinese with English Abstract). [Google Scholar]










| Sediment Type | Identification Formula | Identification Index |
|---|---|---|
| Eolian and beach | Y1 eolian: beach = −3.5688MZ + 3.7016σ2 − 2.0766SK + 3.1135KG | Eolian Y < −2.7411 |
| Beach Y > −2.7411 | ||
| Beach and shallow lake | Y2 beach: shallow lake = 15.6634MZ + 65.7091σ2 − 18.1071SK + 18.5043KG | Beach Y < 65.3650 |
| Shallow lake Y > 65.3650 | ||
| Shallow lake and alluviation | Y3 shallow lake: alluviation = 0.2852MZ − 8.7604σ2 − 4.8932SK + 0.0482KG | Shallow lake Y > −7.4190 |
| Alluviation Y < −7.4190 | ||
| Alluviation and turbidity current | Y4 alluviation: turbidity current = 0.7215MZ − 0.4030σ2 + 6.7322SK + 5.2927KG | Alluviation Y > 9.8433 |
| Turbidity current Y < 9.8433 |
| Serial Number | Geological Body | Dating Methods | Dating Results (Ma) | Data Source | Area |
|---|---|---|---|---|---|
| 1 | K-feldspar granite | U-Pb Isochron | 227–217 | Tao et al. (2003) [60] | Baiyun Obo-Siziwangqi area |
| 2 | Hornblende syenite | LA-ICP-MS | 271 | Liu et al. (2011) [62] | |
| 3 | Monzonitic granite | LA-ICP-MS | 256 | ||
| 4 | Syenite granite | LA-ICP-MS | 261 | ||
| 5 | Biotite quartz diorite | U-Pb Isochron | 277 | Tong et al. (2010) [59] | Sonid Right Banner-Shangdu area |
| 6 | Amphibolite biotite granodiorite | U-Pb Isochron | 262 | ||
| 7 | Monzonitic granite | U-Pb Isochron | 263 | ||
| 8 | K-feldspar granite | SHRIMP | 138 | Nie et al. (2009) [63] | Erenhot-Sonid Left Banner area |
| 9 | Granite and Monzonitic granite | SHRIMP | 222–204 | Shi et al. (2007) [61] | |
| 10 | Monzonitic granite | U-Pb Isochron | 217 | Tong et al. (2010) [59] | |
| 11 | Rhyolite | 40Ar/39Ar | 142 | Chen et al. (2009) [64] | |
| 12 | Basalt and Basaltic andesite | 40Ar/39Ar | 129 |
Disclaimer/Publisher’s Note: The statements, opinions and data contained in all publications are solely those of the individual author(s) and contributor(s) and not of MDPI and/or the editor(s). MDPI and/or the editor(s) disclaim responsibility for any injury to people or property resulting from any ideas, methods, instructions or products referred to in the content. |
© 2026 by the authors. Licensee MDPI, Basel, Switzerland. This article is an open access article distributed under the terms and conditions of the Creative Commons Attribution (CC BY) license.
Share and Cite
Zhang, C.; Li, Z.; Peng, H.; Wu, Y.; Luo, N.; Pang, K.; Qiu, Z.; Yu, X.; Quan, H.; Wang, M.; et al. Provenance Tracing of Uranium-Bearing Sandstone of Saihan Formation in Naomugeng Sag, Erlian Basin, China. Minerals 2026, 16, 76. https://doi.org/10.3390/min16010076
Zhang C, Li Z, Peng H, Wu Y, Luo N, Pang K, Qiu Z, Yu X, Quan H, Wang M, et al. Provenance Tracing of Uranium-Bearing Sandstone of Saihan Formation in Naomugeng Sag, Erlian Basin, China. Minerals. 2026; 16(1):76. https://doi.org/10.3390/min16010076
Chicago/Turabian StyleZhang, Caili, Zhao Li, Hu Peng, Yue Wu, Ning Luo, Kang Pang, Zhiwei Qiu, Xiaolin Yu, Haiqi Quan, Miao Wang, and et al. 2026. "Provenance Tracing of Uranium-Bearing Sandstone of Saihan Formation in Naomugeng Sag, Erlian Basin, China" Minerals 16, no. 1: 76. https://doi.org/10.3390/min16010076
APA StyleZhang, C., Li, Z., Peng, H., Wu, Y., Luo, N., Pang, K., Qiu, Z., Yu, X., Quan, H., Wang, M., Li, Q., Liu, Y., Zhuang, Y., & Jin, C. (2026). Provenance Tracing of Uranium-Bearing Sandstone of Saihan Formation in Naomugeng Sag, Erlian Basin, China. Minerals, 16(1), 76. https://doi.org/10.3390/min16010076

