Numerical Simulation of the Mineralization Process of the Axi Low-Sulfidation Epithermal Gold Deposit, Western Tianshan, China: Implications for Mineral Exploration
Abstract
1. Introduction
2. Geological Background
2.1. Regional Geology
2.2. Ore Deposit Geology
3. Methodology
3.1. Mathematical Model of Mineralization Rate
3.2. Numerical Simulation Workflow
3.3. Model Setup and Related Parameters
- ①
- The model is subjected to east–west (X-axis) extensional stress. At the top of the model, the extensional stress is set to 8.0 × 107 N/m2, and it decreases along the negative Z-axis at a gradient of 1.0 × 104 N/m2 per meter (Figure 7).
- ②
- Simultaneously, the model experiences north–south (Y-axis) compressive stress. At the top of the model, the compressive stress is set to 8.0 × 106 N/m2, and it decreases along the negative Z-axis at a gradient of 1 × 103 N/m2 per meter (Figure 7).
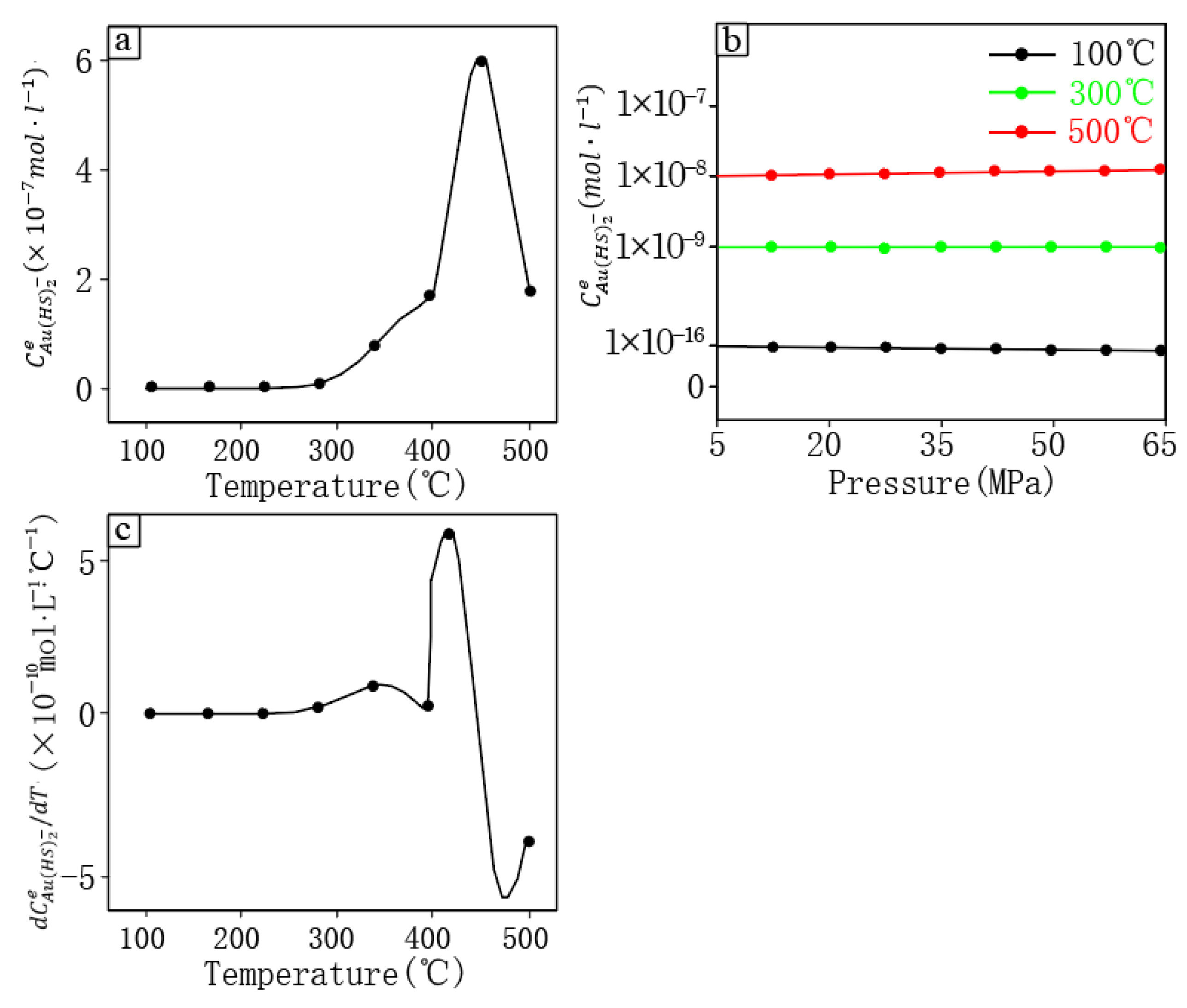
3.4. Chemical Reaction Equilibrium Concentrations of
4. Simulation Results and Discussion
4.1. Temperature Gradient
4.2. Metallogenic and Exploration Implications
5. Conclusions
- (1)
- Chemical reaction equilibrium concentrations of indicate that temperature gradients are crucial factors influencing the precipitation of ore-forming fluids, whereas pressure gradients play a negligible role.
- (2)
- The precipitation of mixing ore-forming fluids is preferentially localized in zones with sharp temperature gradients. Following the mixing of meteoric and magmatic fluids, pronounced temperature gradients are generated at locations with relatively large fault dips and gentle undulations. These gradients destabilize the complexes, thereby initiating efficient gold deposition.
- (3)
- The coupling of multiple physical–chemical processes at the same location of the fault is likely to be the key factor controlling the formation of the Axi gold deposit, as quantitatively expressed by the negative mineralization rate. Based on this metallogenic regularity, it is inferred that a potential mineralization zone has been delineated in the deep northern extension of the known ore bodies.
Author Contributions
Funding
Data Availability Statement
Acknowledgments
Conflicts of Interest
References
- Cao, W.; Liu, L.M.; Liu, H.S.; Lai, F. Investigating the Irregular Localization of Skarn Orebodies by Computational Modeling in the Fenghuangshan Ore Field, Tongling District, Anhui Province, China. Nat. Resour. Res. 2020, 29, 2967–2988. [Google Scholar] [CrossRef]
- Liu, X.C.; Xiao, C.H.; Zhang, S.H.; Chen, B. Numerical Modeling of Deformation at the Baiyun Gold Deposit, Northeastern China:Insights into the Structural Controls on Mineralization. J. Earth Sci. 2021, 32, 174–184. [Google Scholar] [CrossRef]
- Fan, X.; Hu, Z.W.; Xu, S.F.; Chen, C.; Yi, N. Numerical simulation study on ore-forming factors of the Gejiu ore deposit, China. Ore Geol. Rev. 2021, 135, 104209. [Google Scholar] [CrossRef]
- Xie, S.F.; Mao, X.C.; Liu, Z.K.; Deng, H.; Chen, J.; Xiao, K.Y. Determining the Paleostress Regime during the Mineralization Period in the Dayingezhuang Orogenic Gold Deposit, Jiaodong Peninsula, Eastern China: Insights from 3D Numerical Modeling. Minerals 2022, 12, 505. [Google Scholar] [CrossRef]
- Zhai, W.; Sun, X.M.; Gao, J.; He, X.P.; Liang, J.L.; Miao, L.C.; Wu, Y.L. SHRIMP dating of zircons from volcanic host rocks of Dahalajunshan formation in Axi gold deposit, Xinjiang, China, and its geological implication. Acta Petrol. Sin. 2006, 22, 1399–1404. [Google Scholar]
- Zhai, W.; Sun, X.M.; Sun, W.D.; Sun, W.D.; Su, L.W.; He, X.P.; Wu, Y.L. Geology, geochemistry, and genesis of Axi: A Paleozoic low-sulfidation type epithermal gold deposit in Xinjiang, China. Ore Geol. Rev. 2009, 36, 265–281. [Google Scholar] [CrossRef]
- Dong, L.H. The main alteration type of Axi gold deposit and its relationship to gold mineralization. Geol. Resour. 2001, 10, 129–132. [Google Scholar]
- Liu, H.L.; Dong, L.H. Geologic characteristics and preliminary study on genesis of Axi gold deposit. Xinjiang Geol. 1992, 10, 110–119. [Google Scholar]
- Zhai, W.; Sun, X.; Su, L. Axi gold deposit:A Paleozoic low-sulfidation type of epithermal gold deposit in Xin-jiang, China. Earth Sci. Front. 2010, 17, 266–285. [Google Scholar]
- Liu, Z.K.; Mao, X.C.; Deng, H.; Li, B.; Zhang, S.G. Hydrothermal processes at the Axi epithermal Au deposit, western Tianshan: Insights from geochemical effects of alteration, mineralization and trace elements in pyrite. Ore Geol. Rev. 2018, 102, 368–385. [Google Scholar] [CrossRef]
- Feng, J.; Wang, J.; Ouyang, Z. A discussion on gold mineralization styles of Axi Jingxi-Yelm end gold deposits in western Tianshan Xinjiang: Evidence from Fluid inchusions. J. Northwest Univ. 2007, 1, 99–102. [Google Scholar]
- Jia, B.; Wu, R.S.; Tian, C.L.; Sha, D.M. The characters of the mineralization fluid of Axi gold deposit in Xinjiang. Gold Geol. 2001, 1, 39–46. [Google Scholar]
- Zhang, D.Y.; Zhang, Z.C.; Encarnación, J.; Xue, C.J.; Duan, S.G.; Zhao, Z.D.; Liu, J.L. Petrogenesis of the Kekesai composite intrusion, western Tianshan, NW China: Implications for tectonic evolution during late Paleozoic time. Lithos 2012, 146–147, 65–79. [Google Scholar] [CrossRef]
- Phillips, O.M. Flow and Reactions in Permeable Rocks; Cambridge University Press: Cambridge, UK, 1991; pp. 1–36. [Google Scholar]
- Zhao, C.B.; Hobbs, B.E.; Ord, A. Modeling of mountain topography effects on hydrothermal Pb-Zn mineralization patterns: Generic model approach. J. Geochem. Explor. 2018, 190, 400–410. [Google Scholar] [CrossRef]
- Hu, X.Y.; Li, X.H.; Yuan, F.; Ord, A.; Jowitt, S.M.; Li, Y.; Dai, W.; Zhou, T. Numerical modeling of ore-forming processes within the Chating Cu-Au porphyry-type deposit, China: Implications for the longevity of hydrothermal systems and potential uses in mineral exploration. Ore Geol. Rev. 2020, 116, 103230. [Google Scholar] [CrossRef]
- Zhao, C.B.; Hobbs, B.E.; Ord, A. Simulating dual solutions of coupled pore-fluid flow and chemical dissolution problems in fluid-saturated heterogeneous porous media. Eng. Comput. 2023, 40, 973–996. [Google Scholar] [CrossRef]
- Shan, W.F.; Mao, X.C.; Liu, Z.K.; Deng, H.; Lei, T.; Wang, D.T.; Pan, Y.; Liu, Y. Computational simulation of the ore-forming processes associated with the Sanshandao-Haiyu gold belt, Jiaodong Peninsula, eastern China: Implications for the duration of ore formation. Front. Earth Sci. 2023, 11, 1154945. [Google Scholar] [CrossRef]
- Zhao, C.B.; Hobbs, B.E.; Ord, A. Convective and Advective Heat Transfer in Geological Systems; Springer: Berlin/Heidelberg, Germany, 2008. [Google Scholar]
- Nield, D.A.; Bejan, A. Convection in Porous Media; Springer: New York, NY, USA, 2013; pp. 1–988. [Google Scholar]
- Zhao, C.B.; Hbbs, B.E.; Alt-Epping, P. Modelling of ore-forming and geoenvironmental systems: Roles of fluid flow and chemical reaction processes. J. Geochem. Explor. 2014, 144, 3–11. [Google Scholar] [CrossRef]
- Zhao, C.B. Advances in numerical algorithms and methods in computational geosciences with modeling characteristics of multiple physical and chemical processes. Sci. China Technol. Sci. 2015, 58, 783–789. [Google Scholar] [CrossRef]
- Lin, Y.; Gao, F.; Zhou, K.P.; Gao, R.; Guo, H.Q. Mechanical properties and statistical damage constitutive model of rock under a coupled chemical-mechanical condition. Geofluids 2019, 2019, 7349584. [Google Scholar] [CrossRef]
- Zhao, C.B.; Hobbs, B.E.; Ord, A. An accurate porosity-velocity-concentration approach for solving reactive mass transport problems involving chemical dissolution in fluid-saturated porous media with arbitrarily initial porosity distributions. Int. J. Numer. Methods Eng. 2021, 122, 7354–7377. [Google Scholar] [CrossRef]
- Zhao, C.B.; Hobbs, B.E.; Ord, A. Two different mathematical schemes for solving chemical dissolution-front instability problems in fluid-saturated rocks. Sci. China Technol. Sci. 2022, 65, 147–156. [Google Scholar] [CrossRef]
- Zhao, C.B.; Hobbs, B.E.; Ord, A. Semi-analytical finite element method for simulating chemical dissolution-front instability problems in fluid-saturated porous media. Eng. Comput. 2022, 39, 1781–1801. [Google Scholar] [CrossRef]
- Prakash, R.; Nguene, P.C.K.; Noshadravan, A.; Abedi, S. Chemical reactions of carbonate-rich mudstones with aqueous CO2 and their impacts on rock’s local microstructural and chemo-mechanical properties. J. Nat. Gas Sci. Eng. 2022, 103, 104587. [Google Scholar] [CrossRef]
- Zhao, C.B.; Lin, G.; Hobbs, B.E.; Wang, Y.; Mühlhaus, H.B.; Ord, A. Finite element modelling of reactive fluids mixing and mineralization in pore-fluid saturated hydrothermal/sedimentary basins. Eng. Comput. 2002, 19, 364–387. [Google Scholar] [CrossRef]
- Liu, Y.; Dai, T.G. Numerical modeling of pore-fluid flow and heat transfer in the Fushan iron ore district, Hebei, China: Implications for hydrothermal mineralization. J. Geochem. Explor. 2014, 144, 115–127. [Google Scholar] [CrossRef]
- Liu, Y.; Dai, T.G.; Xia, S.H.; Tian, H.L. Computational simulation of iron ore-forming processes in the Caiyuanzi siderite ore district, Guizhou, China. J. Geochem. Explor. 2015, 158, 155–167. [Google Scholar] [CrossRef]
- Zou, Y.H.; Liu, Y.; Dai, T.G.; Mao, X.C.; Lei, Y.B.; Lai, J.Q.; Tian, H.L. Finite difference modeling of metallogenic processes in the Hutouya Pb-Zn deposit, Qinghai, China: Implications for hydrothermal mineralization. Ore Geol. Rev. 2017, 91, 463–476. [Google Scholar] [CrossRef]
- Itasca. FLAC3D 5.0 (Fast Lagrangian Analysis of Continua in 3 Dimensions) Manual; Itasca Consulting Group Inc.: Minneapolis, MN, USA, 2012. [Google Scholar]
- An, F.; Zhu, Y.F.; Wei, S.N.; Lai, S.C. An early Devonian to early Carboniferous volcanic arc in North Tianshan, NW China: Geochronological and geochemical evidence from volcanic rocks. J. Asian Earth Sci. 2013, 78, 100–113. [Google Scholar] [CrossRef]
- Dong, L.L.; Wan, B.; Deng, C.; Cai, K.D.; Xiao, W.J. An early Permian epithermal gold system in the Tulasu Basin in North Xinjiang, NW China: Constraints from in situ oxygen-sulfur isotopes and geochronology. J. Asian Earth Sci. 2018, 153, 412–424. [Google Scholar] [CrossRef]
- Chen, Y.J.; Pirajno, F.; Wu, G.; Qi, J.P.; Xiong, X.L. Epithermal deposits in North Xinjiang, NW China. Int. J. Earth Sci. 2012, 101, 889–917. [Google Scholar] [CrossRef]
- Gu, X.X.; Dong, L.H.; Peng, Y.W.; Wang, X.L.; Zhu, B.Y. Formation and evolution of the epithermal-porphyry Au polymetallic mineralization system in the Tulasu volcanic basin of the West Tianshan, Xinjiang. Acta Petrol. Sin. 2016, 32, 1283–1300. [Google Scholar]
- Benning, L.G.; Seward, T.M. Hydrosulphide complexing of Au(I) in hydrothermal solutions from 150–400 °C and 500–1500 bar. Geochim. Cosmochim. Acta 1996, 60, 1849–1871. [Google Scholar] [CrossRef]
- Williams-Jones, A.E.; Bowell, R.J.; Migdisov, A.A. Gold in Solution. Elements 2009, 5, 281–287. [Google Scholar] [CrossRef]
- Fan, X.L.; Huang, W.; Yuan, E.Q. Processes of gold enrichment in Axi region of western Tianshan. Xinjiang Geol. 2002, 3, 224–228. [Google Scholar]
- An, F.; Zhu, Y. Geology and geochemistry of the early Permian Axi low-sulfidation epithermal gold deposit in North Tianshan (NW China). Ore Geol. Rev. 2018, 100, 12–30. [Google Scholar] [CrossRef]
- Peng, Y.W.; Gu, X.X.; Cheng, W.B.; Zhao, X.B.; Wang, G.N.; Lu, L.T. Metallogenesis of the Late Palaeozoic Axi–Tawuerbieke Au–Pb–Zn district in the Tulasu Basin, Western Tianshan, China: Constraints from geological characteristics and isotope geochemistry. Geol. J. 2018, 53, 3030–3050. [Google Scholar] [CrossRef]
- Large, R.R.; Maslennikov, V.V.; Robert, F.; Danyushevsky, L.V.; Chang, Z.S. Multistage Sedimentary and Metamorphic Origin of Pyrite and Gold in the Giant Sukhoi Log Deposit, Lena Gold Province, Russia. Econ. Geol. 2007, 102, 1233–1267. [Google Scholar] [CrossRef]
- Liu, L.M.; Li, J.F.; Zhou, R.C.; Sun, T. 3D modeling of the porphyry-related Dawangding gold deposit in South China: Implications for ore genesis and resources evaluation. J. Geochem. Explor. 2016, 164, 164–185. [Google Scholar] [CrossRef]
- Hu, X.Y.; Jowitt, S.; Yuan, F.; Liu, G.X.; Luo, J.H.; Chen, Y.H. Numerical modeling of mineralizing processes during the formation of the Yangzhuang Kiruna-type iron deposit, Middle and lower Yangtze River Metallogenic Belt, China: Implications for the genesis and longevity of Kiruna-type iron oxide-apatite systems. Solid Earth Sci. 2022, 7, 23–37. [Google Scholar]
- Mao, X.C.; Zhao, Y.; Deng, H.; Zhang, B.; Liu, Z.K.; Chen, J.; Zou, Y.H.; Lai, J.Q. Quantitative analysis of intrusive body morphology and its relationship with skarn mineralization-a case study of Fenghuangshan copper deposit, Tongling, Anhui, China. Trans. Nonferrous Met. Soc. China 2018, 28, 151–162. [Google Scholar] [CrossRef]
- Mao, X.C.; Ren, J.; Liu, Z.K.; Chen, J.; Tang, L.H.; Deng, H.; Bayless, R.C.; Yang, B.C.; Wang, M.J.; Liu, C.L. Three-dimensional prospectivity modeling of the Jiaojia-type gold deposit, Jiaodong Peninsula, Eastern China: A case study of the Dayingezhuang deposit. J. Geochem. Explor. 2019, 203, 27–44. [Google Scholar]
- Mao, X.C.; Wang, Q.; Chen, J.; Deng, H.; Liu, Z.K.; Wang, J.L.; Chen, J.P.; Xiao, K.Y. Three-dimensional Modeling of Deep Metallogenic Structure in Northwestern Jiaodong Peninsula and Its Gold Prospecting Significance. Acta Geoscient. Sin. 2020, 41, 166–178. [Google Scholar]
- Schön, J.H. Physical Properties of Rocks: Fundamentals and Principles of Petrophysics, 2nd ed.; Elsevier: Amsterdam, The Netherlands, 2015; pp. 1–360. [Google Scholar]
- Mao, X.C.; Zhang, W.; Liu, Z.K.; Ren, J.; C.B, R.; Deng, H. 3D mineral prospectivity modeling for the low-sulfidation epithermal gold deposit: A case study of the Axi gold deposit, Western Tianshan, NW China. Minerals 2020, 10, 233. [Google Scholar] [CrossRef]
- Liu, Z.K.; Mao, X.C.; Ackerman, L.; Li, B.; Shahzad, M. Two-stage gold mineralization of the Axi epithermal Au deposit, Western Tianshan, NW China: Evidence from Re-Os dating, S isotope, and trace elements of pyrite. Miner. Depos. 2020, 55, 863–880. [Google Scholar] [CrossRef]
- Wei, J.L. Study of Orebody Space Location Regularity and Prospecting Direction of Axi Gold Deposit in Xinjiang Province. Ph.D. Thesis, China University of Geosciences, Beijing, China, 2013. [Google Scholar]
- Wang, B.G.; Zhang, X.B.; Zhang, M. Geology and ore prospecting of Axil gold deposit in XinJiang. Geol. Shanxi 2018, 36, 20–25. [Google Scholar]
- Simmons, S.F.; White, N.C.; John, D.A. Geological Characteristics of Epithermal Precious and Base Metal Deposits; Economic Geology 100th Anniversary Volume; Society of Economic Geologists: Littleton, CO, USA, 2005; pp. 485–522. [Google Scholar]
- Cooke, D.R.; Deyell, C.L.; Waters, P.J.; Gonzales, R.I.; Zaw, K. Evidence for magmatic-hydrothermal fluids and ore-forming processes in epithermal and porphyry deposits of the Baguio district, Philippines. Econ. Geol. 2011, 106, 1399–1424. [Google Scholar]
- Phillips, G.N.; Evans, K.A. Role of CO2 in the formation of gold deposits. Nature 2004, 429, 860–863. [Google Scholar] [CrossRef]
- Brugge, J.; Etschmann, B.; Pownceby, M.; Liu, W.; Grundler, P.; Brewe, D. Oxidation state of europium in scheelite: Tracking fluid-rock interaction in gold deposits. Chem. Geol. 2008, 257, 26–33. [Google Scholar]
- Chi, G.X.; Liu, Y.X.; Dubé, B. Relationship between CO2-dominated fluids, hydrothermal alterations and gold mineralization in the Red Lake greenstone belt, Canada. Appl. Geochem. 2009, 24, 504–516. [Google Scholar] [CrossRef]
- Zhao, C.B.; Hobbs, B.E.; Ord, A. Fundamentals of Computational Geoscience: Numerical Methods and Algorithms; Springer: Berlin/Heidelberg, Germany, 2009. [Google Scholar]












| Property | C1d5−1 | C1d5−2 | Faulted Zone | C1d5−4 |
|---|---|---|---|---|
| Density (kg·m−3) | 2580 | 2600 | 2500 | 2590 |
| Bulk modulus (1010 Pa) | 1.6 | 3.0 | 0.6 | 1.7 |
| Shear modulus (1010 Pa) | 2.6 | 5.0 | 0.4 | 3.1 |
| Cohesion (106 Pa) | 4.9 | 3.5 | 5.0 | 4.0 |
| Tensile strength (106 Pa) | 8.3 | 4.0 | 2.0 | 3.0 |
| Dilation angle (°) | 3.0 | 5.0 | 3.2 | 5.3 |
| Friction angle (°) | 28 | 30 | 15 | 31 |
| Porosity (%) | 20 | 24 | 31 | 22 |
| Permeability (10−15) | 2.09 | 4 | 10 | 2.81 |
| Viscosity (10−3 N s m−2) | 1.0 | 1.0 | 1.0 | 1.0 |
| Thermal conductivity (Wm−1K−1) | 3.6 | 3 | 2.75 | 2.0 |
Disclaimer/Publisher’s Note: The statements, opinions and data contained in all publications are solely those of the individual author(s) and contributor(s) and not of MDPI and/or the editor(s). MDPI and/or the editor(s) disclaim responsibility for any injury to people or property resulting from any ideas, methods, instructions or products referred to in the content. |
© 2025 by the authors. Licensee MDPI, Basel, Switzerland. This article is an open access article distributed under the terms and conditions of the Creative Commons Attribution (CC BY) license.
Share and Cite
Shan, W.; Mao, X.; Liu, Z.; Deng, H.; Yuan, Q.; Fu, Z. Numerical Simulation of the Mineralization Process of the Axi Low-Sulfidation Epithermal Gold Deposit, Western Tianshan, China: Implications for Mineral Exploration. Minerals 2026, 16, 41. https://doi.org/10.3390/min16010041
Shan W, Mao X, Liu Z, Deng H, Yuan Q, Fu Z. Numerical Simulation of the Mineralization Process of the Axi Low-Sulfidation Epithermal Gold Deposit, Western Tianshan, China: Implications for Mineral Exploration. Minerals. 2026; 16(1):41. https://doi.org/10.3390/min16010041
Chicago/Turabian StyleShan, Wenfa, Xiancheng Mao, Zhankun Liu, Hao Deng, Qiao Yuan, and Zhaohui Fu. 2026. "Numerical Simulation of the Mineralization Process of the Axi Low-Sulfidation Epithermal Gold Deposit, Western Tianshan, China: Implications for Mineral Exploration" Minerals 16, no. 1: 41. https://doi.org/10.3390/min16010041
APA StyleShan, W., Mao, X., Liu, Z., Deng, H., Yuan, Q., & Fu, Z. (2026). Numerical Simulation of the Mineralization Process of the Axi Low-Sulfidation Epithermal Gold Deposit, Western Tianshan, China: Implications for Mineral Exploration. Minerals, 16(1), 41. https://doi.org/10.3390/min16010041

