Amphoteric Halloysite and Sepiolite Adsorbents by Amino and Carboxy Surface Modification for Effective Removal of Cationic and Anionic Dyes from Water
Abstract
1. Introduction
2. Materials and Methods
3. Results
3.1. Mono-Functional Adsorbents
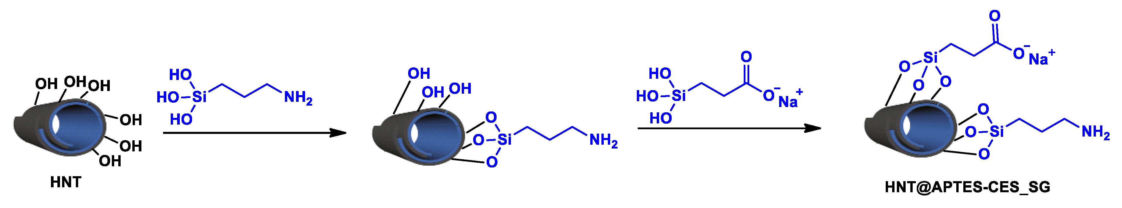
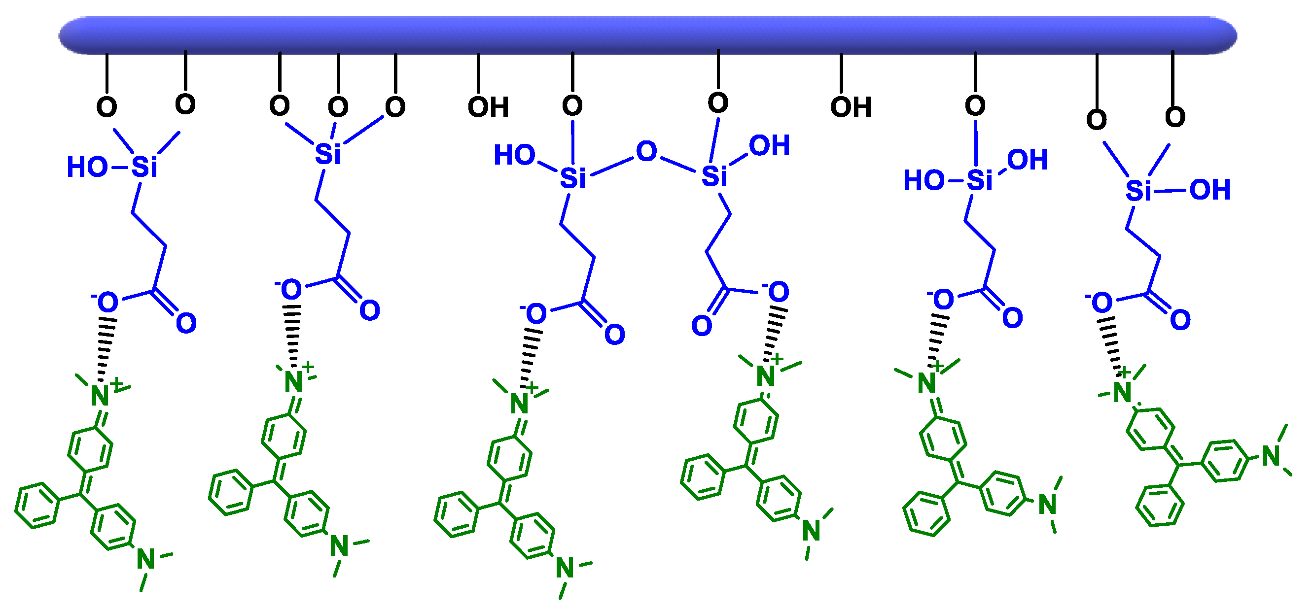
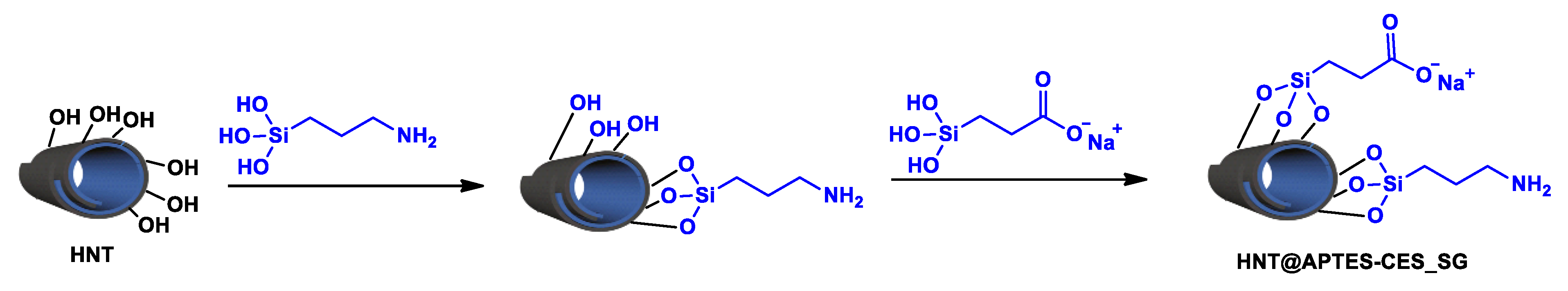
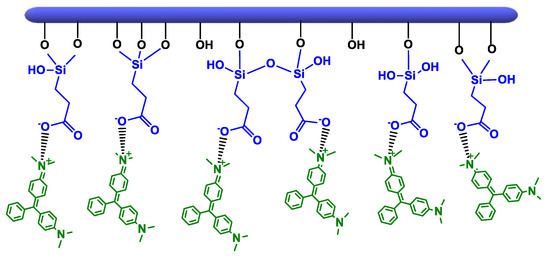
3.2. Amphoteric Carboxy- and Amino-Modified Halloysite
3.3. Adsorption of Dyes from Water
4. Conclusions
Supplementary Materials
Author Contributions
Funding
Data Availability Statement
Conflicts of Interest
References
- Sultan, M.B.; Anik, A.H.; Rahman, M.M. Emerging contaminants and their potential impacts on estuarine ecosystems: Are we aware of it? Mar. Pollut. Bull. 2024, 199, 115982. [Google Scholar] [CrossRef]
- Zhou, Y.; Ashokkumar, V.; Amobonye, A.; Bhattacharjee, G.; Sirohi, R.; Singh, V.; Flora, G.; Kumar, V.; Pillai, S.; Zhang, Z.; et al. Current research trends on cosmetic microplastic pollution and its impacts on the ecosystem: A review. Environ. Pollut. 2023, 320, 121106. [Google Scholar] [CrossRef]
- Tijani, J.O.; Fatoba, O.O.; Babajide, O.O.; Petrik, L.F. Pharmaceuticals, endocrine disruptors, personal care products, nanomaterials and perfluorinated pollutants: A review. Environ. Chem. Lett. 2016, 14, 27–49. [Google Scholar] [CrossRef]
- Nayak, A.; Chaudhary, P.; Bhushan, B.; Ghai, K.; Singh, S.; Sillanpää, M. Removal of emergent pollutants: A review on recent updates and future perspectives on polysaccharide-based composites vis-à-vis traditional adsorbents. Int. J. Biol. Macromol. 2024, 258, 129092. [Google Scholar] [CrossRef]
- Rodriguez-Narvaez, O.M.; Peralta-Hernandez, J.M.; Goonetilleke, A.; Bandala, E.R. Treatment technologies for emerging contaminants in water: A review. Chem. Eng. J. 2017, 323, 361–380. [Google Scholar] [CrossRef]
- Alcamo, J. Water quality and its interlinkages with the Sustainable Development Goals. Curr. Opin. Environ. Sust. 2019, 36, 126–140. [Google Scholar] [CrossRef]
- Wang, M.; Janssen, A.B.G.; Bazin, J.; Strokal, M.; Ma, L.; Kroeze, C. Accounting for interactions between Sustainable Development Goals is essential for water pollution control in China. Nat. Commun. 2022, 13, 730. [Google Scholar] [CrossRef] [PubMed]
- Worch, E. Adsorption Technology in Water Treatment; De Gruyter: Berlin, Germany; Boston, MA, USA, 2021. [Google Scholar]
- Bonilla-Petriciolet, A.; Mendoza-Castillo, D.I.; Reynel-Ávila, H.E. Adsorption Processes for Water Treatment and Purification; Springer: Cham, Switzerland, 2017; Volume 256. [Google Scholar]
- Faust, S.D.; Aly, O.M. Adsorption Processes for Water Treatment; Elsevier: Amsterdam, The Netherlands, 2013. [Google Scholar]
- Cooney, D.O. Adsorption Design for Wastewater Treatment; CRC Press: Boca Raton, FL, USA, 1998. [Google Scholar]
- Mariana, M.; H.P.S., A.K.; Mistar, E.M.; Yahya, E.B.; Alfatah, T.; Danish, M.; Amayreh, M. Recent advances in activated carbon modification techniques for enhanced heavy metal adsorption. J. Water Proc. Eng. 2021, 43, 102221. [Google Scholar] [CrossRef]
- Bansal, R.C.; Goyal, M. Activated Carbon Adsorption; CRC Press: Boca Raton, FL, USA, 2005. [Google Scholar]
- Wang, H.; Li, Z.; Yahyaoui, S.; Hanafy, H.; Seliem, M.K.; Bonilla-Petriciolet, A.; Luiz Dotto, G.; Sellaoui, L.; Li, Q. Effective adsorption of dyes on an activated carbon prepared from carboxymethyl cellulose: Experiments, characterization and advanced modelling. Chem. Eng. J. 2021, 417, 128116. [Google Scholar] [CrossRef]
- Deitz, V.R. Bibliography of Solid Adsorbents: An Annotative Bibliographical Survey of the Scientific Literature on Bone Char, Activated Carbons, and Other Technical Solid Adsorbents, for the Years 1900 to 1942 Inclusive; National Bureau of Standards: Gaithersburg, MD, USA, 1944. [Google Scholar]
- Celis, R.; HermosÍn, M.C.; Cornejo, J. Heavy Metal Adsorption by Functionalized Clays. Environ. Sci. Technol. 2000, 34, 4593–4599. [Google Scholar] [CrossRef]
- Cruz-Guzmán, M.; Celis, R.; Hermosín, M.C.; Cornejo, J. Adsorption of the Herbicide Simazine by Montmorillonite Modified with Natural Organic Cations. Environ. Sci. Technol. 2004, 38, 180–186. [Google Scholar] [CrossRef]
- Alomari, A.D.A. Chemically modified clay for adsorption of contaminants: Trends, advantages and limitations—A concise review. Int. J. Environ. Anal. Chem. 2024, 105, 2302–2325. [Google Scholar] [CrossRef]
- Kausar, A.; Iqbal, M.; Javed, A.; Aftab, K.; Nazli, Z.-i.-H.; Bhatti, H.N.; Nouren, S. Dyes adsorption using clay and modified clay: A review. J. Mol. Liq. 2018, 256, 395–407. [Google Scholar] [CrossRef]
- Gil, A.; Santamaría, L.; Korili, S.A.; Vicente, M.A.; Barbosa, L.V.; de Souza, S.D.; Marçal, L.; de Faria, E.H.; Ciuffi, K.J. A review of organic-inorganic hybrid clay based adsorbents for contaminants removal: Synthesis, perspectives and applications. J. Environ. Chem. Eng. 2021, 9, 105808. [Google Scholar] [CrossRef]
- Yuan, G.D.; Theng, B.K.G.; Churchman, G.J.; Gates, W.P. Chapter 5.1—Clays and Clay Minerals for Pollution Control. In Developments in Clay Science; Bergaya, F., Lagaly, G., Eds.; Elsevier: Amsterdam, The Netherlands, 2013; Volume 5, pp. 587–644. [Google Scholar]
- Andrades, M.S.; Rodríguez-Cruz, M.S.; Sánchez-Martín, M.J.; Sánchez-Camazano, M. Effect of the modification of natural clay minerals with hexadecylpyridinium cation on the adsorption–desorption of fungicides. Int. J. Environ. Anal. Chem. 2004, 84, 133–141. [Google Scholar] [CrossRef]
- Gamoudi, S.; Srasra, E. Adsorption of organic dyes by HDPy+-modified clay: Effect of molecular structure on the adsorption. J. Mol. Struct. 2019, 1193, 522–531. [Google Scholar] [CrossRef]
- Li, Y.; Wang, M.; Sun, D.; Li, Y.; Wu, T. Effective removal of emulsified oil from oily wastewater using surfactant-modified sepiolite. Appl. Clay Sci. 2018, 157, 227–236. [Google Scholar] [CrossRef]
- Ennajih, H.; Gueddar, H.; El Kadib, A.; Bouhfid, R.; Bousmina, M.; Essassi, E.M. Intercalation of nickel and cobalt thiabendazole complexes into montmorillonite. Appl. Clay Sci. 2012, 65–66, 139–142. [Google Scholar] [CrossRef]
- Chabbi, J.; Jennah, O.; Katir, N.; Lahcini, M.; Bousmina, M.; El Kadib, A. Aldehyde-functionalized chitosan-montmorillonite films as dynamically-assembled, switchable-chemical release bioplastics. Carbohydr. Polym. 2018, 183, 287–293. [Google Scholar] [CrossRef]
- He, H.; Zhou, Q.; Martens, W.N.; Kloprogge, T.J.; Yuan, P.; Xi, Y.; Zhu, J.; Frost, R.L. Microstructure of HDTMA+-Modified Montmorillonite and its Influence on Sorption Characteristics. Clays Clay Min. 2006, 54, 689–696. [Google Scholar] [CrossRef]
- Margelefsky, E.L.; Zeidan, R.K.; Davis, M.E. Cooperative catalysis by silica-supported organic functional groups. Chem. Soc. Rev. 2008, 37, 1118–1126. [Google Scholar] [CrossRef]
- Shylesh, S.; Thiel, W.R. Bifunctional Acid–Base Cooperativity in Heterogeneous Catalytic Reactions: Advances in Silica Supported Organic Functional Groups. ChemCatChem 2011, 3, 278–287. [Google Scholar] [CrossRef]
- Díaz, U.; Brunel, D.; Corma, A. Catalysis using multifunctional organosiliceous hybrid materials. Chem. Soc. Rev. 2013, 42, 4083–4097. [Google Scholar] [CrossRef] [PubMed]
- Avila, L.R.; de Faria, E.H.; Ciuffi, K.J.; Nassar, E.J.; Calefi, P.S.; Vicente, M.A.; Trujillano, R. New synthesis strategies for effective functionalization of kaolinite and saponite with silylating agents. J. Colloid Interface Sci. 2010, 341, 186–193. [Google Scholar] [CrossRef] [PubMed]
- He, H.; Tao, Q.; Zhu, J.; Yuan, P.; Shen, W.; Yang, S. Silylation of clay mineral surfaces. Appl. Clay Sci. 2013, 71, 15–20. [Google Scholar] [CrossRef]
- Peixoto, A.F.; Fernandes, A.C.; Pereira, C.; Pires, J.; Freire, C. Physicochemical characterization of organosilylated halloysite clay nanotubes. Microporous Mesoporous Mater. 2016, 219, 145–154. [Google Scholar] [CrossRef]
- Carli, L.N.; Daitx, T.S.; Soares, G.V.; Crespo, J.S.; Mauler, R.S. The effects of silane coupling agents on the properties of PHBV/halloysite nanocomposites. Appl. Clay Sci. 2014, 87, 311–319. [Google Scholar] [CrossRef]
- Cataldo, S.; Lazzara, G.; Massaro, M.; Muratore, N.; Pettignano, A.; Riela, S. Functionalized halloysite nanotubes for enhanced removal of lead(II) ions from aqueous solutions. Appl. Clay Sci. 2018, 156, 87–95. [Google Scholar] [CrossRef]
- Ressam, I.; El Kadib, A.; Lahcini, M.; Luinstra, G.A.; Perrot, H.; Sel, O. Enhanced proton transport properties of Nafion via functionalized halloysite nanotubes. Int. J. Hydrogen Energy 2018, 43, 18578–18591. [Google Scholar] [CrossRef]
- Álvarez, A.; Santarén, J.; Esteban-Cubillo, A.; Aparicio, P. Chapter 12—Current Industrial Applications of Palygorskite and Sepiolite. In Developments in Clay Science; Galàn, E., Singer, A., Eds.; Elsevier: Amsterdam, The Netherlands, 2011; Volume 3, pp. 281–298. [Google Scholar]
- Wang, Z.; Liao, L.; Hursthouse, A.; Song, N.; Ren, B. Sepiolite-Based Adsorbents for the Removal of Potentially Toxic Elements from Water: A Strategic Review for the Case of Environmental Contamination in Hunan, China. Int. J. Environ. Res. Public Health 2018, 15, 1653. [Google Scholar] [CrossRef]
- Song, N.; Hursthouse, A.; McLellan IWang, Z. Treatment of environmental contamination using sepiolite: Current approaches and future potential. Int. J. Environ. Res. Public Health 2021, 43, 2679–2697. [Google Scholar] [CrossRef] [PubMed]
- Boumhidi, B.; Katir, N.; El Haskouri, J.; Draoui, K.; El Kadib, A. Phosphorylation triggered growth of metal phosphate on halloysite and sepiolite nanoparticles: Preparation, entrapment in chitosan hydrogels and application as recyclable scavengers. New J. Chem. 2020, 44, 14136–14144. [Google Scholar] [CrossRef]
- De Mello Ferreira Guimarães, A.; Ciminelli, V.S.T.; Vasconcelos, W.L. Smectite organofunctionalized with thiol groups for adsorption of heavy metal ions. Appl. Clay Sci. 2009, 42, 410–414. [Google Scholar] [CrossRef]
- Guerra, D.L.; Oliveira, S.P.; Silva, R.A.S.; Silva, E.M.; Batista, A.C. Dielectric properties of organofunctionalized kaolinite clay and application in adsorption mercury cation. Ceram. Int. 2012, 38, 1687–1696. [Google Scholar] [CrossRef]
- Wamba, A.G.N.; Kofa, G.P.; Koungou, S.N.; Thue, P.S.; Lima, E.C.; dos Reis, G.S.; Kayem, J.G. Grafting of Amine functional group on silicate based material as adsorbent for water purification: A short review. J. Environ. Chem. Eng. 2018, 6, 3192–3203. [Google Scholar] [CrossRef]
- Thiebault, T.; Brendlé, J.; Augé, G.; Limousy, L. Cleaner Synthesis of Silylated Clay Minerals for the Durable Recovery of Ions (Co2+ and Sr2+) from Aqueous Solutions. Ind. Eng. Chem. Res. 2020, 59, 2104–2112. [Google Scholar] [CrossRef]
- Zhao L-y Fei J-j Lian H-z Mao, L.; Cui, X.-b. Development of a novel amine- and carboxyl-bifunctionalized hybrid monolithic column for non-invasive speciation analysis of chromium. Talanta 2020, 212, 120799. [Google Scholar] [CrossRef]
- Costa, J.A.; Sarmento, V.H.; Romão, L.P.; Paranhos, C.M.J.S. Performance of the MCM-41-NH 2 Functionalized Mesoporous Material Synthetized from the Rice Husk Ash on the Removal of the Polycyclic Aromatic Hydrocarbons. Silicon 2020, 12, 1913–1923. [Google Scholar] [CrossRef]
- Maria Chong, A.S.; Zhao, X.S. Functionalization of SBA-15 with APTES and Characterization of Functionalized Materials. J. Phys. Chem. B 2003, 107, 12650–12657. [Google Scholar] [CrossRef]
- Pasbakhsh, P.; Ismail, H.; Fauzi, M.N.A.; Bakar, A.A. EPDM/modified halloysite nanocomposites. Appl. Clay Sci. 2010, 48, 405–413. [Google Scholar] [CrossRef]
- Tan, D.; Yuan, P.; Annabi-Bergaya, F.; Yu, H.; Liu, D.; Liu, H.; He, H. Natural halloysite nanotubes as mesoporous carriers for the loading of ibuprofen. Microporous Mesoporous Mater. 2013, 179, 89–98. [Google Scholar] [CrossRef]
- Yuan, P.; Southon, P.D.; Liu, Z.; Green, M.E.R.; Hook, J.M.; Antill, S.J.; Kepert, C.J. Functionalization of Halloysite Clay Nanotubes by Grafting with γ-Aminopropyltriethoxysilane. J. Phys. Chem. C 2008, 112, 15742–15751. [Google Scholar] [CrossRef]
- Huynh, J.; Palacio, R.; Safizadeh, F.; Lefèvre, G.; Descostes, M.; Eloy, L.; Guignard, N.; Rousseau, J.; Royer, S.; Tertre, E.; et al. Adsorption of Uranium over NH2-Functionalized Ordered Silica in Aqueous Solutions. ACS Appl. Mater. Interfaces 2017, 9, 15672–15684. [Google Scholar] [CrossRef]
- Yeniyol, M. Characterization of two forms of sepiolite and related Mg-rich clay minerals from Yenidoğ an (Sivrihisar, Turkey). Clay Miner. 2014, 49, 91–108. [Google Scholar] [CrossRef]
- Moreira, M.A.; Ciuffi, K.J.; Rives, V.; Vicente, M.A.; Trujillano, R.; Gil, A.; Korili, S.A.; de Faria, E.H. Effect of chemical modification of palygorskite and sepiolite by 3-aminopropyltriethoxisilane on adsorption of cationic and anionic dyes. Appl. Clay Sci. 2017, 135, 394–404. [Google Scholar] [CrossRef]
- Doğan, M.; Turhan, Y.; Alkan, M.; Namli, H.; Turan, P.; Demirbaş, Ö. Functionalized sepiolite for heavy metal ions adsorption. Desalination 2008, 230, 248–268. [Google Scholar] [CrossRef]
- Colilla, M.; Izquierdo-Barba, I.; Sánchez-Salcedo, S.; Fierro, J.L.G.; Hueso, J.L.; Vallet-Regí, M. Synthesis and Characterization of Zwitterionic SBA-15 Nanostructured Materials. Chem. Mater. 2010, 22, 6459–6466. [Google Scholar] [CrossRef]
- Lin, C.-H.; Deka, J.R.; Wu, C.-E.; Tsai, C.-H.; Saikia, D.; Yang, Y.-C.; Kao, H.-M. Bifunctional Cage-Type Cubic Mesoporous Silica SBA-1 Nanoparticles for Selective Adsorption of Dyes. Chem. Asian J. 2017, 12, 1314–1325. [Google Scholar] [CrossRef]
- Gutmann, T.; Liu, J.; Rothermel, N.; Xu, Y.; Jaumann, E.; Werner, M.; Breitzke, H.; Sigurdsson, S.T.; Buntkowsky, G. Natural Abundance 15N NMR by Dynamic Nuclear Polarization: Fast Analysis of Binding Sites of a Novel Amine-Carboxyl-Linked Immobilized Dirhodium Catalyst. Chem. Eur. J. 2015, 21, 3798–3805. [Google Scholar] [CrossRef]
- Zhang, Q.; Zhu, Z.; Zhang, X.; Li, P.; Huang, Y.; Luo, X.; Liang, Z. Amine-functionalized sepiolite: Toward highly efficient palladium nanocatalyst for dehydrogenation of additive-free formic acid. Int. J. Hydrogen Energy 2019, 44, 16707–16717. [Google Scholar] [CrossRef]
- Han, L.; Ruan, J.; Li, Y.; Terasaki, O.; Che, S. Synthesis and Characterization of the Amphoteric Amino Acid Bifunctional Mesoporous Silica. Chem. Mater. 2007, 19, 2860–2867. [Google Scholar] [CrossRef]
- Xue, A.; Zhou, S.; Zhao, Y.; Lu, X.; Han, P. Effective NH2-grafting on attapulgite surfaces for adsorption of reactive dyes. J. Hazard. Mater. 2011, 194, 7–14. [Google Scholar] [CrossRef]
- Kanani-Jazi, M.H.; Akbari, S. Amino-dendritic and carboxyl functionalized halloysite nanotubes for highly efficient removal of cationic and anionic dyes: Kinetic, isotherm, and thermodynamic studies. J. Environ. Chem. Eng. 2021, 9, 105214. [Google Scholar] [CrossRef]
- Errais, E.; Duplay, J.; Elhabiri, M.; Khodja, M.; Ocampo, R.; Baltenweck-Guyot, R.; Darragi, F. Anionic RR120 dye adsorption onto raw clay: Surface properties and adsorption mechanism. Colloids Surf. A Physicochem. Eng. Asp. 2012, 403, 69–78. [Google Scholar] [CrossRef]
- Zhang, Y.; Xia, K.; Liu, X.; Chen, Z.; Du, H.; Zhang, X. Synthesis of cationic-modified silica gel and its adsorption properties for anionic dyes. J. Taiwan Inst. Chem. Eng. 2019, 102, 1–8. [Google Scholar] [CrossRef]
- Yuan, P.; Southon, P.D.; Liu, Z.; Kepert, C.J. Organosilane functionalization of halloysite nanotubes for enhanced loading and controlled release. Nanotechnology 2012, 23, 375705. [Google Scholar] [CrossRef] [PubMed]
- Vimonses, V.; Lei, S.; Jin, B.; Chow, C.W.; Saint, C. Kinetic study and equilibrium isotherm analysis of Congo Red adsorption by clay materials. Chem. Eng. J. 2009, 148, 354–364. [Google Scholar] [CrossRef]
- Vahidhabanu, S.; Karuppasamy, D.; Adeogun, A.I.; Babu, B.R. Impregnation of zinc oxide modified clay over alginate beads: A novel material for the effective removal of congo red from wastewater. RSC Adv. 2017, 7, 5669–5678. [Google Scholar] [CrossRef]
- Tian, C.; Feng, C.; Wei, M.; Wu, Y. Enhanced adsorption of anionic toxic contaminant congo red by activated carbon with electropositive amine modification. Chemosphere 2018, 208, 476–483. [Google Scholar] [CrossRef] [PubMed]
- Lei, C.; Pi, M.; Jiang, C.; Cheng, B.; Yu, J. Synthesis of hierarchical porous zinc oxide (ZnO) microspheres with highly efficient adsorption of Congo red. J. Colloid Interface Sci. 2017, 490, 242–251. [Google Scholar] [CrossRef] [PubMed]
- Ding, F.; Gao, M.; Shen, T.; Zeng, H.; Xiang, Y. Comparative study of organo-vermiculite, organo-montmorillonite and organo-silica nanosheets functionalized by an ether-spacer-containing Gemini surfactant: Congo red adsorption and wettability. Chem. Eng. J. 2018, 349, 388–396. [Google Scholar] [CrossRef]
- Yu, M.; Gao, M.; Shen, T.; Zeng, H. Single and simultaneous adsorption of rhodamine B and congo red from aqueous solution by organo-vermiculites. J. Mol. Liq. 2019, 292, 111408. [Google Scholar] [CrossRef]
- Zhang, X.; Li, Y.; Li, M.; Zheng, H.; Du, Q.; Li, H.; Wang, Y.; Wang, D.; Wang, C.; Sui, K. Preparation of improved gluten material and its adsorption behavior for congo red from aqueous solution. J. Colloid Interface Sci. 2019, 556, 249–257. [Google Scholar] [CrossRef]
- Elmoubarki, R.; Mahjoubi, F.Z.; Tounsadi, H.; Moustadraf, J.; Abdennouri, M.; Zouhri, A.; El Albani, A.; Barka, N. Adsorption of textile dyes on raw and decanted Moroccan clays: Kinetics, equilibrium and thermodynamics. Water Resour. Ind. 2015, 9, 16–29. [Google Scholar] [CrossRef]
- Tehrani-Bagha, A.R.; Nikkar, H.; Mahmoodi, N.M.; Markazi, M.; Menger, F.M. The sorption of cationic dyes onto kaolin: Kinetic, isotherm and thermodynamic studies. Desalination 2011, 266, 274–280. [Google Scholar] [CrossRef]
- Sharma, Y.C. Adsorption Characteristics of a Low-Cost Activated Carbon for the Reclamation of Colored Effluents Containing Malachite Green. J. Chem. Eng. Data 2011, 56, 478–484. [Google Scholar] [CrossRef]
- Tian, L.; Zhang, J.; Shi, H.; Li, N.; Ping, Q. Adsorption of malachite green by diatomite: Equilibrium isotherms and kinetic studies. J. Disper. Sci. Technol. 2016, 37, 1059–1066. [Google Scholar] [CrossRef]
- Ullah, S.; Ur Rahman, A.; Ullah, F.; Rashid, A.; Arshad, T.; Viglašová, E.; Galamboš, M.; Mahmoodi, N.M.; Ullah, H. Adsorption of Malachite Green Dye onto Mesoporous Natural Inorganic Clays: Their Equilibrium Isotherm and Kinetics Studies. Water 2021, 13, 965. [Google Scholar] [CrossRef]

















| Material | Mass % at T450 °C | Mass % at T900 °C | Molar Quantity of Grafting Agents (mmol/g) |
|---|---|---|---|
| HNT | 97 | 86 | - |
| Sep | 99 | 99 | - |
| HNT-CES | 82 | 67 | 2.29 |
| Sep-CES | 88 | 73 | 1.98 |
| HNT-APTES | 80 | 62 | 4.65 |
| Sep-APTES | 75 | 57 | 4.82 |
Disclaimer/Publisher’s Note: The statements, opinions and data contained in all publications are solely those of the individual author(s) and contributor(s) and not of MDPI and/or the editor(s). MDPI and/or the editor(s) disclaim responsibility for any injury to people or property resulting from any ideas, methods, instructions or products referred to in the content. |
© 2025 by the authors. Licensee MDPI, Basel, Switzerland. This article is an open access article distributed under the terms and conditions of the Creative Commons Attribution (CC BY) license (https://creativecommons.org/licenses/by/4.0/).
Share and Cite
Boumhidi, B.; Katir, N.; El Haskouri, J.; Draoui, K.; El Kadib, A. Amphoteric Halloysite and Sepiolite Adsorbents by Amino and Carboxy Surface Modification for Effective Removal of Cationic and Anionic Dyes from Water. Minerals 2025, 15, 841. https://doi.org/10.3390/min15080841
Boumhidi B, Katir N, El Haskouri J, Draoui K, El Kadib A. Amphoteric Halloysite and Sepiolite Adsorbents by Amino and Carboxy Surface Modification for Effective Removal of Cationic and Anionic Dyes from Water. Minerals. 2025; 15(8):841. https://doi.org/10.3390/min15080841
Chicago/Turabian StyleBoumhidi, Boutaina, Nadia Katir, Jamal El Haskouri, Khalid Draoui, and Abdelkrim El Kadib. 2025. "Amphoteric Halloysite and Sepiolite Adsorbents by Amino and Carboxy Surface Modification for Effective Removal of Cationic and Anionic Dyes from Water" Minerals 15, no. 8: 841. https://doi.org/10.3390/min15080841
APA StyleBoumhidi, B., Katir, N., El Haskouri, J., Draoui, K., & El Kadib, A. (2025). Amphoteric Halloysite and Sepiolite Adsorbents by Amino and Carboxy Surface Modification for Effective Removal of Cationic and Anionic Dyes from Water. Minerals, 15(8), 841. https://doi.org/10.3390/min15080841

