Next Article in Journal
Application of Clustering Methods in Multivariate Data-Based Prospecting Prediction
Previous Article in Journal
Trace and Rare-Earth-Element Chemistry of Quartz from the Tuztaşı Low-Sulfidation Epithermal Au-Ag Deposit, Western Türkiye: Implications for Gold Exploration from Quartz Mineral Chemistry
 
 
Font Type:
Arial Georgia Verdana
Font Size:
Aa Aa Aa
Line Spacing:
Column Width:
Background:
Article

Study on Creep Characteristics of High-Volume Fly Ash-Cement Backfill Considering Initial Damage

1
Department of Mathematics and Physics, Hebei Petroleum University of Technology, Chengde 067000, China
2
Key Laboratory of Deep Coal Resource Mining, China University of Mining and Technology, Ministry of Education, Xuzhou 221116, China
3
Department of Sustainable Advanced Geomechanical Engineering, National University of Sciences and Technology, Risalpur 23200, Pakistan
*
Authors to whom correspondence should be addressed.
Minerals 2025, 15(7), 759; https://doi.org/10.3390/min15070759
Submission received: 13 June 2025 / Revised: 12 July 2025 / Accepted: 16 July 2025 / Published: 19 July 2025

Abstract

To reveal the long-term deformation behavior of high-volume fly ash-based backfill under continuous mining and backfilling, a fly ash–cement backfill material with 73.0% fly ash content was developed, and creep characteristic tests considering initial damage were conducted. The results demonstrate that: (1) A calculation method for the initial damage of backfill based on stress–strain hysteresis loop cycles is proposed, with cumulative characteristics of initial damage across mining phases analyzed; (2) Creep behaviors of backfill affected by initial damage are investigated, revealing the weakening effect of initial damage on long-term bearing capacity; (3) An enhanced, nonlinear plastic damage element is developed, enabling the construction of an HKBN constitutive model capable of characterizing the complete creep behavior of backfill materials. The research establishes a theoretical framework for engineering applications of backfill materials with early-age strength below 5 MPa, while significantly enhancing the utilization efficiency of coal-based solid wastes.

1. Introduction

Coal remains the dominant energy source underpinning China’s national economic development. Currently, over 60% of coal production is utilized for thermal power generation, and this coal-centered energy consumption structure is unlikely to be fundamentally altered in the short term [1,2]. However, the fly ash generated from coal combustion poses severe environmental threats, particularly in the ecologically fragile coal-power energy bases of northwestern China [3,4,5,6]. The development of high-volume fly ash-based backfill material technology, when combined with appropriate backfill mining methods, represents the most promising solution for addressing the accumulation challenges of coal-based solid wastes like fly ash.
Fly ash-based backfill materials demonstrate significant advantages in resource utilization, low-carbon environmental protection, and cost reduction [7,8,9]. Fly ash demonstrates remarkable utilization efficiency in backfill applications, achieving incorporation rates of 70%~90% by mass [10]. This high-volume substitution translates to significant carbon mitigation, with each cubic meter of produced backfill reducing CO2 emissions by 0.3~0.5 metric tons compared to conventional cement-based mixtures [11]. Research findings demonstrate that fly ash-based backfill materials exhibit a 40%–60% reduction in Global Warming Potential compared to conventional cement-based materials, as quantified through comprehensive life cycle assessment studies [12,13]. A mining operation successfully implemented fly ash–slag composite backfill (40% fly ash—60% slag by mass), achieving 30% reduction in backfill material costs and 100% compliance with 28d strength requirements [14].
The main techniques for activating fly ash reactivity include alkaline activation, sulfate activation and ultrafine grinding [15,16,17,18,19,20]. The research shows that the 28d uniaxial compressive strength (UCS) of fly ash polymer can be increased to 25~35 MPa by optimizing the proportion of alkaline activator [21]. Sulfate can promote the formation of C-S-H gel and ettringite, and the pozzolanic reaction efficiency is increased by 40% [22]. Using superfine grinding to make its specific surface area not less than 600 m2/kg can significantly shorten the setting time of filling material and reduce the porosity to less than 15% [23,24].
In addition, further performance optimization can be achieved through co-activation effects in composite systems [25,26,27,28]. CaO in slag can promote the depolymerization of fly ash and form dense C-(A)-S-H gel [29]. The backfill materials of the fly ash cement system can reduce the hydration heat by 40%, and maintain the UCS not less than 10 MPa for 7 days [30]. At the same time, the content of fly ash has a significant impact on the mechanical properties of backfill materials [31,32,33,34]. When the content is 50%, the backfill materials will continue to creep at constant speed for 120 h at a 30% stress level, and the long-term strength decay rate will not exceed 15%. When the content is 60%, the 28d UCS is 8~12 MPa. When the content is more than 70%, the 7d UCS is only 40%~60% of the cement-based materials, causing a 20%~30% prolongation in mining cycle duration.
The continuous mining and backfilling (CMB)method synchronizes mining and backfilling operations by rapidly filling the goaf with backfill materials [35]. It leverages lateral confinement to compensate for the early-stage strength deficiency of the backfill materials, thereby helping to address the limitation of prolonged mining cycles caused by the low early strength of high-volume fly ash-based backfill materials [36,37]. When the UCS of the backfill is not less than 5 MPa, it can effectively restrain the expansion of the surrounding rock’s plastic zone and reduce roadway maintenance costs by 30% [38]. However, under conditions such as repeated disturbances and high-stress environments, the backfill is prone to creep damage [39,40]. Research on backfill creep damage primarily involves laboratory experiments focusing on creep characteristics, constitutive models, and material optimization [41,42]. The research shows that the higher the binder content in cemented backfill, the smaller the instantaneous creep deformation and rate, and the later the onset of the accelerated creep failure stage [43,44]. Under different stress levels, the creep failure mode of backfill transitions from brittle to ductile, with acoustic emission events directly correlated to crack propagation [45,46].
The long-term strength of sulfur-containing tailings backfill decreases due to expansive products generated by reactions between sulfides and cement, which can exacerbate long-term creep damage [47]. A modified Burgers model, considering stress levels and damage accumulation, can effectively characterize the creep behavior under varying binder contents [48]. A nonlinear creep model can be applied to describe the interaction mechanism between surrounding rock deformation and backfill creep under high-stress conditions in deep mining [49]. The addition of glass fibers, polypropylene fibers, or alkaline agents can inhibit sulfide-induced corrosion, enhancing crack resistance and creep durability [50]. By adjusting parameters such as the cement-to-tailings ratio and slurry density, the long-term stability and economic efficiency of backfill can be balanced, reducing the consumption of cementitious materials [51,52]. However, under the CMB method, the backfill experiences cyclic loading and unloading disturbances due to the mining of adjacent mining roadways [53]. Only after all mining roadways are filled does the backfill enter the creep stage. Therefore, investigating the creep characteristics of high-volume fly ash-based backfill materials with consideration of initial damage is critical, which represents the key to improving mining efficiency in CMB operations and enhancing the comprehensive utilization of fly ash.
This study investigates the creep behavior of backfill materials under initial damage conditions through laboratory experiments, using high-volume fly ash–cement backfill materials in the context of CMB. The outcomes provide fundamental data for understanding creep mechanisms in backfill subjected to mining disturbances. Furthermore, this work offers theoretical support for enhancing the recycling utilization rate of coal-based solid wastes and achieving energy conservation and carbon reduction in coal mining operations.

2. Creep Testing Methods for Backfill Materials

2.1. Sample Preparation

To meet the requirements for backfill material preparation and underground transportation, high-volume fly ash–cement backfill material is formulated into two components: Material A and Material B. Material A serves as the main structural component, providing primary load-bearing capacity, while Material B functions as a binder, reinforcing agent, and quick-setting component. For this experiment, fly ash was selected as Material A, and gypsum, quicklime, cement, and additives were chosen as Material B. By mass ratio, Material A consists mainly of 50 parts fly ash and 0.5~1 part additive, while Material B comprises 1~3 parts gypsum, 5~10 parts lime, 2~6 parts cement, and 0.5~1 part additive [54]. Based on previous backfill mixture ratio tests, an optimal mass ratio of fly ash, gypsum, lime, cement, and additives was determined as 27:1:5:3:1 (with a fly ash content of approximately 73.0%) and a water-to-solid ratio of 0.85:1. The backfill material mixing scheme is shown in Table 1.
The preparation of the backfill samples consists of six steps: ① Materials preparation; ② Mixing with water to form slurry; ③ Pouring the slurry into molds; ④ Forming and demolding; ⑤ Samples curing; ⑥ Dimensional verification. The sample preparation process is illustrated in Figure 1. Steps ④ and ⑤ are critical stages in specimen preparation. In Step ④, the sealed backfill slurry should be left undisturbed for 24~48 h in an environment with a temperature of 20 ± 5 °C, avoiding direct sunlight. The molds should only be removed after the slurry has fully solidified and formed. In Step ⑤, the demolded backfill samples are first inspected for defects by immersing them in a saturated Ca(OH)2 solution. Qualified samples are then placed in a constant temperature and humidity curing chamber with a relative humidity of 95% for 28 days. The spacing between samples should be maintained at 10~20 mm.

2.2. Testing Program

The cumulative damage characteristics of backfill were investigated using cyclic loading–unloading tests. The creep properties of backfill considering initial damage were studied through stepwise creep loading tests.

2.2.1. Cyclic Loading–Unloading Tests

In the context of CMB engineering, the initial damage to the backfill can be attributed to disturbances caused by adjacent mining and backfilling operations in mining roadways. The number of disturbances experienced by the backfill depends on the mining phases (typically no more than four phases), with the first-phase backfill undergoing the most disturbances, making it the weakest zone. Taking a typical four-phase scenario as an example, the number of loading–unloading cycles for the backfill in each phase is 6, 4, 2, and 0, respectively. This determines the cyclic loading–unloading frequency.
Uniaxial physical and mechanical property tests on backfill samples show that the average compressive strength, tensile strength, and shear strength are 5.23 MPa, 1.05 MPa, and 1.56 MPa, respectively. The test parameters include a loading rate of 0.05 mm/s, a maximum axial stress of 5.00 MPa, and a confining pressure of 1.00 MPa, with the axial stress not being fully unloaded to zero. The loading protocol is as follows: The first-stage axial stress increases from 0 MPa to 2.00 MPa, then unloads to 1.50 MPa. For subsequent stages, the peak axial stress increases by 0.60 MPa per level, with unloading always to 1.50 MPa. If the sample does not fail when the axial stress reaches 5.00 MPa, a displacement-controlled loading at 0.05 mm/s is applied until failure occurs.

2.2.2. Stepwise Creep Loading Tests

The maximum load for the stepwise creep test on backfill was set at 90% of the conventional triaxial deviatoric stress strength (σds, σds = σ1σ3), while the minimum load was set at 40% of the conventional triaxial deviatoric stress strength. The test parameters included an axial loading rate of 0.05 mm/s and a confining pressure of 1.00 MPa. The loading protocol was as follows: The axial stress started at 40% of the deviatoric stress strength, with each subsequent level increased by 10% until reaching 90%. Each creep stage lasted 2 h. If the specimen did not fail upon reaching 90% of the deviatoric stress strength, the stress increment was reduced to 2.5% per level for further loading.

2.3. Testing Equipment

The cyclic loading–unloading tests and stepwise creep loading tests were conducted using a GDS triaxial testing system, as illustrated in Figure 2. The test mainly involves the axial pressure control system and the confining pressure control system. By controlling the axial servo press, the loading and unloading of the sample under axial compression can be realized. Silicone oil is injected into the closed chamber through the confining pressure controller to exert confining pressure on the test piece.

3. Initial Damage Characteristics of Backfill

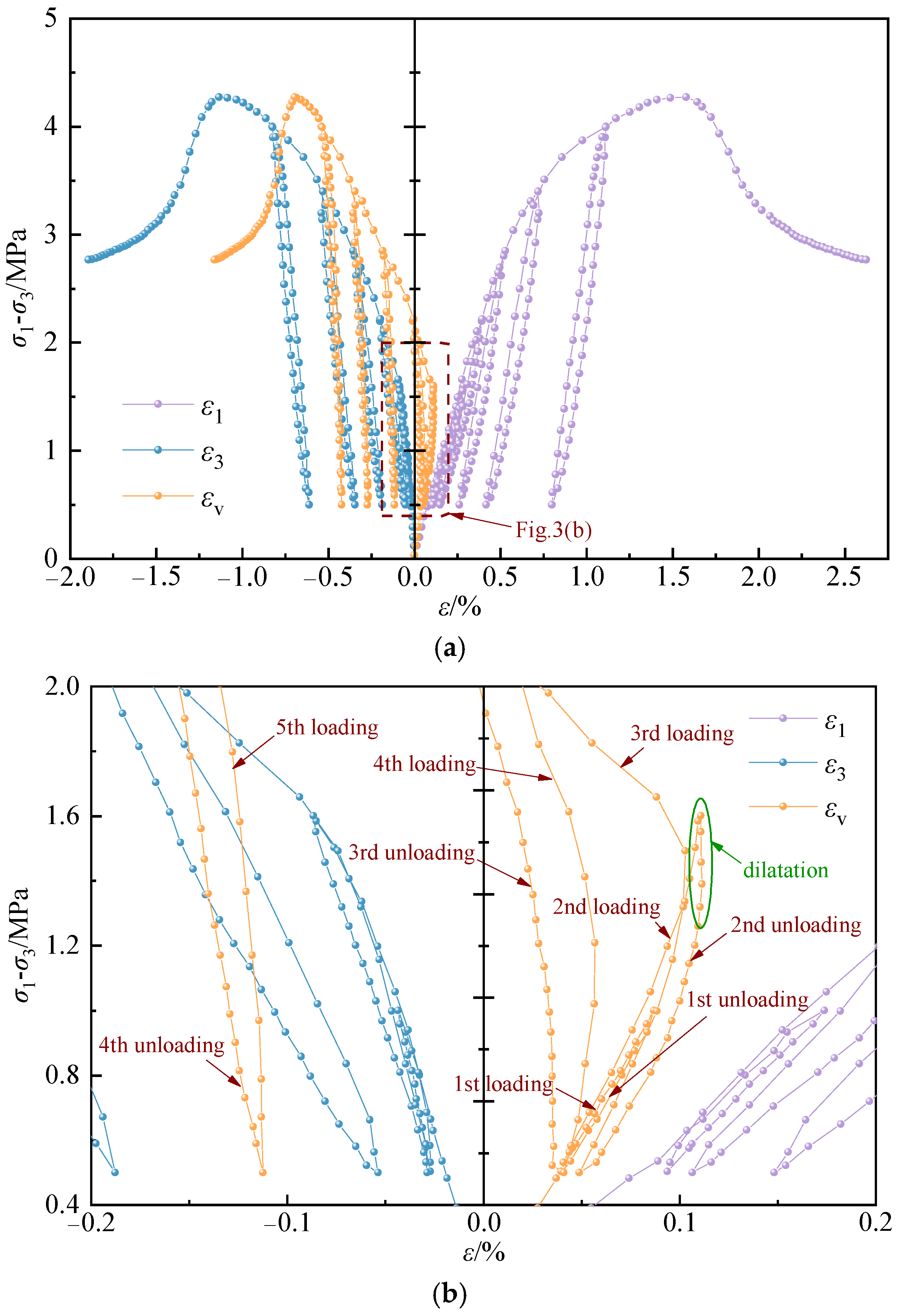
Taking the CMB divided into four phases as an example, the initial damage characteristics of the backfill are analyzed. The backfill undergoes a maximum of six loading–unloading cycles, as shown in Figure 3. It can be observed from the figure that dilation occurs during the second loading cycle, corresponding to a deviatoric stress of 1.49 MPa and a volumetric strain of approximately 0.15%. As the number of cycles increases and the deviatoric stress level rises, the area of the hysteresis loop gradually expands. The axial strain increments for each loading–unloading hysteresis loop are 0.02%, 0.02%, 0.04%, 0.11%, 0.16%, and 0.38%, respectively. When the deviatoric stress reaches 4.27 MPa, the specimen fails, corresponding to an axial strain of 1.58%. Its residual strength is about 2.59 MPa, approximately 55% of the peak stress.
The initial damage (D0) of the backfill sample is defined as the ratio of the cumulative dissipated energy during the cyclic loading–unloading process to the work done by the press on the specimen [55,56,57]. Thus, after the n-step cyclic loading–unloading test, the initial damage of the backfill sample can be expressed as
D 0 ( n ) = m = 1 n ε m ε m [ σ m ( ε ) 0.5 ] d ε m = 1 n ε m ε m [ σ m ( ε ) 0.5 ] d ε ε m ε m [ σ m ( ε ) 0.5 ] d ε + m = 1 n ε m ε m [ σ m ( ε ) 0.5 ] d ε m = 1 n ε m ε m [ σ m ( ε ) 0.5 ] d ε
where σm(ε) and σ′m(ε) denote the deviatoric stresses during the m-th cycle’s loading and unloading phases, respectively; ε and ε′m represent the axial strains at the peak (vertex) and valley (nadir) points of the stress–strain hysteresis loop for the m-th loading–unloading cycle.
The integral in Equation (1) can be computed using the “Analysis → Mathematics → Integrate” function in Origin. This yields the energy parameters and damage degree of the backfill sample during each loading–unloading cycle, as summarized in Table 2, Table 3 and Table 4. Here, Vi denotes the axial compression volume of the specimen in the i-th cycle (where i = 1, 2, 3, 4, 5, 6).
The table shows that after 2, 4, and 6 loading–unloading cycles, the cumulative damage of the backfill sample reaches 0.35, 0.40, and 0.45, respectively. Therefore, the initial damage levels D0 for the creep tests are set as 0, 0.35, 0.40, and 0.45, representing the influence of mining–backfilling disturbances at the 4th, 3rd, 2nd, and 1st phases, respectively. Additionally, due to the inherent variability among specimens, it is challenging to ensure identical damage values across all samples. Thus, the allowable error range for initial damage is controlled within 5%.

4. Creep Characteristics of Backfill Considering Initial Damage

4.1. Axial Deformation Characteristics

During the creep test, the GDS device recorded data every 10 s. To avoid excessive density of data points interfering with the test results, the original data was diluted. Under each stress level, the duration of stress maintenance was 2 h, and one data point was selected every 120 s. The transition duration from a lower stress level to a higher one was 2 min, during which one data point was selected every 20 s. The variation curve of the axial strain (ε1) of the specimen with time was obtained, as shown in Figure 4. In the figure, σc represents the peak maximum deviatoric stress, in MPa.
By comparing Figure 4a–d, it can be observed that intact samples and samples with initial damage exhibit similar creep characteristics. Under low stress levels, they primarily undergo instantaneous deformation, decelerating creep, and steady-state creep stages. At higher stress levels, they mainly experience instantaneous deformation, decelerating creep, steady-state creep, and accelerating creep stages. The detailed findings include:
(1).
For intact samples: When the stress level does not exceed 0.9 σc, the sample undergoes a brief decelerating creep stage before the creep curve stabilizes into a horizontal line. When the stress level reaches 0.925 σc, the creep process exhibits three distinct stages: decelerating creep, steady-state creep, and accelerating creep. The instantaneous deformation and creep deformation are 1.13% and 0.15%, respectively.
(2).
For samples with D0 = 0.45: When the stress level does not exceed 0.7 σc, the samples experience a short decelerating creep stage before the creep curve stabilizes. When the stress level reaches 0.8 σc, the decelerating creep stage becomes nearly indistinguishable, with the creep process transitioning directly from steady-state creep to accelerating creep. The instantaneous deformation and creep deformation are 0.61% and 0.21%, respectively.
(3).
The total creep durations of the samples are 835 min, 644 min, 612 min, and 555 min, respectively. Compared to the intact sample (835 min), the creep durations of the damaged samples are reduced by 22.87%, 26.71%, and 33.53%, respectively.
(4).
The ratio of creep deformation to total deformation for the samples is 10.24%, 12.09%, 14.12%, and 17.40%, respectively. Compared with the intact sample, the creep deformation proportion increases by 18.07%, 37.89%, and 69.92% for damaged samples with varying degrees of initial damage.
These testing findings confirm that initial damage significantly compromises the mechanical integrity of backfill material, primarily through three manifestations: reduction in failure stress thresholds, contraction of total creep lifespan, and elevation in creep deformation contribution.

4.2. Volume Deformation Characteristics

The volumetric strain (εV, εV = ε1 + 2 ε3) time-history curves of the specimens are shown in Figure 5. Comparative analysis of (a) to (d) reveals that both intact specimens and those with initial damage exhibit similar evolutionary trends in volumetric strain, progressing sequentially through compression, stabilization, dilatancy, and failure stages. When the deviatoric stress remains below the yield strength, axial deformation (ε1) dominates, resulting in overall volume compression. As the deviatoric stress approaches the yield strength, circumferential deformation (ε3) begins to increase significantly, with its growth rate becoming comparable to or even exceeding that of axial deformation. This leads to stabilization of the volumetric strain curve, followed by gradual expansion. Once the deviatoric stress exceeds the yield strength, the circumferential deformation rate (v3) surpasses the axial deformation rate (v1), and the disparity between them progressively widens, making volume dilatancy increasingly pronounced. With continued creep progression or further increase in deviatoric stress, the specimen enters the accelerated creep stage, exhibiting distinct creep dilatancy before ultimately undergoing creep failure. The detailed findings include:
(1)
The volumetric dilatancy and creep-induced expansion of specimens typically initiate during the stress adjustment phase, a critical period characterized by the nucleation, propagation, and subsequent coalescence of microcracks, which progressively deteriorate the material’s load-bearing capacity.
(2)
At stress levels ≤ 0.5 σc, the specimen exhibits predominantly axial compressive deformation, resulting in net volumetric contraction. In the stress range of 0.6 σc to 0.7 σc, the specimen’s circumferential strain rate approaches or surpasses its axial strain rate, resulting in stabilization and subsequent dilatation of the volumetric strain curve. When the stress level reaches or exceeds 0.8 σc, the specimen exhibits a circumferential strain rate that consistently surpasses the axial strain rate, marking the onset of significant creep effects, which is defined as the SCE index. Progressive creep development or additional stress elevation beyond this threshold drives the specimen into the accelerated creep phase, ultimately leading to structural failure.
(3)
The SCE serves as a critical indicator marking the transition from stable deformation to imminent failure. Quantitative analysis reveals SCE initiation times of 602 ± 2 min, 486 ± 2 min, 488 ± 2 min, and 490 ± 2 min for respective samples, corresponding to 72.10%, 75.47%, 79.74%, and 88.29% of their total creep durations.

4.3. Characteristics of Volumetric Strain Rate

The volumetric strain rate (vv) evolution curves of the specimens are presented in Figure 6, where positive values indicate volumetric compression and negative values represent volumetric expansion. Comparative analysis of subplots Figure 5a–d reveals that both intact specimens and those with initial damage exhibit similar evolutionary patterns in volumetric strain rate, which can be distinctly categorized into volumetric compression and expansion phases. The detailed findings include:
(1)
Volumetric compression phase:
The peak volumetric strain rate (vvmax) decreases with increasing stress levels, indicating that higher stresses induce greater circumferential strains, which partially offset axial compression through lateral expansion. At identical stress levels, intact samples demonstrate higher vvmax than pre-damaged samples. This suggests that initial damage compromises the material’s elastic capacity, with axial strain dominating volumetric response at low stress levels (≤0.5 σc).
(2)
Volumetric expansion phase:
vvmax increases proportionally with stress levels, demonstrating the circumferential strain’s dominant contribution to volumetric deformation. This confirms that initial damage facilitates circumferential strain development, further evidencing its weakening effect on backfill materials.

5. Construction of HKBN Constitutive Model for Backfill

5.1. Proposing an Accelerated Creep Element

To address the limitations of classical rheological models in accurately characterizing accelerated creep behavior while accounting for the influence of initial damage on backfill materials, an enhanced nonlinear plastic damage model (NPDM) was developed to describe the accelerated creep stage. The plastic damage element with cross-sectional area A in the NPDM framework comprises three distinct components: the undamaged portion (Ar), initial damage (A0), and creep-induced damage (Ac). The research findings demonstrate that damage initiation occurs exclusively when the applied stress reaches the yield stress threshold (σs) [58,59,60]. The undamaged portion of the NPDM is assumed to comply with Hooke’s law of elasticity. Under uniaxial loading conditions, the creep constitutive equation for the NPDM incorporating initial damage effects is expressed as:
ε N ( t ) = { 0 ,   σ < σ s σ d s σ s E N [ 1 t t z ( D 0 ) ] 1 r + 1 ,   σ σ s
In the equation: tz: total creep duration, s; r: material-specific constant of backfill; EN: elastic modulus of the NPDM model, GPa; σds: deviatoric stress, defined as σ1σ3, MPa.
Based on previous research findings demonstrating the correlation between total creep duration and initial damage in backfill materials, we performed nonlinear regression analysis on the experimental data from Figure 5. The resulting empirical relationship between tz and D0 is expressed as:
t z ( D 0 ) = 139.97 e D 0 0.41 + 973.92
By combining the damage evolution law from Equation (3) with the fundamental constitutive relation in Equation (2), we obtain the complete NPDM creep equation accounting for initial damage:
ε N ( t ) = { 0 ,   σ < σ s σ d s σ s E N [ 1 t 139.97 e D 0 0.41 + 973.92 ] 1 r + 1 ,   σ σ s

5.2. The Three-Dimensional HKBN Constitutive Model

Based on the above analysis, the connection method of the rheological mechanical components in the HKBN model is shown in Figure 7. Assuming that σsB and σsN are the initiation stresses for steady-state creep and accelerated creep, respectively, where σsB < σsN. When σds < σsB, only the Hooke body and Kelvin body contribute to deformation, and the HKBN model exhibits instantaneous deformation and decelerating creep. When σsBσds < σsN, the Hooke body, Kelvin body, and Bingham body contribute to deformation, and the HKBN model exhibits instantaneous deformation, decelerating creep, and steady-state creep. When σdsσsN, all constitutive elements within the HKBN model participate in the deformation process, exhibiting comprehensive three-stage creep behavior.
Thus, the creep equation of the one-dimensional HKBN model can be expressed as:
ε ( t ) = { σ d s E H + σ d s E K [ 1 exp ( E K η K t ) ] ,   σ d s < σ s B σ d s E H + σ d s E K [ 1 exp ( E K η K t ) ] + σ d s σ s B η B t ,   σ s B σ d s < σ s N σ d s E H + σ d s E K [ 1 exp ( E K η K t ) ] + σ d s σ s B η B t + σ d s σ s N E N [ 1 t 139.97 e D 0 0.41 + 973.92 ] 1 r + 1 ,   σ d s σ s N
The stress tensor σij and strain tensor εij of the backfill can be expressed respectively as [61,62]:
σ i j = δ i j σ m + S i j
ε i j = δ i j ε m + e i j
In the equation: σm: the spherical (or volumetric) stress tensor; Sij: the deviatoric stress tensor; δij: Kronecker delta; εm: the spherical (or volumetric) strain tensor; eij: the deviatoric strain tensor.
Therefore, Equation (5) can be rewritten as:
ε i j ( t ) = { σ m 3 K H + S i j 2 G H + S i j 2 G K [ 1 exp ( G K η K t ) ] ,   S i j < σ s B σ m 3 K H + S i j 2 G H + S i j 2 G K [ 1 exp ( G K η K t ) ] + S i j σ s B η B t ,   σ s B S i j < σ s N σ m 3 K H + S i j 2 G H + S i j 2 G K [ 1 exp ( G K η K t ) ] + S i j σ s B η B t + ( σ m 3 K N + S i j σ s N 2 G N ) [ 1 t 139.97 e D 0 0.41 + 973.92 ] 1 r + 1 ,   S i j σ s N
where, KH, GH, and GK are the bulk modulus of the Hooke body (GPa), the shear modulus of the Hooke body (GPa), and the shear modulus of the Kelvin body (GPa), respectively.
Since the samples were subjected to hydrostatic pressure loading, Equations (6) and (7) reduce to:
σ m = σ 1 + 2 σ 3 3
S i j = 2 ( σ 1 σ 3 ) 3
By substituting Equations (9) and (10) into Equation (8), the three-dimensional HKBN creep equation under hydrostatic pressure loading is derived as:
ε i j ( t ) = { σ d s + 3 σ 3 9 K H + σ d s 3 G H + σ d s 3 G K [ 1 exp ( G K η K t ) ] ,   σ d s < σ s B σ d s + 3 σ 3 9 K H + σ d s 3 G H + σ d s 3 G K [ 1 exp ( G K η K t ) ] + σ d s σ s B 3 η B t ,   σ s B σ d s < σ s N σ d s + 3 σ 3 9 K H + σ d s 3 G H + σ d s 3 G K [ 1 exp ( G K η K t ) ] + σ d s σ s B 3 η B t + ( σ d s + 3 σ 3 9 K N + σ d s σ s N 3 G N ) [ 1 t 139.97 e D 0 0.41 + 973.92 ] 1 r + 1 ,   σ d s σ s N

5.3. Parameters Fitting for the HKBN Constitutive Model

5.3.1. Parameters Classification and Fitting

The parameters of the HKBN creep model are classified into three categories for fitting: Threshold stresses for initiating different creep stages (σsB and σsN); Instantaneous deformation parameters (KH and GH) that can be directly determined; Creep deformation parameters (GK, ηK, ηB, KN, GN, and r) requiring iterative fitting calculations [63,64,65,66].
(1)
Threshold stresses
As can be seen from Figure 4, the deviatoric stress level at which the backfill sample undergoes volumetric expansion ranges between 0.5~0.6 σc, while the stress level for volumetric dilatancy occurs between 0.8~0.9 σc. Taking the lower bounds of these stress intervals, we obtain σsB = 0.5 σc and σsN = 0.8 σc. For the case of D0 = 0, the maximum deviatoric stress is 4.59 MPa, yielding σsB = 2.30 MPa and σsN = 3.67 MPa. For the case of D0 = 0.45, the maximum deviatoric stress is 4.27 MPa, resulting in σsB = 2.14 MPa and σsN = 3.42 MPa.
(2)
Instantaneous deformation parameters
The instantaneous deformation parameters KH and GH can be determined by solving the system of stress–strain equations for the backfill under different stress levels. It should be noted that when the stress level is below σsB or above σsN, only a single dataset is available, making it impossible to establish a system of equations. In such cases, this study employs linear fitting to estimate the instantaneous deformation parameters. The fitted results for the instantaneous deformation parameters in the HKBN creep model are presented in Table 5, Table 6, Table 7 and Table 8.
(3)
Creep deformation parameters
The Levenberg-Marquardt algorithm (LM method) was employed to determine the partitioned creep deformation parameters. In this study, interval calculations were first performed for different stress levels, followed by linear fitting of the creep deformation parameters at remaining stress levels based on the computational results. For instance, the LM method was initially used to fit creep deformation parameters at deviatoric stress levels of 0.4 σc, 0.6 σc, 0.8 σc, 0.9 σc, and 0.925 σc, respectively. Subsequently, these results were utilized to derive the creep deformation parameters at intermediate stress levels of 0.5 σc and 0.7 σc through additional fitting procedures. This approach not only ensured nonlinear fitting of creep deformation parameters across all stages (decelerated creep, steady-state creep, and accelerated creep) but also validated the model’s rationality.
The fitting results of creep deformation parameters for the HKBN model under deviatoric stress levels of 0.4 σc, 0.6 σc, 0.8 σc, 0.9 σc, and 0.925 σc with initial damage levels of 0, 0.35, 0.40, and 0.45 are presented in Table 9, Table 10, Table 11 and Table 12, with corresponding fitting curves illustrated in Figure 8. The coefficient of determination (R2) between fitted data and testing data exceeded 0.98 in all cases, demonstrating excellent agreement.

5.3.2. Parameter Validation

The validation results of model parameters at deviatoric stress levels of 0.5 σc and 0.7 σc were obtained through linear fitting methodology, as summarized in Table 13. These determined parameters were subsequently incorporated into the HKBN constitutive model, with the corresponding validation results graphically presented in Figure 9.
From a correlation perspective, the squared coefficient of determination (R2) between the validated and experimental values was no less than 0.80. Comparative analysis revealed that during the initial creep stage, the validated values were systematically lower than the experimental measurements. This discrepancy may be attributed to two primary factors: (1) the HKBN constitutive model characterizes the complete creep deformation behavior of backfill materials without accounting for stress fluctuation effects on deformation, and (2) the GDS testing system requires approximately 120 s for stress adjustment before entering the stress-holding phase, during which the strain rate is significantly higher than during steady-state creep. Consequently, the validated values exhibit a temporal lag relative to experimental data.
From a correlation standpoint, the coefficient of determination (R2) between the validated and experimental values was high. Notably, after 20~40 min of creep, the two datasets exhibited strong convergence. These findings substantiate the scientific value of the HKBN model for investigating critical engineering problems pertaining to creep deformation mechanisms and long-term bearing behavior in high-volume fly ash–cement backfill materials.

5.3.3. Parameters Sensitivity Analysis

To validate the accuracy and efficacy of the established three-dimensional HKBN model, creep parameter inversion was performed on the accelerated creep curves corresponding to three distinct stress levels (0.925 σc, 0.9 σc, and 0.8 σc) as presented in Figure 8. The inversion results, depicted in Figure 10 and tabulated in Table 14, demonstrate that the three-dimensional HKBN model exhibits robust applicability to backfill samples with varying initial damage states and subjected to different loading stress levels.
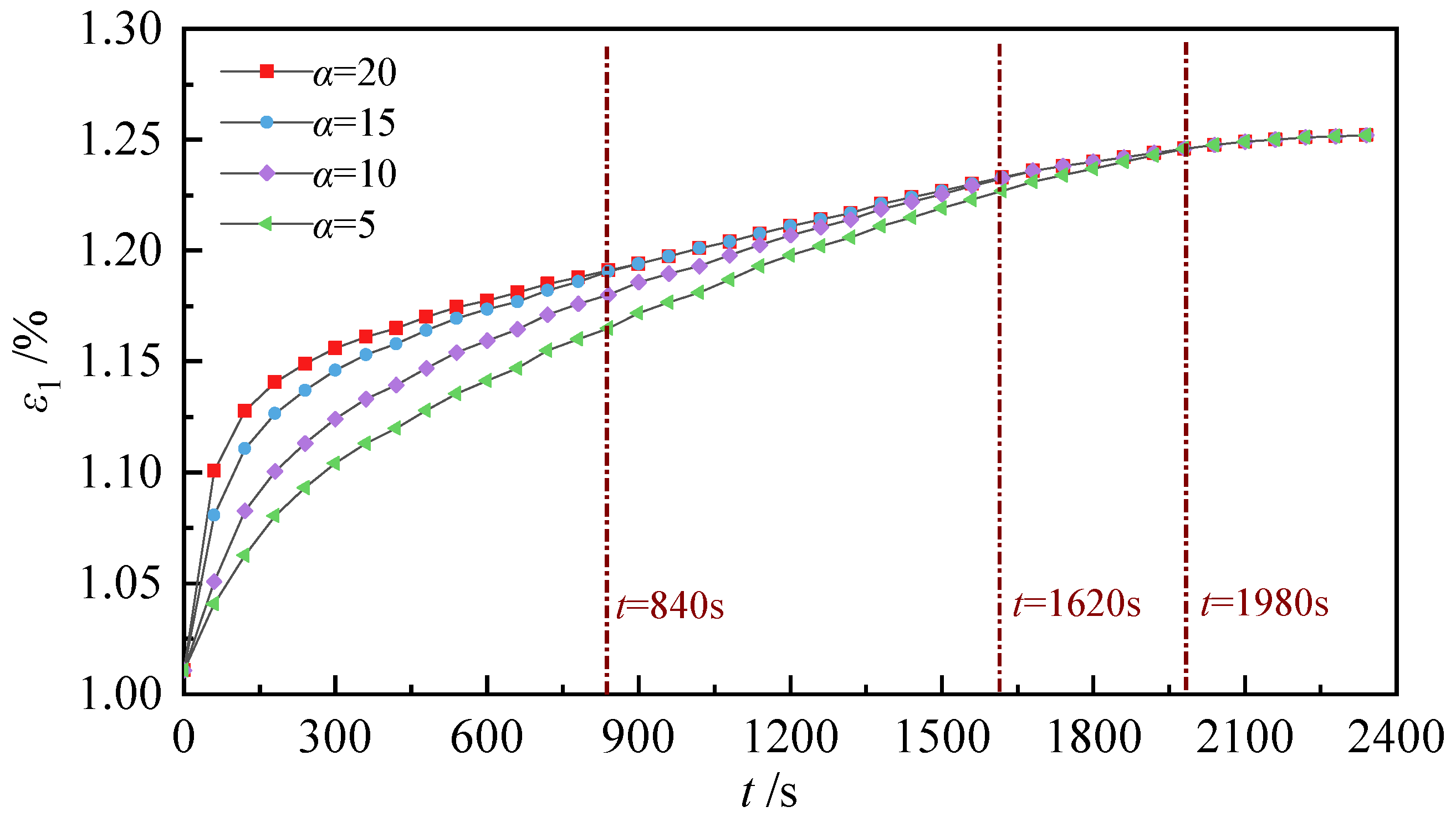
As indicated by Equation (11), the coefficient and exponent of the time variable t are the primary factors influencing the model’s effectiveness. For clarity in presentation, two parameters—α and β—are introduced, where α represents the ratio of GK to ηK, and β is defined as the reciprocal of (r + 1). Since the α value significantly affects the deceleration creep stage of the sample, a sensitivity analysis was conducted. Based on the data presented in Table 9, Table 10, Table 11 and Table 12, the α value ranges from 5 to 20. Accordingly, the creep curves were generated for α values of 5, 10, 15, and 20, as illustrated in Figure 11.
The results demonstrate that as α increases, the sample transitions into the deceleration creep stage more rapidly. However, this parameter does not influence the instantaneous deformation or the subsequent steady-state creep behavior. These findings confirm that the HKBN model effectively captures both the deceleration and steady-state creep stages of the sample.
Equation (11) reveals that the β parameter governs the accelerated creep stage of the specimen. As documented in Table 9, Table 10, Table 11 and Table 12, the parameter R exhibits a range of 0.15 to 0.65. Consequently, corresponding β values were calculated as 0.91, 0.77, 0.67, and 0.59 for r values of 0.1, 0.3, 0.5, and 0.7, respectively. The characteristic creep curves during the accelerated stage are presented in Figure 12.
The results demonstrate higher β values correspond to shorter accelerated creep transition periods. This finding confirms that the HKBN model effectively characterizes accelerated creep behavior across varying stress levels through appropriate β value modulation.
The initial damage parameter (D0) significantly influences the creep behavior of specimens. Figure 13 presents the accelerated creep stage characteristics for D0 values of 0, 0.35, 0.40, and 0.45. The comparative analysis reveals that damaged samples exhibit a different creep pattern compared to intact samples. The characteristic steady-state creep phase is virtually absent, with samples progressing directly to accelerated creep and subsequent failure.
Furthermore, when compared with the results shown in Figure 12, the initial damage D0 demonstrates a more pronounced effect on creep characteristics than the material property parameter r. This finding underscores the critical role of pre-existing damage in determining the creep response and failure mechanism of the materials.

6. Discussion

(1) To characterize the creep behavior of backfill materials under CMB disturbance conditions, cyclic loading–unloading paths with explicit physical significance were designed for backfill samples. An initial damage variable was introduced to quantitatively represent the disturbance effects induced by adjacent mining roadways. Through a comprehensive analysis of the axial deformation characteristics, volumetric strain evolution, and volumetric strain rate patterns of the backfill materials, an advanced HKBN constitutive model was developed specifically for high-volume fly ash–cement backfills. Systematic parameter identification and validation were subsequently conducted.
In combination with Figure 4, it can be observed that specimens with different initial damage levels exhibit distinct differences in the curve patterns of accelerated creep. For the sample with D0 = 0, the three stages of creep only become apparent when the stress level reaches 0.925 σc. The durations of these stages are approximately 1200 s, 4600 s, and 900 s, respectively, indicating that the sample undergoes a relatively prolonged period of steady-state creep before failure. As the initial damage increases, a stress level of 0.9 σc is sufficient to induce sample failure. Comparing Figure 4b,c, it is found that when D0 = 0.40, the sample already enters the accelerated creep phase during the stress adjustment stage at 0.9 σc. Therefore, when acquiring accelerated creep curves, the magnitude of stress adjustment requires a more refined design. A 10% stress increment may lead to missing the optimal curve morphology.
As can be seen from Figure 5, the volumetric change of the samples consistently follows the sequence of “compression → expansion → dilatancy → failure.” Comparing Figure 5a–d, it is evident that the volumetric compression phase always occurs at stress levels no higher than 0.5 σc. This suggests that the initial damage has an insignificant influence at relatively low stress levels (maybe not exceeding 0.5 σc). The underlying mechanism of this effect requires further experimental validation.
(2) The CMB demonstrates distinct advantages through its adaptable coal extraction techniques and constrained backfill space utilization, effectively compensating for the insufficient early-age strength of high-volume fly ash-based backfills (fly ash content > 70%). In practical applications, the mining area is frequently partitioned into multiple extraction phases (typically 2~4 or more phases), with staggered development of mining roadways. While such operational configurations may alter the stress distribution within backfill materials and consequently modify their creep behavior (resulting in deviations from the conclusions presented in this study), the fundamental research methodology and analytical framework established herein remain fully applicable.
(3) The parameter identification for the creep model was conducted through a categorized analytical approach. The threshold stresses and instantaneous deformation parameters were determined as priority parameters, followed by the determination of creep deformation parameters through optimized fitting procedures. This hierarchical identification strategy significantly reduces computational complexity while maintaining high accuracy (R2 > 0.98). Furthermore, an interval-fitting methodology was implemented for different stress levels, whereby model parameters at intermediate stress levels were extrapolated from fitted results and subsequently validated against experimental data. This approach provides support for the reliability of fitting parameters.
(4) This study employs an integer-order creep model. During the transition from instantaneous deformation to creep deformation, certain deviations are observed. However, these deviations progressively diminish with increasing creep duration and eventually approach zero. Comparative studies demonstrate that fractional-order models exhibit superior performance when higher precision is required. Nevertheless, the integer-order model offers distinct practical advantages, including fewer model parameters that facilitate both computation and application, while still maintaining satisfactory correlation (R2 > 0.80). Consequently, the integer-order model presents greater engineering value for investigating the creep behavior of backfill materials.
(5) The material category is also one of the important factors influencing the creep characteristics of backfill. The research object of this paper is a fly ash–cement backfill material with a blending ratio of 73%, which belongs to brittle materials. For backfill materials such as loose, paste, and high-water-content types, their load-bearing mechanisms differ, and their creep characteristics may also vary. For example, in loose backfill materials using gangue as aggregate, the bonding force between particles has minimal impact on deformation. The creep behavior primarily reflects the macroscopic mechanical response of mesoscopic movements such as squeezing, interlocking, and crushing among gangue particles. Therefore, this paper has limitations in addressing the creep characteristics of loose backfill materials.

7. Conclusions

Based on the engineering context and mechanical conditions of CMB, this study conducted creep tests on high-volume coal-based solid waste backfill materials using fly ash as a representative raw material. The investigation focused on the creep behavior of backfill materials under mining–backfilling cyclic disturbances, and a corresponding creep constitutive model was established. The principal research findings are as follows:
(1) A high-volume fly ash–cement backfill material compatible with CMB requirements was prepared, with a fly ash content of 73.0%. The cyclic loading–unloading mechanical effects exerted by CMB on backfill were simulated through experimental procedures involving constant confining pressure with multiple axial loading–unloading cycles. Based on the relationship between the dissipated energy and work done by the press machine, a computational method for determining the initial damage of backfill materials was proposed. Using four phases as examples, the study investigated the initial damage characteristics of backfill materials during different mining phases.
(2) Creep tests were conducted on high-volume fly ash–cement backfill samples with initial damage levels of 0, 0.35, 0.40, and 0.45, respectively. The weakening effects of initial damage on the long-term bearing capacity of backfill were systematically investigated through axial strain, volumetric deformation, and volumetric strain rate analyses. The key findings include: (a) The failure stress level decreased from 0.925 σc to 0.8 σc; (b) The total creep duration was reduced from 835 min to 555 min; (c) The proportion of creep deformation to total deformation increased from 10.24% to 17.40%.
(3) The HKBN constitutive model, capable of describing the entire creep process of backfill, was established by improving a nonlinear plastic damage component. The model parameters were categorized into the threshold stress for initiation, instantaneous deformation parameters, and creep deformation parameters. These parameters were solved using the experimental analysis method, the simultaneous equations method, and the Levenberg-Marquardt method, respectively. Linear fitting was then employed to validate the parameters. The fitting results showed an R2 no less than 0.98, while the validation results exhibited an R2 no less than 0.80.
The results provide deformation-based criteria for roof management and overlying strata movement control in CMB, offering scientific value for studies on overburden damage-reduction mining, surface deformation control, and shallow water resource protection. Furthermore, this study demonstrates that appropriate coal mining techniques can compensate for the early-stage strength deficiency of high-volume fly ash backfill materials, thereby establishing a theoretical foundation for enhancing the utilization efficiency of coal-based solid waste resources.

Author Contributions

Conceptualization, S.W. and N.M.K.; methodology, J.Y.; software, Y.Y.; validation, J.Y.; formal analysis, Z.D.; investigation, H.G.; resources, S.W.; data curation, J.Y.; writing—original draft preparation, S.W.; writing—review and editing, Z.D.; visualization, Y.Y.; supervision, H.G.; project administration, H.G.; funding acquisition, S.W. All authors have read and agreed to the published version of the manuscript.

Funding

This research was funded by Science Research Project of Hebei Education Department (grant number: BJK2024105), the 2023 Annual Science and Technology Special Project for the Construction of Chengde National Innovation Demonstration Zone for Sustainable Development Agenda (grant number: 202305B017), and the Chengde High-tech Industrial Development Zone Chengde HeHe Co-maker Space Innovation and Entrepreneurship Project (grant number: CGX2024KMP1A24). The APC was funded by Science Research Project of Hebei Education Department (grant number: BJK2024105).

Institutional Review Board Statement

Not applicable.

Informed Consent Statement

Not applicable.

Data Availability Statement

All data generated or analyzed during this study are included in this published article.

Acknowledgments

During this research, we received assistance from the production personnel of Wangtaipu Coal Mine. We would like to express our sincere gratitude.

Conflicts of Interest

The authors declare no conflicts of interest.

Abbreviations

The following abbreviations are used in this manuscript:
CMBcontinuous mining and backfilling
UCSuniaxial compressive strength
SCEsignificant creep effects
NPDMnonlinear plastic damage model

References

  1. National Bureau of Statistics. China Energy Statistical Yearbook 2023; China Statistical Publishing House: Beijing, China, 2024. [Google Scholar]
  2. Yuan, L. Strategic conception of carbon neutralization in coal industry. Chin. J. Eng. Sci. 2023, 25, 103–110. [Google Scholar] [CrossRef]
  3. Liu, L.; Xia, L.; Wang, S.M.; Fang, Z.Y.; Zhu, M.B.; He, W.; Gao, Y.H. Key technologies for preparation and multi scene utilization ofmulti-source solid waste based carbon fixation mining materials. J. China Coal Soc. 2025, 50, 1203–1222. [Google Scholar]
  4. Wang, S.M.; Liu, L.; Zhu, M.B.; Shen, J.J.; Shi, Q.M.; Sun, Q.; Fang, Z.Y.; Ruan, S.S.; He, W.; Yang, P.; et al. New way for green and low-carbon development of coal industry under the target of “daul-carbon”. J. China Coal Soc. 2024, 49, 152–171. [Google Scholar]
  5. Zhang, J.X.; Zhang, Q.; Zhou, N.; Li, M.; Huang, P.; Li, B.Y. Research progress and prospect of coal based solid waste backfilling mining technology. J. China Coal Soc. 2022, 47, 4167–4181. [Google Scholar]
  6. Xie, H.P.; Zhang, J.X.; Gao, F.; Li, B.Y.; Li, C.B.; Xie, Y.C.; Zhou, N. Theory and technical conception of carbon-negative and high-efficient backfill mining in coal mines. J. China Coal Soc. 2024, 49, 36–46. [Google Scholar]
  7. Behera, S.K.; Mishra, D.P.; Singh, P.; Mishra, K.; Mandal, S.K.; Ghosh, C.N.; Kumar, R.; Mandal, P.K. Utilization of mill tailings, fly ash and slag as mine paste backfill material: Review and future perspective. Constr. Build. Mater. 2021, 309, 125120. [Google Scholar] [CrossRef]
  8. Chen, D.H.; Cao, T.W.; Yang, K.; Chen, R.; Li, C.; Qin, R.X. Study on the Optimization of Proportion of Fly Ash-Based Solid Waste Filling Material with Low Cost and High Reliability. Sustainability 2022, 14, 8530. [Google Scholar] [CrossRef]
  9. Qin, Z.F.; Jin, J.X.; Liu, L.; Zhang, Y.; Du, Y.L.; Yang, Y.; Zuo, S.H. Reuse of soil-like material solidified by a biomass fly ash-based binder as engineering backfill material and its performance evaluation. J. Clean. Prod. 2023, 402, 136824. [Google Scholar] [CrossRef]
  10. Karalis, K.; Kollias, K.; Bartzas, G.; Mystrioti, C.; Xenidis, A. CO2 Sequestration Using Fly Ash from Lignite Power Plants. Mater. Proc. 2022, 5, 131. [Google Scholar]
  11. Shao, X.; Qin, B.; Shi, Q.; Yang, Y.; Ma, Z.; Li, Y.; Jiang, Z.; Jiang, W. The Impacts of CO2 Mineralization Reaction on the Physicochemical Characteristics of Fly Ash: A Study under Different Reaction Conditions of the Water-to-Solid Ratio and the Pressure of CO2. Energy 2024, 287, 129676. [Google Scholar] [CrossRef]
  12. Ngo, I.; Ma, L.Q.; Zhai, J.T.; Wang, Y.Y.; Wei, T.X. Durability of CO2 fly ash-based backfill materials in cation water deterioration. Int. J. Min. Reclam. Environ. 2023, 37, 544–567. [Google Scholar] [CrossRef]
  13. Xu, Y.H.; Wu, H.J.; Dong, Z.F.; Wang, Q.Q.; Chen, X.Y. Life cycle energy use efficiency and greenhouse gas emissions of circulating fluidized bed coal-fired plant with coal gangue and coal co-combustion. Environ. Dev. Sustain. 2023, 26, 20049–20071. [Google Scholar] [CrossRef]
  14. Effect of CO2 Pressure on Carbon Storage-Mechanical Properties of Red Mud-Fly Ash Based Grouting Materials. Available online: http://kns.cnki.net/kcms/detail/11.2402.td.20250509.1736.008.html (accessed on 20 May 2025).
  15. Yamamoto, T. Formulation optimization and proposal of Assessed Pozzolanic-activity Index (API) method for rapid evaluation of pozzolanic activity of fly ash. Constr. Build. Mater. 2024, 432, 136394. [Google Scholar] [CrossRef]
  16. Lu, J.; Wang, Z.; Su, S.; Liu, H.; Ma, Z.; Ren, Q.; Xu, K.; Wang, Y.; Hu, S.; Xiang, J. Single-Step Integrated CO2 Absorption and Mineralization Using Fly Ash Coupled Mixed Amine Solution: Mineralization Performance and Reaction Kinetics. Energy 2024, 286, 129615. [Google Scholar] [CrossRef]
  17. Yusuf, M.; Ibrahim, H. A Comprehensive Review on Recent Trends in Carbon Capture, Utilization, and Storage Techniques. J. Environ. Chem. Eng 2023, 11, 111393. [Google Scholar] [CrossRef]
  18. Kemal, M.A.; Ozgur, I.Y.; Mustafa, T. Long-term mechanical performance of fly ash-incorporated reactive magnesia cements. Adv. Cem. Res. 2024, 36, 1–38. [Google Scholar] [CrossRef]
  19. Jiang, L.; Cheng, L.; Zhang, Y.; Liu, G.; Sun, J. A Review on CO2 Sequestration via Mineralization of Coal Fly Ash. Energies 2023, 16, 6241. [Google Scholar] [CrossRef]
  20. Yu, Z.; Wang, B.M.; Li, T.R.; Fan, C.C.; Yu, H.H. Effect and mechanism of activators on the properties of Yellow River sediment/fly ash/cement-based alkali-activated cementitious materials used for coal mine filling. Constr. Build. Mater. 2024, 445, 137955. [Google Scholar] [CrossRef]
  21. Liu, L.; Lyu, Y.Z.; Zhou, J.; Zhao, Y.Y.; Sun, W.J. Effect and mechanism of the salt-alkali composite for the improvement of the early mechanical properties of high-content fly ash-based filling materials. Constr. Build. Mater. 2025, 464, 140138. [Google Scholar] [CrossRef]
  22. Uçurum, M.; Özdemir, A.; Teke, Ç. Optimization of surface modification parameters of fly ash with high calcium oxide (CaO) content to use as a filling material. Powder Technol. 2025, 451, 120463. [Google Scholar] [CrossRef]
  23. Sun, Y.H.; Xie, S.R.; Wu, C.W.; Cui, J.Q.; Chen, D.D.; Guo, F.F.; Jiang, Z.S.; Ren, Y.X.; Lu, W.Y. Influence of the ultra-fine fly ash dosages on the mechanical properties of the sulfoaluminate cement-based high water backfilling material. Sci. Rep. 2023, 13, 1564. [Google Scholar] [CrossRef] [PubMed]
  24. Ruan, S.S.; Liu, L.; Zhu, M.B.; Shao, C.C.; Xie, L.; Hou, D.D. Application of desulfurization gypsum as activator for modified magnesium slag-fly ash cemented paste backfill material. Sci. Total Environ. 2023, 869, 161631. [Google Scholar] [CrossRef] [PubMed]
  25. Li, Y.L.; Lu, B.; Yang, R.S.; Lin, H.; Xu, B.; Wang, S.S.; Liu, C.H. Continuous mining and filling cementing coal mining technology and typical engineering case. J. China Coal Soc. 2022, 47, 1055–1071. [Google Scholar]
  26. Wu, P.F.; Liu, X.M.; Zhang, Z.Q.; Wei, C. Properties of red mud-filled and modified resin composites. Constr. Build. Mater. 2023, 409, 133984. [Google Scholar] [CrossRef]
  27. Li, Y.J.; Luo, Y.; Wang, T.; Ju, K.; Jin, P.K.; Tang, R.L.; Zhao, B.C.; Ren, W.A. Ultrasonic strengthening characteristics of ammonia gas release during the preparation process of fly ash-based filling paste system. J. China Coal Soc. 2024, 49, 3063–3073. [Google Scholar]
  28. Zhao, C.T.; Wang, X.N.; Rao, Y.; Yu, C.J.; Luo, Z.L.; Li, J.; Saffarzadeh, A.; Wu, C.F.; Ni, W.; Wang, Q.H. Hydration and Pb Stabilization Mechanisms of Fly Ash–Slag-Based Mine Backfilling Binders. Int. J. Environ. Res. 2024, 18, 94. [Google Scholar] [CrossRef]
  29. Zhang, S.Q.; Shi, T.Y.; Ni, W.; Li, K.Q.; Gao, W.; Wang, K.; Zhang, Y.Y. The mechanism of hydrating and solidifying green mine fill materials using circulating fluidized bed fly ash-slag-based agent. J. Hazard. Mater. 2021, 415, 125625. [Google Scholar] [CrossRef] [PubMed]
  30. Sun, Q.; Tian, S.; Sun, Q.W.; Li, B.; Cai, C.; Xia, Y.J.; Wei, X.; Mu, Q.W. Preparation and microstructure of fly ash geopolymer paste backfill material. J. Clean. Prod. 2019, 225, 376–390. [Google Scholar] [CrossRef]
  31. Xing, F.; Zheng, X.Y.; Wu, D.; Zhong, H.; Dong, B.Q.; Chen, B.M.; Fang, G.H. Study on synergistic solidification method for municipal solid waste incineration fly ash: Core chemical stabilization and shell physical encapsulation. Case Stud. Constr. Mater. 2025, 22, e04651. [Google Scholar] [CrossRef]
  32. Han, L.J.; Pu, G.N.; Guo, Q.; Shi, D.L.; Liu, B. Deep neural network-enhanced prediction and carbon footprint analysis of early-age high-performance manufactured sand concrete’s stress–strain behavior. Sci. Rep. 2025, 15, 12947. [Google Scholar] [CrossRef] [PubMed]
  33. Zhang, Z.; Lyu, J.L.; Liu, S.H.; Ma, S.J.; Zhang, Z.H.; Niu, X.Y.; Wang, C.; Zhou, C.G.; Song, L.; Ma, K.; et al. Preparation of artificial aggregates with high fly ash content through air curing and carbonation curing. Constr. Build. Mater. 2025, 461, 139874. [Google Scholar] [CrossRef]
  34. Zhang, X.; Zhu, S.T.; Yang, T.; Wang, Y.J.; Li, J.J.; Li, K.Q. The influence of coal gangue dosage and concentration on the properties and hydration mechanism of fly ash-based cemented filling materials. J. Clean. Prod. 2025, 492, 144903. [Google Scholar] [CrossRef]
  35. Xu, Y.J.; Ma, L.Q.; Ngo, I.H.; Zhai, J.T. Prediction of the height of water-conductive fractured zone under continuous extraction and partial backfill mining method-a case study. Sustainability 2022, 14, 6582. [Google Scholar] [CrossRef]
  36. Wang, S.K.; Ma, L.Q. Characteristics and Control of Mining Induced Fractures above Longwall Mines Using Backfilling. Energies 2019, 12, 4604. [Google Scholar] [CrossRef]
  37. Yu, Y.H.; Ma, L.Q.; Zhang, D.S. Characteristics of roof ground subsidence while applying a continuous excavation continuous backfill method in longwall mining. Energies 2020, 13, 95. [Google Scholar] [CrossRef]
  38. Li, Z.X.; Yin, D.W.; Jiang, N.; Wang, F.; Ding, Y.S.; Li, F.X. Deformation and Failure Characteristics of Bimaterial Samples Consisting of Sandstone and Cemented Coal Gangue–Fly Ash Backfill under Uniaxial Loading. Minerals 2022, 12, 1546. [Google Scholar] [CrossRef]
  39. Chen, D.H.; Cao, T.W.; Chen, R.; Li, C. Optimization Analysis of Mechanical Properties of Fly Ash-Based Multicontent Gasification Slag Paste Filling Material. Adv. Civ. Eng. 2022, 2022, 5908317. [Google Scholar] [CrossRef]
  40. Zhang, S.J.; Che, C.Y.; Zhao, C.Z.; Du, S.Y.; Liu, Y.; Li, J.; Yang, S.Q. Effect of Fly Ash and Steel Fiber Content on Workability and Mechanical Properties of Roadway Side Backfilling Materials in Deep Mine. Energies 2023, 16, 1505. [Google Scholar] [CrossRef]
  41. Guo, Y.X.; Zhao, Y.H.; Feng, G.R. Creep and strength characteristics of cemented gangue backfill under coupling effect of load and acid corrosion. Environ. Sci. Pollut. Res. Int. 2023, 30, 97281–97297. [Google Scholar] [CrossRef] [PubMed]
  42. Feng, Y.F.; Sun, G.H.; Liu, Z.Y. Study on creep hardening-damage constitutive model of cemented tailings backfill based on time-harden theory. PLoS ONE 2025, 20, e0319470. [Google Scholar] [CrossRef] [PubMed]
  43. Yu, Y. Research on the performance of a novel type of cemented filler material for coal mine opening and filling. Nonlinear Eng. 2025, 14, 20250113. [Google Scholar] [CrossRef]
  44. Yang, S.; Wu, J.Y.; Jing, H.W.; Zhang, X.G.; Chen, W.Q.; Wang, Y.M.; Yin, Q.; Ma, D. Molecular mechanism of fly ash affecting the performance of cemented backfill material. Int. J. Miner. Metall. Mater. 2023, 30, 1560–1572. [Google Scholar] [CrossRef]
  45. Wang, Y.; Yi, X.F.; Long, D.Y.; Xia, Y.J.; Li, P.; Cai, M.F. Energy-Based Fatigue-Creep Damage and Failure Pattern of Rock-Backfill Composite Structure Material in Mine Stopes Under High Static Stress: Disturbed Amplitude Effect. Rock Mech. Rock Eng. 2023, 57, 3021–3042. [Google Scholar] [CrossRef]
  46. Wang, J.X.; Xing, M.H.; Yang, X.L.; Jiao, H.Z.; Chen, F.B.; Yang, L.H.; Yu, J.X.; Fu, Y. Review on the Influence and Control of Sulfur-Containing Tailings on the Strength of Cemented Backfill in Metal Mines. Buildings 2022, 13, 51. [Google Scholar] [CrossRef]
  47. Li, W.; Yue, L.; Liu, Y.; Li, S.C.; Ma, L.Q.; Wang, J.T. Study on mechanical properties of coal gangue and fly ash mixture as backfill material based on fractal characteristics. Environ. Sci. Pollut. Res. Int. 2023, 30, 111936–111946. [Google Scholar] [CrossRef] [PubMed]
  48. Zhang, H.B.; Gao, T.; Wang, F.L.; Lin, Q.B.; Zhang, S.C.; Zou, C.H.; Yang, S.J.; He, H.Y. Evolution of strain field and crack prediction in cemented paste backfill specimens based on digital image correlation and computer vision recognition model. Sci. Rep. 2025, 15, 10698. [Google Scholar] [CrossRef] [PubMed]
  49. Cheng, A.P.; Fu, Z.Y.; Liu, L.S.; Dai, S.Y.; Huang, S.B.; Ye, Z.Y. Creep hardening-damage characteristics and nonlinear constitutive model of cemented backfill. J. Min. Saf. Eng. 2022, 39, 449–457. [Google Scholar]
  50. Zhang, X.D.; Li, J.Z.; Pang, S.; Zhu, K.X.; Su, L.J.; Liu, J.S.; Zhang, X.F. Mechanical properties and interface microscopic characterisation of fibre-reinforced slag-fly ash geopolymer agglutinated iron tailings filling materials. Mater. Today Commun. 2023, 36, 106650. [Google Scholar] [CrossRef]
  51. Li, M.; Peng, Y.F.; Zhang, J.X.; Zhao, Y.; Wang, Z.J.; Guo, Q.; Guo, S.J. Properties of a backfill material prepared by cementing coal gangue and fly ash through microbial-induced calcite precipitation. Constr. Build. Mater. 2023, 384, 131329. [Google Scholar] [CrossRef]
  52. Wang, R.F.; Li, L. Time-Dependent Stability Analyses of Side-Exposed Backfill Considering Creep of Surrounding Rock Mass. Rock Mech. Rock Eng. 2022, 55, 2255–2279. [Google Scholar] [CrossRef]
  53. Xu, Y.J.; Ma, L.Q.; Ngo, I.H.; Wang, Y.Y.; Zhai, J.T.; Hou, L.X. Prediction of the adaptability of using continuous extraction and continuous backfill mining method to sequestrate CO2-a case study. Minerals 2022, 12, 936. [Google Scholar] [CrossRef]
  54. Ma, L.Q.; Wang, S.K.; Yu, Y.H.; Du, H.L. Technology and Practice of Continuous Mining and Backfilling with Wall System for Water Conservation. J. Min. Saf. Eng. 2021, 38, 902–910. [Google Scholar]
  55. Yang, R.; Xu, Y. Deformation theory and energy mechanism of cyclic dynamic mechanical damage for granite in the diversion tunnel under cyclic loading-unloading. iScience 2025, 28, 111583. [Google Scholar] [CrossRef] [PubMed]
  56. Hao, Q.J.; Zhang, R.; Gao, M.Z.; Xie, J.; Ren, L.; Zhang, A.L.; Wang, M.N.; Zhang, Z.T. Characterization of energy-driven damage mechanism and gas seepage in coal under mining-induced stress conditions. Int. J. Rock Mech. Min. Sci. 2024, 181, 105834. [Google Scholar] [CrossRef]
  57. Liu, Z.J.; Miao, S.J.; Liang, M.C.; Yang, P.J.; Zhao, Z.Q.; Chang, N.D. Characteristics and Association Mechanism of Energy Dissipation and Crack Development in Siltstone Under Triaxial Cyclic Loading and Unloading. Rock Mech. Rock Eng. 2024, 57, 10399–10425. [Google Scholar] [CrossRef]
  58. Yu, M.Y.; Liu, Y.R.; Liu, B.G.; Liu, K.Y.; Deng, T.B. Numerical implementation of a hydraulic interaction creep model and its application to the support reinforcement of water-rich cracked tunnel. Tunn. Undergr. Space Technol. 2024, 154, 106098. [Google Scholar] [CrossRef]
  59. Xu, W.Y.; Lyu, C.H.; Zhang, J.J.; Wang, H.L.; Wang, R.B.; Yan, L.; Xie, W.C. Calibrating high-dimensional rock creep constitutive models for geological disaster prevention: An application of data assimilation methods. Int. J. Rock Mech. Min. Sci. 2024, 183, 105911. [Google Scholar] [CrossRef]
  60. Aghajanzadeh, M.; Masoumi, H.; Heidarpour, A.; Alejano, L.R. Estimating Time-to-Failure and Long-Term Strength of Rocks Based on Creep Strain Rate Model. Rock Mech. Rock Eng. 2024, 58, 4207–4223. [Google Scholar] [CrossRef]
  61. Shankar, V.; Kumar, D.; Subrahmanyam, D. Impact and Severity of Deep Excavations on Stress Tensors in Mining. J. Min. Sci. 2019, 55, 213–218. [Google Scholar] [CrossRef]
  62. Machill, L. Nonlinear Relations of Viscous Stress and Strain Rate in Nonlinear Viscoelasticity. J. Elast. 2025, 157, 26. [Google Scholar] [CrossRef]
  63. Zheng, Z.M.; Yang, Y.; Pan, C. Determination of the parameters of rock viscoelastic creep model and analysis of parameter degradation. Sci. Rep. 2023, 13, 5739. [Google Scholar] [CrossRef] [PubMed]
  64. Huang, M.; Liu, R.X. Study on the Relationship between Parameters of Deterioration Creep Model of Rock under Different Modeling Assumptions. Adv. Mater. Res. 2011, 1269, 2571–2580. [Google Scholar] [CrossRef]
  65. Yang, L.; Li, Z. Inverse Analysis of Rock Creep Model Parameters Based on Improved Simulated Annealing Differential Evolution Algorithm. Geotech. Geol. Eng. 2019, 37, 639–649. [Google Scholar] [CrossRef]
  66. Jin, J.C.; Yang, F.W.; Jing, L.H.; She, C.X.; Song, Z.Y. New accelerated rock creep model considering nonstationary viscosity coefficient. Int. J. Non-Linear Mech. 2024, 159, 104628. [Google Scholar] [CrossRef]
Figure 1. Preparation process of backfill samples. (a) Materials preparation. (b) Adding water to make a slurry. (c) Slurry pouring into molds. (d) Slurry stands for solidification. (e) Curing samples under constant temperature and humidity. (f) Calibrating sample size. (g) Samples are available for testing.
Figure 1. Preparation process of backfill samples. (a) Materials preparation. (b) Adding water to make a slurry. (c) Slurry pouring into molds. (d) Slurry stands for solidification. (e) Curing samples under constant temperature and humidity. (f) Calibrating sample size. (g) Samples are available for testing.
Minerals 15 00759 g001
Figure 2. The GDS triaxial test system.
Figure 2. The GDS triaxial test system.
Minerals 15 00759 g002
Figure 3. Stress–strain curve of the six-cycle loading–unloading test piece. (a) Complete curve. (b) Partial enlarged drawing.
Figure 3. Stress–strain curve of the six-cycle loading–unloading test piece. (a) Complete curve. (b) Partial enlarged drawing.
Minerals 15 00759 g003
Figure 4. Creep characteristic curves for the tested samples. (a) D0 = 0. (b) D0 = 0.35. (c) D0 = 0.40. (d) D0 = 0.45.
Figure 4. Creep characteristic curves for the tested samples. (a) D0 = 0. (b) D0 = 0.35. (c) D0 = 0.40. (d) D0 = 0.45.
Minerals 15 00759 g004
Figure 5. Complete time-history curves of volumetric strain for the tested samples. (a) D0 = 0. (b) D0 = 0.35. (c) D0 = 0.40. (d) D0 = 0.45.
Figure 5. Complete time-history curves of volumetric strain for the tested samples. (a) D0 = 0. (b) D0 = 0.35. (c) D0 = 0.40. (d) D0 = 0.45.
Minerals 15 00759 g005
Figure 6. Volume strain rate of backfill samples under different initial damage conditions. (a) D0 = 0. (b) D0 = 0.35. (c) D0 = 0.40. (d) D0 = 0.45.
Figure 6. Volume strain rate of backfill samples under different initial damage conditions. (a) D0 = 0. (b) D0 = 0.35. (c) D0 = 0.40. (d) D0 = 0.45.
Minerals 15 00759 g006
Figure 7. The HKBN constitutive model.
Figure 7. The HKBN constitutive model.
Minerals 15 00759 g007
Figure 8. Fitting effects of creep deformation parameters in the HKBN model. (a) D0 = 0. (b) D0 = 0.35. (c) D0 = 0.40. (d) D0 = 0.45.
Figure 8. Fitting effects of creep deformation parameters in the HKBN model. (a) D0 = 0. (b) D0 = 0.35. (c) D0 = 0.40. (d) D0 = 0.45.
Minerals 15 00759 g008
Figure 9. Validation efforts of creep deformation parameters in the HKBN model. (a) D0 = 0. (b) D0 = 0.35. (c) D0 = 0.40. (d) D0 = 0.45.
Figure 9. Validation efforts of creep deformation parameters in the HKBN model. (a) D0 = 0. (b) D0 = 0.35. (c) D0 = 0.40. (d) D0 = 0.45.
Minerals 15 00759 g009
Figure 10. Parameter inversion efforts in the HKBN model.
Figure 10. Parameter inversion efforts in the HKBN model.
Minerals 15 00759 g010
Figure 11. Influence of α value on creep curve.
Figure 11. Influence of α value on creep curve.
Minerals 15 00759 g011
Figure 12. Influence of the β value on the creep curve.
Figure 12. Influence of the β value on the creep curve.
Minerals 15 00759 g012
Figure 13. Influence of D0 value on creep curve.
Figure 13. Influence of D0 value on creep curve.
Minerals 15 00759 g013
Table 1. The mix design of high-volume fly ash–composite backfill materials.
Table 1. The mix design of high-volume fly ash–composite backfill materials.
Water/gFly Ash/gGypsum/gLime/gCement/gAdditive/gTotal Mass/g
540.54335.2812.4262.0937.2512.421000
Table 2. Energy and damage parameters of the sample after two cycles.
Table 2. Energy and damage parameters of the sample after two cycles.
Number of CyclesElastic Strain EnergyDissipative EnergyWork Done on the SampleDamage Variable
10.017 V10.004 V10.020 V10.173
21.668 V20.892 V22.560 V20.348
Table 3. Energy and damage parameters of the sample after four cycles.
Table 3. Energy and damage parameters of the sample after four cycles.
Number of CyclesElastic Strain EnergyDissipative EnergyWork Done on the SampleDamage Variable
10.038 V10.008 V10.046 V10.182
20.277 V20.083 V20.361 V20.231
30.885 V30.362 V31.247 V30.290
41.643 V41.118 V42.761 V40.404
Table 4. Energy and damage parameters of the sample after six cycles.
Table 4. Energy and damage parameters of the sample after six cycles.
Number of CyclesElastic Strain EnergyDissipative EnergyWork Done on the SampleDamage Variable
10.026 V10.006 V10.031 V10.178
20.117 V20.033 V20.150 V20.220
30.267 V30.099 V30.366 V30.270
40.47 V40.223 V40.694 V40.327
50.854 V50.534 V51.388 V50.385
61.755 V61.429 V63.174 V60.450
Table 5. Fitting results of instantaneous deformation parameters in the HKBN model (D0 = 0).
Table 5. Fitting results of instantaneous deformation parameters in the HKBN model (D0 = 0).
Stress0.4 σc0.5 σc0.6 σc0.7 σc0.8 σc0.9 σc0.925 σc
Parameters
σds/MPa1.842.302.753.213.674.134.25
KH/GPa7.845.635.609.706.817.112.55
GH/GPa3.692.702.371.861.851.721.75
Table 6. Fitting results of instantaneous deformation parameters in the HKBN model (D0 = 0.35).
Table 6. Fitting results of instantaneous deformation parameters in the HKBN model (D0 = 0.35).
Stress0.4 σc0.5 σc0.6 σc0.7 σc0.8 σc0.9 σc
Parameters
σds/MPa1.802.262.713.163.614.06
KH/GPa7.118.086.056.395.267.06
GH/GPa3.593.002.862.552.491.95
Table 7. Fitting results of instantaneous deformation parameters in the HKBN model (D0 = 0.40).
Table 7. Fitting results of instantaneous deformation parameters in the HKBN model (D0 = 0.40).
Stress0.4 σc0.5 σc0.6 σc0.7 σc0.8 σc0.9 σc
Parameters
σds/MPa1.722.162.593.023.45/
KH/GPa4.961.720.710.891.47/
GH/GPa0.420.470.640.550.47/
Table 8. Fitting results of instantaneous deformation parameters in the HKBN model (D0 = 0.45).
Table 8. Fitting results of instantaneous deformation parameters in the HKBN model (D0 = 0.45).
Stress0.4 σc0.5 σc0.6 σc0.7 σc0.8 σc0.9 σc
Parameters
σds/MPa1.712.142.562.993.42/
KH/GPa4.121.030.991.199.02/
GH/GPa0.430.560.550.522.13/
Table 9. Fitting results of creep deformation parameters in the HKBN model (D0 = 0).
Table 9. Fitting results of creep deformation parameters in the HKBN model (D0 = 0).
Stress0.4 σc0.6 σc0.8 σc0.9 σc0.925 σc
Parameters
GK/GPa7.428.8216.5413.2514.06
ηK/GPa·h1.450.941.0770.670.73
ηB/GPa·h/8.4518.0412.159.03
KN/GPa//18.0720.6014.79
GN/GPa///11.335.77
r//0.850.760.61
Table 10. Fitting results of creep deformation parameters in the HKBN model (D0 = 0.35).
Table 10. Fitting results of creep deformation parameters in the HKBN model (D0 = 0.35).
Stress0.4 σc0.6 σc0.8 σc0.9 σc
Parameters
GK/GPa6.128.4715.0413.50
ηK/GPa·h1.1370.930.900.71
ηB/GPa·h/7.6917.6511.39
KN/GPa//16.9817.99
GN/GPa///7.38
r//0.2650.62
Table 11. Fitting results of creep deformation parameters in the HKBN model (D0 = 0.40).
Table 11. Fitting results of creep deformation parameters in the HKBN model (D0 = 0.40).
Stress0.4 σc0.6 σc0.8 σc0.9 σc
Parameters
GK/GPa4.699.4015.7113.22
ηK/GPa·h0.801.500.910.72
ηB/GPa·h/7.1816.549.14
KN/GPa//15.6616.98
GN/GPa///6.45
r//0.730.16
Table 12. Fitting results of creep deformation parameters in the HKBN model (D0 = 0.45).
Table 12. Fitting results of creep deformation parameters in the HKBN model (D0 = 0.45).
Stress0.4 σc0.6 σc0.8 σc0.9 σc
Parameters
GK/GPa4.957.3811.01/
ηK/GPa·h0.851.331.18/
ηB/GPa·h/9.039.07/
KN/GPa//4.90/
GN/GPa////
r//0.35/
Table 13. Validation results of creep deformation parameters in the HKBN model.
Table 13. Validation results of creep deformation parameters in the HKBN model.
StressD0 = 0D0 = 0.35D0 = 0.40D0 = 0.45
Parameters0.5 σc0.7 σc0.5 σc0.7 σc0.5 σc0.7 σc0.5 σc0.7 σc
GK/GPa5.559.608.799.525.368.514.606.16
ηK/GPa·h1.030.603.270.871.130.580.810.63
ηB/GPa·h/10.89/11.54/9.32/9.36
Table 14. Parameter inversion results in the HKBN model.
Table 14. Parameter inversion results in the HKBN model.
ParametersGK/GPaηK/GPa·hηB/GPa·hKN/GPaGN/GPar
Stress
0.8 σc13.650.989.1214.806.590.51
0.9 σc13.790.759.2214.996.320.42
0.925 σc13.870.739.0615.126.020.62
Disclaimer/Publisher’s Note: The statements, opinions and data contained in all publications are solely those of the individual author(s) and contributor(s) and not of MDPI and/or the editor(s). MDPI and/or the editor(s) disclaim responsibility for any injury to people or property resulting from any ideas, methods, instructions or products referred to in the content.

Share and Cite

MDPI and ACS Style

Wang, S.; Yan, J.; Dong, Z.; Guo, H.; Yang, Y.; Khan, N.M. Study on Creep Characteristics of High-Volume Fly Ash-Cement Backfill Considering Initial Damage. Minerals 2025, 15, 759. https://doi.org/10.3390/min15070759

AMA Style

Wang S, Yan J, Dong Z, Guo H, Yang Y, Khan NM. Study on Creep Characteristics of High-Volume Fly Ash-Cement Backfill Considering Initial Damage. Minerals. 2025; 15(7):759. https://doi.org/10.3390/min15070759

Chicago/Turabian Style

Wang, Shuokang, Jingjing Yan, Zihui Dong, Hua Guo, Yuanzhong Yang, and Naseer Muhammad Khan. 2025. "Study on Creep Characteristics of High-Volume Fly Ash-Cement Backfill Considering Initial Damage" Minerals 15, no. 7: 759. https://doi.org/10.3390/min15070759

APA Style

Wang, S., Yan, J., Dong, Z., Guo, H., Yang, Y., & Khan, N. M. (2025). Study on Creep Characteristics of High-Volume Fly Ash-Cement Backfill Considering Initial Damage. Minerals, 15(7), 759. https://doi.org/10.3390/min15070759

Note that from the first issue of 2016, this journal uses article numbers instead of page numbers. See further details here.

Article Metrics

Back to TopTop