Genesis of the Erentaolegai Silver Deposit, Inner Mongolia, Northeast China: Evidence from Fluid Inclusion and H-O-S Isotopes
Abstract
1. Introduction
2. Regional Geology
3. Mining Geology
4. Samples and Analytical Methods
5. Fluid Inclusions
5.1. Fluid Inclusion Petrography
5.2. Laser Raman Spectroscopy
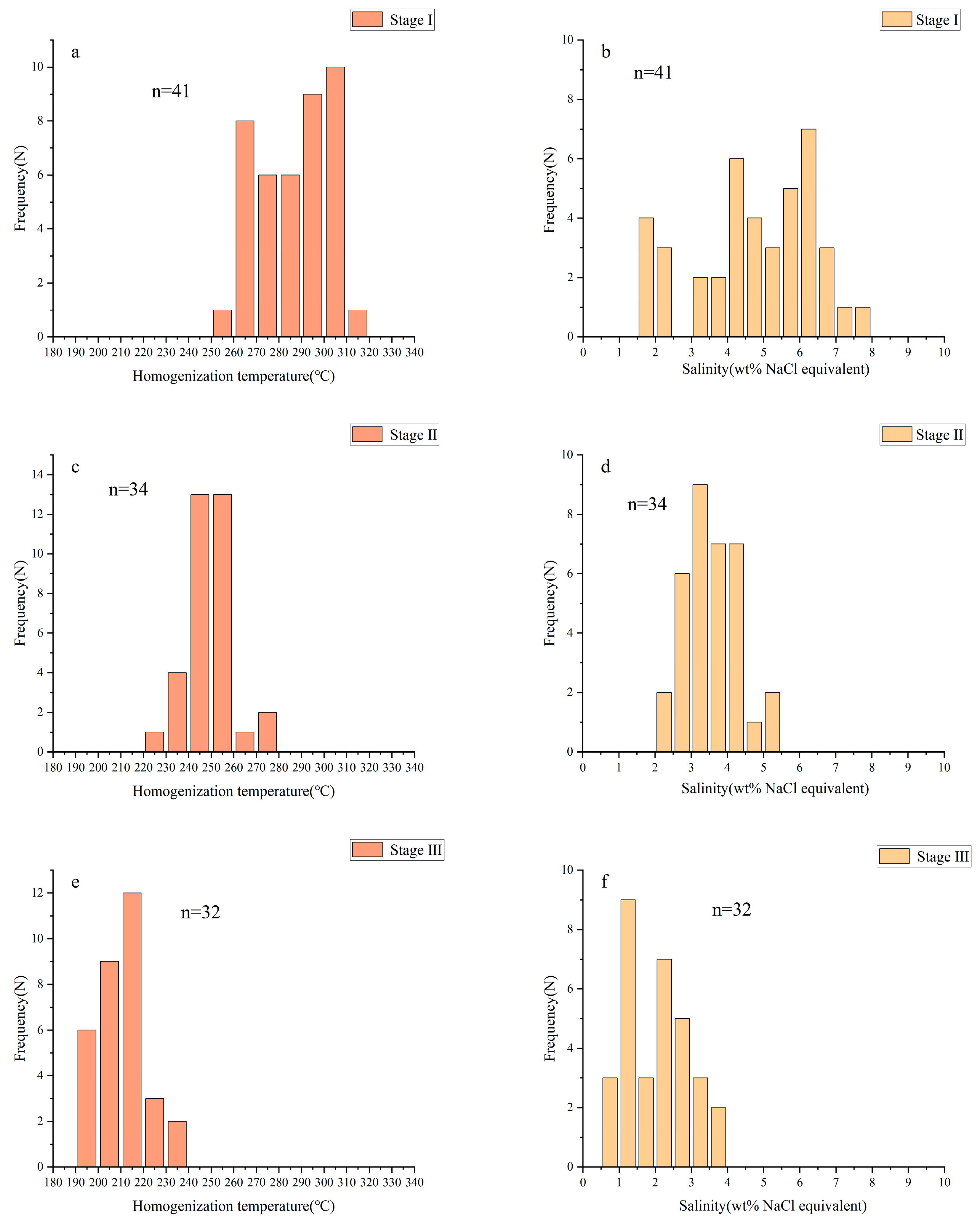
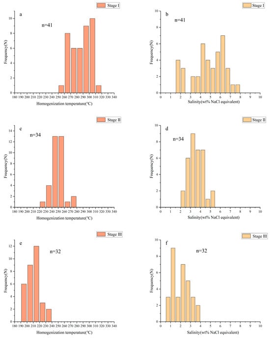
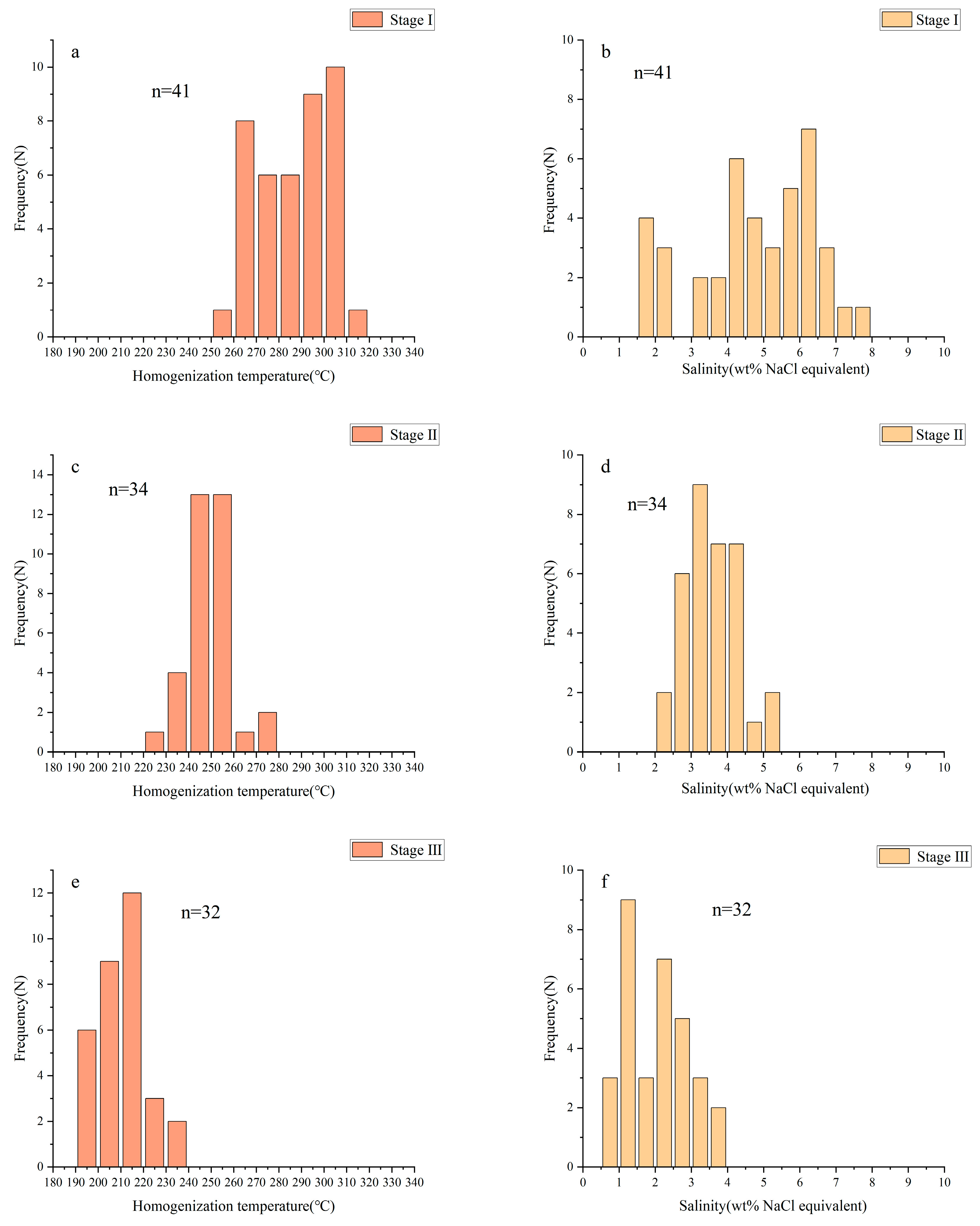
5.3. Microthermometry
5.4. H-O Isotopes
5.5. Sulfur Isotopes
6. Discussion
6.1. Origin of the Ore-Forming Fluids
6.2. Source of Ore-Forming Elements
6.3. Mineralization Age
6.4. Ore Genesis
7. Conclusions
- All stages of mineralization are dominated by vapor–liquid two-phase fluid inclusions, with their homogenization temperatures mainly concentrated between 200~300 °C, salinities mostly between 1~7 wt% NaCl equivalent, and fluid densities of 0.75~0.89 g/cm3. The mineralization occurred at shallow depths of 0.41–0.98 km, consistent with a typical epithermal hydrothermal system.
- Isotopic data indicate that the ore-forming fluids were predominantly a mixture of magmatic water and circulating meteoric water in the early stages, with meteoric water becoming dominant in the later stages. Sulfur isotopes indicate that ore-forming materials were derived primarily from deep magmatic sources. Mixing of circulating meteoric water, resulting in fluid cooling, is presumably the main mechanism for the precipitation of silver minerals.
- The main mineralization period of Erentaolegai silver deposits is the Early Cretaceous. Hydrothermal zoning (reflected in mineralization stages) is controlled by fluid temperature evolution (recorded in fluid inclusions), while stable isotopes (H-O-S) evidence that the evolutionary dynamics are derived from mixing between magmatic water and meteoric water.
- The comprehensive geological background, fluid characteristics, and isotopic evidence classify the Erentaolegai silver deposit as a low-sulfidation epithermal silver deposit.
Author Contributions
Funding
Data Availability Statement
Conflicts of Interest
References
- Tian, J. Mineralization and Alteration Geological Characteristics Study in Erentaolegai Silver Deposit, Inner Mongolia. Master’s Thesis, China University of Geosciences, Beijing, China, 2015. (In Chinese). [Google Scholar]
- Zhao, Y.; Lv, J.C.; Zhang, P.; Zhang, D.B.; Shen, X.; Bi, Z.W. Characterization and Significance of Orogenic Fluids at the Deerbuer Lead-Zinc-Silver Deposit in the Northern Part of the Greater Khingan Range. Acta Geol. Sin. 2018, 92, 142–153. (In Chinese) [Google Scholar]
- Li, T.G.; Wu, G.; Liu, J.; Wang, G.R.; Hu, Y.Q.; Zhang, Y.F.; Luo, D.F.; Mao, Z.H.; Xu, B. Geochronology, fluid inclusions and isotopic characteristics of the Chaganbulagen Pb-Zn-Ag deposit, Inner Mongolia, China. Lithos 2016, 261, 340–355. [Google Scholar] [CrossRef]
- Chen, X.; Zhang, G. Isotope geochemistry of Erentaolegai silver deposit, Inner Mongolia, China. Chin. J. Geochem. 2004, 23, 71–80. [Google Scholar] [CrossRef]
- Xu, L.Q.; Liu, C.; Deng, J.F.; Li, N.; Dai, M.; Bai, L.B. Geochemical characteristics and zircon U-Pb SHRIMP age of igneous rocks in Erentaolegai silver deposit, Inner Mongolia. Acta Petrol. Sin. 2014, 30, 3203–3212. (In Chinese) [Google Scholar]
- Sngor, A.M.C.; Natalin, B. Natalin Paleotectonics of Asia: Fragments of a synthesis. Tecton. Evol. Asia 1996, 486–640. [Google Scholar]
- Liang, H.D.; Gao, R.; Xue, S.; Yang, Z. Lithospheric electrical structure between the Erguna and Xing’an blocks: Evidence from broadband and long period magnetotelluric data. Phys. Earth Planet. Inter. 2020, 308, 106586. [Google Scholar] [CrossRef]
- Wu, F.Y.; Sun, D.Y.; Ge, W.C.; Zhang, Y.B.; Grant, M.L.; Wilde, S.A.; Jahn, B.M. Geochronology of the Phanerozoic granitoids in northeastern China. J. Asian Earth Sci. 2011, 41, 1–30. [Google Scholar] [CrossRef]
- Xu, W.L.; Pei, F.P.; Wang, F.; Meng, E.; Ji, W.Q.; Yang, D.B.; Wang, W. Spatial-temporal relationships of Mesozoic volcanic rocks in NE China: Constraints on tectonic overprinting and transformations between multiple tectonic regimes. J. Asian Earth Sci. 2013, 74, 167–193. [Google Scholar] [CrossRef]
- Tomurtogoo, O.; Windley, B.F.; Kröner, A.; Badarch, G.; Liu, D.Y. Zircon age and occurrence of the Adaatsag ophiolite and Muron shear zone, central Mongolia: Constraints on the evolution of the Mongol–Okhotsk ocean, suture and orogen. J. Geol. Soc. 2005, 162, 125–134. [Google Scholar] [CrossRef]
- Kravchinsky, V.A.; Cogné, J.-P.; Harbert, W.P.; Kuzmin, M.I. Evolution of the Mongol-Okhotsk Ocean as constrained by new palaeomagnetic data from the Mongol-Okhotsk Suture zone, Siberia. Geophys. J. Int. 2002, 148, 34–57. [Google Scholar] [CrossRef]
- Tang, J.; Xu, W.L.; Wang, F.; Wang, W.; Xu, M.J.; Zhang, Y.H. Geochronology and geochemistry of Early–Middle Triassic magmatism in the Erguna Massif, NE China: Constraints on the tectonic evolution of the Mongol-Okhotsk Ocean. Lithos 2014, 184–187, 1–16. [Google Scholar] [CrossRef]
- Chen, G.Z.; Wu, G.; Li, T.G.; Liu, R.L.; Li, R.H.; Li, Y.L.; Yang, F. Mineralization of the Daolundaba Cu–Sn–W–Ag deposit in the southern Great Xing’an Range, China: Constraints from geochronology, geochemistry, and Hf isotope. Ore Geol. Rev. 2021, 133, 104117. [Google Scholar] [CrossRef]
- Zheng, W.B.; Ji, X.; Tang, M.; Chen, Z.G.; Zhang, Z.Q.; Wang, Q.C. An Early Cretaceous Tin-polymetallic system: The Baiyinchagan giant deposit in the southern Great Xing’an Range, North China. Ore Geol. Rev. 2025, 179, 106527. [Google Scholar] [CrossRef]
- Shu, Q.H.; Chang, Z.S.; Mavrogenes, J. Fluid compositions reveal fluid nature, metal deposition mechanisms, and mineralization potential: An example at the Haobugao Zn-Pb skarn, China. Geology 2020, 49, 473–477. [Google Scholar] [CrossRef]
- Zheng, H.; Sun, X.M.; Zhu, D.F.; Tian, J.X.; Song, H.; Wang, Y.D.; Zhang, X.Q. The structural characteristics, age of origin, and tectonic attribute of the Erguna Fault, NE China. Sci. China Earth Sci. 2015, 58, 1553–1565. [Google Scholar] [CrossRef]
- Liang, C.Y.; Liu, Y.J.; Zheng, C.Q.; Li, W.; Li, W.M.; Neubauer, F.; Zhang, Q.; Chen, Z.X.; Zhang, D. Deformation of granitic rocks within Derbugan Fault belt, Erguna Massif, Northeast China: Implication of the subduction of Mongol-Okhotsk oceanic plate. Geol. J. 2020, 55, 4159–4183. [Google Scholar] [CrossRef]
- Mao, A.Q.; Sun, D.Y.; Gou, J.; Zheng, H. Genesis of Early-Middle Jurassic Intrusive Rocks in the Erguna Block (NE China) in Response to the Late-Stage Southward Subduction of the Mongol-Okhotsk Oceanic Plate: Constraints from Geochemistry and Zircon U-Pb Geochronology and Lu-Hf Isotopes. Minerals 2020, 10, 372. [Google Scholar] [CrossRef]
- Liu, F.; Yang, X.L.; Xia, F.H. Inner Mongolia xinyouqi Erentaolegai Silver magnetic anomalies and Geological Prospecting Analysis. World Nonferrous Met. 2016, 24, 188–191. (In Chinese) [Google Scholar]
- Gou, J.; Sun, D.Y.; Ren, Y.S.; Liu, Y.J.; Zhang, S.Y.; Fu, C.L.; Wang, T.H.; Wu, P.F.; Liu, X.M. Petrogenesis and geodynamic setting of Neoproterozoic and Late Paleozoic magmatism in the Manzhouli–Erguna area of Inner Mongolia, China: Geochronological, geochemical and Hf isotopic evidence. J. Asian Earth Sci. 2012, 67–78, 114–137. [Google Scholar] [CrossRef]
- Lv, Z.C.; Zhang, P.P.; Liu, C.Q.; Liu, J.J. Mineralogical Characteristics of Silver Minerals in E’rentaolegai Silver Deposit. Geol. Geochem. 2000, 3, 41–47. (In Chinese) [Google Scholar]
- He, B.L. Characteristics and Genesis of the Erentaolegai Silver Deposit in Xinyouqi Banner, Inner Mongolia. Technol. Bus. 2015, 15, 107–108. (In Chinese) [Google Scholar]
- Chen, X.; Li, H.N.; Duan, G.Z. Origin of the Erentaolegai Granite and Its Relation to Silver Deposits, Inner Mongolia. Miner. Resour. Geol. 1997, 2, 20–27. (In Chinese) [Google Scholar]
- Feng, Y.Y.; Sun, J.G.; Zhu, J.Q.; Gu, A.L.; Liu, C.; Yang, M.; Liu, Y. Petrogenesis and Geological Implications of Volcanic Rocks in the Erentaolegai Silver-Polymetallic Deposit, West Slope of the Great Xing’an Range: Zircon U-Pb Geochronology and Geochemistry. World Geol. 2017, 36, 118–134. (In Chinese) [Google Scholar]
- Zhang, Q.; Dong, Z.S.; Zhan, X.Z. Geochemical Marks of Metallogenesis of the Erentaolegai Silver Deposit. Acta Mineral. Sin. 1996, 2, 152–157. (In Chinese) [Google Scholar]
- Qiao, L.L.; Xia, F.H.; Liu, Y. Inner Mongolia frontal RenTao periphery of cover silver mining area physical and chemical characteristics and prospecting prediction. World Nonferrous Met. 2016, 5, 118–120. (In Chinese) [Google Scholar]
- Clayton, R.N.; Mayeda, T.K. The use of bromine pentafluoride in the extraction of oxygen from oxides and silicates for isotopic analysis. Geochim. Cosmochim. Acta 1963, 27, 43–52. [Google Scholar] [CrossRef]
- Zhu, Z.Y.; Jiang, S.Y.; Ciobanu, C.L.; Yang, T.; Cook, N.J. Sulfur isotope fractionation in pyrite during laser ablation: Implications for laser ablation multiple collector inductively coupled plasma mass spectrometry mapping. Chem. Geol. 2017, 450, 223–234. [Google Scholar] [CrossRef]
- Roedder, E. Fluid Inclusions. Rev. Miner. 1984, 12, 644. [Google Scholar]
- Hedenquist, J.W.; Arribas, R.A.; Gonzalez-Urien, E. Exploration for Epithermal Gold Deposits. Rev. Econ. Geol. 2000, 13, 245–277. [Google Scholar]
- Hall, D.L.; Sterner, S.M.; Bodnar, R.J. Freezing point depression of NaCl-KCl-H2O solutions. Econ. Geol. 1988, 83, 197–202. [Google Scholar] [CrossRef]
- Bodnar, R.J. A method of calculating fluid inclusion volumes based on vapor bubble diameters and P-V-T-X properties of inclusion fluids. Econ. Geol. 1983, 78, 535–542. [Google Scholar] [CrossRef]
- Rusk, B.G.; Reed, M.H.; Dilles, J.H. Fluid Inclusion Evidence for Magmatic-Hydrothermal Fluid Evolution in the Porphyry Copper-Molybdenum Deposit at Butte, Montana. Econ. Geol. 2008, 103, 307–334. [Google Scholar] [CrossRef]
- Potter, R.W. Pressure corrections for fluid-inclusion homogenization temperatures based on the volumetric properties of the system NaCl-H2O. J. Res. U.S. Geol. Surv. 1977, 5, 603–607. [Google Scholar]
- Shao, J.L. Mineralogy of Gold Ore Exploration. China Univ. Geosci. Press. 1988, 2, 46–58. (In Chinese) [Google Scholar]
- Clayton, R.N.; O’Neil, J.R.; Mayeda, T.K. Oxygen isotope exchange between quartz and water. J. Geophys. Res. 1972, 77, 3057–3067. [Google Scholar] [CrossRef]
- Zheng, Y.-F. Oxygen isotope fractionation in carbonate and sulfate minerals. Geochem. J. 1999, 33, 109–126. [Google Scholar] [CrossRef]
- Sheppard, S.M. Characterization and isotopic variations in natural waters. Rev. Mineral. Geochem. 1986, 16, 165–183. [Google Scholar]
- Zhao, S.J.; Piao, L.L.; Yu, H.Y.; Li, Y.; Zhou, Y.S.; Liu, Z.H.; Zhang, M. Geological and geochemical characteristics of Erentaolegai large-scale silver deposit, Inner Mongolia. Miner. Depos. 2024, 43, 547–562. (In Chinese) [Google Scholar]
- Chen, X. Diagenetic-Metallogenic Model of the Erentaolegai Silver Deposit in Inner Mongolia. J. Guilin Univ. Technol. 2000, 1, 12–20. (In Chinese) [Google Scholar]
- Xu, J.D.; Zhang, Z.W.; Wu, C.Q.; Shu, Q.; Zheng, C.f.; Li, X.Y.; Jin, Z.R. Mineralogy, fluid inclusion, and S–Pb isotope geochemistry study of the Tuboh Pb–Zn–Ag polymetallic deposit, Lubuklinggau, Sumatra, Indonesia. Ore Geol. Rev. 2019, 112, 103032. [Google Scholar] [CrossRef]
- Wilkinson, J.J. Fluid inclusions in hydrothermal ore deposits. Lithos 2001, 55, 229–272. [Google Scholar] [CrossRef]
- André-Mayer, A.S.; Leroy, J.; Bailly, L.; Chauvet, A.; Marcoux, E.; Grancea, L.; Llosa, F.; Rosas, J. Boiling and vertical mineralization zoning: A case study from the Apacheta low-sulfidation epithermal gold-silver deposit, southern Peru. Miner. Depos. 2002, 37, 452–464. [Google Scholar] [CrossRef]
- Zhang, H.Y.; Zhai, D.G.; Liu, J.J.; Li, P.L.; Li, K.; Sun, H.J. Fluid inclusion and stable (H-O-C) isotope studies of the giant Shuangjianzishan epithermal Ag-Pb-Zn deposit, Inner Mongolia, NE China. Ore Geol. Rev. 2019, 115, 103170. [Google Scholar] [CrossRef]
- Drummond, S.E.; Ohmoto, H. Chemical evolution and mineral deposition in boiling hydrothermal systems. Econ. Geol. 1985, 80, 126–147. [Google Scholar] [CrossRef]
- Pirajno, F. Hydrothermal Processes and Mineral Systems; Springer: Dordrecth, The Netherlands, 2009. [Google Scholar]
- Taylor, H.P. The application of oxygen and hydrogen isotope studies to problems of hydrothermal alteration and ore deposition. Econ. Geol. 1974, 69, 843–883. [Google Scholar] [CrossRef]
- Spangenberg, J.; Fontboté, L.; Sharp, Z.D.; Hunziker, J. Carbon and oxygen isotope study of hydrothermal carbonates in the zinc-lead deposits of the San Vicente district, central Peru: A quantitative modeling on mixing processes and CO2 degassing. Chem. Geol. 1996, 133, 289–315. [Google Scholar] [CrossRef]
- Chang, Z.S.; Large, R.R.; Maslennikov, V. Sulfur isotopes in sediment-hosted orogenic gold deposits: Evidence for an Early Timing and a Seawater Sulfur Source. Geology 2008, 36, 971–974. [Google Scholar] [CrossRef]
- Li, Z.L.; Ye, L.; Hu, Y.S.; Huang, Z.L.; Wei, C.; Wu, T. Origin of the Fule Pb-Zn deposit, Yunnan Province, SW China: Insight from in situ S isotope analysis by NanoSIMS. Geol. Mag. 2019, 157, 393–404. [Google Scholar] [CrossRef]
- Lambert-Smith, J.S.; Allibone, A.; Treloar, P.J.; Lawrence, D.M.; Boyce, A.J.; Fanning, M. Stable C, O, and S Isotope Record of Magmatic-Hydrothermal Interactions Between the Faleme Fe Skarn and the Loulo Au Systems in Western Mali. Econ. Geol. 2020, 115, 1537–1558. [Google Scholar] [CrossRef]
- Zhu, C.W.; Liao, S.L.; Wang, W.; Zhang, Y.X.; Yang, T.; Fan, H.F.; Wen, H.J. Variations in Zn and S isotope chemistry of sedimentary sphalerite, Wusihe Zn-Pb deposit, Sichuan Province, China. Ore Geol. Rev. 2018, 95, 639–648. [Google Scholar] [CrossRef]
- Rye, R.O.; Ohmoto, H. Sulfur and Carbon Isotopes and Ore Genesis. A Review. Econ. Geol. 1974, 69, 826–842. [Google Scholar] [CrossRef]
- Ohmoto, H. Sulfur and carbon isotopes. Geochem. Hydrothermal Ore Depos. 1997, 517–612. [Google Scholar]
- Rollinson, H.R. Using Geochemical Data: Evaluation, Presentation, Interpretation; Routledge: London, UK, 1996; Volume 4. [Google Scholar]
- Hoefs, J. Stable Isotope Geochemistry, 8th ed.; Springer: Berlin/Heidelberg, Germany, 2018. [Google Scholar]
- Ohmoto, H. Systematics of sulfur and carbon isotopes in hydrothermal ore deposits. Econ. Geol. 1972, 67, 551–578. [Google Scholar] [CrossRef]
- Dixon, G.; Davidson, G.J. Stable isotope evidence for thermochemical sulfate reduction in the Dugald river (Australia) strata-bound shale-hosted zinc-lead deposit. Chem. Geol. 1996, 129, 227–246. [Google Scholar] [CrossRef]
- Seal, R.R. Sulfur Isotope Geochemistry of Sulfide Minerals. Rev. Mineral. Geochem. 2006, 61, 633–677. [Google Scholar] [CrossRef]
- Ohmoto, H. Stable isotope geochemistry of ore deposits. Rev. Mineral. 1986, 16, 491–559. [Google Scholar]
- Ohmoto, H.; Kaiser, C.J.; Geer, K.A. Systematics of sulphur isotopes in recent marine sediments and ancient sediment-hosted base metal deposits. In Stable Isotopes and Fluid Processes in Mineralization; Herbert, H.K., Ho, S.E., Eds.; University of Western Australia: Crawley, Australia, 1990; Volume 23, pp. 70–120. [Google Scholar]
- Ohmoto, H.; Rye, R.O. Isotopes of sulfur and carbon. Geochem. Hydrothermal Ore Depos. 1979, 57, 551–578. [Google Scholar]
- Holser, W.T.; Kaplan, I.R. Isotope geochemistry of sedimentary sulfates. Chem. Geol. 1966, 1, 93–135. [Google Scholar] [CrossRef]
- Hoefs, J. Stable Isotope Geochemistry, 3rd ed.; Springer: Berlin/Heidelberg, Germany, 1987; pp. 1–250. [Google Scholar]
- Chaussidon, M.; Lorand, J.P. Sulfur isotope composition of orogenic spinel lherzolite massifs from Ariege (N.E. Pyrenees, France): An ion microprobe study. Geochim. Cosmochim. Acta 1990, 53, 1209–1221. [Google Scholar]
- Shen, H.C. Isotope Geology; Changchun Geological Institute Press: Changchun, China, 1986; pp. 162–170. (In Chinese) [Google Scholar]
- Heald, P.; Foley, N.K.; Hayba, D.O. Comparative anatomy of volcanic-hosted epithermal deposits; acid-sulfate and adularia-sericite types. Econ. Geol. 1987, 82, 1–26. [Google Scholar] [CrossRef]
- Bonham, H.F., Jr. Models for volcanic-hosted epithermal precious metal deposits. In Proceedings of the International Volcanological Congress, Symposium V, Hamilton, New Zealand, 13–17 February 1986. [Google Scholar]
- Bodnar, R.J.; Lecumberri-Sanchez, P.; Moncada, D.; Steele-MacInnis, M. Fluid Inclusions in Hydrothermal Ore Deposits. Treatise Geochem. 2014, 13, 119–142. [Google Scholar]
- Soulamidis, G.; Stouraiti, C.; Voudouris, P.; Tsikos, H. New Ag-Rich Mn-Zn±Pb Vein Mineralization at the Mavro Xylo Manganese Oxide Deposit, Drama, Greece. Minerals 2024, 14, 955. [Google Scholar] [CrossRef]
- Leroy, J.; Hubé, D.; Marcoux, E. Episodic deposition of Mn Minerals in cockade breccia structures in three low-sulfidation epithermal deposits: A mineral stratigraphy and fluid-inclusion approach. Can. Mineral. 2000, 38, 1125–1136. [Google Scholar] [CrossRef]
- Wu, G.; Mei, M.; Gao, F.J.; Li, Z.Y.; Qiao, C.J. Ore-forming fluid characteristics and genesis of silver-lead-zinc deposits in the Manzhouli area, Inner Mongolia, China. Earth Sci. Front. 2010, 17, 239–255. (In Chinese) [Google Scholar][Green Version]










| Stage | Type | Th, total (Average)/°C | Tm, ice (Average)/°C | Salinity (Average) wt% NaCl Eqv | Density (Average)/(g/cm−3) | Pressure/MPa | Depth/km |
|---|---|---|---|---|---|---|---|
| I | VL | 257~311 (286) | −1.1~−5 (−2.9) | 1.91~7.86 (4.77) | 0.75~0.83 (0.792) | 17.6~29.5 (23.5) | 0.59~0.98 (0.78) |
| II | VL | 228–280 (249) | −1.2~−3.3 (−2.1) | 2.07~5.41 (3.57) | 0.80~0.86 (0.8340) | 16.5~23.4 (19.1) | 0.55~0.77 (0.63) |
| III | VL | 194~238 (210) | −0.4~−2.1 (−2.0) | 0.70~3.55 (2.0) | 0.85~0.89 (0.869) | 12.2~18.0 (14.6) | 0.41~0.60 (0.49) |
| Sample | Stage | Mineral | δDV-SMOW/‰ | δ18OV-SMOW/‰ | δ18OH2O/‰ | Th/°C | Data Sources |
|---|---|---|---|---|---|---|---|
| 23ER-2 | I | Quartz | −141.5 | 3.88 | −3.53 | 286 | This paper |
| 23ER-9 | I | Quartz | −121.3 | 5.05 | −2.40 | 286 | |
| 23ER-10 | I | Quartz | −135.9 | 10.54 | 2.96 | 286 | |
| 23ER-22 | II | Quartz | −128.4 | 4.27 | −4.77 | 249 | |
| 23ER-22 | II | Fluorite | −132.4 | −5.86 | −5.86 | 249 | |
| 23ER-3 | III | Rhodochr-osite | −86.3 | −5.02 | −18.2 | 210 | |
| 23ER-12 | III | Rhodochr-osite | −88.2 | −1.45 | −14.6 | 210 | |
| 2411-B3-2a | II | Quartz | −103.4 | 1.3 | −5.55 | 301 | [39] |
| 1408-j-2a | II | Quartz | −107.4 | 0.8 | −7.22 | 271 | |
| 1408-J-4 | II | Quartz | −102.8 | 0.7 | −6.19 | 300 | |
| 2305-J-1 | II | Quartz | −106.4 | 1.9 | −7.59 | 239 | |
| 2408-J-1 | III | Quartz | −113.9 | 2.8 | −11.57 | 163 | |
| 2411-C3-1b | II | Quartz | −98.2 | 0.7 | −6.99 | 279 | |
| 2407-j-3 | II | Quartz | −115.8 | 1.9 | −5.75 | 280 | |
| 2402-j-1 | II | Quartz | −108.2 | 1.4 | −5.60 | 297 | |
| 2411-B3-2a | II | Quartz | −106.9 | 3.5 | −6.29 | 233 | |
| ER714 | II | Quartz | −106 | 0.1 | −6.28 | 314.85 | [1] |
| ER745 | II | Quartz | −124 | −2.8 | −9.18 | 314.85 | |
| ER754 | II | Quartz | −126 | −2.2 | −8.58 | 314.85 | |
| ER759 | II | Quartz | −115 | −3.4 | −9.78 | 314.85 | |
| ER769 | II | Quartz | −126 | −2.1 | −8.48 | 314.85 |
| Mineral | δ34S(‰) | Mineral | δ34S(‰) | Mineral | δ34S(‰) | Data Sources |
|---|---|---|---|---|---|---|
| Pyrite | 3.2 | Pyrite | 2.2 | Sphalerite | −0.8 | This paper |
| Pyrite | 3.6 | Pyrite | 2.9 | Sphalerite | −0.8 | |
| Pyrite | 3.2 | Pyrite | 2.9 | Sphalerite | −0.6 | |
| Pyrite | 2.5 | Pyrite | 2.2 | Sphalerite | −0.8 | |
| Pyrite | 3.0 | Pyrite | 1.4 | Chalcopyrite | −0.1 | |
| Pyrite | 2.0 | Pyrite | −0.4 | Chalcopyrite | 0.9 | |
| Pyrite | 2.8 | Galena | 0.3 | Chalcopyrite | 0.6 | |
| Pyrite | 4.0 | Galena | −1.7 | Chalcopyrite | 0.4 | |
| Pyrite | 3.3 | Galena | −1.8 | |||
| Pyrite | 3.8 | Galena | −1.5 | |||
| Pyrite | 2.7 | Galena | 0.5 | Sphalerite | 3.3 | [1] |
| Pyrite | 1.5 | Galena | 0.7 | Chalcopyrite | 2.3 | |
| Pyrite | 2.8 | Galena | 0.9 | |||
| Pyrite | 3.0 | Galena | 1.9 | Sphalerite | 3.0 | [40] |
| Pyrite | 3.3 | Galena | 1.7 | Sphalerite | 2.5 | |
| Pyrite | 3.5 | Galena | 1.1 | Sphalerite | 3.0 | |
| Sphalerite | 3.7 |
Disclaimer/Publisher’s Note: The statements, opinions and data contained in all publications are solely those of the individual author(s) and contributor(s) and not of MDPI and/or the editor(s). MDPI and/or the editor(s) disclaim responsibility for any injury to people or property resulting from any ideas, methods, instructions or products referred to in the content. |
© 2025 by the authors. Licensee MDPI, Basel, Switzerland. This article is an open access article distributed under the terms and conditions of the Creative Commons Attribution (CC BY) license (https://creativecommons.org/licenses/by/4.0/).
Share and Cite
Zuo, Y.; Dong, X.; Gao, Z.; Wu, L.; Liu, Z.; Xu, J.; Zhang, S.; Mi, W. Genesis of the Erentaolegai Silver Deposit, Inner Mongolia, Northeast China: Evidence from Fluid Inclusion and H-O-S Isotopes. Minerals 2025, 15, 748. https://doi.org/10.3390/min15070748
Zuo Y, Dong X, Gao Z, Wu L, Liu Z, Xu J, Zhang S, Mi W. Genesis of the Erentaolegai Silver Deposit, Inner Mongolia, Northeast China: Evidence from Fluid Inclusion and H-O-S Isotopes. Minerals. 2025; 15(7):748. https://doi.org/10.3390/min15070748
Chicago/Turabian StyleZuo, Yushan, Xintong Dong, Zhengxi Gao, Liwen Wu, Zhao Liu, Jiaqi Xu, Shanming Zhang, and Wentian Mi. 2025. "Genesis of the Erentaolegai Silver Deposit, Inner Mongolia, Northeast China: Evidence from Fluid Inclusion and H-O-S Isotopes" Minerals 15, no. 7: 748. https://doi.org/10.3390/min15070748
APA StyleZuo, Y., Dong, X., Gao, Z., Wu, L., Liu, Z., Xu, J., Zhang, S., & Mi, W. (2025). Genesis of the Erentaolegai Silver Deposit, Inner Mongolia, Northeast China: Evidence from Fluid Inclusion and H-O-S Isotopes. Minerals, 15(7), 748. https://doi.org/10.3390/min15070748

