Pore Structure and Fractal Characteristics of the Permian Shales in Northeastern Sichuan Basin, China
Abstract
1. Introduction
2. Geological Background
3. Experiments and Analytical Methods
4. Results
4.1. Mineralogy and TOC
4.2. Pore Types and Porosity
4.3. N2 GA and CO2 GA
4.3.1. N2 GA
4.3.2. CO2 GA
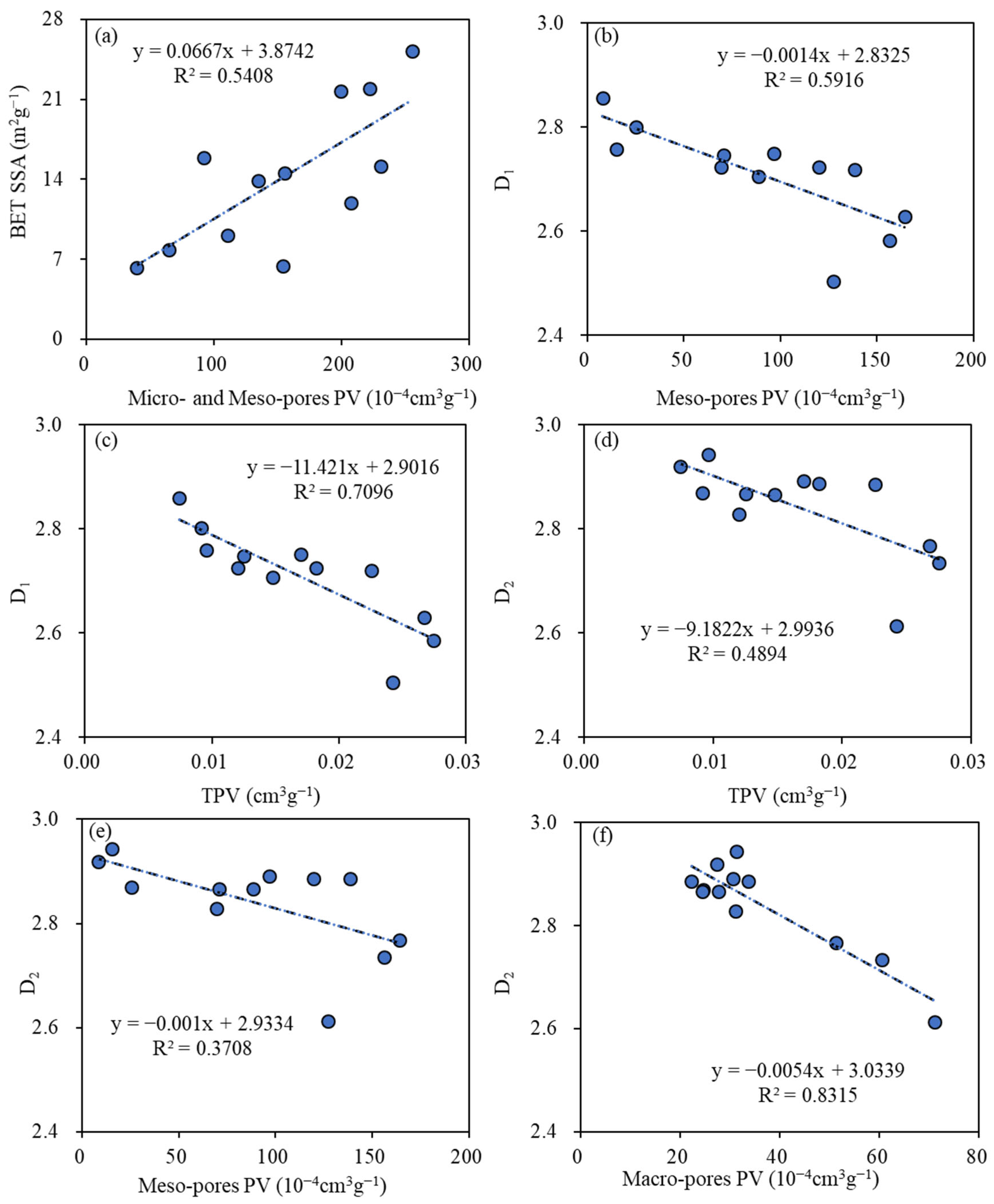
4.4. Fractal Dimensions
5. Discussion
5.1. Pore System and Fractal Dimensions
5.2. Effect of Quartz on Pore Structure and Heterogeneity
5.3. Effect of Clay Minerals on Pore Structure and Heterogeneity
5.4. Effect of TOC on Pore Structure and Heterogeneity
6. Conclusions
Author Contributions
Funding
Data Availability Statement
Conflicts of Interest
References
- Lei, Y.H.; Luo, X.R.; Wang, X.Z.; Cheng, M.; Zhang, L.K.; Cai, Z.J.; Zhang, L.X.; Jiang, C.F.; Zhao, Q.P.; Yin, J.T. Effects of extractable organic matter from mature lacustrine shale on the pore structure and their implications. AAPG Bull. 2022, 106, 1239–1264. [Google Scholar] [CrossRef]
- Wang, G.P.; Jin, Z.J.; Liu, G.X.; Liu, Q.Y.; Liu, Z.B.; Wang, H.L.; Liang, X.P.; Jiang, T.; Wang, R.Y. Geological implications of gamma ray (GR) anomalies in marine shales: A case study of the Ordovician-Silurian Wufeng-Longmaxi succession in the Sichuan Basin and its periphery, Southwest China. J. Asian Earth Sci. 2020, 199, 104359. [Google Scholar] [CrossRef]
- Wang, G.P.; Jin, Z.J.; Zhang, Q.; Zhu, R.K.; Wang, R.Y.; Liu, X.Y.; Li, S.X.; Liu, T.J.; Du, X.Y.; Liu, K.Q. Characterization of pore structure before and after solvent extraction: A case study of lacustrine shales in the Triassic Chang 7 Formation, Ordos Basin, Northern China. J. Asian Earth Sci. 2025, 282, 106526. [Google Scholar] [CrossRef]
- Zou, C.N.; Pan, S.Q.; Hao, Q. On the connotation, challenge and significance of China’s “energy independence” strategy. Pet. Explor. Dev. 2020, 47, 449–462. [Google Scholar] [CrossRef]
- Zou, C.N.; Zhao, Q.; Wang, H.Y.; Xiong, W.; Dong, D.Z.; Yu, R.Z. The main characteristics of marine shale gas and the theory & technology of exploration and development in China. Nat. Gas Ind. 2022, 42, 1–13. [Google Scholar]
- Wang, G.C.; Long, S.X.; Peng, Y.M.; Ju, Y.W. Characteristics of Organic Matter Particles and Organic Pores of Shale Gas Reservoirs: A Case Study of Longmaxi-Wufeng Shale, Eastern Sichuan Basin. Minerals 2020, 10, 137. [Google Scholar] [CrossRef]
- Hu, D.F.; Wei, Z.H.; Wang, W.; Wei, X.F.; Liu, Z.J.; Chen, F.R.; Wei, F.B.; Li, F. Breakthrough of shale gas exploration in Dalong Formation of Upper Permian by Well Leiye 1 in the northeastern Sichuan Basin and its implications. Nat. Gas Ind. 2023, 43, 28–39. [Google Scholar]
- Hu, C.E.; Tan, J.Q.; Lyu, Q.; Zhang, Y.L. Evolution of organic pores in Permian low maturity shales from the Dalong Formation in the Sichuan Basin: Insights from a thermal simulation experiment. Gas Sci. Eng. 2024, 121, 205166. [Google Scholar] [CrossRef]
- Wu, Z.R.; He, S.; Li, X.C.; Liu, X.Y.; Zhai, G.Y.; Huang, Z.Q.; Yang, W. Comparative study on pore structure characteristics of marine and transitional facies shales: A case study of the Upper Permian Longtan Formation and Dalong Formation in the Lower Yangtze area, south China. J. Pet. Sci. Eng. 2022, 215, 110578. [Google Scholar] [CrossRef]
- Xia, W.H.; Xi, K.L.; Xin, H.G.; Ma, W.Z.; Zhao, H.; Feng, S.B.; Dan, W.D. The influence of pore throat heterogeneity and fractal characteristics on reservoir quality: A case study of chang 8 member tight sandstones, Ordos Basin. Unconv. Resour. 2025, 5, 100123. [Google Scholar] [CrossRef]
- Pan, L.; Xiao, X.M.; Tian, H.; Zhou, Q.; Chen, J.; Li, T.F.; Wei, Q. A preliminary study on the characterization and controlling factors of porosity and pore structure of the Permian shales in Lower Yangtze region, Eastern China. Int. J. Coal Geol. 2015, 146, 68–78. [Google Scholar] [CrossRef]
- Zhang, J.Z.; Li, X.Q.; Xie, Z.Y.; Li, J.; Zhang, X.Q.; Sun, K.X.; Wang, F.Y. Characterization of microscopic pore types and structures in marine shale: Examples from the Upper Permian Dalong formation, Northern Sichuan Basin, South China. J. Nat. Gas Sci. Eng. 2018, 59, 326–342. [Google Scholar] [CrossRef]
- Loucks, R.G.; Reed, R.M.; Ruppel, S.C.; Ruppel, S.C.; Hammes, U. Spectrum of pore types and networks in mudrocks and a descriptive classifcation for matrix related mudrock pores. AAPG Am. Assoc. Pet. Geol. Bull. 2012, 96, 1071–1098. [Google Scholar]
- Guo, H.J.; Jia, W.L.; He, R.L.; Yu, C.L.; Song, J.Z.; Peng, P.A. Distinct evolution trends of nanometer-scale pores displayed by the pyrolysis of organic matter-rich lacustrine shales: Implications for the pore development mechanisms. Mar. Petrol. Geol. 2020, 121, 104622. [Google Scholar] [CrossRef]
- Guo, H.J.; He, R.L.; Jia, W.L.; Peng, P.A.; Lei, Y.H.; Luo, X.R.; Wang, X.Z.; Zhang, L.X.; Jiang, C.F. Pore characteristics of lacustrine shale within the oil window in the Upper Triassic Yanchang Formation, southeastern Ordos Basin. China Mar. Petrol. Geol. 2018, 91, 279–296. [Google Scholar] [CrossRef]
- Wang, G.P.; Zhang, Q.; Zhu, R.K.; Tang, X.; Liu, K.Q.; Dong, L. Effects of clay minerals and organic matter on pore evolution of the early mature lacustrine shale in the Ordos Basin, China. J. Asian Earth Sci. 2023, 246, 105516. [Google Scholar] [CrossRef]
- Peng, J.W.; Hu, Z.Q.; Feng, D.J. Influence of quartz types on rock fabrics and bulk physical properties in organic-rich mudstone: A review. Earth-Sci. Rev. 2024, 249, 104670. [Google Scholar] [CrossRef]
- Gao, P.; Xiao, X.M.; Hu, D.F.; Lash, G.G.; Liu, R.; Zhang, B.; Zhao, Y. Comparison of silica diagenesis between the lower Cambrian and lower Silurian shale reservoirs in the middle–upper Yangtze platform (southern China). AAPG Bull. 2024, 108, 971–1003. [Google Scholar] [CrossRef]
- Jiang, F.J.; Huo, L.H.; Chen, D.; Cao, L.; Zhao, R.J.; Li, Y.; Guo, T.W. The controlling factors and prediction model of pore structure in global shale sediments based on random forest machine learning. Earth-Sci. Rev. 2023, 241, 104442. [Google Scholar] [CrossRef]
- IUPAC. Physical chemistry division commission on colloid and surface chemistry, subcommittee on characterization of porous solids: Recommendations for the characterization of porous solids (Technical Report). Pure Appl. Chem. 1994, 66, 1739–1758. [Google Scholar] [CrossRef]
- Curtis, M.E.; Cardott, B.J.; Sondergeld, C.H.; Rai, C.S. Development of organic porosity in the Woodford Shale with increasing thermal maturity. Int. J. Coal Geol. 2012, 103, 26–31. [Google Scholar] [CrossRef]
- Yuan, W.; Pan, Z.; Li, X.; Yang, Y.; Zhao, C.; Connell, L.D.; He, J. Experimental study and modelling of methane adsorption and diffusion in shale. Fuel 2014, 117, 509–519. [Google Scholar] [CrossRef]
- Wang, G.; Qin, X.; Shen, J.; Zhang, Z.; Han, D.; Jiang, C. Quantitative analysis of microscopic structure and gas seepage characteristics of low-rank coal based on CT three-dimensional reconstruction of CT images and fractal theory. Fuel 2019, 256, 115900. [Google Scholar] [CrossRef]
- Mandelbrot, B.B. The Fractal Geometry of Nature; W.H. Freeman: New York, NY, USA, 1982. [Google Scholar]
- SY/T 5163-2010; Analysis Method for Clay Minerals and Ordinary Non–Clay Minerals in Sedimentary Rocks by X–Ray Diffraction. Petroleum Industry Press: Beijing, China, 2010.
- GB/T 19145-2003; Determination of Total Organic Carbon in Sedimentary Rocks, General Administration of Quality Supervision. Inspection and Quarantine of the People’s Republic of China: Beijing, China, 2003.
- Gregg, S.J.; Sing, K.S.W. Adsorption, Surface Area, and Porosity; Academic Press: London, UK, 1982; p. 303. [Google Scholar]
- Brunauer, S.; Emmett, P.H.; Teller, E. Adsorption of gases in multimolecular layers. J. Am. Chem. Soc. 1938, 60, 309–319. [Google Scholar] [CrossRef]
- Fan, L.; Ziegler, T. Nonlocal density functional theory as a practical tool incalculations on transition states and activation energies, Applications to elementary reaction steps in organic chemistry. J. Am. Chem. Soc. 1992, 114, 10890–10897. [Google Scholar] [CrossRef]
- Spearman, C. The proof and measurement of association between two things. Am. J. Psychol. 1994, 15, 72–101. [Google Scholar] [CrossRef]
- Wang, G.P.; Jin, Z.J.; Liu, G.X.; Wang, R.Y.; Zhao, G.; Tang, X.; Liu, K.Q.; Zhang, Q. Pore system of the multiple lithofacies reservoirs in unconventional lacustrine shale oil formation. Int. J. Coal Geol. 2023, 273, 104270. [Google Scholar] [CrossRef]
- Yang, R.; He, S.; Yi, J.; Hu, Q. Nano-scale pore structure and fractal dimension of organic-rich Wufeng-Longmaxi shale from Jiaoshiba area, Sichuan Basin: Investigations using FE-SEM, gas adsorption and helium pycnometry. Mar. Pet. Geol. 2016, 70, 27–45. [Google Scholar] [CrossRef]










| Formations | Sample ID | Depth | Mineral Composition (%) | Total Clay (%) | TOC | ||||||
|---|---|---|---|---|---|---|---|---|---|---|---|
| (m) | Quartz | K-Feldspar | Plagioclase | Calcite | Dolomite | Siderite | Pyrite | (wt%) | |||
| Dalong | L1-1 | 4237.92 | 51.2 | 0.3 | 1.2 | 35.2 | - | - | 6.2 | 5.9 | 6.3 |
| Dalong | L1-2 | 4247.3 | 34.8 | - | 2 | 13 | 41 | - | 2.6 | 6.6 | 3.59 |
| Dalong | L1-3 | 4248.56 | 67.5 | 0.2 | 3.8 | 9.6 | 1.6 | - | 6.4 | 10.9 | 9.19 |
| Dalong | L1-4 | 4253 | 38.9 | 0.7 | 7.9 | 20.4 | - | - | 5.2 | 26.9 | 6.76 |
| Dalong | L1-5 | 4254.14 | 45.3 | 0.4 | 3.7 | 33 | 1.2 | - | 3.9 | 12.5 | 6.37 |
| Dalong | L1-6 | 4268.18 | 27 | - | 5.7 | 36.4 | - | 2.4 | 7.8 | 20.7 | 3.19 |
| Wujiaping | L1-7 | 4282 | 52.9 | 0.1 | 3.1 | 25.4 | 2 | - | 2.5 | 14 | 6.21 |
| Wujiaping | L1-8 | 4290.05 | 19.5 | 0.2 | 4.4 | - | 20.2 | 6.3 | 3.5 | 45.9 | 6.65 |
| Wujiaping | L1-9 | 4310.99 | 14.3 | 0.1 | 1.8 | - | 5.2 | 7.3 | 4.6 | 66.7 | 3.52 |
| Wujiaping | L1-10 | 4312.09 | 6.9 | 0.5 | 0.7 | - | 3.6 | 11.8 | 6.3 | 70.2 | 2.74 |
| Gufeng | L1-11 | 4334.71 | 82.3 | 0.4 | 0.2 | 3.2 | 1.7 | - | 1.6 | 10.6 | 8.13 |
| Gufeng | L1-12 | 4335.57 | 91.5 | 0.2 | 0.2 | 3.8 | 1.1 | - | - | 3.2 | 6.88 |
| Sample ID | N2 | Helium Porosity | CO2 | TPV (cm3/g) | |||||||
|---|---|---|---|---|---|---|---|---|---|---|---|
| BET SSA | BJH PSD (10−4 cm3/g) | BJH PSD (10−4 cm3/g) | CO2-A (cm3/g) | BJH TPV (cm3/g) | |||||||
| (m2/g) | <2nm | 2–50 nm | >50 nm | <0.5 nm | 0.5–1.0 nm | >1.0 nm | |||||
| L1-1 | 7.924 | 38.621 | 25.117 | 24.567 | 1.6 | 12 | 24.2 | 5.5 | 2.22 | 0.004 | 0.009 |
| L1-2 | 9.205 | 41.196 | 69.396 | 31.160 | 2.2 | 5.5 | 11.4 | 2.7 | 1.04 | 0.002 | 0.012 |
| L1-3 | 22.034 | 102.351 | 119.715 | 22.294 | 4.1 | 10 | 24.6 | 5.6 | 2.14 | 0.004 | 0.018 |
| L1-4 | 13.978 | 64.152 | 70.712 | 27.712 | 2.6 | 5.4 | 16.6 | 4.4 | 1.41 | 0.003 | 0.012 |
| L1-5 | 21.827 | 102.585 | 96.739 | 30.685 | 3.8 | 9.1 | 26.5 | 7.2 | 2.28 | 0.004 | 0.017 |
| L1-6 | 25.309 | 116.872 | 138.477 | 33.641 | 4.1 | 14.2 | 31.7 | 7.4 | 2.83 | 0.005 | 0.023 |
| L1-7 | 14.620 | 67.328 | 88.466 | 24.501 | 3.9 | 9.1 | 20.7 | 5 | 1.85 | 0.003 | 0.015 |
| L1-8 | 11.997 | 51.518 | 156.261 | 60.445 | - | 16.9 | 33.4 | 7.7 | 3.09 | 0.006 | 0.027 |
| L1-9 | 15.203 | 66.444 | 164.147 | 51.218 | 7.7 | 14.1 | 29.7 | 8.2 | 2.74 | 0.005 | 0.027 |
| L1-10 | 6.505 | 26.749 | 127.265 | 71.092 | - | 12 | 25.2 | 6.7 | 1.08 | 0.004 | 0.024 |
| L1-11 | 15.959 | 77.221 | 15.125 | 31.371 | 0.6 | 13.2 | 29.3 | 6.9 | 2.63 | 0.005 | 0.010 |
| L1-12 | 6.362 | 31.021 | 7.945 | 27.404 | 0.6 | 9 | 23.9 | 6 | 2.07 | 0.004 | 0.007 |
| Samples | N2 | |||
|---|---|---|---|---|
| P/P0: 0–0.45 | P/P0: 0.45–1.0 | |||
| R12 | D1 | R22 | D2 | |
| L1-1 | 0.9016 | 2.7943 | 0.9843 | 2.8710 |
| L1-2 | 0.9840 | 2.7244 | 0.9945 | 2.8285 |
| L1-3 | 0.9834 | 2.7244 | 0.9567 | 2.8863 |
| L1-4 | 0.9849 | 2.7485 | 0.9962 | 2.8668 |
| L1-5 | 0.9799 | 2.7514 | 0.9914 | 2.8918 |
| L1-6 | 0.9764 | 2.7203 | 0.9868 | 2.8856 |
| L1-7 | 0.9823 | 2.7073 | 0.9804 | 2.8657 |
| L1-8 | 0.9944 | 2.5848 | 0.9957 | 2.7345 |
| L1-9 | 0.9970 | 2.6294 | 0.9822 | 2.7673 |
| L1-10 | 0.9866 | 2.5056 | 0.9996 | 2.6129 |
| L1-11 | 0.8122 | 2.7599 | 0.9207 | 2.9435 |
| L1-12 | 0.8450 | 2.8584 | 0.9079 | 2.9190 |
| Spearman Correlation Coefficient | TOC (wt.%) | Clay (%) | Quartz (%) | Carbonate Minerals (%) | Feldspar (%) | Pyrite (%) |
|---|---|---|---|---|---|---|
| Vmic | / | / | / | / | / | / |
| Vmes | / | R = 0.790; P = 0.002 | R = −0.769; P = 0.003 | / | / | / |
| Vmac | R = −0.608; P = 0.036 | R = 0.692; P = 0.031 | R = −0.776; P = 0.003 | / | / | / |
| SSA | / | / | / | / | / | / |
| D1 | / | R = −0.830; P = 0.001 | R = 0.788; P = 0.02 | / | / | / |
| D2 | / | R = −0.671; P = 0.017 | R = 0.832; P = 0.001 | / | / | / |
| Porosity | / | R = 0.689; P = 0.028 | / | / | / | / |
Disclaimer/Publisher’s Note: The statements, opinions and data contained in all publications are solely those of the individual author(s) and contributor(s) and not of MDPI and/or the editor(s). MDPI and/or the editor(s) disclaim responsibility for any injury to people or property resulting from any ideas, methods, instructions or products referred to in the content. |
© 2025 by the authors. Licensee MDPI, Basel, Switzerland. This article is an open access article distributed under the terms and conditions of the Creative Commons Attribution (CC BY) license (https://creativecommons.org/licenses/by/4.0/).
Share and Cite
Wang, G.; Zhang, Q.; Shen, B.; Wang, P.; Du, W.; Wang, L.; Li, M.; Wan, C. Pore Structure and Fractal Characteristics of the Permian Shales in Northeastern Sichuan Basin, China. Minerals 2025, 15, 684. https://doi.org/10.3390/min15070684
Wang G, Zhang Q, Shen B, Wang P, Du W, Wang L, Li M, Wan C. Pore Structure and Fractal Characteristics of the Permian Shales in Northeastern Sichuan Basin, China. Minerals. 2025; 15(7):684. https://doi.org/10.3390/min15070684
Chicago/Turabian StyleWang, Guanping, Qian Zhang, Baojian Shen, Pengwei Wang, Wei Du, Lu Wang, Min Li, and Chengxiang Wan. 2025. "Pore Structure and Fractal Characteristics of the Permian Shales in Northeastern Sichuan Basin, China" Minerals 15, no. 7: 684. https://doi.org/10.3390/min15070684
APA StyleWang, G., Zhang, Q., Shen, B., Wang, P., Du, W., Wang, L., Li, M., & Wan, C. (2025). Pore Structure and Fractal Characteristics of the Permian Shales in Northeastern Sichuan Basin, China. Minerals, 15(7), 684. https://doi.org/10.3390/min15070684

