Identification of Alteration Minerals and Lithium-Bearing Pegmatite Deposits Using Remote Sensing Satellite Data in Dahongliutan Area, Western Kunlun, NW China
Abstract
1. Introduction
2. Materials and Methods
2.1. Study Area
2.2. Acquisition and Preprocessing of Remote Sensing Data
2.2.1. Landsat-8 OLI and ASTER Data
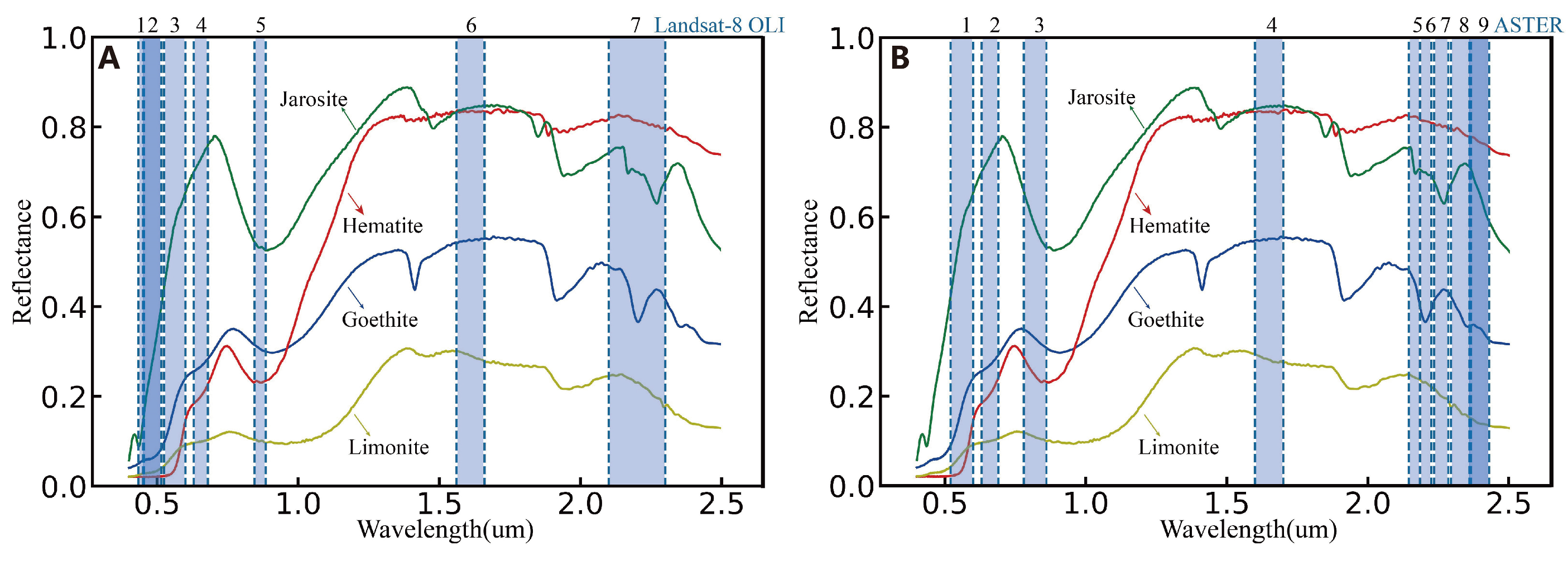
2.2.2. Spectroradiometric Measurements
2.3. Spectral Analysis and Mineral Mapping
2.3.1. Principal Component Analysis (PCA)
2.3.2. Mixed Tuned Matched Filtering (MTMF)
3. Results
3.1. Alteration and Structure Mapping Using Landsat-8 OLI and ASTER
3.1.1. Alteration Mapping
3.1.2. Structural Interpretation
3.2. Lithological Mapping Using Landsat-8 OLI and ASTER
4. Discussion
4.1. Alteration and Mineralization
4.2. Structure and Mineralization
4.3. Mineral Prospectivity Maps for the Study Area
5. Conclusions
Author Contributions
Funding
Data Availability Statement
Acknowledgments
Conflicts of Interest
References
- Kesler, S.E.; Gruber, P.W.; Medina, P.A.; Keoleian, G.A.; Everson, M.P.; Wallington, T.J. Global lithium resources: Relative importance of pegmatite, brine and other deposits. Ore Geol. Rev. 2012, 48, 55–69. [Google Scholar] [CrossRef]
- Meng, F.; McNeice, J.; Zadeh, S.S.; Ghahreman, A. Review of Lithium Production and Recovery from Minerals, Brines, and Lithium-Ion Batteries. Miner. Process. Extr. Metall. Rev. 2019, 42, 123–141. [Google Scholar] [CrossRef]
- Linnen, R.L.; Van Lichtervelde, M.; Černý, P. Granitic pegmatites as sources of strategic metals. Elements 2012, 8, 275–280. [Google Scholar] [CrossRef]
- London, D. Ore-forming processes within granitic pegmatites. Ore Geol. Rev. 2018, 101, 349–383. [Google Scholar] [CrossRef]
- Sabins, F.F. Remote sensing for mineral exploration. Ore Geol. Rev. 1999, 14, 157–183. [Google Scholar] [CrossRef]
- Laakso, K.; Peter, J.M.; Rivard, B.; White, H.P. Short-Wave Infrared Spectral and Geochemical Characteristics of Hydrothermal Alteration at the Archean Izok Lake Zn-Cu-Pb-Ag Volcanogenic Massive Sulfide Deposit, Nunavut, Canada: Application in Exploration Target Vectoring. Econ. Geol. 2016, 111, 1223–1239. [Google Scholar] [CrossRef]
- Rowan, L.C.; Mars, J.C. Lithologic mapping in the Mountain Pass, California area using Advanced Spaceborne Thermal Emission and Reflection Radiometer (ASTER) data. Remote Sens. Environ. 2003, 84, 350–366. [Google Scholar] [CrossRef]
- Naleto, J.L.C.; Perrotta, M.M.; Costa, F.G.d.; Souza Filho, C.R.d. Point and imaging spectroscopy investigations on the Pedra Branca orogenic gold deposit, Troia Massif, Northeast Brazil: Implications for mineral exploration in amphibolite metamorphic-grade terrains. Ore Geol. Rev. 2019, 107, 283–309. [Google Scholar] [CrossRef]
- Alaaddin, V.; Dogan, A. Determination of lithological differences and hydrothermal alteration areas by remote sensing studies: Kisacik (Ayvacik-Canakkale, Biga Peninsula, Turkey). J. Eng. Res. Appl. Sci. 2020, 9, 341–560. [Google Scholar]
- Corumluoglu, O.; Vural, A.; Asri, I. Determination of Kula basalts (geosite) in Turkey using remote sensing techniques. Arab. J. Geosci. 2015, 8, 10105–10117. [Google Scholar] [CrossRef]
- Feng, Y.; Liang, T.; Yang, X.; Zhang, Z.; Wang, Y. Chemical Evolution of Nb-Ta Oxides and Cassiterite in Phosphorus-Rich Albite-Spodumene Pegmatites in the Kangxiwa–Dahongliutan Pegmatite Field, Western Kunlun Orogen, China. Minerals 2019, 9, 166. [Google Scholar] [CrossRef]
- Wang, H.; Gao, H.; Zhang, X.-Y.; Yan, Q.-H.; Xu, Y.; Zhou, K.; Dong, R.; Li, P. Geology and geochronology of the super-large Bailongshan Li–Rb–(Be) rare-metal pegmatite deposit, West Kunlun orogenic belt, NW China. Lithos 2020, 360–361. [Google Scholar] [CrossRef]
- Lefevre, M.J. Teledetection d’anomalies geobotaniques appliquee a la recherche miniere par la methode de traitement d’images, Echassieres (Allier). Bull. Société Géologique Fr. 1982, 7, 127–130. [Google Scholar] [CrossRef]
- Mendes, D.; Perrotta, M.M.; Costa, M.A.C.; Paes, V.J.C. Mapeamento espectral para identificação de assinaturas espectrais de minerais de lítio em imagens ASTER (NE/MG). In Proceedings of the Anais do XVIII Simpósio Brasileiro de Sensoriamento Remoto, Santos, Brazil, 28–31 May 2017. 28–29. [Google Scholar]
- Salehi, T.H.; Tangestani, M. Large-scale mapping of iron oxide and hydroxide minerals of Zefreh porphyry copper deposit, using Worldview-3 VNIR data in the Northeastern Isfahan, Iran. Int. J. Appl. Earth Obs. Geoinf. 2018, 73, 156–169. [Google Scholar] [CrossRef]
- Cardoso-Fernandes, J.; Lima, A.; Teodoro, A.C. Potential of Sentinel-2 data in the detection of lithium (Li)-bearing pegmatites: A study case. In Proceedings of the Earth Resources and Environmental Remote Sensing/GIS Applications IX, Berlin, Germany, 10–13 September 2018; Volume 10790. [Google Scholar]
- Cardoso-Fernandes, J.; Teodoro, A.C.; Lima, A. Remote sensing data in lithium (Li) exploration: A new approach for the detection of Li-bearing pegmatites. Int. J. Appl. Earth Obs. Geoinf. 2019, 76, 10–25. [Google Scholar] [CrossRef]
- Cardoso-Fernandes, J.; Teodoro, A.C.; Lima, A.; Perrotta, M.; Roda-Robles, E. Detecting Lithium (Li) Mineralizations from Space: Current Research and Future Perspectives. Appl. Sci. 2020, 10, 1785. [Google Scholar] [CrossRef]
- Cardoso-Fernandes, J.; Silva, J.; Perrotta, M.M.; Lima, A.; Teodoro, A.C.; Ribeiro, M.A.; Dias, F.; Barrès, O.; Cauzid, J.; Roda-Robles, E. Interpretation of the Reflectance Spectra of Lithium (Li) Minerals and Pegmatites: A Case Study for Mineralogical and Lithological Identification in the Fregeneda-Almendra Area. Remote Sens. 2021, 13, 3688. [Google Scholar] [CrossRef]
- Dai, J.J.; Wang, D.H.; Dai, H.Z.; Liu, L.j.; Wu, Y.N. Geological mapping and ore-prospecting study using remote sensing technology in Jiajika area of Western Sichuan Province. Geol. China 2017, 44, 389–398, (In Chinese with English Abstract). [Google Scholar]
- Dai, J.J.; Wang, D.H.; Dai, H.Z.; Liu, L.J.; Ling, T.Y. Reflectance Spectral Characteristics of Rocks and Minerals in Jiajika Lithium Deposits in West Sichuan. Rock Miner. Anal. 2018, 37, 507–517, (In Chinese with English Abstract). [Google Scholar]
- Yao, F.J.; Xu, X.W.; Yang, J.M.; Wu, L.N.; Gen, X.X. A technology for identifying Li-Be pegmatite using ASTER remote sensing data in granite of Gobi shallow-covered area: A case study of recognition and prediction of Li-Be pegmatite in Jingerquan Xinjiang. Miner. Depos. 2020, 39, 686–696, (In Chinese with English Abstract). [Google Scholar]
- Yan, Q.-H.; Qiu, Z.-W.; Wang, H.; Wang, M.; Wei, X.-P.; Li, P.; Zhang, R.-Q.; Li, C.-Y.; Liu, J.-p. Age of the Dahongliutan rare metal pegmatite deposit, West Kunlun, Xinjiang (NW China): Constraints from LA–ICP–MS U–Pb dating of columbite-(Fe) and cassiterite. Ore Geol. Rev. 2018, 100, 561–573. [Google Scholar] [CrossRef]
- Xiao, W.; Han, F.; Windley, B.F.; Yuan, C.; Zhou, H.; Li, J. Multiple Accretionary Orogenesis and Episodic Growth of Continents: Insights from the Western Kunlun Range, Central Asia. Int. Geol. Rev. 2010, 45, 303–328. [Google Scholar] [CrossRef]
- Mattern, F.; Schneider, W. Suturing of the Proto- and Paleo-Tethys oceans in the western Kunlun (Xinjiang, China). J. Asian Earth Sci. 2000, 18, 637–650. [Google Scholar] [CrossRef]
- Wei, X.P.; Wang, H.; Hu, J.; Mu, S.L.; Qiu, Z.W.; Yan, Q.H.; Li, P. Geochemistry and geochronology of the Dahongliutan two-mica granite pluton in western Kunlun orogen: Geotectonic implications. Geochemistry 2017, 46, 66–80, (In Chinese with English Abstract). [Google Scholar]
- Yan, Z.Q.; Wang, H.T.; Li, Y.M.; Wang, J.Z.; Li, K.; Wang, Y.X.; Ren, W.X.; Yu, C.; Zhou, Y.Q. Potential Evaluation of Pegmatite-type lithium-beryllium mineral resources in Dahongliutan area, West Kunlun. Gansu Geol. 2018, 27, 42–48, (In Chinese with English Abstract). [Google Scholar]
- Qiao, G.B.; Zhang, H.D.; Wu, Y.Z.; Jin, M.S.; Du, W.; Zhao, X.J.; Chen, D.H. Petrogenesis of the Dahongliutan Monzogranite in Western Kunlun: Constraints from SHRIMP Zircon U-Pb Geochronology and Geochemical Characteristics. Acta Geol. Sin. 2015, 89, 1180–1194, (In Chinese with English Abstract). [Google Scholar]
- Claverie, M.; Vermote, E.F.; Franch, B.; Masek, J.G. Evaluation of the Landsat-5 TM and Landsat-7 ETM+ surface reflectance products. Remote Sens. Environ. 2015, 169, 390–403. [Google Scholar] [CrossRef]
- Clark, R.N.; Roush, T.L. Reflectance spectroscopy: Quantitative analysis techniques for remote sensing applications. J. Geophys. Res. Solid Earth 1984, 89, 6329–6340. [Google Scholar] [CrossRef]
- Hecker, C.; van Ruitenbeek, F.J.A.; Bakker, W.H.; Fagbohun, B.J.; Riley, D.; van der Werff, H.M.A.; van der Meer, F.D. Mapping the wavelength position of mineral features in hyperspectral thermal infrared data. Int. J. Appl. Earth Obs. Geoinf. 2019, 79, 133–140. [Google Scholar] [CrossRef]
- Kokaly, R.F.; Clark, R.N. Spectroscopic Determination of Leaf Biochemistry Using Band-Depth Analysis of Absorption Features and Stepwise Multiple Linear Regression. Remote Sens. Environ. 1999, 67, 267–287. [Google Scholar] [CrossRef]
- Eldosouky, A.M.; Sehsah, H.; Elkhateeb, S.O.; Pour, A.B. Integrating aeromagnetic data and Landsat-8 imagery for detection of post-accretionary shear zones controlling hydrothermal alterations: The Allaqi-Heiani Suture zone, South Eastern Desert Egypt. Adv. Space Res. 2020, 65, 1008–1024. [Google Scholar] [CrossRef]
- Crosta, A.P.; De Souza Filho, C.R.; Azevedo, F.; Brodie, C. Targeting key alteration minerals in epithermal deposits in Patagonia, Argentina, using ASTER imagery and principal component analysis. Int. J. Remote Sens. 2003, 24, 4233–4240. [Google Scholar] [CrossRef]
- Loughlin, W.P. Principal component analysis for alteration mapping. Photogramm. Eng. Remote Sens. 1991, 57, 1163–1169. [Google Scholar]
- Boardman, J.W.; Kruse, F.A. Automated spectral analysis: A geologic example using AVIRIS data, north Grapevine Mountains, Nevada. In Proceedings of the Tenth Thematic Conference on Geologic Remote Sensing, San Antonio, TX, USA, 9–12 May 1994. [Google Scholar]
- Gupta, R.P.; Tiwari, R.K.; Saini, V.; Srivastava, N. A Simplified Approach for Interpreting Principal Component Images. Adv. Remote Sens. 2013, 2, 111–119. [Google Scholar] [CrossRef]
- Boardman, J.W.; Kruscl, F.A.; Grccn, R.O. Mapping target signatures via partial unmixing of AVIRIS data. In Proceedings of the 5th Annual JPL Airborne Earth Science Workshop, Pasadena, CA, USA, 23–26 January 1995. JPL. [Google Scholar]
- Vural, A.; Akpinar, İ.; Sipahi, F. Mineralogical and Chemical Characteristics of Clay Areas, Gümüşhane Region (NE Turkey), and Their Detection Using the Crósta Technique with Landsat 7 and 8 Images. Nat. Resour. Res. 2021, 30, 3955–3985. [Google Scholar] [CrossRef]
- Green, A.A.; Berman, M.; Switzer, P.; Craig, M.D. A transformation for ordering multispectral data in terms of image quality with implications for noise removal. IEEE Trans. Geosci. Remote Sens. 1988, 26, 65–74. [Google Scholar] [CrossRef]
- Van der Werff, H.; van der Meer, F. Sentinel-2A MSI and Landsat8 OLI Provide Data Continuity for Geological Remote Sensing. Remote Sens. 2016, 8, 883. [Google Scholar] [CrossRef]
- Kokaly, R.F.; Clark, R.N.; Swayze, G.A.; Livo, K.E.; Hoefen, T.M.; Pearson, N.C.; Wise, R.A.; Benzel, W.; Lowers, H.A.; Driscoll, R.L.; et al. USGS Spectral Library Version 7: U.S. Geol. Surv. Data Ser. 2017, 1035, 61. [Google Scholar]
- Honarmand, M.; Ranjbar, H.; Shahabpour, J. Application of Principal Component Analysis and Spectral Angle Mapper in the Mapping of Hydrothermal Alteration in the Jebal-Barez Area, Southeastern Iran. Resour. Geol. 2012, 62, 119–139. [Google Scholar] [CrossRef]
- Ghosh, U.K.; Naik, K.K.; Kesari, M.P. Digital image processing of multispectral ASTER imagery for delineation of alteration and related clay minerals in Sausar Belt-a case study. Indian J. Geosci. 2016, 70, 49–58. [Google Scholar]
- Tompkins, S.; Mustard, J.F.; Pieters, C.M.; Forsyth, D.W. Optimization of endmembers for spectral mixture analysis. Remote Sens. Environ. 1997, 59, 472–489. [Google Scholar] [CrossRef]
- Siddiqui, A.; Chauhan, P.; Kumar, V.; Jain, G.; Kumar, P. Characterization of urban materials in AVIRIS-NG data using a mixture tuned matched filtering (MTMF) approach. Geocarto International. 2020. [Google Scholar] [CrossRef]
- Ye, B.; Tian, S.; Ge, J.; Sun, Y. Assessment of WorldView-3 Data for Lithological Mapping. Remote Sens. 2017, 9, 1132. [Google Scholar] [CrossRef]
- Goodarzi Mehr, S.; Ahadnejad, V.; Abbaspour, R.A.; Hamzeh, M. Using the mixture-tuned matched filtering method for lithological mapping with Landsat TM5 images. Int. J. Remote Sens. 2013, 34, 8803–8816. [Google Scholar] [CrossRef]
- Cao, R.; Gao, Y.; Chen, B.; Bagas, L.; Yan, S.; Huang, C.; Zhao, H. Pegmatite magmatic evolution and rare metal mineralization of the Dahongliutan pegmatite field, Western Kunlun Orogen: Constraints from the B isotopic composition and mineral-chemistry. Int. Geol. Rev. 2021, 65, 1224–1242. [Google Scholar] [CrossRef]
- Gao, J.G.; Liang, T.; Wang, D.H.; Feng, Y.G.; Li, Y.; Tan, X.J.; Cen, J.B.; He, L. The metallogenic mechanism of rare metaldeposits in the Dahongliutan ore field, Hotian, Xinjiang. Acta Petrol. Sin. 2024, 40, 2753–2768, (In Chinese with English Abstract). [Google Scholar] [CrossRef]
- Pour, A.B.; Sekandari, M.; Rahmani, O.; Crispini, L.; Läufer, A.; Park, Y.; Hong, J.K.; Pradhan, B.; Hashim, M.; Hossain, M.S.; et al. Identification of Phyllosilicates in the Antarctic Environment Using ASTER Satellite Data: Case Study from the Mesa Range, Campbell and Priestley Glaciers, Northern Victoria Land. Remote Sens. 2020, 13, 38. [Google Scholar] [CrossRef]
- Pour, A.B.; Hashim, M.; Hong, J.K.; Park, Y. Lithological and alteration mineral mapping in poorly exposed lithologies using Landsat-8 and ASTER satellite data: North-eastern Graham Land, Antarctic Peninsula. Ore Geol. Rev. 2019, 108, 112–133. [Google Scholar] [CrossRef]
- Mars, J.C.; Rowan, L.C. ASTER spectral analysis and lithologic mapping of the Khanneshin carbonatite volcano, Afghanistan. Geosphere 2011, 7, 276–289. [Google Scholar] [CrossRef]
- Wu, M.; Zhou, K.; Wang, Q.; Wang, J. Mapping Hydrothermal Zoning Pattern of Porphyry Cu Deposit Using Absorption Feature Parameters Calculated from ASTER Data. Remote Sens. 2019, 11, 1729. [Google Scholar] [CrossRef]
- Mars, J.C.; Rowan, L.C. Regional mapping of phyllic- and argillic-altered rocks in the Zagros magmatic arc, Iran, using Advanced Spaceborne Thermal Emission and Reflection Radiometer (ASTER) data and logical operator algorithms. Geosphere 2006, 2, 161–186. [Google Scholar] [CrossRef]
- Carranza, E.J.M.; Hale, M. Mineral imaging with Landsat Thematic Mapper data for hydrothermal alteration mapping in heavily vegetated terrane. Int. J. Remote Sens. 2002, 23, 4827–4852. [Google Scholar] [CrossRef]
- Hunt, G.R.; Graham, R. Spectral signature of particular minerals in the visible and infrared. Geophysics 1977, 42, 501–513. [Google Scholar] [CrossRef]
- Gersman, R.; Ben-Dor, E.; Beyth, M.; Avigad, D.; Abraha, M.; Kibreab, A. Mapping of hydrothermally altered rocks by the EO-1 Hyperion sensor, Northern Danakil Depression, Eritrea. Int. J. Remote Sens. 2008, 29, 3911–3936. [Google Scholar] [CrossRef]
- Laukamp, C.; Rodger, A.; LeGras, M.; Lampinen, H.; Lau, I.C.; Pejcic, B.; Stromberg, J.; Francis, N.; Ramanaidou, E. Mineral Physicochemistry Underlying Feature-Based Extraction of Mineral Abundance and Composition from Shortwave, Mid and Thermal Infrared Reflectance Spectra. Minerals 2021, 11, 347. [Google Scholar] [CrossRef]
- Corrado, F.; Putzolu, F.; Armstrong, R.N.; Mondillo, N.; Chirico, R.; Casarotto, B.; Massironi, M.; Fuller, D.; Ball, R.; Herrington, R.J. Application of satellite and proximal hyperspectral sensing to target lithium mineralization in volcano-sedimentary deposits: A case study from the McDermitt caldera, USA. Remote Sens. Environ. 2025, 323. [Google Scholar] [CrossRef]
- Jiang, Q.; Dai, J.; Wang, D.; Wang, C.; Tian, S. Lithium-bearing pegmatite exploration in Western Altun, Xinjiang, using remote-sensing technology. Acta Geol. Sin. 2023, 97, 681–694. [Google Scholar] [CrossRef]
- Hunt, G.R.; Ashley, P. Spectra of altered rocks in the visible and near infrared. Econ. Geol. 1979, 74, 1613–1629. [Google Scholar] [CrossRef]
- Crowley, J.K.; Williams, D.E.; Hammarstrom, J.M.; Piatak, N.; Chou, I.M.; Mars, J.C. Spectral reflectance properties (0.4–2.5 μm) of secondary Fe-oxide, Fe-hydroxide, and Fe-sulphate-hydrate minerals associated with sulphide-bearing mine wastes. Geochem. Explor. Environ. Anal. 2003, 3, 219–228. [Google Scholar] [CrossRef]
- Tang, J.L.; Ke, Q.; Xu, X.W.; Kang, K.; Li, H.; Tan, K.B.; Dong, L.H.; Liu, Y.X. Magma evolution and mineralization of Longmenshan lithium-beryllium pegmatite in Dahongliutan area, West Kunlun. Acta Geol. Sin. 2022, 38, 655–675. [Google Scholar]
- Gao, Y.; Bagas, L.; Li, K.; Jin, M.; Liu, Y.; Teng, J. Newly Discovered Triassic Lithium Deposits in the Dahongliutan Area, NorthWest China: A Case Study for the Detection of Lithium-Bearing Pegmatite Deposits in Rugged Terrains Using Remote-Sensing Data and Images. Front. Earth Sci. 2020, 8. [Google Scholar] [CrossRef]
- Qiao, G.B.; Wu, Y.Z.; Liu, T. Zircon U-Pb age of pegmatite veins in Dahongliutan lithium deposit, western Kunlun. China Geol. 2021, 4, 185–187. [Google Scholar] [CrossRef]
- Fan, J.J.; Tang, G.J.; Wei, G.J.; Wang, H.; Xu, Y.G.; Wang, Q.; Zhou, J.S.; Zhang, Z.Y.; Huang, T.Y.; Wang, Z.L. Lithium isotope fractionation during fluid exsolution: Implications for Li mineralization of the Bailongshan pegmatites in the West Kunlun, NW Tibet. Lithos 2020. [Google Scholar] [CrossRef]
- Asadzadeh, S.; De Souza Filho, C.R. A review on spectral processing methods for geological remote sensing. Int. J. Appl. Earth Obs. Geoinf. 2016, 47, 69–90. [Google Scholar] [CrossRef]
- Boardman, J.W.; Kruse, F.A. Analysis of Imaging Spectrometer Data Using N-Dimensional Geometry and a Mixture-Tuned Matched Filtering Approach. IEEE Trans. Geosci. Remote Sens. 2011, 49, 4138–4152. [Google Scholar] [CrossRef]
- Son, Y.-S.; You, B.-W.; Bang, E.-S.; Cho, S.-J.; Kim, K.-E.; Baik, H. Mapping Alteration Mineralogy in Eastern Tsogttsetsii, Mongolia, Based on the WorldView-3 and Field Shortwave-Infrared Spectroscopy Analyses. Remote Sens. 2021, 13, 914. [Google Scholar] [CrossRef]
- Liu, J.; He, H.; Michalski, J.; Cuadros, J.; Yao, Y.; Tan, W.; Qin, X.; Li, S.; Wei, G. Reflectance spectroscopy applied to clay mineralogy and alteration intensity of a thick basaltic weathering sequence in Hainan Island, South China. Appl. Clay Sci. 2021, 201. [Google Scholar] [CrossRef]
- Gilles, G.; Xavier, B.; Karine, A.; Anne, B.; Audrey, H. Clay Minerals Mapping from Imaging Spectroscopy. In Geospatial Analyses of Earth Observation (EO) Data; Pepe, A., Zhao, Q., Eds.; IntechOpen: Rijeka, Croatia, 2019. [Google Scholar]
















| Sensor | Subsystem | Band Number | Spectral Range (µm) | Spatial Resolution (m) | Swath Width (m) |
|---|---|---|---|---|---|
| Landsat-8 | VNIR | PAN (8) | 0.500–0.680 | 15 | 185 |
| Coastal aerosol (1) | 0.433–0.453 | 30 | |||
| Blue (2) | 0.450–0.515 | ||||
| Green (3) | 0.525–0.600 | ||||
| Red (4) | 0.630–0.680 | ||||
| NIR (5) | 0.845–0.885 | ||||
| SWIR | SWIR1 (6) | 1.560–1.660 | |||
| SWIR2 (7) | 2.100–2.300 | ||||
| Cirrus (9) | 1.360–1.390 | ||||
| TIR | TIRS1 (10) | 10.60–11.19 | 100 | ||
| TIRS2 (11) | 11.50–12.51 | ||||
| ASTER | VNIR | 1 | 0.520–0.600 | 15 | 60 |
| 2 | 0.630–0.690 | ||||
| 3N | 0.780–0.860 | ||||
| 3B | 0.780–0.860 | ||||
| SWIR | 4 | 1.600–1.700 | 30 | ||
| 5 | 2.145–2.185 | ||||
| 6 | 2.185–2.225 | ||||
| 7 | 2.235–2.285 | ||||
| 8 | 2.295–2.365 | ||||
| 9 | 2.360–2.430 | ||||
| TIR | 10 | 8.125–8.475 | 90 | ||
| 11 | 8.475–8.825 | ||||
| 12 | 8.925–9.275 | ||||
| 13 | 10.25–10.95 | ||||
| 14 | 10.95–11.65 |
| Eigenvectors | Band 2 | Band 5 | Band 6 | Band 7 |
|---|---|---|---|---|
| PC1 | 0.23 | 0.52 | 0.63 | 0.53 |
| PC2 | 0.68 | 0.51 | −0.39 | −0.34 |
| PC3 | 0.63 | −0.61 | −0.11 | 0.47 |
| PC4 | −0.29 | 0.29 | −0.66 | 0.63 |
| Eigenvectors | Band 1 | Band 3 | Band 4 | Band 6 |
|---|---|---|---|---|
| PC1 | −0.11 | −0.97 | −0.21 | −0.04 |
| PC2 | −0.69 | −0.08 | −0.70 | 0.16 |
| PC3 | −0.72 | 0.23 | −0.64 | −0.18 |
| PC4 | −0.02 | 0.01 | −0.25 | 0.97 |
| Eigenvectors | Band 1 | Band 3 | Band 4 | Band 8 |
|---|---|---|---|---|
| PC1 | −0.11 | −0.97 | −0.21 | −0.03 |
| PC2 | −0.70 | −0.07 | −0.70 | 0.10 |
| PC3 | −0.71 | 0.22 | −0.66 | −0.13 |
| PC4 | −0.02 | 0.01 | −0.16 | 0.99 |
| Eigenvectors | Band 2 | Band 4 | Band 5 | Band 6 |
|---|---|---|---|---|
| PC1 | 0.25 | 0.40 | 0.57 | 0.67 |
| PC2 | 0.61 | 0.36 | 0.26 | −0.66 |
| PC3 | −0.39 | −0.41 | 0.78 | −0.27 |
| PC4 | −0.64 | 0.74 | −0.01 | −0.19 |
| Eigenvectors | Band 1 | Band 2 | Band 3 | Band 4 |
|---|---|---|---|---|
| PC1 | 0.11 | 0.29 | 0.93 | 0.19 |
| PC2 | 0.65 | 0.38 | −0.06 | −0.66 |
| PC3 | 0.54 | 0.28 | −0.31 | 0.73 |
| PC4 | 0.52 | −0.83 | 0.20 | 0.02 |
Disclaimer/Publisher’s Note: The statements, opinions and data contained in all publications are solely those of the individual author(s) and contributor(s) and not of MDPI and/or the editor(s). MDPI and/or the editor(s) disclaim responsibility for any injury to people or property resulting from any ideas, methods, instructions or products referred to in the content. |
© 2025 by the authors. Licensee MDPI, Basel, Switzerland. This article is an open access article distributed under the terms and conditions of the Creative Commons Attribution (CC BY) license (https://creativecommons.org/licenses/by/4.0/).
Share and Cite
Bai, Y.; Wang, J.; Jiang, G.; Zhou, K.; Zhou, S.; Mi, W.; An, Y. Identification of Alteration Minerals and Lithium-Bearing Pegmatite Deposits Using Remote Sensing Satellite Data in Dahongliutan Area, Western Kunlun, NW China. Minerals 2025, 15, 671. https://doi.org/10.3390/min15070671
Bai Y, Wang J, Jiang G, Zhou K, Zhou S, Mi W, An Y. Identification of Alteration Minerals and Lithium-Bearing Pegmatite Deposits Using Remote Sensing Satellite Data in Dahongliutan Area, Western Kunlun, NW China. Minerals. 2025; 15(7):671. https://doi.org/10.3390/min15070671
Chicago/Turabian StyleBai, Yong, Jinlin Wang, Guo Jiang, Kefa Zhou, Shuguang Zhou, Wentian Mi, and Yu An. 2025. "Identification of Alteration Minerals and Lithium-Bearing Pegmatite Deposits Using Remote Sensing Satellite Data in Dahongliutan Area, Western Kunlun, NW China" Minerals 15, no. 7: 671. https://doi.org/10.3390/min15070671
APA StyleBai, Y., Wang, J., Jiang, G., Zhou, K., Zhou, S., Mi, W., & An, Y. (2025). Identification of Alteration Minerals and Lithium-Bearing Pegmatite Deposits Using Remote Sensing Satellite Data in Dahongliutan Area, Western Kunlun, NW China. Minerals, 15(7), 671. https://doi.org/10.3390/min15070671

