Fine Crustal Velocity Structure and Deep Mineralization in South China from Joint Inversion of Gravity and Seismic Data
Abstract
1. Introduction
2. Geological Background
3. Data and Methods
3.1. Seismic Data and Tomography
3.2. Gravity Data and Inversion
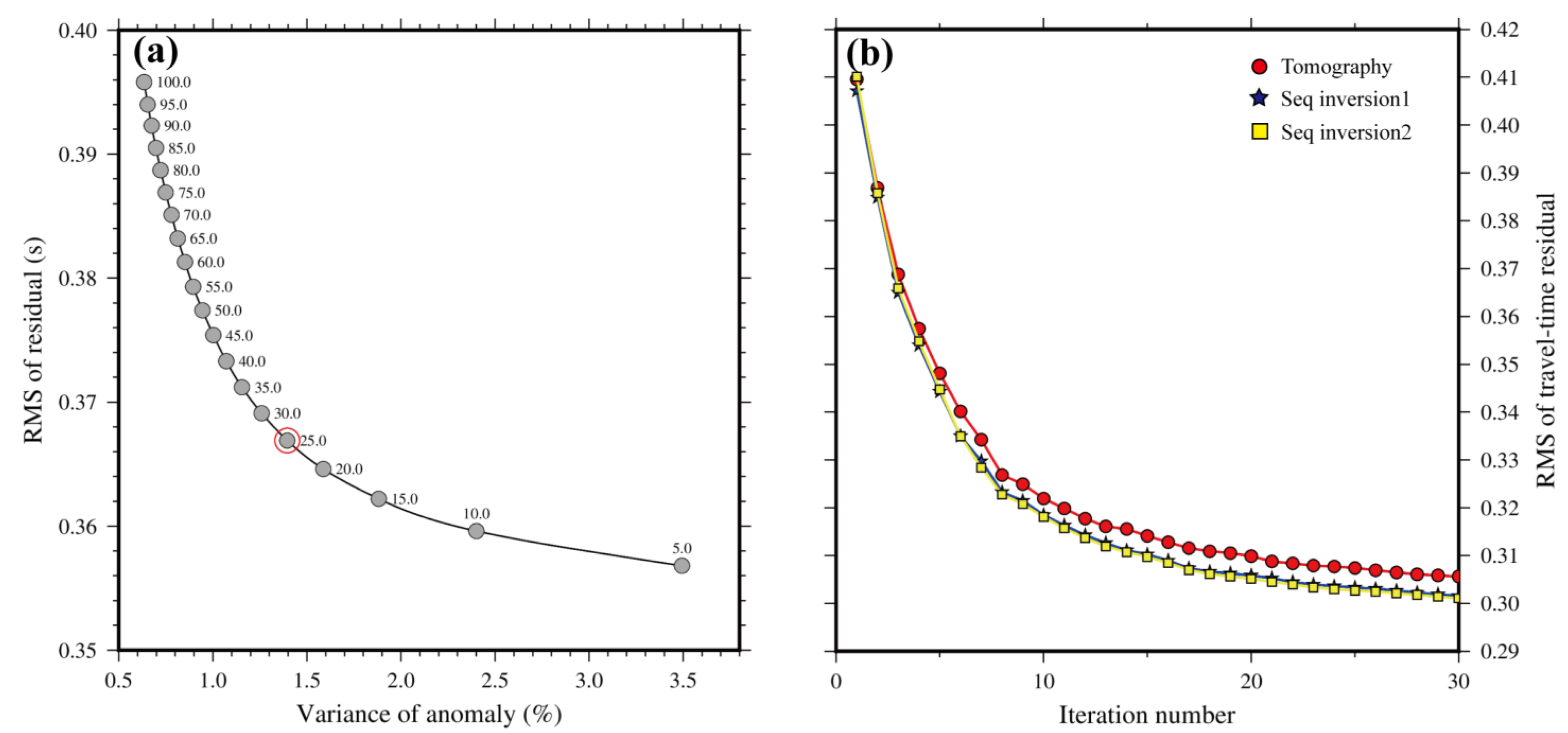
3.3. Seismic and Gravity Joint Inversion
4. Resolution Analysis
4.1. Checkerboard Tests for Seismic Tomography
4.2. Checkerboard Tests for Joint Inversion
5. Results
5.1. Map Views of Velocity Structure
5.2. Vertical Cross-Sections of Velocity Structure
6. Discussion
6.1. Geological Implications of Velocity Tomography
6.2. Geodynamics and Mineralization
7. Conclusions
Author Contributions
Funding
Data Availability Statement
Acknowledgments
Conflicts of Interest
Abbreviations
| SCB | South China Block |
| YZC | Yangtze Craton |
| CB | Cathaysia Block |
| JNO | Jiangnan Orogen |
References
- Li, X.H.; Li, W.X.; Li, Z.X.; Lo, C.H.; Wang, J.; Ye, M.F.; Yang, Y.H. Amalgamation between the Yangtze and Cathaysia Blocks in South China: Constraints from SHRIMP U–Pb zircon ages, geochemistry and Nd–Hf isotopes of the Shuangxiwu volcanic rocks. Precambrian Res. 2009, 174, 117–128. [Google Scholar] [CrossRef]
- Zhao, Z.; Gao, P.; Zheng, Y. The source of Mesozoic granitoids in South China: Integrated geochemical constraints from the Taoshan batholith in the Nanling Range. Chem. Geol. 2015, 395, 11–26. [Google Scholar] [CrossRef]
- Li, M.; Pei, X.; Pei, L.; Li, Z.C.; Li, R.B. Late Triassic Felsic and Mafic Magmatism in the South Qinling Orogen, Central China: Insights from the Petrology, Zircon U-Pb Geochronology, and Geochemistry of the Huoshaodian Pluton. Minerals 2025, 15, 120. [Google Scholar] [CrossRef]
- Pullen, A.; Kapp, P.; Gehrels, G.E.; Vervoort, J.D.; Ding, L. Triassic continental subduction in central Tibet and Mediterranean-style closure of the Paleo-Tethys Ocean. Geology 2008, 36, 351–354. [Google Scholar] [CrossRef]
- Hu, R.; Gao, W.; Fu, S.; Su, W.; Peng, J.; Bi, X. Mesozoic intraplate metallogenesis in South China. Earth Sci. Front. 2024, 31, 226–238. (In Chinese) [Google Scholar]
- Zhang, Z.; Hou, Z.; Lü, Q.; Zhang, X.; Pan, X.; Fan, X.; Zhang, Y.; Wang, C.; Lü, Y. Crustal architectural controls on critical metal ore systems in South China based on Hf isotopic mapping. Geology 2023, 51, 738–742. [Google Scholar] [CrossRef]
- Zhou, X.M.; Sun, T.; Shen, W.Z.; Shu, L.S.; Niu, Y.L. Petrogenesis of Mesozoic granitoids and volcanic rocks in South China: A response to tectonic evolution. Episodes 2006, 29, 26–33. [Google Scholar] [CrossRef] [PubMed]
- Han, R.; Yang, D.; Li, Q.; Huang, R.; Zhang, H.; Li, J.; Chen, H.; Ye, Z.; Fu, W. Receiver function imaging of dense seismic array and deep dynamic mechanism beneath the eastern South China. Sci. China Earth Sci. 2023, 66, 1289–1308. [Google Scholar] [CrossRef]
- He, C.; Santosh, M. Crustal evolution and metallogeny in relation to mantle dynamics: A perspective from P-wave tomography of the South China Block. Lithos 2016, 263, 3–14. [Google Scholar] [CrossRef]
- Hou, J.; Xu, T.; Lü, Q.; Bai, Z.; Zhang, Y.; Zhang, Z.; Yang, D. The deep background of large-scale, Mesozoic Cu-Au-W metallogenesis in northeastern South China: Constraints from Yingshan-Changshan wide-angle seismic reflection/refraction data. Sci. China Earth Sci. 2022, 65, 2202–2218. [Google Scholar] [CrossRef]
- Huang, R.; Xu, Y.; Zhu, L.; He, K. Detailed Moho geometry beneath southeastern China and its implications on thinning of continental crust. J. Asian Earth Sci. 2015, 112, 42–48. [Google Scholar] [CrossRef]
- Li, Q.; Gao, R.; Wu, F.T.; Guan, Y.; Ye, Z.; Liu, Q.; Kuo-Chen, H.; He, R.; Li, W.; Shen, X. Seismic structure in the southeastern China using teleseismic receiver functions. Tectonophysics 2013, 606, 24–35. [Google Scholar] [CrossRef]
- Tang, Q.; Sun, W.; Yoshizawa, K.; Fu, L.Y. Anomalous Radial Anisotropy and Its Implications for Upper Mantle Dynamics Beneath South China From Multimode Surface Wave Tomography. J. Geophys. Res. Solid Earth 2022, 127, e2021JB023456. [Google Scholar] [CrossRef]
- Zhang, Y.; Shi, D.; Lü, Q.; Xu, Z.; Yan, J.; Chen, C.; Xu, T. The crustal thickness and composition in the eastern South China Block constrained by receiver functions: Implications for the geological setting and metallogenesis. Ore Geol. Rev. 2021, 130, 103988. [Google Scholar] [CrossRef]
- Chen, J.; Pan, L.; Li, Z.; Chen, X. Continental reworking in the eastern South China Block and its adjacent areas revealed by F-J multimodal ambient noise tomography. J. Geophys. Res. Solid Earth 2022, 127, e2022JB024776. [Google Scholar] [CrossRef]
- Qian, L.; Lei, J.; Zhao, D. Crustal anisotropy and deformation in the South China Block. J. Asian Earth Sci. 2025, 289, 106627. [Google Scholar] [CrossRef]
- Zhao, D.; Hasegawa, A.; Horiuchi, S. Tomographic imaging of P and S wave velocity structure beneath northeastern Japan. J. Geophys. Res. 1992, 97, 19909–19928. [Google Scholar] [CrossRef]
- Zhao, D.; Hasegawa, A.; Kanamori, H. Deep structure of Japan subduction zone as derived from local, regional and teleseismic events. J. Geophys. Res. 1994, 99, 22313–22329. [Google Scholar] [CrossRef]
- Guo, Z.; Gao, X. Azimuthally anisotropic seismic ambient noise tomography of South China block. Tectonophysics 2022, 823, 229187. [Google Scholar] [CrossRef]
- Ma, J.; Guo, Z.; Huang, J.; Fu, Y.V.; Barnard, A. Defining the Yangtze–Cathaysia suture zone in South China using ambient noise tomography. Geophys. J. Int 2023, 50, 512–527. [Google Scholar] [CrossRef]
- Dong, S.; Li, J.; Cawood, P.A.; Gao, R.; Zhang, Y.; Xin, Y. Mantle influx compensates crustal thinning beneath the Cathaysia Block, South China: Evidence from SINOPROBE reflection profiling. Earth Planet. Sci. Lett. 2020, 544, 116360. [Google Scholar] [CrossRef]
- Jiang, G.; Zhang, G.; Zhao, D.; Lü, Q.; Shi, D.; Li, H.; Li, X. Mantle Flow and Dynamics Beneath Central-East China: New Insights From P-Wave Anisotropic Tomography. J. Geophys. Res. Solid Earth 2021, 126, e2020JB020070. [Google Scholar] [CrossRef]
- Li, S.; Jiang, G.; Zhao, D.; Zhang, G.; Lü, Q.; Shi, D.; Chai, G. Deep geodynamics and metallogenic mechanism of the South China block: New insight from mantle tomography. Tectonophysics 2023, 869, 230107. [Google Scholar] [CrossRef]
- Guo, L.; Gao, R.; Shi, L.; Huang, Z.; Ma, Y. Crustal thickness and Poisson’s ratios of South China revealed from joint inversion of receiver function and gravity data. Earth Planet. Sci. Lett. 2019, 510, 142–152. [Google Scholar] [CrossRef]
- Yang, X.Z.; Luo, Y.; Zhao, K. 3D crustal and upper mantle model of East-Central China from a joint inversion of surface and body waves and its tectonic implications. J. Geophys. Res. Solid Earth 2021, 126, e2021JB022667. [Google Scholar] [CrossRef]
- Yang, X.Y.; Li, Y.; Afonso, J.C.; Yang, Y.; Zhang, A. Thermochemical state of the upper mantle beneath South China from multi-observable probabilistic inversion. J. Geophys. Res. Solid Earth 2021, 126, e2020JB021114. [Google Scholar] [CrossRef]
- Zhou, J.C.; Wang, X.L.; Qiu, J.S. Geochronology of Neoproterozoic mafic rocks and sandstones from northeastern Guizhou, South China: Coeval arc magmatism and sedimentation. Precambrian Res. 2009, 170, 27–42. [Google Scholar] [CrossRef]
- Cawood, P.A.; Strachan, R.A.; Pisarevsky, S.A.; Gladkochub, D.P.; Murphy, J.B. Linking collisional and accretionary orogens during Rodinia assembly and breakup: Implications for models of supercontinent cycles. Earth Planet. Sci. Lett. 2016, 449, 118–126. [Google Scholar] [CrossRef]
- Wei, Y.; Li, H.; Zhou, W.; Ma, C.; Fru, E.; Xu, D.; Deng, X.; Tan, M.; Zhao, X.; Xu, Y.; et al. The Early Neoproterozoic Andean-Type Orogenic and Within-Plate Magmatic Events in the Northern Margin of the Yangtze Craton during the Convergence of the Rodinia Supercontinent. Minerals 2024, 14, 820. [Google Scholar] [CrossRef]
- Zheng, Y.F.; Xiao, W.J.; Zhao, G. Introduction to tectonics of China. Gondwana Res. 2013, 23, 1189–1206. [Google Scholar] [CrossRef]
- Li, Z.; Li, X. Formation of the 1300-km-wide intracontinental orogen and postorogenic magmatic province in Mesozoic South China: A flat-slab subduction model. Geology 2007, 35, 179–182. [Google Scholar] [CrossRef]
- Sun, W.; Ding, X.; Hu, Y.H.; Li, X.H. The golden transformation of the Cretaceous plate subduction in the west Pacific. Earth Planet. Sci. Lett. 2007, 262, 533–542. [Google Scholar] [CrossRef]
- Zhang, Y.Y.; Chen, L.; Ai, Y.S.; Jiang, M.M.; Xu, W.W.; Shen, Z.Y. Lithospheric structure of the South China Block from S-receiver function. Chin. J. Phys. 2018, 61, 138–149. [Google Scholar]
- Shen, X.; Kind, R.; Huang, Z.; Yuan, X.; Liu, M. Imaging the Mantle Lithosphere below the China cratons using S-to-p converted waves. Tectonophysics 2019, 754, 73–79. [Google Scholar] [CrossRef]
- Guo, L.Z.; Shi, Y.S.; Ma, R.S. On the formation and evolution of the Mesozoic Cenozoic active continental margin and island arc tectonics of the western Pacific Ocean. Acta Geol. Sin. 1983, 1, 11–21. [Google Scholar]
- Hsü, K.J.; Shu, S.; Li, J.; Chen, H.; Peng, H.; Sengör, A.M.C. Mesozoic overthrust tectonics in south China. Geology 1988, 16, 418–421. [Google Scholar] [CrossRef]
- Mao, J.; Ye, H.; Liu, K.; Li, Z.; Takahashi, Y.; Zhao, X.; Kee, W.S. The Indosinian collision–extension event between the South China Block and the Palaeo-Pacific plate: Evidence from Indosinian alkaline granitic rocks in Dashuang, eastern Zhejiang, South China. Lithos 2013, 172–173, 81–97. [Google Scholar] [CrossRef]
- Wang, G.; Ni, P.; Zhao, C.; Wang, X.; Li, P.; Chen, H.; Zhu, A.; Li, L. Spatiotemporal reconstruction of Late Mesozoic silicic large igneous province and related epithermal mineralization in South China: Insights from the Zhilingtou volcanic-intrusive complex. J. Geophys. Res. Solid. Earth 2016, 121, 7903–7928. [Google Scholar] [CrossRef]
- Wang, Y.; Fan, W.; Zhang, G.; Zhang, Y. Phanerozoic tectonics of the South China Block: Key observations and controversies. Gondwana Res. 2013, 23, 1273–1305. [Google Scholar] [CrossRef]
- Chen, J.; Wang, R.; Zhu, J.; Lu, J.; Ma, D. Multiple-aged granitoids and related tungsten-tin mineralization in the Nanling Range, South China. Sci. China Earth Sci. 2013, 56, 2045–2055. [Google Scholar] [CrossRef]
- Liu, G.; Deng, Y.; Yuan, F.; Chen, X.; Yang, B. Rb–Sr dating and S–Sr–Nd isotopic constraints on the genesis of the Hehuashan Pb–Zn deposit in the Middle–Lower Yangtze River Metallogenic belt, China. Solid Earth Sci. 2021, 6, 57–69. [Google Scholar] [CrossRef]
- Shu, L.; Faure, M.; Yu, J.; Jahn, B. Geochronological and geochemical features of the Cathaysia block (South China): New evidence for the Neoproterozoic breakup of Rodinia. Precambrian Res. 2011, 187, 263–276. [Google Scholar] [CrossRef]
- Mao, J.; Xie, G.; Duan, C.; Pirajno, F.; Ishiyama, D.; Chen, Y. A tectono-genetic model for porphyry–skarn–stratabound Cu–Au–Mo–Fe and magnetite–apatite deposits along the Middle–Lower Yangtze River Valley, Eastern China. Ore Geol. Rev. 2011, 43, 294–314. [Google Scholar] [CrossRef]
- Zhang, Y.; Shi, D.; Lü, Q.; Xu, Y.; Xu, Z.; Gong, X.; Yan, J.; Xu, T. A fine crustal structure and geodynamics revealed by receiver functions along the Guangchang-Putian line in the Cathaysia Block, South China. Tectonophysics 2021, 815, 229007. [Google Scholar] [CrossRef]
- Zhao, D. Multiscale Seismic Tomography; Springer: Berlin/Heidelberg, Germany, 2015; p. 304. [Google Scholar]
- Zhao, D.; Katayama, Y.; Toyokuni, G. The Moho, slab and tomography of the East Japan forearc derived from seafloor S-net data. Tectonophysics 2022, 837, 229452. [Google Scholar] [CrossRef]
- She, L.; Zhang, G.; Jiang, G.; Zhao, D.; Xi, J.; Lü, Q.; Shi, D. Slab morphology around the Philippine Sea: New insights from P-wave mantle tomography. J. Geophys. Res. Solid Earth 2023, 128, e2022JB024757. [Google Scholar] [CrossRef]
- Jia, R.; Zhao, D. Anisotropic tomography of the East Japan subduction zone: Influence of inversion algorithms. Geophys. J. Int. 2023, 234, 2199–2213. [Google Scholar] [CrossRef]
- Paige, C.C.; Saunders, M.A. LSQR: An algorithm for sparse linear equations and sparse least squares. ACM Trans. Math. Softw. 1982, 8, 43–71. [Google Scholar] [CrossRef]
- Balmino, G.; Vales, N.; Bonvalot, S.; Briais, A. Spherical harmonic modelling to ultra-high degree of Bouguer and isostatic anomalies. J. Geod. 2012, 86, 499–520. [Google Scholar] [CrossRef]
- Parker, R.L. The rapid calculation of potential anomalies. Geophys. J. Int. 1973, 31, 447–455. [Google Scholar] [CrossRef]
- Laske, G.; Masters, G.; Ma, Z.; Pasyanos, M. Update on CRUST1.0—A1-degree global model of Earth’s crust. Geophys. Res. Abstr. 2013, 15, EGU2013-2658. [Google Scholar]
- Wang, X.; Fang, J.; Hsu, H. Three-dimensional density structure of the lithosphere beneath the North China Craton and the mechanisms of its destruction. Tectonophysics 2014, 610, 150–158. [Google Scholar] [CrossRef]
- Braitenberg, C.; Zadro, M.; Fang, J.; Wang, Y.; Hsu, H.T. The gravity and isostatic Moho undulations in Qinghai–Tibet plateau. J. Geodyn. 2000, 30, 489–505. [Google Scholar] [CrossRef]
- Li, Y.; Oldenburg, D.W. 3-D inversion of gravity data. Geophysics 1998, 63, 109–119. [Google Scholar] [CrossRef]
- Birch, F. The velocity of compressional waves in rocks to 10 kilobars: 2. J. Geophys. Res. 1961, 66, 2199–2224. [Google Scholar] [CrossRef]
- Gardner, G.; Gardner, G.R. Formation velocity and density—The diagnostic basics for stratigraphic traps. Geophysics 1974, 39, 770–780. [Google Scholar] [CrossRef]
- Nafe, J.; Drake, C. Physical properties of marine sediments. Sea 1963, 3, 794–815. [Google Scholar]
- Ludwig, W.; Nafe, J.; Drake, C. Seismic refraction. Sea 1970, 4, 53–84. [Google Scholar]
- Feng, R.; Yan, H.; Zhang, R. The rapid inversion of 3-D potential field and program design. Acta Geol. Sin. 1986, 60, 390–403. [Google Scholar]
- Kennett, B.; Engdahl, E. Traveltimes for global earthquake location and phase identification. Geophys. J. Int. 1991, 105, 429–465. [Google Scholar] [CrossRef]
- Matheron, G. Principles of Geostatistics. Econ. Geol. 1963, 58, 1246–1266. [Google Scholar] [CrossRef]
- Chen, J.; Li, Z.; Chen, X. A Mid-Crustal Channel of Positive Radial Anisotropy Beneath the Eastern South China Block From F-J Multimodal Ambient Noise Tomography. Geophys. Res. Lett 2024, 51, e2024GL110766. [Google Scholar] [CrossRef]
- Li, T.; Jiang, M.; Zhao, L.; Yao, W.; Chen, L.; Chu, Y.; Sun, B.; Ai, Y.; Wan, B.; Gessner, K.; et al. Wedge tectonics in South China: Constraints from new seismic data. Sci. Bull. 2022, 67, 1496–1507. [Google Scholar] [CrossRef]
- Huang, J.; Zhao, D. High-resolution mantle tomography of China and surrounding regions. J. Geophys. Res. Solid. Earth 2006, 111, B09305. [Google Scholar] [CrossRef]
- Jiang, G.; Hu, S.; Shi, Y.; Zhang, C.; Wang, Z.; Hu, D. Terrestrial heat flow of continental China: Updated dataset and tectonic implications. Tectonophysics 2019, 753, 36–48. [Google Scholar] [CrossRef]
- Lin, J.; Xu, T.; Cai, H.; Lü, Q.; Bai, Z.; Deng, Y.; Zhang, Y.; Huang, M.; Badal, J.; Jin, X. Crustal velocity structure of Cathaysia Block from an active-source seismic profile between Wanzai and Hui’an in SE China. Tectonophysics 2021, 811, 228874. [Google Scholar] [CrossRef]
- Ni, P.; Wang, G.G.; Li, W.S.; Chi, Z.; Li, S.N.; Gao, Y. A review of the Yanshanian ore-related felsic magmatism and tectonic settings in the Nanling W-Sn and Wuyi Au-Cu metallogenic belts, Cathaysia Block, South China. Ore Geol. Rev. 2021, 133, 104088. [Google Scholar] [CrossRef]
- Li, J.H.; Zhang, Y.Q.; Dong, S.W.; Johnston, S.T. Cretaceous tectonic evolution of South. China: A preliminary synthesis. Earth-Sci. Rev. 2014, 134, 98–136. [Google Scholar] [CrossRef]
- Sun, Y.; Ma, C.; Liu, Y. The latest Yanshanian magmatic and metallogenic events in the middle-lower Yangtze River belt: Evidence from the Ningzhen region. Chin. Sci. Bull. 2013, 58, 4308–4318. [Google Scholar] [CrossRef]
- Hildreth, W.; Moorbath, S. Crustal contributions to arc magmatism in the Andes of central Chile. Contrib. Miner. Petrol. 1988, 98, 455–489. [Google Scholar] [CrossRef]
- Richards, J. Tectono-magmatic precursors for porphyry Cu-(Mo-Au) deposit formation. Econ. Geol. 2003, 98, 1515–1533. [Google Scholar] [CrossRef]
- Xu, J.; Shinjo, R.; Defant, M.; Wang, Q.; Rapp, R. Origin of Mesozoic adakitic intrusive rocks in the Ningzhen area of east China: Partial. melting of delaminated lower continental crust? Geology 2002, 30, 1111–1114. [Google Scholar] [CrossRef]
- Xu, T.; Zhang, Z.; Tian, X.; Liu, B.; Bai, Z.; Lü, Q.; Teng, J. Crustal structure beneath the Middle-Lower Yangtze metallogenic belt and its surrounding areas: Constraints from active source seismic experiment along the Lixin to Yixing profile in East China. Acta Petrol. Sinica 2014, 30, 918–930. (In Chinese) [Google Scholar]
- Zhang, Y.; Lü, Q.; Teng, J.; Wang, Q.; Xu, T. Discussion on the crustal density structure and deep mineralization background in the Middle-Lower Yangtze metallogenic belt and its surrounding areas: Constraints from the gravity inversion. Acta Petrol. Sin. 2014, 30, 931–940. [Google Scholar]
- Wessel, P.; Smith, W.H.F. New, improved version of generic mapping tools released. Eos Trans. Am. Geophys. Union. 1998, 79, 579. [Google Scholar] [CrossRef]










Disclaimer/Publisher’s Note: The statements, opinions and data contained in all publications are solely those of the individual author(s) and contributor(s) and not of MDPI and/or the editor(s). MDPI and/or the editor(s) disclaim responsibility for any injury to people or property resulting from any ideas, methods, instructions or products referred to in the content. |
© 2025 by the authors. Licensee MDPI, Basel, Switzerland. This article is an open access article distributed under the terms and conditions of the Creative Commons Attribution (CC BY) license (https://creativecommons.org/licenses/by/4.0/).
Share and Cite
Li, A.; Jia, Z.; Jiang, G.; Zhao, D.; Zhang, G. Fine Crustal Velocity Structure and Deep Mineralization in South China from Joint Inversion of Gravity and Seismic Data. Minerals 2025, 15, 668. https://doi.org/10.3390/min15070668
Li A, Jia Z, Jiang G, Zhao D, Zhang G. Fine Crustal Velocity Structure and Deep Mineralization in South China from Joint Inversion of Gravity and Seismic Data. Minerals. 2025; 15(7):668. https://doi.org/10.3390/min15070668
Chicago/Turabian StyleLi, Ao, Zhengyuan Jia, Guoming Jiang, Dapeng Zhao, and Guibin Zhang. 2025. "Fine Crustal Velocity Structure and Deep Mineralization in South China from Joint Inversion of Gravity and Seismic Data" Minerals 15, no. 7: 668. https://doi.org/10.3390/min15070668
APA StyleLi, A., Jia, Z., Jiang, G., Zhao, D., & Zhang, G. (2025). Fine Crustal Velocity Structure and Deep Mineralization in South China from Joint Inversion of Gravity and Seismic Data. Minerals, 15(7), 668. https://doi.org/10.3390/min15070668

