Late Paleozoic–Mesozoic Tectonic Evolution of the Mudanjiang Ocean: Constraints from the Zircon U-Pb and Ar-Ar Chronology of the Heilongjiang Complex, NE China
Abstract
1. Introduction
2. Geological Background and Sample Descriptions
3. Analytical Methods
3.1. LA-ICP-MS Zircon Dating
3.2. 40Ar/39Ar Dating
3.3. Major and Trace Elements
4. Analytical Results
4.1. Zircon U-Pb Dating
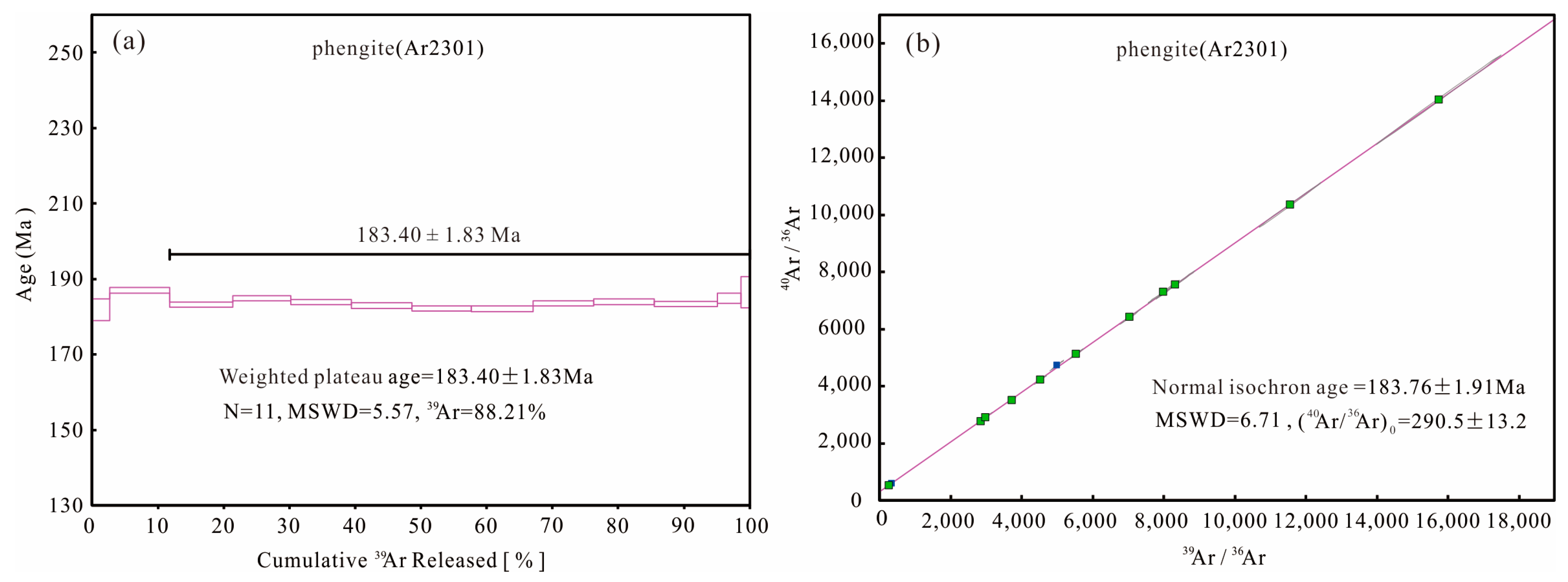
4.2. 40Ar/39Ar Dating Results
4.3. Geochemical Characteristics
4.3.1. Mica Quartz Schist
4.3.2. Amphibolite
5. Discussion
5.1. Protolith Ages of the Heilongjiang Complex in the Huanan Area
5.1.1. Deposition Time of the Mica Quartz Schist
5.1.2. Protolith Age of the Amphibole
5.2. Deposition Provenances of the Mica Quartz Schist
5.3. Thermal Events of the Heilongjiang Complex
5.4. The Evolutionary History of the Mudanjiang Ocean
6. Conclusions
- (1)
- The LA-ICP-MS U-Pb dating results of six samples from the Heilongjiang Complex in the Huanan area show that the deposition time of the mica quartz schist is Late Triassic (237–207 Ma), with provenances related to magmatic and metamorphic activities at the junction of the Jiamusi Block and Songliao Block, while the protolith age of the amphibolite is Middle Triassic (245.5 ± 1.2 Ma).
- (2)
- 40Ar/39Ar isotopic dating yielded a plateau age of 183.40 ± 1.83 Ma for phengite in the mica quartz schist, with the metamorphic ages obtained from zircon U-Pb dating. We identify three significant metamorphic events in the Heilongjiang Complex: (1) ~229 Ma, marking the earliest tectonic thermal disturbance in the complex; (2) 207–202 Ma, corresponding to the metamorphic event related to the collision between the Jiamusi Block and Songliao Block; and (3) ~183 Ma, indicating the closure of the Mudanjiang Ocean.
- (3)
- The tectonic evolution history of the Mudanjiang Ocean is reconstructed: During the Early Permian, the Mudanjiang Ocean had already opened. Between the Middle Permian and Middle Triassic, bidirectional subduction occurred. In the Late Triassic, the Mudanjiang Ocean entered a subduction dormancy period. By the Early to Middle Jurassic, the Mudanjiang Ocean closed due to continental collision, leading to the final positioning of the Heilongjiang Complex.
Supplementary Materials
Author Contributions
Funding
Data Availability Statement
Acknowledgments
Conflicts of Interest
References
- Wilde, S.A.; Dorsett-Bain, H.L.; Liu, J.L. The identification of a Late Pan-Afrain granulite facies event in northeastern China: SHRIMP U-Pb zircon dating of the Mashan Group at Liu Mao, Heilongjiang Province, China. In Proceedings of the 30th IGC: Precambrian Geology and Metamorphic Petrology; Science Publishers: Amsterdam, The Netherlands, 1997; Volume 17, pp. 59–74. [Google Scholar]
- Zhou, J.B.; Pu, X.G.; Hou, H.S.; Han, W.; Cao, J.L.; Li, G.Y. The Mesozoic accretionary complex in NE China and its tectonic implication for the subduction of the Paleo-Paciffic plate beneath the Eurasia. Acta Petrol. Sin. 2018, 34, 2845–2856, (In Chinese with English abstract). [Google Scholar]
- Li, G.Y.; Zhou, J.B.; Li, L.; Chen, Z.; Wang, H.Y. Late Paleozoic to Mesozoic tectonic transition in northeastern Eurasia: Constraints from two island arc magmatic belts in eastern NE China. Geol. Soc. Am. Bull. 2022, 134, 2576–2588. [Google Scholar] [CrossRef]
- Ge, M.H.; Zhang, J.J.; Liu, K.; Ling, Y.Y.; Wang, M.; Wang, J.M. Geochemistry and geochronology of the blueschist in the Heilongjiang complex and its implications in the late Paleozoic tectonics of eastern NE China. Lithos 2016, 261, 232–249. [Google Scholar] [CrossRef]
- Dong, Y.; He, Z.H.; Ren, Z.H.; Ge, W.C.; Yang, H.; Ji, Z.; He, Y. Formation of the Permian Taipinggou igneous rocks, north of Luobei (Northeast China): Implications for the subduction of the Mudanjiang Ocean beneath the Bureya-Jiamusi Massif. Int. Geol. Rev. 2017, 60, 1195. [Google Scholar] [CrossRef]
- Wu, F.Y.; Yang, J.H.; Lo, C.H.; Wilde, S.A.; Sun, D.Y.; Jahn, B.M. The Heilongjiang Group: A Jurassic Accretionary Complex in the Jiamusi Massif at the Western Pacific Margin of Northeastern China. Isl. Arc 2007, 16, 156–172. [Google Scholar] [CrossRef]
- Zhao, L.L.; Zhou, J.B.; Wang, T.; Cui, J.J. Timing of closure of the Jilin-Heilongjiang Ocean: Constraints from zircon U–Pb and Ar–Ar dating of the Heilongjiang Complex in NE China. J. Geol. Soc. 2024, 182, jgs2024-039. [Google Scholar] [CrossRef]
- Li, J.Y. Permian geodynamic setting of Northeast China and adjacent regions: Closure of the Paleo-Asian Ocean and subduction of the Paleo-Pacific Plate. J. Asian Earth Sci. 2006, 26, 207–224. [Google Scholar] [CrossRef]
- Zhou, J.B.; Wilde, S.A.; Zhang, X.Z.; Zhao, G.C.; Zheng, C.Q.; Wang, Y.J.; Zhang, X.H. The onset of Pacific margin accretion in NE China: Evidence from the Heilongjiang high-pressure metamorphic belt. Tectonophysics 2009, 478, 230–246. [Google Scholar] [CrossRef]
- Zhu, C.Y.; Zhao, G.C.; Ji, J.Q.; Sun, M.; Han, Y.G.; Liu, Q.; Eizenhöfer, P.R.; Zhang, X.R.; Hou, W.Z. Subduction between the Jiamusi and Songliao blocks: Geological, geochronological and geochemical constraints from the Heilongjiang Complex. Lithos 2017, 282–283, 128–144. [Google Scholar] [CrossRef]
- Zhu, C.Y.; Zhao, G.C.; Sun, M.; Liu, Q.; Han, Y.G.; Hou, W.; Zhang, X.R.; Eizenhofer, P.R. Geochronology and geochemistry of the Yilan blueschists in the Heilongjiang Complex, northeastern China and tectonic implications. Lithos 2015, 216, 241–253. [Google Scholar] [CrossRef]
- Lv, C.L.; Xiao, Q.H.; Feng, J.L.; Li, X.P.; Deng, C.Z.; Ren, F.H.; Zheng, W.Z. The discovery of late Triassic-Early Jurassic volcanic rocks and their geological implications in Northern Songnen Block, Heilongjiang Province. Geoscience 2015, 29, 855–865, (In Chinese with English abstract). [Google Scholar]
- Li, W.M.; Takasu, A.; Liu, Y.J.; Genser, J.; Zhao, Y.L.; Han, G.Q.; Guo, X.Z. U-Pb and 40Ar/39Ar age constrains on protolith and high-P/T type metamorphism of the Heilongjiang Complex in the Jiamusi Massif, NE China. J. Mineral. Petrol. Sci. 2011, 106, 326–331. [Google Scholar] [CrossRef]
- Dong, Y.; Ge, W.; Yang, H.; Ji, Z.; He, Y.; Zhao, D.; Xu, W. Convergence history of the Jiamusi and Songnen-Zhangguangcai Range massifs: Insights from detrital zircon U-Pb geochronology of the Yilan Heilongjiang complex, NE China. Gondwana Res. 2018, 56, 51–68. [Google Scholar] [CrossRef]
- Li, W.M.; Takasu, A.; Liu, Y.J.; Genser, J.; Neubauer, F.; Guo, X.Z. 40Ar/39Ar ages of the high-P/T metamorphic rocks of the Heilongjiang Complex in the Jiamusi Massif, northeastern China. J. Mineral. Petrol. Sci. 2009, 104, 110–116. [Google Scholar] [CrossRef]
- Ge, M.H.; Zhang, J.J.; Li, L.; Liu, K.; Ling, Y.Y.; Wang, J.M.; Wang, M. Geochronology and geochemistry of the Heilongjiang complex and the granitoids from tHahe Lesser Xing’an-Zhangguangcai Range: Implications for the late Paleozoic-Mesozoic tectonics of eastern NE China. Tectonophysics 2017, 717, 565–584. [Google Scholar] [CrossRef]
- Dong, Y.; Ge, W.C.; Yang, H.; Xu, W.L.; Liu, X.W.; Bi, J.H.; Ji, Z. Geochemical and SIMS U-Pb rutile and LA-ICP-MS U-Pb zircon geochronological evidence of the tectonic evolution of the Mudanjiang Ocean from amphibolites of the Heilongjiang complex, NE China. Gondwana Res. 2019, 69, 25–44. [Google Scholar] [CrossRef]
- Zhang, X.Z.; Zeng, Z.; Gao, R. The evidence from the deep seismic reflection profile on the subduction and collision of the Jiamusi and Songnen Massifs in the northeastern China. Chin. J. Geophys 2015, 58, 4415–4424, (In Chinese with English abstract). [Google Scholar]
- Dong, Y.; Ge, W.C.; Yang, H.; Xu, W.L.; Bi, J.H.; Wang, Z.H. Geochemistry and geochronology of the late Permian mafic intrusions along the boundary area of Jiamusi and Songnen-Zhangguangcai Range massifs and adjacent regions, northeastern China: Petrogenesis and implications for the tectonic evolution of the Mudanjiang Ocean. Tectonophysics 2017, 694, 356–367. [Google Scholar]
- Li, G.Y.; Zhou, J.B.; Li, L. The Jiamusi Block: A hinge of the tectonic transition from the PaleoAsian Ocean to the Paleo-Pacific Ocean regimes. Earth Sci. Rev. 2023, 236, 104279. [Google Scholar] [CrossRef]
- Wilde, S.A.; Zhang, X.Z.; Wu, F.Y. Extension of a newly-identified 500 Ma metamorphic terrain in Northeast China: Further U-Pb SHRIMP dating of the Mashan Complex, Heilongjiang Province, China. Tectonophysics 2000, 328, 115–130. [Google Scholar] [CrossRef]
- Zhou, J.B.; Wilde, S.A.; Zhang, X.Z.; Zhao, G.C.; Liu, F.L.; Qiao, D.W.; Liu, J.H. A>1300 km late Pan-African metamorphic belt in, N.E. China: New evidence from the Xing’an block and its tectonic implications. Tectonophysics 2011, 509, 280–292. [Google Scholar] [CrossRef]
- Yang, H.; Ge, W.C.; Zhao, G.C. Geochronology and geochemistry of Late Pan-African intrusive rocks in the Jiamusi-Khanka Block, NE China: Petrogenesis and geodynamic implications. Lithos 2014, 208–209, 220–236. [Google Scholar] [CrossRef]
- Wu, F.Y.; Sun, D.Y.; Ge, W.C.; Zhang, Y.B.; Grant, M.L.; Wilde, S.A.; Jahn, B.M. Geochronology of the Phanerozoic granitoids in northeastern China. J. Asian Earth Sci. 2011, 41, 1–30. [Google Scholar] [CrossRef]
- Yang, H.; Ge, W.C.; Zhao, G.C.; Yu, J.J.; Zhang, Y.L. Early Permian-Late Triassic granitic magmatism in the Jiamusi-Khanka Massif, eastern segment of the Central Asian Orogenic Belt and its implications. Gondwana Res. 2015, 27, 1509–1533. [Google Scholar] [CrossRef]
- Bi, J.H.; Ge, W.C.; Yang, H.; Wang, Z.H.; Dong, Y.; Liu, X.W.; Ji, Z. Age, petrogenesis, and tectonic setting of the Permian bimodal volcanic rocks in the eastern Jiamusi Massif, NE China. J. Asian Earth Sci. 2017, 134, 160–175. [Google Scholar] [CrossRef]
- Zhu, C.Y.; Zhao, G.C.; Sun, M.; Eizenhöfer, P.R.; Liu, Q.; Zhang, X.R. Geochronology and geochemistry of the Yilan greenschists and amphibolites in the Heilongjiang complex, northeastern China and tectonic implications. Gondwana Res. 2017, 43, 213–228. [Google Scholar] [CrossRef]
- Xie, H.Q.; Zhang, F.Q.; Miao, L.C.; Chen, F.K.; Liu, D.Y. Zircon SHRIMP U–Pb dating of the amphibolite from “Heilongjiang Group” and the granite in Mudanjiang area, NE China, and its geological significance. Acta Petrol. Sin. 2008, 24, 1237–1250, (In Chinese with English abstract). [Google Scholar]
- Zhang, X.Z.; Zhang, Y.H. Coexistence of blueschists and greenschists: A new evidence for the tectonic evolution of the Heilongjiang rock series. J. Changchun Univ. Earth Sci. 1991, 21, 277–282, (In Chinese with English abstract). [Google Scholar]
- Yang, H.; Ge, W.C.; Dong, Y.; Bi, J.H.; Ji, Z.; He, Y.; Jing, Y.; Xu, W.L. Permian subduction of the Paleo-Pacific (Panthalassic) oceanic lithosphere beneath the Jiamusi Block: Geochronological and geochemical evidence from the Luobei mafic intrusions in Northeast China. Lithos 2019, 332–333, 207–225. [Google Scholar] [CrossRef]
- Zhang, L.; Yang, Z.; Wang, Q.; Guo, F.; Song, Y.; Han, W.; Peng, M.; Liu, F.; Li, K.; Cheng, H. Temporal and spatial accumulation of potentially toxic elements (PTEs) in stream sediments from a large lead-zinc mine concentration area of Baoshan, Southwest China. Soils Sediments 2022, 22, 2290–2308. [Google Scholar] [CrossRef]
- Hu, P.Y.; Zhai, Q.G.; Cawood, P.A.; Weinberg, R.F.; Zhao, G.C.; Zhou, R.J.; Tang, Y.; Liu, Y.M. Detrital zircon REE and tectonic settings. Lithos 2024, 480–481, 107661. [Google Scholar] [CrossRef]
- Rieder, M.; Cavazzini, G.; Yakono, V. Nomenclature of the micas. Mineral. Mag. 1999, 63, 267–279. [Google Scholar] [CrossRef]
- Gromet, L.P.; Haskin, L.A.; Korotev, R.L.; Dymek, R.F. The north American shale composite: Its composition, major and trace element characteristics. Geochim. Cosmochim. Acta 1984, 48, 2469–2482. [Google Scholar] [CrossRef]
- Winchester, J.A. The classification of volcanic rocks using multicationic diagrams. Earth Planet. Sci. Lett. 1978, 36, 9–15. [Google Scholar]
- Simonnet, P. Les discriminants géochimiques et la classification des roches volcaniques. Bull. Soc. Géol. Fr. 1953, 3, 839–862. [Google Scholar]
- Petiziol, S. Discriminant diagrams for volcanic rocks. Geochim. Cosmochim. Acta 1972, 36, 545–559. [Google Scholar]
- Sun, S.S.; McDonough, W.F. Chemical and isotopic systematics of oceanic basalts:implications for mantle composition and processes. Geol. Soc. 1989, 42, 313–345. [Google Scholar] [CrossRef]
- Winchester, J.A.; Floyd, P.A. Geochemical Discrimination of Different Types of volcanic Rocks Using Multi-Element Diagrams. Earth Planet. Sci. Lett. 1977, 36, 1–15. [Google Scholar]
- Winchester, J.A.; Floyd, P.A. Geochemical magma type discrimination: Application to altered and metamorphosed basic igneous rocks. Earth Planet. 1976, 28, 459–469. [Google Scholar] [CrossRef]
- Irvine, T.N.; Barager, R.V. A chemical-petrological classification of volcanic rocks of subalkaline series. Can. J. Earth Sci. 1971, 8, 523–548. [Google Scholar] [CrossRef]
- Zhou, J.B.; Zhang, X.Z.; Wilde, S.A.; Zheng, C.Q.; Chen, H.; Han, J. Detrital zircon U-Pb dating of Heilongjiang complex and its tectonic implications. Acta Petrol. Sin. 2009, 25, 1924–1936, (In Chinese with English abstract). [Google Scholar]
- Han, W.; Zhou, J.B.; Wilde, S.A.; Li, L. LA-ICPMS zircon U-Pb dating of the Heilongjiang complex in the Luobei area: New constraints for the late Paleozoic Mesozoic tectonic evolution of Jiamusi Block, NE China. Geol. J. 2020, 55, 1644–1669. [Google Scholar] [CrossRef]
- Jia, S.J.; Zheng, C.Q.; Liang, C.Y.; Zhou, J.B.; Xu, X.C.; Zhao, Y.L.; Wen, Q.B. Metamorphism of the Yilan amphibolites from the Heilongjiang Complex and deformation of the granodioritic mylonites from the Jiamusi Massif, Northeastern China. Geol. J. 2022, 57, 3368–3394. [Google Scholar] [CrossRef]
- Zhou, J.B.; Wilde, S.A.; Zhao, G.C.; Zhang, X.Z.; Zheng, C.Q.; Wang, H. New SHRIMP U-Pb zircon ages from the Heilongjiang high-pressure belt: Constraints on the Mesozoic evolution of NE China. Am. J. Sci. 2010, 310, 1024–1053. [Google Scholar] [CrossRef]
- Wu, F.Y.; Wilde, S.; Sun, D.Y. Zircon SHRIMP U-Pb ages of gneissic granites in Jiamusi massif, northeastern China. Acta Petrol. Sin. 2001, 17, 443–452, (In Chinese with English abstract). [Google Scholar]
- Yang, H.; Ge, W.C.; Dong, Y.; Bi, J.H.; Wang, Z.H.; Ji, Z. Record of Permian-Early Triassic continental arc magmatism in the western margin of the Jiamusi Block, NE China: Petrogenesis and implications for Paleo-Pacific subduction. Int. J. Earth Sci. 2017, 106, 1919–1942. [Google Scholar] [CrossRef]
- Wei, H.Y. Geochronology and Petrogenesis of Granitoids in Yichun-Hegang, Area, Heilongjiang Province. Master’s Thesis, Jilin University, Changchun, China, 2012. (In Chinese with English abstract). [Google Scholar]
- Yu, J.J.; Wang, F.; Xu, W.L.; Gao, F.H.; Tang, J. Late Permian tectonic evolution at the southeastern margin of the Songnen–Zhangguangcai Range Massif, NE China: Constraints from geochronology and geochemistry of granitoids. Gondwana Res. 2013, 24, 635–647. [Google Scholar] [CrossRef]
- Bi, J.H.; Ge, W.C.; Yang, H.; Zhao, G.C.; Xu, W.L.; Wang, Z.H. Geochronology, geochemistry and zircon Hf isotopes of the Dongfanghong gabbroic complex at the eastern margin of the Jiamusi Massif, NE China: Petrogensis and tectonic implications. Lithos 2015, 234, 27–46. [Google Scholar] [CrossRef]
- Wilde, S.A.; Wu, F.Y.; Zhang, X.Z. Late Pan-African magmatism in Northeastern China: SHRIMP U–Pb zircon evidence for igneous ages from the Mashan Complex. Precambrian Res. 2003, 122, 311–327. [Google Scholar] [CrossRef]
- Wang, F.; Xu, W.L.; Meng, E. Early Paleozoic amalgamation of the Songnen-Zhangguangcai Range and Jiamusi massifs in the eastern segment of the Central Asian Orogenic Belt: Geochronological and geochemical evidence from granitoids and rhyolites. J. Asian Earth Sci. 2012, 49, 234–248. [Google Scholar] [CrossRef]
- Wang, Z.W.; Xu, W.L.; Pei, F.P.; Wang, F.; Guo, P. Geochronology and geochemistry of early Paleozoic igneous rocks of the Lesser Xing’an Range, NE China: Implications for the tectonic evolution of the eastern Central Asian Orogenic Belt. Lithos 2016, 261, 144–163. [Google Scholar] [CrossRef]
- Luan, J.P.; Wang, F.; Xu, W.L. Provenance, Age, and Tectonic Implications of Neoproterozoic Strata in the Jiamusi Massif: Evidence from U-Pb Ages and Hf Isotope Compositions of Detrital and Magmatic Zircons. Precambrian Res. 2017, 297, 19–32. [Google Scholar] [CrossRef]
- Luan, J.P.; Wang, F.; Xu, W.L. Age and Geochemistry of Neoproterozoic Granitoids in the Songnen-Zhangguangcai Range Massif, NE China: Petrogenesis and Tectonic Implications. J. Asian Earth Sci. 2017, 148, 265–276. [Google Scholar] [CrossRef]
- Luan, J.P.; Yu, J.J.; Yu, J.L. Early Neoproterozoic Magmatism and Associated Metamorphis in the Songnen Massif, NE China: Petrogenesis and Tectonic Implications. Precambrian Res. 2019, 328, 250–268. [Google Scholar] [CrossRef]
- Yang, H.; Ge, W.C.; Bi, J.H. The Neoproterozoic-Early Paleozoic Evolution of the Jiamusi Block, NE China and Its East Gondwana connection; Geochemical and Zircon U-Pb-Hf Isotopic Constraints From the Mashan Complex. Gondwana Res. 2018, 54, 102–121. [Google Scholar] [CrossRef]
- Wu, C.L.; Chen, A.Z.; Gao, Q.M.; Zhang, Y.; Gao, Y.H.; Qing, H.P. Discovery of the Paleo-proterozoic Granite in Taoshan ichun Northeastern China. Geol. J. 2010, 84, 9, (In Chinese with English abstract). [Google Scholar]
- Quan, J.Y.; Chi, X.G.; Zhang, R.; Sun, W.; Fan, L.F.; Hu, Z.C. LA-ICP-MS U-Pb geochronology of detrital zircon from the Neoproterozoic Dongfengshan Group in Songnen masiff and its geological significance. Geol. Bull. China 2013, 32, 353–364, (In Chinese with English abstract). [Google Scholar]
- Wu, F.Y.; Jahn, B.M.; Wilde, S.A.; Lo, C.H.; Yui, T.F.; Lin, Q.; Sun, D.Y. Highly fractionated I-type granites in NE China (I): Geochronology and petrogenesis. Lithos 2003, 66, 241–273. [Google Scholar] [CrossRef]
- Xu, W.L.; Ji, W.Q.; Pei, F.P.; Meng, E.; Yu, Y.; Yang, D.B.; Zhang, X.Z. Triassic volcanism in eastern Heilongjiang and Jilin provinces, NE China: Chronology, geochemistry, and tectonic implications. J. Asian Earth Sci. 2009, 34, 392–402. [Google Scholar] [CrossRef]
- Dodson, M.H. Closure temperature in cooling geochronological and petrological systems. Contrib. Mineral. Petrol. 1973, 40, 259–274. [Google Scholar] [CrossRef]
- Volkova, N.I.; Li, Y.Z. Petrology of blueschists of Heilongjiang Complex in northeast China. J. Earth Sci. Environ. 2010, 32, 111–119. [Google Scholar]
- Li, W.M.; Liu, Y.J.; Takasu, A.; Zhao, Y.L.; Wen, Q.B.; Guo, X.Z.; Zhang, L. Pressure (P)-temperature (T)-time (t) paths of the blueschists from the Yilan area, Heilongjiang Province. Acta Petrol. Sin. 2014, 30, 3085–3099, (In Chinese with English abstract). [Google Scholar]
- Yang, Y.; Zheng, C.Q.; Xu, X.C.; Han, Y.B.; Guo, B.Y. Protolith property and metamorphic evolution of amphibolites in Guntuling Area, eastern Heilongjiang. Earth Sci. 2018, 43, 3285–3301, (In Chinese with English abstract). [Google Scholar]
- Li, R.; Sun, D.Y.; Kazuhiro, S.; Zheng, C.Q. Mineral composition and P-T conditions of blueschist mica schist in Heilongjiang complex. Earth Sci. 2013, 38, 277–288, (In Chinese with English abstract). [Google Scholar]
- Liu, K.; Xiao, W.J.; Wang, H.; Zhang, J.J.; Liu, J.L.; Xu, M.Y.; Zhang, B. Early Mesozoic accretionary complex scattered throughout NE China and its tectonic implications: Insights from the mylonitic meta-sedimentary rocks in Huanan, Heilongjiang Province. Lithos 2023, 460, 107376. [Google Scholar] [CrossRef]
- Hark, B.R.; Wang, Q. 40Ar/39Ar geochronology of ultrahgpressure metamorphism in Central China. Petrol 1995, 14, 994–1006. [Google Scholar]
- Dong, Y. Convergence History of the Jiamusi and Songnen-Zhangguangcai Range Massifs: Geochronological and Geochemical Evidence. Ph.D. Thesis, Jilin University, Changchun, China, 2018. (In Chinese with English abstract). [Google Scholar]
















Disclaimer/Publisher’s Note: The statements, opinions and data contained in all publications are solely those of the individual author(s) and contributor(s) and not of MDPI and/or the editor(s). MDPI and/or the editor(s) disclaim responsibility for any injury to people or property resulting from any ideas, methods, instructions or products referred to in the content. |
© 2025 by the authors. Licensee MDPI, Basel, Switzerland. This article is an open access article distributed under the terms and conditions of the Creative Commons Attribution (CC BY) license (https://creativecommons.org/licenses/by/4.0/).
Share and Cite
Xu, J.; Hu, P.; Wang, W.; Guo, H.; Zhang, X. Late Paleozoic–Mesozoic Tectonic Evolution of the Mudanjiang Ocean: Constraints from the Zircon U-Pb and Ar-Ar Chronology of the Heilongjiang Complex, NE China. Minerals 2025, 15, 517. https://doi.org/10.3390/min15050517
Xu J, Hu P, Wang W, Guo H, Zhang X. Late Paleozoic–Mesozoic Tectonic Evolution of the Mudanjiang Ocean: Constraints from the Zircon U-Pb and Ar-Ar Chronology of the Heilongjiang Complex, NE China. Minerals. 2025; 15(5):517. https://doi.org/10.3390/min15050517
Chicago/Turabian StyleXu, Jianxin, Peiyuan Hu, Wendong Wang, Hongyu Guo, and Xin Zhang. 2025. "Late Paleozoic–Mesozoic Tectonic Evolution of the Mudanjiang Ocean: Constraints from the Zircon U-Pb and Ar-Ar Chronology of the Heilongjiang Complex, NE China" Minerals 15, no. 5: 517. https://doi.org/10.3390/min15050517
APA StyleXu, J., Hu, P., Wang, W., Guo, H., & Zhang, X. (2025). Late Paleozoic–Mesozoic Tectonic Evolution of the Mudanjiang Ocean: Constraints from the Zircon U-Pb and Ar-Ar Chronology of the Heilongjiang Complex, NE China. Minerals, 15(5), 517. https://doi.org/10.3390/min15050517
