Abstract
The spiral concentrator is usually the first operation in the combined process of iron ore beneficiation. The industrial separation index decreases as the trough surface undergoes increased wear. A combination of surface roughness measurement and numerical experimental methods is utilized to systematically investigate the effect of wall roughness in the middle zone on the evolution of the flow field of a slurry consisting of hematite, quartz and water in a spiral concentrator. The radial migration and distribution characteristics of hematite and quartz particles are analysed, and the separation indexes are further evaluated. The results show that an increase in wall roughness (Ks value) in the middle zone has been shown to decrease the depth of slurry flow, the velocity and radial flux of secondary flow in the inner and middle zones of the trough, and to narrow the space of inward flow. The variation in hydrodynamic parameters is particularly pronounced as the Ks value increases from 0.1 mm to 0.2 mm, resulting in a significant reduction in the space available to the separation fluid and an observable interruption in the inward flow. The migration tendency of hematite and quartz particles to the inner trough is reduced depending on the flow field parameters, and their enrichment zones are both shifted outward. The migration amount and distance of particles show apparent differences in density and size. The separation indexes decrease slightly as the wall roughness (Ks value) in the middle zone increases in the 0.01 to 0.1 mm range, but the iron grade of concentrate decreases significantly, and the separation effect worsens as the Ks value increases from 0.1 mm to 0.2 mm. The separation effect of hematite and quartz particles in the spiral concentrator is influenced by the comprehensive interaction of feed size and wall roughness in the middle zone. The results of this study provide a theoretical basis for the selection of trough material, surface structure design and the production process control of the spiral concentrator.
1. Introduction
The spiral concentrator is a kind of thin-film flow gravity separation equipment which is widely used in ore separation and coal washing due to its simple manufacture, low cost and environmental protection. In the rotating flow field of the spiral concentrator, solid particles make complex three-dimensional movements based on the combined effect of centrifugal inertia force and gravity. Ultimately, separation is achieved based on differences in motion behaviour. The intrinsic reason for the separation is based on the differences in the physical properties of the particles, while the extrinsic reason is based on the characteristics of the flow field in the separation space. Over the past decades, researchers have conducted many physical and numerical experiments to investigate the effects of structural and operational factors on this complex flow pattern and particle separation [1,2,3,4,5,6,7,8]. However, most of these studies are based on an assumption of smooth walls, and do not consider actual wall conditions.
The liquid flow on the surface of the spiral concentrator involves laminar, turbulent and transitional flow, which is characterised by the coexistence of multiple flow regimes. Wall roughness is one of the most important properties of the wall surface, and the separation of particles in the spiral concentrator arises from the interaction between the slurry and the wall surface, resulting in the main flow and secondary flow [9]. Experimental studies of turbulent boundary layers have shown that wall roughness significantly affects the turbulence structure, boundary layer thickness and even the velocity distribution of the main flow streams [10,11]. Variations in fluid flow characteristics and turbulence further affect the velocity and distribution of particles, which can lead to differences in the collision, attachment and separation processes of different particles [12,13,14,15]. Therefore, the wall roughness has an important effect on the liquid flow and particle movement process in the spiral concentrator. In iron ore production, the spiral concentrator is usually used as the first operation of the combined separation process. Due to the constraints of the previous grading operation and the impact of equipment conditions, the bottom of the trough body is often attached to the material layer or even piles up and breaks the flow, seriously affecting the separation performance of the equipment. Nonetheless, owing to the discrepancy in processing and production technology, coupled with the abrasion of ore particles in the production process, the wall roughness of the spiral concentrator is not quantitative and complex. Inadequate control readily results in a reduction in production indicators [16].
In fact, the roughness usually occurs in a random pattern because it contains different sizes and irregularities that cause the effect of surface roughness to increase gradually, and each rough element becomes active when it reaches a critical Reynolds number. Therefore it is quite difficult to make detailed measurements or numerical simulations of the flow, especially near the wall roughness [17,18]. Roughness affects many turbulent flows in engineering and the natural sciences, and understanding its effects is important for predicting flow behaviour in most practical applications. The two main numerical simulation methods for assessing the effect of surface roughness on drag are the equivalent sand roughness model (Ks) and the discrete element model (DEM). The equivalent sand roughness model is empirical. Rough surfaces with different characteristics are compared with data from the flow in a pipe to assign an equivalent grit roughness height value to the rough surface. It overcomes the need for fine mesh resolution of each roughness element and has been the most widely used roughness model due to its simplicity and versatility [19,20].
In recent years, research work on wall roughness for spiral concentrators and related cyclones has opened up more possibilities for improving their separation performance [9,21,22,23,24,25]. The liquid flow pattern in the spiral concentrator shows thin inner and thick outer film-type flow along the surface of the trough, and the hydrodynamic parameters at the bottom of the trough are more sensitive to the change of wall roughness. Arnold et al. [21] found that, when the height of the protrusion in the middle of the trough surface reaches 5%–10% of the fluid depth, that is sufficient to cause fluid splitting, significantly affecting the continuity of the secondary circulation, whereas the free surface is not sensitive to the trough protrusion. Romeijn et al. [22] further found that the change in wall roughness also had no significant effect on either the free surface shape of the water in the tank surface or the bubble line. These studies have improved the intuitive understanding of the effect of wall roughness on the flow field in spiral concentrators, and also laid a hydrodynamic foundation for the in-depth revelation of the mechanism of particle–fluid interaction. In addition, the above effects of wall roughness on the flow field are mainly focused on the outer edge of the spiral concentrator and the thicker flow layer in the spiral channel [21,22]. However, it is a fact that the main zones, where stacking and sanding occur, are the inner and middle zones of the thin-flow film distribution in the spiral concentrator. In addition, the middle zone of the trough surface is often the easy mixing zone of low-density coarse particles and high-density particles in the spiral concentrator separation process, and the geometric parameter of the middle section has a significant effect on the particle separation process [26,27,28]. On this basis, it is necessary to systematically study the effect of the wall roughness of the middle trough surface on the slurry flow characteristics and particle separation, as well as the intrinsic correlation between the two. This can provide a basis for improving the separation efficiency of the spiral concentrator.
Based on the above research and application background, a spiral flow field and particle phase calculation model with higher accuracy, established in the previous stage, is used [26,29]. The hematite–quartz slurry system is taken as the research object, and experiments are carried out through wall roughness setting and rationality verification. The effect of wall roughness on the longitudinal evolution of fluid parameters, such as the spreading of the slurry flow layer, the spatial distribution of the secondary flow, the fluid velocity and the radial flux, is systematically investigated in the middle trough of the spiral concentrator. The radial migration behaviour and distribution characteristics of hematite and quartz are further examined. The hematite–quartz segregation index was evaluated, and changes in particle motion with fluid evolution are analysed. Suitable wall roughness conditions are explored. Mechanisms of the hydrodynamic influence of wall roughness in the middle zone on the process and outcome of particle separation are identified.
2. Methodology
2.1. Geometric Modelling and Meshing
A laboratory cubic parabolic spiral concentrator is taken as the object of study. Its sectional curve is shown in Figure 1, and other geometric parameters are shown in Table 1. The same structural parameters are taken for numerical simulation and validation experiments.
Figure 1.
Cross-sectional profile of the spiral concentrator.
Table 1.
Structural parameters of the spiral concentrator.
The entire spiral concentrator computational domain is shown in Figure 2a, which can be divided into inlet surface, outlet surface, upper surface and wall surface, and the wall surface includes the inner and outer side walls and the bottom wall of the trough. Figure 2 further shows an enlarged view of the 1.25-turn computational domain mesh, an enlarged top view of the computational domain mesh, and the mesh at the cross-section. Based on the mesh-independence test, the fluid computational domain is divided into 8.71 × 105 hexahedral meshes. The bottom wall mesh is also locally encrypted to capture the complex flow at the bottom wall with a minimum bottom wall mesh height of 0.1 mm and a minimum y+ value of about 2.
Figure 2.
Mesh division of the computational domain of the spiral concentrator. (a) Overall computational domain mesh; (b) enlarged view of the 1.25-turn computational domain mesh; (c) enlarged top view of the computational domain mesh; and (d) mesh at the cross-section.
2.2. Numerical Model and Test Conditions
2.2.1. Multiphase Flow Model
Simulation of the gas–liquid–solid multiphase flow is required to capture the changes in the shape of the flow film and the particle motion characteristics in the slurry system. Relevant literature has shown that coupling the VOF (Volume of Fluid) model with the TFM (Two-Fluid Model) can exhibit good prediction performance for this complex system [30,31,32,33,34]. This coupled model is known as the Eulerian Multi-fluid VOF multiphase flow model, which identifies stratified and mixed flows based on the local interfacial diffusion values in the mesh [35]. In systems where stratified and mixed flows coexist, VOF and TFM models are used to capture the interphase interfaces and predict the motion behaviour of discrete-phase particles, respectively [36,37]. Gao et al. have tried to simulate the gas–liquid–solid multiphase flow in the spiral concentrator using the Eulerian Multi-fluid VOF multiphase flow model, and the results of the separation test and numerical simulation show that they can predict well the separation process and indexes of the spiral concentrator under the high-concentration feed ore [26,27,38].
The Eulerian Multi-fluid VOF multiphase flow model is coupled with the VOF model and the TFM model. The governing equations of the VOF model are shown in Equations (1) and (2):
where is the volume fraction of a phase (gas or liquid), is the gravitational acceleration and and are the average density and viscosity of the fluid, respectively, and are calculated using the following equation:
In the TFM model, each phase has a separate set of control differential equations, and the interphase interactions can be calculated from mass and momentum transfer and coupled phase volume fractions. For this q-phase fluid, the continuity and momentum equations can be expressed as [39]:
where q represents the different phases. As q is taken as 1, it represents the aqueous phase. As q takes 2, it represents the gas phase. As q takes 3 to N, it represents different particulate phases. is the stress–strain tensor of phase q. is the interphase force term. is the additional force term. and are expressed as:
where is the solid-phase pressure generated by the particle phase, which needs to be considered only in the particle-phase momentum equation. is the shear viscosity of the fluid; is the bulk viscosity of the fluid. is the Kronecker Delta sign. is the interphase momentum exchange coefficient, which is related to the interphase trailing force model.
Fluid properties such as collision behaviour, pressure and shear stress between discrete phase particles can be described using the KTGF model [40]. The momentum exchange coefficient between the liquid and solid phases is described using the Gidaspow model [41]. The momentum exchange coefficient between the liquid and gas phase is described with the Symmetric model [35]. Meng et al. [38] found, in numerical simulation and validation experiments, that numerically simulated iron grade and particle concentration values were low at the inner edge of the spiral concentrator and high in the middle zone. It was determined that the simulation inaccuracy in the existing model could be related to neglect of the Bagnold effect. This prevents the mixed quartz in the lower layer of the flow film from being effectively lifted in the separation process; it then gradually migrates inward under the driving force of the inward flow. When the Bagnold lifting model is adopted, the vertical layering between quartz and hematite particles can be better predicted, which provides favourable conditions for the subsequent radial segregation.
2.2.2. Turbulence Model
The flow on the trough surface of the spiral concentrator involves multiple states of laminar, turbulent and transitional flow. Considering the effect of the low Reynolds number, the RNG (Renormalization Group) k-ε differential formulation theory provides a way to obtain effective viscosity from the analysis. Therefore, the RNG k-ε turbulence model is used in this study to describe the turbulence characteristics of the fluid in the spiral concentrator. The equations of differential transport for turbulent kinetic energy and turbulent dissipation rate are shown below, respectively [42]:
where Gk represents the turbulent kinetic energy due to the mean velocity gradient. Gb represents the turbulent kinetic energy due to buoyancy. YM represents the fluctuations due to diffusion of the transition in compressible turbulence. is the effective viscosity (sum of the molecular viscosity and the turbulent viscosity). Sk and Sε are customized source terms. Rε is an additional term in the turbulent kinetic energy dissipation rate equation.
2.2.3. Wall Roughness Model
Standard wall functions are used for film flow characteristics within the trough surface. Experiments on rough pipes and channels show that the average velocities near rough walls have the same slope (1/κ) but different intercepts when plotted on a semilogarithmic scale. The mean velocity near the wall is corrected for roughness as shown in Equation (11) [43]
where is the velocity in the parallel wall direction at a distance from the wall. is the shear flow velocity. is the wall shear stress. is the von Karmen constant. E is an empirical coefficient. is the distance from the wall at point p. is the kinetic viscosity. is a function of the shape and size of the wall roughness.
For sand roughness and similarly uniform roughness elements, is closely related to the roughness height (, represents the sand roughness height or diameter). The roughness function is not a single function of but takes different forms depending on the differences. The formula proposed by Bradshaw [44] is usually used to calculate ΔB as shown in Equation (12):
where Cs is the correction factor for the type of roughness, and uniform sand takes 0.5.
The correction of the mean velocity near the wall shifts the logarithmic velocity profile downward, leading to singularities with large Ks and small y+ values. Therefore, this problem was avoided by moving the wall roughness to half the height of the roughness element while ensuring that the fine mesh was handled correctly [45]. The y+ value correction at the centre of the first cell is shown in Equation (13).
Normally, the numerical equivalent sand roughness height, Ks, is 5 to 10 times the surface roughness, Ra [25]. Therefore, the equivalent wall roughness simulation experiment set five Ks values of 0.01, 0.02, 0.03, 0.04 and 0.05 mm. The spiral concentrator separation test system is shown in Figure 3. A flow valve was used to control the return flow to facilitate flow control. In addition, a removable feed device was used to allow interception of the product at the end of the third turn. The spiral concentrator separation experiment used narrow particle size hematite and quartz simple minerals. The purity of the samples was 97% and 96%, respectively. Median particle size was used instead of narrow-grain feed, where the hematite median size was D50 = 105.49 μm, and the quartz median size was D50 = 107.97 μm. The two particles were prepared as an artificially mixed ore in the ratio of 1:1 by volume (1.87:1.00 by mass). The iron grade in the feed ore was 46.12%, the feed flow rate was 7.2 m3/h (12 L/min) and the solid mass fraction of the feed ore was 16.74%.
Figure 3.
Separation test system of spiral concentrator. (a) Experimental system and (b) illustration of the separation system.
In the simulation experiment of equivalent wall roughness, the outlet of the spiral concentrator was divided into three product zones: zone I (50~100 mm), zone II (100~165 mm) and zone III (165~200 mm). A fixed container was used to collect the slurry from each zone for 10 s, record the volume of the respective slurry and calculate the slurry flow rate (L/min). The slurry was then dried, weighed, sampled and assayed for iron grade. To ensure the accuracy of the separation experiments, the three experiments were repeated, and the final results were averaged. The comparative information for the slurry flow rate and iron grade of each product zone in the physical and numerical experiments is shown in Figure 4.
Figure 4.
Comparison of experimental and simulated values of product indexes at different wall roughness. (a) Slurry flow rate and (b) grade of iron.
As can be seen in Figure 4, the measured values of slurry flow rate and grade of iron for the products of zone I are in high agreement with the simulated values at all values of Ks. In contrast, the measured and simulated values for the products of zone II and zone III have some differences. For the slurry flow in zone II and zone III, the Ks values with smaller deviations are 0.03 mm and 0.05 mm, and 0.02 mm and 0.03 mm, respectively. For the iron grades of zone II and zone III products, the Ks values with small deviations are 0.02 mm, 0.04 mm and 0.03 mm, and 0.03 mm and 0.02 mm, respectively. In comprehensive assessment, when Ks = 0.03 mm is selected in numerical simulation, the simulated values of each index obtained have the highest agreement with the measured values.
Based on the correspondence and the average value of the measured wall roughness of the trough Ra = 4.61 μm, the relation Ks ≈ 6.51 Ra is obtained through calculation. The correspondence equation matches the results of related studies [25,46]. Therefore, it is used as the basis for the wall roughness setting in the subsequent numerical simulation experiments.
2.2.4. Experimental Setup and Conditions
The preliminary flow field containing only water and gas phases is first simulated using the Eulerian Multi-fluid VOF multiphase flow model and the RNG k-ε turbulence model. The particulate phase is injected based on the computational stabilisation of the flow field. The simulations are performed using the Eulerian Multi-fluid VOF model that takes into account the Bagnold effect [47]. This model is a coupled Euler–Euler and VOF model, which can examine discrete phases simultaneously and is suitable for sharp and dispersed interfaces. The interphase forces are considered as drag Fd and lift Fl, where the drag model uses the Gidaspow and Symmetric models to predict liquid–solid and gas–liquid interactions, respectively. The lift model loads the Bagnold lift equation into the lift coefficient module by using a user-defined function (UDF).
The boundary of the computational domain is divided into inlet, outlet, upface and wall. The boundary condition for the inlet is velocity inlet. The outlet uses the pressure outlet boundary condition. The wall uses a no-slip boundary condition. Standard wall functions are used for the near-wall treatment. The upface is set as a free-slip boundary condition.
Hematite and quartz are still used as separation objects in the numerical experiment for the adjustment of wall roughness in the middle zone. According to the properties of the samples from the production site, the densities of both were 4950 kg/m3 and 2650 kg/m3, respectively. The feed size composition refers to the feeding conditions of the spiral concentrator in the concentrating section of the Qidashan iron ore processing plant [25]. Two particle sizes of 90 μm and 38 μm are set for both minerals, representing coarse and fine particles in the feed, respectively. The four particles are matched according to the mass ratio of 1.87:1.87:1:1 (hematite of 90 µm; hematite of 38 µm; quartz of 90 µm; and quartz of 38 µm). The grade of iron in the feed ore is 45.59%. The slurry solids mass concentration and slurry flow rate are 20% and 0.72 m3/h (12 L/min), respectively.
2.2.5. Method of Setting Wall Roughness for the Middle Zone
The actual production and use conditions of the spiral concentrator result in variations in trough surface wall roughness, which is not uniform. At the same time, the coarse low-density particles migrate inward and mix with the high-density particles in the middle zone, thus forming a particle mixing zone in the middle zone of the trough surface. Therefore, to investigate the effect of wall roughness variation in the middle zone on the separation process of the spiral concentrator, the 150 mm wide spiral trough surface was divided equally into three radial zones. They are the inner zone (50~100 mm), the middle zone (100~150 mm) and the outer zone (150~200 mm). The division of radial zones within the single-turn trough surface is shown schematically in Figure 5.
Figure 5.
Radial zone divisions of the single-turn trough of the spiral concentrator.
2.3. Data Processing and Methodology
The secondary flow distribution cloud maps are first extracted at intervals of 0.5 turns to facilitate the extraction and analysis of the hydrodynamic parameters. After that, the secondary circulation is divided into inward flow (radial velocity is negative) and outward flow (radial velocity is positive), according to the velocity direction. The area-averaged radial velocities of the fluid are extracted at intervals of 0.25 turns for the three equally divided zones of the inner, middle and outer zones, using which the strength of the secondary flow is characterised.
The evolution of the radial migration behaviour of the fluid and particles is characterised by the variation of the radial flux of the fluid and the cumulative radial flux of the particles with the number of overflow turns, respectively. The fluid radial flux is the radial flow rate of the fluid in the spiral between two adjacent overflow turns at a given radial position. The cumulative radial flux of particles is the cumulative value of the radial flux of particles between the inlet and the target number of overflow turns at a given radial position. The thin-flow film area at the inner and the middle zones is considered to be the main zone of particle accumulation and separation. Five representative radial positions of 60, 80, 100, 120 and 140 mm are selected at equal intervals from the inner zone to the middle zone (50~150 mm) to facilitate the comparison. The data are extracted and analysed separately with a turn extraction interval of 0.125.
In processing the particle distribution data, the trough surface at the end of the 3rd turn, where the flow field develops to a stable level, is divided into six narrow intervals with a width of 25 mm. These are labelled as radial zones r1~r6 from inside to outside. In this way, the distribution of hematite and quartz particles in the narrow intervals is examined in detail. Mass flow rates of hematite and quartz particles are processed under different simulation conditions, and particle yields in different radial intervals are calculated sequentially. On this basis, concentrate products with different distribution widths are obtained by adjusting the splitter position. The concentrate yield, iron grade and iron recovery are calculated accordingly. Meanwhile, the separation efficiency of hematite and quartz particles with different particle sizes is calculated using Equation (14) [48]
where is the separation efficiency, is the recovery of hematite in concentrate, and is the recovery of quartz in concentrate.
3. Results and Discussion
3.1. Effects of Wall Roughness in the Middle Zone on the Distribution and Evolution of Flow Field Parameters in Hematite–Quartz Slurry
Based on the simulation experiment of the equivalent wall roughness mentioned above, the equivalent wall roughness Ks value for the spiral concentrator is determined to be 0.03 mm. Therefore, the overall wall roughness Ks value of 0.03 mm is taken as the base wall. The wall roughness Ks values in the middle zone are set to 0.01, 0.05, 0.1 and 0.2 mm for numerical simulations. The depth of spreading of the slurry and the evolutionary characteristics of the spatial distribution, average velocity and radial flux of the secondary flow are systematically investigated.
3.1.1. Variation of Slurry Spreading Depth
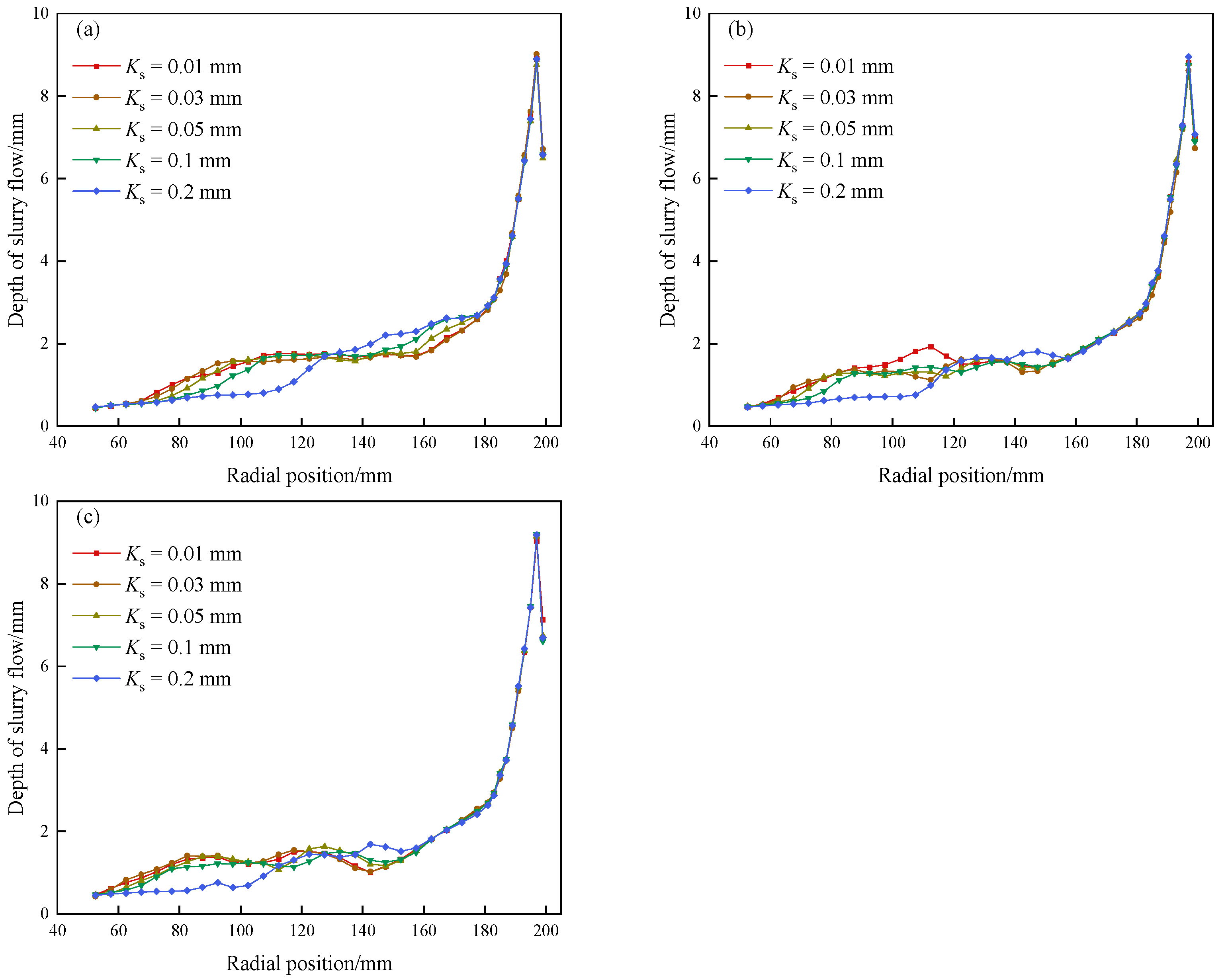
The depth of the slurry flow determines the size of the separation space. Fluid distribution characteristics along the trough surface and the evolution law are especially important for the fluid film concentrator. Figure 6 shows the radial distribution curve of the depth of slurry flow in each turn of the trough surface as the roughness of the middle zone changes.
Figure 6.
Depth of slurry flow with the adjustment of wall roughness in the middle zone. (a) The 1st turn; (b) the 2nd turn; and (c) the 3rd turn.
As illustrated in Figure 6, the radial distribution characteristics of the slurry flow along the trough surface demonstrate a shallow flow layer at the inner and middle zones and a deep flow layer at the outer zone. As the number of turns increases, the slurry flow gradually spreads inward, and the depth of the slurry flow in the inner edge zone increases. With the increase of wall roughness, the depth of slurry flow varies in different degrees at different stages. At the end of the first turn, the depth of slurry flow in the inner and middle zones decreases with an increase in wall roughness. The depth of slurry flow increases in the range near the outer edge (130~180 mm). At the end of the second turn, the decrease in the depth of slurry flow at the inner and middle zones slows down. The depth of slurry flow at the outer edge tends to remain constant. In the stable third turn, the slurry flow depth in the inner and middle zones exhibits a slight decrease when the wall roughness Ks value in the middle zone is increased within the range of 0.01~0.1 mm. Furthermore, an increase in wall roughness from 0.1 mm to 0.2 mm leads to a decrease in the depth of slurry flow in the inner edge zone to less than 1 mm, thereby significantly reducing the space available for sorting fluid. This suggests that increasing wall roughness in the middle zone effectively prevents the flow layer from spreading inward, reducing the distribution of slurry flow at the inner edge.
3.1.2. Evolution of the Spatial Distribution of Secondary Flow in the Slurry
Secondary flow constitutes an important form of fluid flow in a spiral concentrator, influencing the spreading behaviour of the flow film along the surface of the trough. Concurrently, it is also a pivotal flow field feature, able to expand the difference in the movement of particles of different densities. Whether the upper and lower flow layers produce relative motion in the radial direction is often the basis for assessing the existence of secondary flow. The spatial distribution of secondary flow in the trough surface with different numbers of turns when adjusting the wall roughness in the middle zone is shown in Figure 7.
Figure 7.
Spatial distribution cloud of secondary flow in the trough at the end of different turns with wall roughness adjustment in the middle zone. (a) 0.5 turn; (b) 1 turn; (c) 1.5 turn; (d) 2 turns; (e) 2.5 turns; (f) 3 turns.
As demonstrated in Figure 7, the distribution area of secondary flow exhibits significant alterations under varying conditions of wall roughness, concomitant with an increase in the number of overflow turns.
- (1)
- In the initial stage (0.5 turn), when the slurry flow is fed into the trough surface, both the inward and outward flow show an obvious intermittent distribution.
- (2)
- Within 1 to 2 turns of the stroke, the inward and outward flow gradually evolved to exhibit continuous distribution characteristics.
- (3)
- Within 2.5 to 3 turns stroke, the upper and lower distributions of the inward and outward flow tend to be stable and consistent.
The overall thickness of the flow layer at the bottom of the trough of the inward flow at the inner and the middle zones decreases gradually with the increase in the number of overflow turns. Increasing the wall roughness in the middle zone, the distribution space of the inward flow significantly reduced in the initial stage. The overall thickness of the flow layer of the inward flow at the inner and the middle zones of the trough surface becomes smaller. The distribution range of the outward flow in the upper layer of the flow film is enlarged. In addition, when the value of wall roughness Ks is increased to 0.2 mm, the inward flow in the middle zone shows an obvious large-scale discontinuity.
3.1.3. Variation of Velocity Distribution of Secondary Flow in the Slurry
The magnitude of the secondary flow velocity is a key parameter that affects the strength of the particle motion migration behaviour. The distribution of the average velocities of the inward flow and the outward flow along the longitudinal stroke (trough length) when adjusting the wall roughness in the middle zone is shown in Figure 8.
Figure 8.
Evolution of the average radial velocity of secondary flow along the longitudinal stroke with wall roughness adjustment in the middle zone. (a) Inward flow–inner zone; (b) outward flow–middle zone; (c) inward flow–outer zone; (d) outward flow–inner zone; (e) outward flow–middle zone; and (f) outward flow–outer zone.
As shown in Figure 8, the secondary flow means velocity in all zones fluctuates in different wall roughness conditions. The fluctuations in the secondary flow mean velocity decreases with an increase in the longitudinal stroke.
As illustrated in Figure 8, the average velocity of inward flow in the inner edge zone approaches 0 m/s. It remains relatively stable throughout the longitudinal stroke when the wall roughness Ks is set to 0.2 mm. This phenomenon is associated with decreased slurry flow distribution at the inner zone, as previously discussed. Conversely, when the remaining wall roughness is considered, the average velocity of inward flow in the inner and middle zones varies significantly within 1.5 turns, subsequently demonstrating a fluctuating decline. The mean velocity of inward flow in the outer zone exhibits a more uniform trend across all wall roughness conditions, increasing and then decreasing within the first turn, followed by slight fluctuations. Notably, the average velocity of the inward flow in the inner and middle zones stabilises at approximately 2.5~3 turns. As the wall roughness increases in the middle zone, there is a tendency for the average velocity of the inward flow at the inner and middle zones to decrease. When the value of Ks is increased to 0.2 mm, the mean velocity of the inward flow in both zones decreases significantly. In contrast, the average velocity of the inward flow in the outer zone decreases only in the first turn of the stroke, with subsequent changes being random.
The mean velocity of the outward flow in all zones exhibits a similar trend in the longitudinal stroke. A notable decrease occurs within 0.5 turns of the stroke, followed by a gradual decline. Increasing the wall roughness in the middle zone, the average velocity of outward flow in all zones showed a decreasing trend from 2.5 to 3 turns of stroke. The decreasing trend is more significant in the inner and the middle zones.
3.1.4. Distribution and Evolution of Radial Fluxes of Secondary Flow
The evolutionary variation of the secondary flow radial flux on the longitudinal stroke can reflect the radial migration characteristics of the secondary flow and its stability. The previous analyses show that the average velocities of the slurry flow and secondary flow vary significantly in the inner and middle zones. This is the zone of enrichment for high-density particles. Hence, further focus is given to this zone. The evolution of radial fluxes of inward flow and outward flow along the longitudinal stroke (trough length) for different wall roughness of the middle zone is shown in Figure 9.
Figure 9.
Evolution of radial flux of secondary flow along the longitudinal stroke with adjustment of wall roughness in the middle zone. (a) Inward flow–r = 60 mm; (b) inward flow–r = 80 mm; (c) inward flow–r = 100 mm; (d) inward flow–r = 120 mm; (e) inward flow–r = 140 mm; (f) outward flow–r = 60 mm; (g) outward flow–r = 80 mm; (h) outward flow–r = 100 mm; (i) outward flow–r = 120 mm; and (j) outward flow–r = 140 mm.
As presented in Figure 9, the secondary flow radial flux along the longitudinal stroke shows comparable trends for varying radial positions. The peak radial fluxes manifested within the first half of a turn, subsequently exhibiting fluctuating variations and stabilising within a certain range in the stroke. Specifically, the peak radial flux of the outward flow is considerably larger than the peak radial flux of the inward flow. The radial fluxes of the inward and outward flows are essentially close to being in the steady state stage. This is consistent with the net radial flux of the fluid being zero in the steady state limit, as derived by Lee et al. [49].
Further from Figure 9, it can be observed that the radial fluxes of both inward flow and outward flow in the inner and middle zones decrease to different degrees with increasing wall roughness of the middle zone. The radial flux of the secondary flow exhibits a negative correlation with the magnitude of the wall roughness values at 60 mm and 80 mm in the inner zone. Compared with the inner zone, the fluctuation of the radial flux of the fluid in the middle zone is increased. However, the fluctuation of the radial flux of the secondary flow in the middle zone tends to decrease with increasing wall roughness. As illustrated in Figure 9, the radial flux of the outward flow tends to decrease in the inner and middle zones, with increasing wall roughness in the middle zone.
Analyses for the secondary flow radial fluxes demonstrate that an increase in wall roughness (Ks value) in the middle zone within the range from 0.01 to 0.1 mm results in a substantial reduction of the radial fluxes of the inward and outward flows in the inner and middle zones of the trough surface. The inward and outward flow of the fluid will be reduced. However, the radial flux of the inward and outward flow of the fluid tends to zero in the inner and middle zones of the trough surface when the value of Ks is increased in the range from 0.1 to 0.2 mm. It indicates that the fluid radial flow is weak in this roughness range. This finding is consistent with the observed trend of spreading motion of the flow film. Changes in the strength of the radial flow trend of the secondary flow will inevitably impact the migration motion and spatial distribution of solid particles.
3.2. Influence of Wall Roughness in the Middle Zone on Particle Migration Motions and Separation Indexes
3.2.1. Variation in the Radial Migration Behaviour of Hematite and Quartz Particles
The cumulative radial fluxes of hematite and quartz particles in the inner and middle zones of the trough surface are processed. This is used to analyse the along-stroke variation of the radial migration behaviour of the particles and the effect of the wall roughness of the middle zone on this. The results are shown in Figure 10.

Figure 10.
Evolution of particle radial fluxes along the longitudinal stroke with adjustment of wall roughness in the middle zone. (a) 90 μm hematite–r = 60 mm; (b) 90 μm hematite–r = 80 mm; (c) 90 μm hematite–r = 100 mm; (d) 90 μm hematite–r = 120 mm; (e) 90 μm hematite–r = 140 mm; (f) 38 μm hematite–r = 60 mm; (g) 38 μm hematite–r = 80 mm; (h) 38 μm hematite–r = 100 mm; (i) 38 μm hematite–r = 120 mm; (j) 38 μm hematite–r = 140 mm; (k) 90 μm quartz–r = 60 mm; (l) 90 μm quartz–r = 80 mm; (m) 90 μm quartz–r = 100 mm; (n) 90 μm quartz–r = 120 mm; (o) 90 μm quartz–r = 140 mm; (p) 38 μm quartz–r = 60 mm; (q) 38 μm quartz–r = 80 mm; (r) 38 μm quartz–r = 100 mm; (s) 38 μm quartz–r = 120 mm; (t) 38 μm quartz–r = 140 mm.
From Figure 10, it can be found that the cumulative radial flux of hematite particles is negative at r = 60 mm. This indicates that the hematite particles are migrating inward with little migration. In the remaining four radial positions, the hematite particles migrate outward and then inward as the longitudinal stroke of the fluid is prolonged, and the amount of migration is large. As the radial position shifts outward, the cumulative radial flux of hematite tends to stabilise in a shorter stroke. Coarse-grained hematite reaches migration equilibrium more quickly than fine-grained hematite. At r = 60 mm at the inner edge, the inward migration of hematite shows a decreasing trend with increasing wall roughness of the middle zone only in 2~3 turns of the stroke. At r = 80 mm and r = 100 mm, the inward migration of hematite decreases significantly with increasing wall roughness of the middle zone. At r = 120 mm and r = 140 mm, the inward migration of hematite is also negatively correlated with the wall roughness of the middle zone. The hematite particles all reached migration equilibrium between 2 and 3 turns of the stroke. When Ks varies in the range from 0.01 to 0.1 mm, the difference in hematite particle migration is insignificant. When the value of Ks increased from 0.1 to 0.2 mm, the inward migration of hematite particles decreased significantly.
As shown in Figure 10, the cumulative radial fluxes of quartz at the inner edge r = 60 mm are also both negative. This indicates inward migration and a small amount of migration. The quartz particles migrated outward at the other radial positions, and the cumulative radial flux increased with the radial position outward. However, at the radial position r = 140 mm, the coarse-grained quartz gradually migrates inward after roughly 1.5 turns. Increasing the wall roughness of the middle zone resulted in no significant change in the cumulative radial flux of quartz at the inner edge at r = 60 mm. At both r = 80 mm and r = 100 mm, the outward migration of both particle sizes of quartz increased continuously with roughness from over 0.5 to 2 turns of the stroke. The migration difference due to increased roughness decreases in subsequent strokes. At both r = 120 mm and r = 140 mm, the outward migration of quartz of both particle sizes also increases with increasing roughness. The migration difference increases with longer longitudinal strokes.
The analyses demonstrate that an augmentation in the wall roughness of the middle zone results in a diminution of the inward migration of hematite from the inner and middle zones. Concurrently, it engenders an increase in the outward migration of quartz particles. Moreover, the migration difference between hematite and quartz is substantial. Subsequent analysis of the difference in the distribution of particles within the trough surface and the separation index is requisite to investigate the separation behaviour.
3.2.2. Spatial Distribution Characteristics of Hematite and Quartz Particles
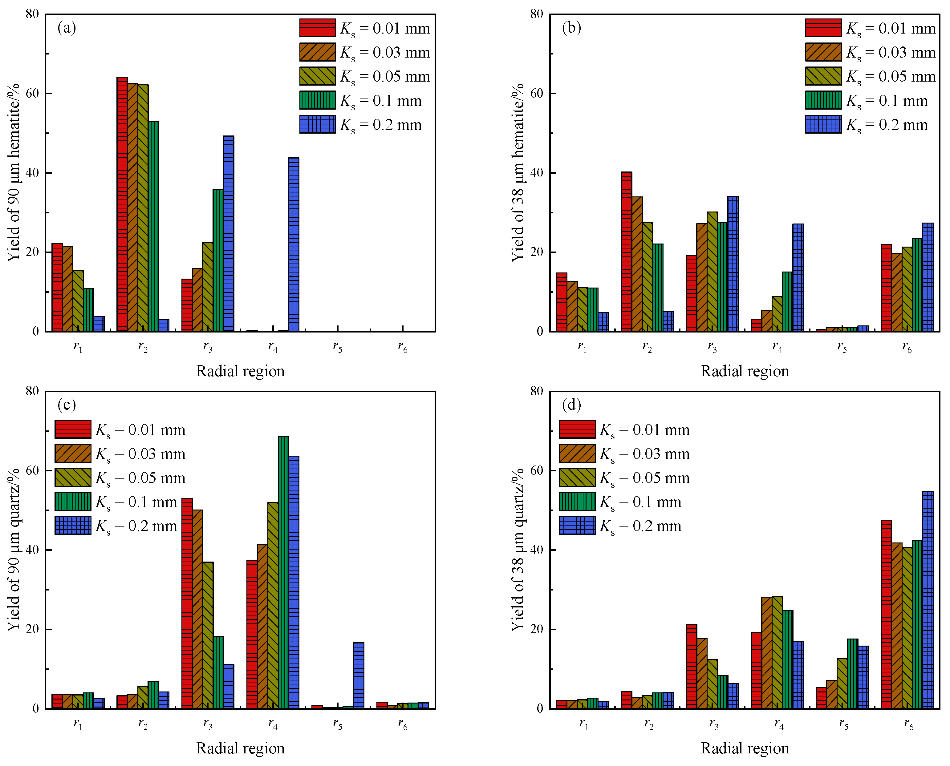
Based on the evolution of the flow field in a spiral concentrator and the equilibrium characteristics of particle motion, the yields of four types of particles in six radial zones in the trough surface at the end of the third turn are further processed. The distribution characteristics of different particles in the trough surface and their changes with the adjustment of the wall roughness of the middle zone are systematically investigated. The experimental results are shown in Figure 11.
Figure 11.
Distribution of particle yield in different radial zones with adjustment of wall roughness in the middle zone. (a) 90 μm hematite; (b) 38 μm hematite; (c) 90 μm quartz; and (d) 38 μm quartz.
From Figure 11, it can be seen that the hematite particles are mainly distributed in the r1~r3 zone (the inner half of the trough). The main distribution areas of quartz particles are r3, r4 and the outer zone. The distribution of 38 μm hematite is also higher in the outer half of the trough due to the fine particle flow following effect. The total yield of hematite in the inner half of the trough is 99.58% and 74.25% for both particle sizes at Ks = 0.01 mm for the wall roughness of the middle zone. The yield of 90 μm hematite is 25% higher than that of 38 μm hematite. The 38 μm hematite yielded 22.01% in the r6 zone at the outermost edge. It can be seen that 38 μm hematite is highly susceptible to loss in the outer zone. The total yield of both quartz sizes in the middle r3 and r4 zones is 90.50% and 40.58%, respectively. The 38 μm quartz is nearly 50% lower than the distribution of 90 μm quartz in the middle zone. The yield of 38 μm quartz in the outermost r6 zone can reach 47.59%. This indicates that most of the fine quartz particles are excluded from the outer zone in the separation process. It can be seen that the middle zone of the trough surface is the mixed zone of coarse quartz and hematite particles, which has an important effect on the particle separation results.
As seen in Figure 11a,b, increasing the wall roughness of the middle zone significantly reduces the hematite yield in the r1 and r2 zones (inner zone). As the wall roughness increases from 0.01 mm to 0.1 mm, the yield of coarse and fine hematite particles in the inner zone decreases from 86.32% and 55.02% to 63.80% and 33.06%, respectively. For Ks = 0.2 mm, it decreases sharply to 6.97% and 9.87%, respectively. The hematite yield in the middle zone increased accordingly, particularly in the mixed zone r3, where the increase in hematite yield was significant. This suggests that increasing the wall roughness of the middle zone reduces the migration of hematite particles to the concentrated zone within the trough surface. The overall distribution of hematite is shifted outward. The enrichment of hematite particles in the inner zone decreases sharply if the wall roughness is too high.
As shown in Figure 11c,d, the quartz yield in the r1 and r2 zones (inner zone) varies less with the increase in wall roughness. As the wall roughness Ks increases from 0.01 mm to 0.1 mm in the middle zone, the yield changes significantly in the r3 and r4 zones in the middle of the trough surface. The 90 μm quartz yield decreases from 53.05% to 18.31% and the 38 μm quartz yield decreases from 21.35% to 8.41% in the r3 zone. Thus, the quartz distribution in the inner half of the trough decreases significantly with increasing roughness. In the r4 zone, the 90 μm quartz yield increases from 37.45% to 68.62%. The 38 μm quartz yield increases from 19.23% to 24.82%. The quartz particle yield distribution change is reflected as a change from the r3 zone to the r4 zone, with a greater change in the coarse quartz. As Ks increases from 0.1 mm to 0.2 mm, the quartz yield decreases in both the r3 and r4 zones, and the total yield increases correspondingly in the outer r5 and r6 zones.
In summary, it shows that increasing wall roughness in the middle zone decreases the enrichment of hematite particles in the two micro-zones in the inner zone. The enrichment in the two micro-zones in the middle zone increases. The zone of quartz particle enrichment is shifted outward. The distribution and change trend of the mineral particles in the trough surface show obvious differences in density and particle size. This is consistent with the previously described trend of radial particle flux along the stroke.
3.2.3. Variation of Separation Indexes of Hematite and Quartz Particles
The concentrate products are obtained by adjusting the splitter location at the trough of the third turn to visualize the trend of separation indexes with the adjustment of the wall roughness in the middle zone. The corresponding concentrate yield, grade of iron and recovery rate of iron are counted, respectively. The experimental results are shown in Figure 12.
Figure 12.
Variation of concentrate indexes with splitter location at different wall roughness in the middle zone. (a) Concentrate yield; (b) grade of iron; and (c) recovery of iron.
It is shown in Figure 12 that the concentrate yield increases overall with the outward shift of the splitter location (product segmentation location) under different wall roughness. Except for the condition of a Ks value of 0.2 mm, the iron grade of concentrate shows a general trend of increasing and then decreasing with the outward shift of the splitter. The highest grade of iron in the product can be obtained by intercepting the ore at the appropriate radial location. The trend in the recovery of iron is similar to the trend in yield. In addition, the highest grade of iron in concentrate is distributed in the range of 60.94%–66.83%. With the increase of wall roughness in the middle zone, the corresponding maximum grade of iron in concentrate decreased, and the location of the splitter shifted outward. Concentrate yield and the recovery of iron decreased.
Specifically, when the Ks values of the wall roughness in the middle zone are 0.01 and 0.03 mm, the difference in the separation indexes of the spiral concentrator is small. When the value of Ks increases from 0.03 mm to 0.1 mm, the separation index decreases within a degree. However, as the Ks value increases from 0.1 mm to 0.2 mm, the maximum grade of iron in the concentrate decreases significantly. The radial distribution curves of both yield and recovery of iron are significantly shifted to the direction outside the trough. This indicates that the separation result is worse. Therefore, to avoid the decrease of the production indexes caused by the high wear of the trough surface, it is necessary to control the central wall roughness Ks value at no more than 0.1 mm (Ra test value not more than 15.36 μm). Concentrate indicators and interception conditions at suitable wall roughness can be referred to in the experimental data in Table 2.
Table 2.
Concentrate indexes and splitter conditions at suitable wall roughness.
3.2.4. Comparison of Separation Efficiency of Hematite and Quartz Particles with Different Sizes
Further calculations are carried out on the separation efficiency of hematite and quartz particles with different sizes at different wall roughness. The effect of wall roughness in the middle zone on the separation efficiency of combining particles with different particle sizes is investigated. The results are shown in Figure 13.
Figure 13.
Variation of particle separation efficiency with splitter location at different wall roughness in the middle zone. (a) 90 μm hematite + 90 μm quartz; (b) 90 μm hematite + 38 μm quartz; (c) 38 μm hematite + 90 μm quartz; and (d) 38 μm hematite + 38 μm quartz.
It can be observed from Figure 13 that, as the splitter location is shifted outward, the separation efficiency curves of hematite and quartz particles generally show a peaked distribution. There exists a maximum separation efficiency and an optimal product splitting location. The maximum values of separation efficiencies achieved for the four particle combinations are 83.98%, 85.84%, 52.38% and 55.33%, respectively, when the wall roughness Ks = 0.01 mm in the middle zone. It can be seen that the particle separation efficiency of 90 μm hematite, either in combination with 90 μm quartz or with 38 μm quartz, is significantly higher than that of the separation efficiency of the 38 μm hematite separation system. Both with 90 μm hematite and with 38 μm hematite, a more efficient separation is obtained with 38 μm quartz as the gangue mineral.
As can be seen from Figure 13a,b, the maximum separation efficiency of 90 μm hematite from quartz shows a tendency to increase and then decrease with the increasing value of wall roughness Ks of the middle zone in the range from 0.01 mm to 0.1 mm. However, it can be maintained at a high level. Both combinations obtain the maximum separation efficiency (84.42%, 89.36%) in the middle zone with a wall roughness Ks = 0.03 mm. As the value of Ks increases from 0.1 mm to 0.2 mm, the maximum separation efficiencies of the two combinations decrease significantly to 67.12% and 78.46%, respectively. The optimum interception location is significantly shifted outward.
From Figure 13c,d, it can be found that the maximum separation efficiency of 38 μm hematite from quartz decreases significantly with the increase of wall roughness in the middle zone, while the optimum interception location shifts outward. When the value of wall roughness Ks = 0.2 mm, the maximum separation efficiency decreases to 32.49% and 43.71%, respectively. Among these, the separation efficiency decreases more significantly for the combination of 38 μm hematite and 90 μm quartz particles. This is closely related to the high distribution of coarser quartz in the middle of the trough surface. Furthermore, the distribution of 38 μm hematite is predominantly concentrated at the outermost edge. Conversely, 90 μm quartz exhibits a notable enrichment within the middle zone. Consequently, when the splitter is located in the outer zone, the separation efficiency of this combination exhibits a negative value.
The preceding data set indicates that the separation efficiency of hematite and quartz is affected by the interplay between the feed particle size and the wall roughness within the middle zone. The initial value of Ks (Ra = 4.61 μm) in the middle zone is deemed appropriate to facilitate the recovery of coarser hematite particles. To facilitate the recovery of fine hematite particles, it is recommended that an initial Ks value of 0.01 (Ra = 1.41 μm) be employed. Within the context of the spiral concentrator processing and fabrication process, it is important to ensure that the trough surface is maintained close to the smooth wall condition. The production process needs to control wear to prevent excessive partial wall roughness. As above, analysis and assessment need to be verified by further actual experiments.
4. Conclusions
In this study, a simulation of rough wall surfaces based on laboratory tests was carried out. By means of numerical simulation, the influence of wall roughness Ks in the middle zone of the spiral trough on the flow field evolution and particle separation behaviour of hematite–quartz–water slurry is studied. The suitable initial value and the control range of the wall roughness suitable for different-sized particles to obtain a better separation index are determined. The main conclusions are as follows.
- The slurry fluid needs to develop a certain stroke of evolution to form a continuous secondary flow distribution in the spiral concentrator. Increasing the value of wall roughness Ks in the middle zone within the range of 0.01~0.1 mm, the depth of the slurry flow in the inner and the middle zone is slightly reduced. The separation fluid space is severely reduced when the Ks value is increased to 0.2 mm. The inward flow shows obvious discontinuity.
- The longitudinal evolution of velocities and radial fluxes of the secondary flow exhibits fluctuations and tends to equilibrium gradually. The velocities of inward and outward flow show a decreasing trend with an increase in the wall roughness of the middle zone. The radial flux of the fluid decreases more at the inner and middle zones of the trough, especially when Ks increases from 0.1 mm to 0.2 mm.
- The inward migration of hematite particles decreases and the outward migration of quartz particles increases as the degree of wall roughness of the middle zone increases, resulting in the outward shifting of particles’ enrichment zones. The distribution and variation patterns of the two minerals in the trough exhibit remarkable differences in density and particle size, which is consistent with the trend of the along-track radial flux of the particles.
- A number of concentrate products can be obtained by adjusting the splitter location in the numerical experiments. The separation index decreases slightly as the wall roughness Ks value in the middle zone increases from 0.01 to 0.1 mm, but the iron grade of concentrate decreases obviously as the Ks value increases to 0.2 mm.
- The separation effect of hematite and quartz particles in the spiral concentrator is influenced by the comprehensive interaction of feed size and wall roughness in the middle zone. The initial value of wall roughness in the middle zone of the spiral trough should be differentiated to recover hematite particles of different sizes. It is also necessary to reduce wear in production to prevent wall roughness from increasing to a harmful range.
Author Contributions
S.G.: conceptualization, methodology, writing—review and editing, project administration, resources and data curation. X.Z.: writing—original draft, software, data curation, formal analysis and visualisation. B.L.: investigation, software and data curation. Q.W.: investigation, software and validation. C.L.: software and data curation. All authors have read and agreed to the published version of the manuscript.
Funding
This research was funded by the [National Natural Science Foundation of China] grant number [52274257], the [Project of Zhongyuan Critical Metals Laboratory] grant number [GJJSKFYB202406] and the [National Natural Science Foundation of China] grant number [51974065].
Data Availability Statement
Data will be made available on request.
Acknowledgments
The authors gratefully acknowledge financial support from the National Natural Science Foundation of China (Grant No. 52274257), the Project of Zhongyuan Critical Metals Laboratory (Grant No. GJJSKFYB202406) and the National Natural Science Foundation of China (Grant No. 51974065).
Conflicts of Interest
The authors declare that they have no known competing financial interests or personal relationships that could have appeared to influence the work reported in this paper.
References
- Jain, P.K.; Rayasam, V. An analytical approach to explain the generation of secondary circulation in spiral concentrators. Powder Technol. 2017, 308, 165–177. [Google Scholar] [CrossRef]
- Jain, P.K. A novel concept of composite coefficient of friction for slurry systems and development of flow equations for spiral concentrators. Powder Technol. 2021, 386, 411–419. [Google Scholar] [CrossRef]
- Ye, G.; Huo, Y.; Li, C.; Deng, C.; Yu, Y.; Huang, G.; Ma, L. A comparative study of trough profile and operating parameters performance in spiral concentrator. Int. J. Coal Prep. Util. 2021, 41, 678–691. [Google Scholar] [CrossRef]
- Holland-Batt, A.B. Some design considerations for spiral separators. Miner. Eng. 1995, 8, 1381–1395. [Google Scholar] [CrossRef]
- Atasoy, Y.; Spottiswood, D.J. A study of particle separation in a spiral concentrator. Miner. Eng. 1995, 8, 1197–1208. [Google Scholar] [CrossRef]
- Matthews, B.W.; Fletcher, C.A.J.; Partridge, A.C.; Vasquez, S. Computations of curved free surface water flow on spiral concentrators. J. Hydraul. Eng. 1999, 125, 1126–1139. [Google Scholar] [CrossRef]
- Dixit, P.; Tiwari, R.; Mukherjee, A.K.; Banerjee, P.K. Application of response surface methodology for modeling and optimization of spiral separator for processing of iron ore slime. Powder Technol. 2015, 275, 105–112. [Google Scholar] [CrossRef]
- Gao, S.; Meng, L.; Wei, D.; Song, Z.; Yuan, J. Research advance of flow characteristics in spirals and its separation performance. Conserv. Util. Miner. Resour. 2020, 40, 166–171. (In Chinese) [Google Scholar] [CrossRef]
- Romeijn, T.; Behrens, M.; Paul, G.; Wei, D. Experimental analysis of water and slurry flows in gravity-driven helical mineral separators. Powder Technol. 2022, 405, 117538. [Google Scholar] [CrossRef]
- Luo, K.; Dai, Q.; Liu, X.; Fan, J. Effects of wall roughness on particle dynamics in a spatially developing turbulent boundary layer. Int. J. Multiph. Flow 2019, 111, 140–157. [Google Scholar] [CrossRef]
- Keirsbulck, L.; Labraga, L.; Mazouz, A.; Tournier, C. Surface roughness effects on turbulent boundary layer structures. J. Fluids Eng. 2002, 124, 127–135. [Google Scholar] [CrossRef]
- Sun, Z.; Li, X.; Zhao, S.; Zhong, T.; Wang, L.; Yan, X.; Zhang, H. Enhanced selective recovery of fine minerals in flotation by the oscillatory turbulence. J. Environ. Chem. Eng. 2025, 13, 115164. [Google Scholar] [CrossRef]
- Li, X.; Sun, Z.; Wang, H.; Wang, L.; Yan, X.; Zhang, H.; Ran, J.; Liu, J. Particle motion under turbulent eddies: Inspiration for fine minerals flotation. Chem. Eng. Sci. 2025, 301, 120754. [Google Scholar] [CrossRef]
- Wang, H.; Chen, R.; Li, D.; Zhang, B.; Yan, X.; Ran, J.; Zhang, H. Probing the adaptability relationship between flow characteristics and mineral particles with different size and surface hydrophobicity. Powder Technol. 2025, 452, 120588. [Google Scholar] [CrossRef]
- Zhou, R.; Li, X.; Li, D.; Wang, H.; Song, Z.; Yan, X.; Zhang, H. The effect of energy input on bubble-particle collision, attachment, detachment, and collection efficiencies in a mechanical flotation cell. Powder Technol. 2025, 453, 120659. [Google Scholar] [CrossRef]
- Davies, P.O.J.; Goodman, R.H.; Deschamps, J.A. Recent developments in spiral design, construction and application. Miner. Eng. 1991, 4, 437–456. [Google Scholar] [CrossRef]
- Jiménez, J. Turbulent flows over rough walls. Annu. Rev. Fluid Mech. 2004, 36, 173–196. [Google Scholar] [CrossRef]
- Orlandi, P.; Leonardi, S. DNS of turbulent channel flows with two- and three-dimensional roughness. J. Turbul. 2006, 7, N73. [Google Scholar] [CrossRef]
- Bons, J.P.; McClain, S.T.; Wang, Z.J.; Chi, X.; Shih, T.I. A comparison of approximate versus exact geometrical representations of roughness for cfd calculations of cf and St. J. Turbomach. 2008, 130, 021024. [Google Scholar] [CrossRef]
- Prakash, A.; Laurendeau, E. Consistent surface roughness extension for wall functions. Int. J. Heat Fluid Flow 2020, 82, 108552. [Google Scholar] [CrossRef]
- Arnold, D.J.; Stokes, Y.M.; Green, J.E.F. Thin-film flow in helically wound shallow channels of arbitrary cross-sectional shape. Phys. Fluids 2017, 29, 013102. [Google Scholar] [CrossRef]
- Romeijn, T.; Fletcher, D.F.; de Andrade, A. Evaluation of numerical approaches for the simulation of water-flow in gravity-driven helical mineral separators. Sep. Sci. Technol. 2023, 58, 2519–2538. [Google Scholar] [CrossRef]
- Zhou, F.; Sun, G.; Zhang, Y.; Ci, H.; Wei, Q. Experimental and CFD study on the effects of surface roughness on cyclone performance. Sep. Purif. Technol. 2018, 193, 175–183. [Google Scholar] [CrossRef]
- Gao, S.; Zhou, X.; Wang, Q.; Liu, W. Evolution characteristic of slurry flow field parameters and particles separation behavior in spirals with rough wall. Conserv. Util. Miner. Resour. 2023, 43, 127–136. (In Chinese) [Google Scholar] [CrossRef]
- Zhao, Q.; Cui, B.; Hou, D.; Wei, D.; Song, T.; Feng, Y. Effects of wall roughness on the separation performance of hydrocyclones under different inlet conditions. Ind. Eng. Chem. Res. 2021, 60, 11251–11266. [Google Scholar] [CrossRef]
- Gao, S.; Meng, L.; Zhou, X.; Shen, Y.; Cui, B.; Song, Z. Design of partial cross-sectional geometry and prediction of separation performance in the spiral separator. Sep. Sci. Technol. 2022, 57, 2127–2144. [Google Scholar] [CrossRef]
- Gao, S.; Zhou, X.; Meng, L.; Zhao, Q.; Liu, W. Variation of flow hydrodynamic parameters and prediction of particle separation indices in the spiral concentrator with the regulation of pitch-diameter ratio. Separations 2023, 10, 410. [Google Scholar] [CrossRef]
- Gao, S.; Wang, Q.; Zhou, X.; Liu, C.; Shen, Y.; Cui, B. Effect of the cross-sectional geometry of the mixed particle zone on the spiral separation process and its structural optimization. Minerals 2024, 14, 1251. [Google Scholar] [CrossRef]
- Meng, L.; Gao, S.; Wei, D.; Cui, B.; Shen, Y.; Song, Z.; Yuan, J. Effects of cross-sectional geometry on flow characteristics in spiral separators. Sep. Sci. Technol. 2021, 56, 2967–2977. [Google Scholar] [CrossRef]
- Xiang, M.; Cheung, S.C.P.; Tu, J.Y.; Zhang, W.H. A multi-fluid modelling approach for the air entrainment and internal bubbly flow region in hydraulic jumps. Ocean Eng. 2014, 91, 51–63. [Google Scholar] [CrossRef]
- Parsi, M.; Agrawal, M.; Srinivasan, V.; Vieira, R.E.; Torres, C.F.; McLaury, B.S.; Shirazi, S.A.; Schleicher, E.; Hampel, U. Assessment of a hybrid CFD model for simulation of complex vertical upward gas–liquid churn flow. Chem. Eng. Res. Des. 2016, 105, 71–84. [Google Scholar] [CrossRef]
- Zahedi, P.; Zhang, J.; Arabnejad, H.; McLaury, B.S.; Shirazi, S.A. CFD simulation of multiphase flows and erosion predictions under annular flow and low liquid loading conditions. Wear 2017, 376–377, 1260–1270. [Google Scholar] [CrossRef]
- Akhlaghi, M.; Mohammadi, V.; Nouri, N.M.; Taherkhani, M.; Karimi, M. Multi-Fluid VOF model assessment to simulate the horizontal air–water intermittent flow. Chem. Eng. Res. Des. 2019, 152, 48–59. [Google Scholar] [CrossRef]
- Denèfle, R.; Mimouni, S.; Caltagirone, J.-P.; Vincent, S. Multifield hybrid approach for two-phase flow modeling—Part 1: Adiabatic flows. Comput. Fluids 2015, 113, 106–111. [Google Scholar] [CrossRef]
- Chen, G.; Wang, Q.; He, S. Assessment of an Eulerian multi-fluid VOF model for simulation of multiphase flow in an industrial Ruhrstahl–Heraeus degasser. Metall. Res. Technol. 2019, 116, 617. [Google Scholar] [CrossRef]
- Shonibare, O.Y.; Wardle, K.E. Numerical investigation of vertical plunging jet using a hybrid multifluid–VOF multiphase CFD Solver. Int. J. Chem. Eng. 2015, 2015, 1–14. [Google Scholar] [CrossRef]
- Cerne, G.; Petelin, S.; Tiselj, I. Coupling of the interface tracking and the two-fluid models for the simulation of incompressible two-phase flow. J. Comput. Phys. 2001, 171, 776–804. [Google Scholar] [CrossRef]
- Meng, L.; Gao, S.; Wei, D.; Zhao, Q.; Cui, B.; Shen, Y.; Song, Z. Particulate flow modelling in a spiral separator by using the Eulerian multi-fluid VOF approach. Int. J. Min. Sci. Technol. 2023, 33, 251–263. [Google Scholar] [CrossRef]
- Hou, D.; Zhao, Q.; Cui, B.; Wei, D.; Song, Z.; Feng, Y. The effects of solid shear stress and wall roughness on the simulation of cylindrical hydrocyclone classification. Powder Technol. 2021, 393, 184–204. [Google Scholar] [CrossRef]
- Gidaspow, D. Multiphase Flow and Fluidization: Continuum and Kinetic Theory Descriptions; Harcourt Brace & Company Academic Press: San Diego, CA, USA, 1994; ISBN 978-0-12-282470-9. [Google Scholar]
- Hou, D.; Cui, B.; Zhao, Q.; Wei, D.; Song, Z.; Feng, Y. Research on the structure of the cylindrical hydrocyclone spigot to mitigate the misplacement of particles. Powder Technol. 2021, 387, 61–71. [Google Scholar] [CrossRef]
- Huo, J.; Wang, Z.; Luan, X.; Jing, M.; Hou, S.; Jiang, J.; Zhang, B. The CFD modeling of bund overtopping phenomena and prediction of dynamic pressure on the bund. J. Loss Prev. Process. Ind. 2022, 74, 104653. [Google Scholar] [CrossRef]
- Pattanapol, W.; Wakes, S.J.; Hilton, M.J.; Dickinson, K.J.M. Modeling of surface roughness for flow over a complex vegetated surface. In Proceedings of the World Academy of Science, Engineering and Technology, Canakkale, Türkiye, 14–16 December 2007; Volume 26, pp. 273–281. [Google Scholar]
- Cebeci, T.; Bradshaw, P. Momentum Transfer in Boundary Layers; Hemisphere Publishing Corporation: Washington, DC, USA, 1977; ISBN 978-0-07-010300-3. [Google Scholar]
- Schlichting, H.; Gersten, K. Boundary-Layer Theory, 9th ed.; Springer: Berlin, Germany, 2017; ISBN 978-3-662-52919-5. [Google Scholar]
- Adams, T.; Grant, C.; Watson, H. A simple algorithm to relate measured surface roughness to equivalent sand-grain roughness. Int. J. Mech. Eng. Mechatron. 2012, 1, 66–71. [Google Scholar] [CrossRef]
- Gao, S.; Meng, L.; Wei, D.; Zhao, Q.; Cui, B.; Zhou, X. A Method for Predicting and Optimising Mineral Particle Separation Indexes in Spiral Concentrator Flow Film. CN Patent CN115270587A, 9 July 2023. [Google Scholar]
- Mishra, B.K.; Tripathy, A. A preliminary study of particle separation in spiral concentrators using DEM. Int. J. Miner. Process. 2010, 94, 192–195. [Google Scholar] [CrossRef]
- Lee, S.; Stokes, Y.; Bertozzi, A.L. Behavior of a particle-laden flow in a spiral channel. Phys. Fluids 2014, 26, 043302. [Google Scholar] [CrossRef]
Disclaimer/Publisher’s Note: The statements, opinions and data contained in all publications are solely those of the individual author(s) and contributor(s) and not of MDPI and/or the editor(s). MDPI and/or the editor(s) disclaim responsibility for any injury to people or property resulting from any ideas, methods, instructions or products referred to in the content. |
© 2025 by the authors. Licensee MDPI, Basel, Switzerland. This article is an open access article distributed under the terms and conditions of the Creative Commons Attribution (CC BY) license (https://creativecommons.org/licenses/by/4.0/).