Comparison of Ferronickel Alloys Produced via Microwave and Conventional Thermal Concentration of Pyrrhotite Tailings
Abstract
1. Introduction
2. Materials and Methods
2.1. Materials
2.2. Thermogravimetric Analysis (TGA)
2.3. Permittivity Measurements
2.4. Microwave System
2.5. Microwave Temperature Determination
2.6. Conventional Furnace
2.7. Alloy Analysis and Metallization Calculations
2.8. Thermodynamic Model
3. Results
3.1. Thermodynamic Modeling
3.2. Thermogravimetric Analysis (TGA)
3.3. Permittivity Measurements
3.4. Briquette Heating Behavior
3.5. Energy Absorption
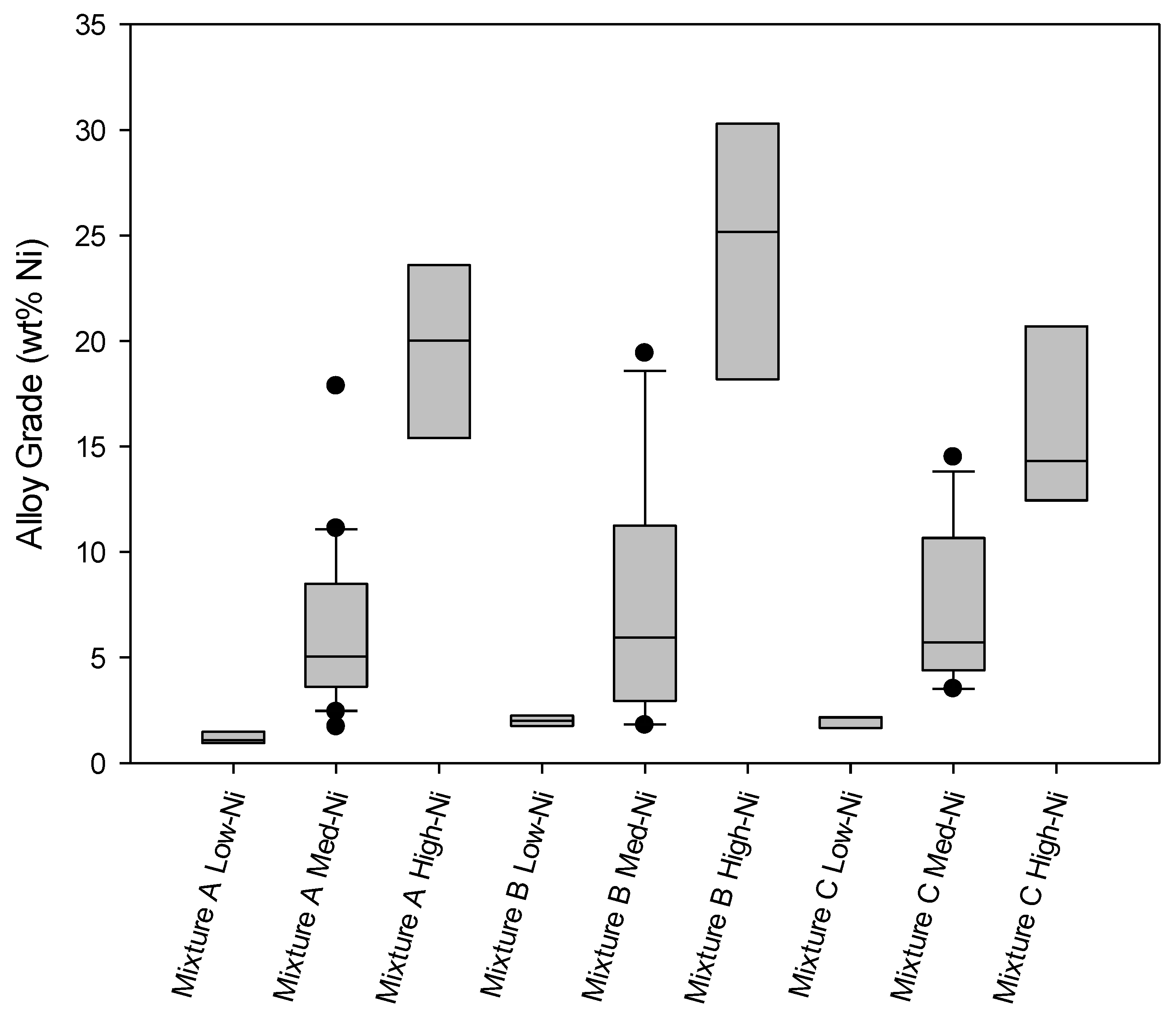
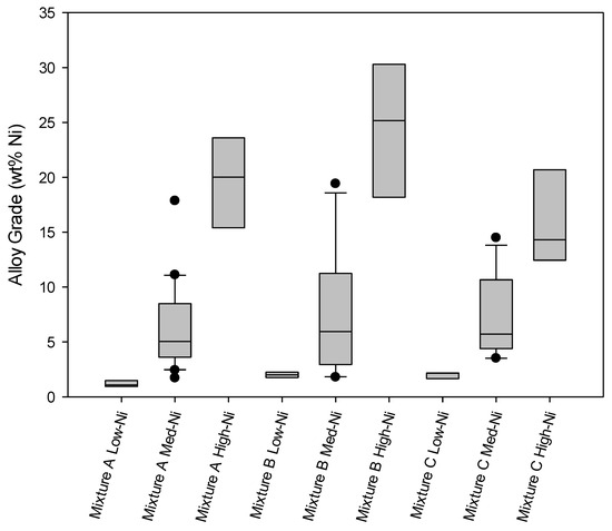
3.6. Alloy Particle Grade and Metallization in Microwaved Samples
3.7. Alloy Particle Morphology in Microwaved Samples
3.8. Alloy Particle Grade and Metallization in Conventionally Treated Samples
3.9. Comparison of Microwave and Conventional Alloy Particles
4. Conclusions
- Thermal concentration reaction mixtures were prepared from metallurgical coke, iron ore, and one of three pyrrhotite feeds: as-received pyrrhotite tails, a non-magnetic concentrate, and a magnetic concentrate. TGA was performed on all three reaction mixtures to characterize their behavior. It was found that rapid reduction of hematite to magnetite by coke occurs between 400 and 550 °C and coincides with the evolution of sulfur vapor from the pyrrhotite. Any sulfates that form also decompose in this temperature range. The subsequent reduction of magnetite and wüstite to metallic iron was retarded by the presence of pyrrhotite and only occurred above 1000 °C.
- Using the cavity perturbation technique, permittivity measurements were performed on the as-received tails reaction mixture. The mixture was found to have high relative real and imaginary permittivities of 20 and 10, respectively, at room temperature. Both relative permittivities increased with temperature and became so large that the exact values could not be precisely determined. The maximum measured real and imaginary relative permittivity values were 344 and 279, respectively, when measured at 397 MHz. Due to these high permittivities, the pyrrhotite reaction mixtures were predicted to heat rapidly and achieve temperatures desirable for the thermal concentration processes (>900 °C).
- Microwave treatment of the reaction mixture briquettes resulted in a minimum surface temperature of 550 °C after a 120 s treatment using 800 W of microwave power. A surface temperature of 675 °C was observed after 300 s of treatment. By comparing sample mass loss with the TGA data, the inferred internal temperature of the samples was estimated to be at least 700 °C. High microwave absorption was associated with high inferred temperature values. The reaction mixture containing the non-magnetic concentrate was found to have both the highest energy absorption and inferred temperature.
- Ferroalloy particles were observed in the solidification microstructures after 300 s of microwave treatment with 800 W of input power. Few, if any, solid-state microstructures were observed, indicating that thermal concentration was limited to molten regions inside the briquettes. The alloy grade was found to range from 6.17 to 7.25 wt% Ni, which is similar to the literature values. The short reaction times resulted in limited particle formation, and the metallization of nickel was very low.
- Extending the microwave treatment time to 600 s with 800 W of input power resulted in significant melting of the reaction mixtures and the formation of significant amounts of alloy particles. However, the alloy particles remained small and unamenable to magnetic separation, which is attributed to the rapid cooling of the sample.
- Microwave treatment for 300 s under 800 W of microwave power produced metallization superior to that achieved in a conventional resistance furnace at 900 °C for 35 min. This was attributed to localized heating by the microwaves to temperatures greater than 900 °C.
- Conventional furnace treatment of the thermal concentration reaction mixtures at 900 °C for 35 min under an inert atmosphere was unable to produce significant metallization without the formation of a liquid phase. The formation of this liquid was attributed to the higher nickel content in the Mixture B sulfides. The alloy particles found in that sample had an average nickel content of 22.85 wt% Ni.
- To improve metallization in microwaved samples, it is recommended that the input microwave power be decreased to conduct thermal concentration in the solid state and permit the growth of larger particles that could be efficiently liberated to permit magnetic separation. It is also recommended that a reducing atmosphere be employed to reduce the dependence on solid-state diffusion and improve reaction kinetics.
Author Contributions
Funding
Data Availability Statement
Conflicts of Interest
References
- Bodley, M.; Ko, R.; Sauter, D.; Anderson, L. Ferronickel Sulfidation: A Solution to Supplying the Battery Market? In Proceedings of the 62nd Conference of Metallurgists, COM 2023, Toronto, ON, Canada, 21–24 August 2023; The Metallurgy and Materials Society of CIM: Westmount, QC, Canada, 2023; pp. 801–807. [Google Scholar]
- Natural Resources Canada. The Canadian Critical Minerals Strategy; Natural Resources Canada: Ottawa, ON, Canada, 2022. [Google Scholar]
- Rezaei, S.; Liu, F.; Marcuson, S.; Muinonen, M.; Lakshmanan, V.L.; Sridhar, R.; Barati, M. Canadian pyrrhotite treatment: The history, inventory and potential for tailings processing. Can. Metall. Q. 2017, 56, 410–417. [Google Scholar] [CrossRef]
- Peek, E.; Barnes, A.; Tuzun, A. Nickeliferous pyrrhotite—“Waste or resource?”. Miner. Eng. 2011, 24, 625–637. [Google Scholar] [CrossRef]
- Toguri, J.M. A review on the methods of treating nickel-bearing pyrrhotite; with special reference to the Sudbury Area pyrrhotite. Can. Metall. Q. 1975, 14, 323–338. [Google Scholar] [CrossRef]
- Boldt, J.R. The Winning of Nickel; Longmans Canada Ltd.: Toronto, ON, Canada, 1967. [Google Scholar]
- Thornhill, P.G.; Hoffman, R.R.; McKague, L. The Production of By-Product Iron Ore at Falconbridge. In Pyrometallurgical Processes in Nonferrous Metallurgy; Anderson, J.N., Queneau, P.E., Eds.; Metallurgical Society of AIME: Pittsburgh, PA, USA, 1967; pp. 351–360. [Google Scholar]
- Palperi, M.; Aaltonen, O. Sulfatizing Roasting and Leaching of Cobalt Ores at Outokumpu Oy. J. Met. 1971, 23, 34–38. [Google Scholar] [CrossRef]
- Illis, A.; Renzoni, L.S. Thermal Concentration of Non-Ferrous Metal Values in Sulfide Minerals. Canadian Patent 981910, 20 January 1976. [Google Scholar]
- Sridhar, R.; Dalvi, A.; Bakker, H.F.; Illis, A. Recovery of nickel from nickeliferous pyrrhotite by a thermal upgrading process. Can. Metall. Q. 1976, 15, 255–262. [Google Scholar] [CrossRef]
- Yu, D.; Liu, F.; Zhang, J.; Barati, M. Thermal Upgrading of Nickeliferous Pyrrhotite Tailings for the Recovery of Nickel in the Form of Ferronickel Alloy. Metall. Mater. Trans. B 2019, 50, 2186–2196. [Google Scholar] [CrossRef]
- Liu, F.; Yu, D.; Marcuson, S.; Barati, M. Thermal Concentration of Nickeliferous Pyrrhotite Concentrate for Nickel Recovery Using Metallic Iron: Thermodynamic Assessments and Effects of Process Variables. JOM 2021, 73, 1928–1936. [Google Scholar] [CrossRef]
- Seaton, C.E.; Foster, J.S.; Velasco, J. Reduction Kinetics of Hematite and Magnetite Pellets Containing Coal Char. Trans. Iron Steel Inst. Japan 1983, 23, 490–496. [Google Scholar] [CrossRef]
- Standish, N.; Worner, H. Microwave application in the reduction of metal oxides with carbon. J. Microw. Power Electromagn. Energy 1990, 25, 177–180. [Google Scholar] [CrossRef]
- Liu, F.; Yu, D.; Marcuson, S.; Wang, F.; Li, B.; Barati, M. thermal upgrading of nickeliferous pyrrhotite tailings: Formation mechanism of ferronickel alloy. Miner. Eng. 2019, 134, 206–214. [Google Scholar] [CrossRef]
- Pickles, C.A. Microwaves in extractive metallurgy: Part 1—Review of fundamentals. Miner. Eng. 2009, 22, 1102–1111. [Google Scholar] [CrossRef]
- Metaxas, A.C.; Meredith, R.J. Industrial Microwave Heating; The Institution of Engineering and Technology: London, UK, 1983. [Google Scholar]
- Standish, N.; Huang, W. Microwave Application in Carbothermic Reduction of Iron Ores. ISIJ Int. 1991, 31, 241–245. [Google Scholar] [CrossRef]
- Wei, W.; Shao, Z.; Qiao, R.; Chen, W.; Zhang, P.; Cheng, J. Workability and mechanical properties of microwave heating for recovering high quality aggregate from concrete. Constr. Build. Mater. 2021, 276, 122237. [Google Scholar] [CrossRef]
- Walkiewicz, J.W.; Kazonich, G.; McGill, S.L. Microwave Heating Characteristics of Selected Minerals and Compounds. Miner. Metall. Process. 1988, 5, 39–42. [Google Scholar] [CrossRef]
- Forster, J.H. Dielectric Properties of Minerals and Ores and the Application of Microwaves for Assisted Comminution and Ore Sorting. Ph.D. Thesis, University of Toronto, Toronto, ON, Canada, 2023. [Google Scholar]
- Pickles, C.A. Microwaves in extractive metallurgy: Part 2—A review of applications. Miner. Eng. 2009, 22, 1112–1118. [Google Scholar] [CrossRef]
- Goldbaum, M.W.; Elliott, R.; Forster, J.; Maham, Y.; Bobicki, E.R. Investigating the microwave heating behaviour of pyrrhotite tailings. Miner. Eng. 2020, 146, 106152. [Google Scholar] [CrossRef]
- Peng, J.; Liu, C. Desulfurization of Nickel Pyrrhotite by Steam in the Microwave Field. J. Mater. Sci. Technol. 2001, 17, 561–564. [Google Scholar]
- Liu, C.H.; Zhang, L.B.; Peng, J.H.; Liu, B.G.; Xia, H.Y.; Gu, X.C.; Shi, Y.F. Effect of temperature on dielectric property and microwave heating behavior of low grade panzhihua ilmenite ore. Trans. Nonferrous Met. Soc. China 2013, 23, 3462–3469. [Google Scholar] [CrossRef]
- Chen, T.T.; Dutrizac, J.E.; Haque, K.E.; Wyslouzil, W.; Kashyap, S. The relative transparency of minerals to microwave radiation. Can. Metall. Q. 1984, 23, 349–351. [Google Scholar] [CrossRef]
- Ford, J.D.; Pei, D.C.T. High Temperature Chemical Processing via Microwave Absorption. J. Microw. Power 1967, 2, 61–64. [Google Scholar] [CrossRef]
- Harrison, P.C. A Fundamental Study of the Heating Effect of 2.45 GHz Microwave Radiation on Minerals. Ph.D. Thesis, The University of Birmingham, Birmingham, UK, 1997. [Google Scholar]
- Menéndez, J.A.; Arenillas, A.; Fidalgo, B.; Fernández, Y.; Zubizarreta, L.; Calvo, E.G.; Bermúdez, J.M. Microwave heating processes involving carbon materials. Fuel Process. Technol. 2010, 91, 1–8. [Google Scholar] [CrossRef]
- Amini, A.; Maeda, T.; Ohno, K.I.; Kunitomo, K. Carbothermic reduction behavior of FeS in the presence of CaO during microwave irradiation. ISIJ Int. 2019, 59, 672–678. [Google Scholar] [CrossRef]
- Amini, A.; Ohno, K.I.; Maeda, T.; Kunitomo, K. a kinetic comparison between microwave heating and conventional heating of FeS-CaO mixture during hydrogen-reduction. Chem. Eng. J. 2019, 374, 648–657. [Google Scholar] [CrossRef]
- Ishizaki, K.; Nagata, K.; Hayashi, T. Localized heating and reduction of magnetite ore with coal in composite pellets using microwave irradiation. ISIJ Int. 2007, 47, 817–822. [Google Scholar] [CrossRef]
- Aguilar, J.A.; Gomez, I. Microwaves applied to carbothermic reduction of iron ore pellets. J. Microw. Power Electromagn. Energy 1997, 32, 67–73. [Google Scholar] [CrossRef]
- Hutcheon, R.; Jong, M.D.; Adams, F. A System for Rapid Measurements of RF and Microwave Properties Up to 1400 °C. Part 1: Theoritical Development of the Cavity Frequency-Shift Data Analysis Equations. J. Microw. Power Electromagn. Energy 1992, 27, 87–92. [Google Scholar] [CrossRef]
- Hutcheon, R.; Jong, M.D.; Adams, F.; Wood, G.; McGregor, J.; Smith, B. A System for Rapid Measurements of RF and Microwave Properties Up to 1400 °C. Part 2: Description of Apparatus, Data Collection Techniques and Measurements on Selected Materials. J. Microw. Power Electromagn. Energy 1992, 27, 93–102. [Google Scholar] [CrossRef]
- Lapshinov, B.A. Temperature Measurement Methods in Microwave Heating Technologies. Meas. Tech. 2021, 64, 453–462. [Google Scholar] [CrossRef]
- Kyllo, A.K.; Richards, G.G. A Mathematical model of the nickel converter: Part I. Model development and verification. Metall. Trans. B 1991, 22, 153–161. [Google Scholar] [CrossRef]
- Goto, S. Equilibrium calculations between matte, slag and gaseous phases in copper smelting. In Copper Metallurgy: Practice and Theory; Jones, M.J., Ed.; The Institution of Mining and Metallurgy: London, UK, 1975; pp. 23–34. [Google Scholar]
- Kemori, N.; Kimura, T.; Mori, Y.; Goto, S. Application of Goto’s model to a copper flash smelting furnace. In Pyrometallurgy ’87; Institution of Mining and Metallurgy: London, UK, 1987; pp. 647–666. [Google Scholar]
- Grimsey, E.J.; Toguri, J.M. Cobalt in silica saturated fayalite slags. Can. Metall. Q. 1988, 27, 331–333. [Google Scholar] [CrossRef]
- Nagamori, M.; Mackey, P.J. Solubility of nickel in fayalite slags and free energy of NiO(s). Can. Metall. Q. 1977, 16, 232–236. [Google Scholar] [CrossRef]
- Fredriksson, P.; Seetharaman, S. Thermodynamic studies of slags containing FeO and their impact on ladle refining process. In Proceedings of the VII International Conference on Molten Slags Fluxes and Salts, Cape Town, South Africa, 25–28 January 2004; pp. 285–292. [Google Scholar]
- Sinha, S.N.; Nagamori, M. Activities of CoS and FeS in copper mattes and the behavior of cobalt in copper smelting. J. Electron. Mater. 1982, 13, 461–470. [Google Scholar] [CrossRef]
- Japan Society for the Promotion of Science. Steelmaking Data Sourcebook; Gordon and Breach: New York, NY, USA, 1988. [Google Scholar]
- Ban-ya, S.; Chipman, J. Sulfur in liquid iron alloys: I. Binary Fe-S. Trans. Metall. Soc. AIME 1968, 242, 940–946. [Google Scholar]
- Zhizhaev, A.M.; Kolpak, V.A. Electro-Detonation Activation and Thermal Transformations in Pyrrhotite Concentrates. J. Min. Sci. 1993, 29, 190–195. [Google Scholar] [CrossRef]
- Yang, F.Q.; Wu, C.; Cui, Y.; Lu, G. Apparent activation energy for spontaneous combustion of sulfide concentrates in storage yard. Trans. Nonferrous Met. Soc. China 2011, 21, 395–401. [Google Scholar] [CrossRef]
- Božinović, K.; Štrbac, N.; Mitovski, A.; Sokić, M.; Minić, D.; Marković, B.; Stojanović, J. Thermal decomposition and kinetics of pentlandite-bearing ore oxidation in the air atmosphere. Metals 2021, 11, 1364. [Google Scholar] [CrossRef]
- Kennedy, T.; Sturman, B.T. The oxidation of iron (II) sulphide. J. Therm. Anal. 1975, 8, 329–337. [Google Scholar] [CrossRef]
- Tian, C.; Rao, Y.; Su, G.; Huang, T.; Xiang, C. The Thermal Decomposition Behavior of Pyrite-Pyrrhotite Mixtures in Nitrogen Atmosphere. J. Chem. 2022, 2022, 8160007. [Google Scholar] [CrossRef]
- Ubando, A.T.; Chen, W.H.; Ashokkumar, V.; Chang, J.S. Iron oxide reduction by torrefied microalgae for CO2 capture and abatement in chemical-looping combustion. Energy 2019, 186, 115903. [Google Scholar] [CrossRef]
- Rao, Y.K. The kinetics of reduction of hematite by carbon. Metall. Trans. 1971, 2, 1439–1447. [Google Scholar] [CrossRef]
- Marzoughi, O.; Pickles, C.A. Permittivity measurements at high temperatures of selected pyrometallurgical minerals. Mater. Chem. Phys. 2024, 313, 128814. [Google Scholar] [CrossRef]
- Pickles, C.A.; Marzoughi, O. Temperature and frequency dependencies of the permittivities of ferroalloys and reaction mixtures. J. Ind. Eng. Chem. 2023, 126, 181–191. [Google Scholar] [CrossRef]
- Pickles, C.A.; Marzoughi, O.; Hutcheon, R.M. Temperature and frequency dependencies of the permittivities of selected pyrometallurgical reaction mixtures. Miner. Eng. 2023, 201, 108193. [Google Scholar] [CrossRef]
- Ertzeva, L.N.; Tzemekhman, L.S.; Diachenko, V.T. Thermoconcentration of pyrrhotite concentrate. In Proceedings of the 2006 TMS Fall Extraction and Processing Division: Sohn International Symposium, San Diego, CA, USA, 27–31 August 2006; Volume 4, pp. 385–387. [Google Scholar]
- Waldner, P.; Pelton, A.D. Thermodynamic modeling of the Fe-S system. J. Phase Equilibria Diffus. 2005, 26, 23–38. [Google Scholar] [CrossRef]
- Duffy, D.; Garg, S.; Washer, C.; Grammatikopoulos, T.; Papangelakis, V.G. Mineralogical characterization of sudbury pyrrhotite tailings: Evaluating the bioleaching potential. In Proceedings of the Conference of Metallurgists Hosting America’s Conference on Aluminum Alloys, Toronto, ON, Canada, 23–26 August 2015; pp. 315–329. [Google Scholar]
- Aramaki, S.; Roy, R. Revised Phase Diagram for the System Al2O3-SiO2. J. Am. Ceram. Soc. 1962, 45, 229–242. [Google Scholar] [CrossRef]
- Coffin, J.; Deredin, C.; Roeterink, R. Glencore Nickel Canada—Strathcona Mill. In Canadian Milling Practice 2020; Bobicki, E., Gibson, C., Boulanger, J.-F., Eds.; Canadian Institute of Mining, Metallurgy, and Petroleum: Westmount, QC, Canada, 2020; pp. 2–7. [Google Scholar]



















| Material | Pyrrhotite (Monoclinic) | Pyrrhotite (Hexagonal) | Fe Oxides | Gangue |
|---|---|---|---|---|
| AR Tails | 65.7 | BDL | 8.5 Fe3O4 | 25.0 |
| Non-Mag. Conc. | 39.5 | 10.3 | BDL | 49.3 |
| Mag. Conc. | 77.3 | BDL | 12.0 Fe3O4 | 10.7 |
| Iron Ore | BDL | BDL | 51.1 FeO(OH) 4.2 FeCO3 | 44.7 |
| C | Co | Cu | Fe | Ni | P | S | Fe:S Ratio | |
|---|---|---|---|---|---|---|---|---|
| AR Tails | - | 0.018 | 0.25 | 49.72 | 1.04 | 0.00 | 26.71 | 1.07 |
| Non-Mag. Conc. | - | 0.023 | 0.64 | 39.08 | 1.01 | 0.00 | 21.59 | 1.04 |
| Mag. Conc. | - | 0.015 | 0.15 | 56.70 | 1.03 | 0.00 | 29.90 | 1.09 |
| Iron Ore | 0.48 | 0.006 | 0.00 | 39.21 | 0.01 | 0.51 | 0.04 | 564.47 |
| Coke | 87.87 | - | - | - | - | - | 0.68 | - |
| Mixture | Pyrrhotite Source | C | Co | Cu | Fe | Ni | P | S | Fe:S Ratio |
|---|---|---|---|---|---|---|---|---|---|
| A | AR Tails | 13.21 | 0.01 | 0.16 | 40.01 | 0.66 | 0.11 | 17.12 | 1.34 |
| B | Non-Mag. Conc. | 13.16 | 0.02 | 0.41 | 33.26 | 0.65 | 0.11 | 13.86 | 1.38 |
| C | Mag. Conc. | 13.08 | 0.01 | 0.10 | 44.49 | 0.66 | 0.11 | 19.12 | 1.33 |
| Gas | Oxide | Sulfide | Sulfate | Carbide | Carbon | Metal |
|---|---|---|---|---|---|---|
| N2 | CoO | CoS | CoSO4 | Fe3C | C | Co |
| CO | Cu2O | CuFeS2 | CuSO4 | Cu | ||
| CO2 | FeO | Cu2S | FeSO4 | Fe | ||
| H2 | Fe2O3 | Fe0.877S | Fe2(SO4)3 | Ni | ||
| H2O | Fe3O4 | FeS | NiSO4 | S | ||
| H2S | FeO(OH) | NiS | Si | |||
| O2 | NiO | |||||
| S2 | SiO2 | |||||
| SO | ||||||
| SO2 | ||||||
| SO3 |
| Mixture | A | B | C |
|---|---|---|---|
| Ni | 7.11 | 9.72 | 6.30 |
| Fe | 91.2 | 84.8 | 92.7 |
| Cu | 1.63 | 5.19 | 0.92 |
| Co | 0.01 | 0.26 | 0.09 |
| Mixture | Time (s) | Run 1 | Run 2 | Run 3 | ||||||
|---|---|---|---|---|---|---|---|---|---|---|
| Surface Temp. (°C) | Inf. Temp. (°C) | Mass Loss (%) | Surface Temp. (°C) | Inf. Temp. (°C) | Mass Loss (%) | Surface Temp. (°C) | Inf. Temp. (°C) | Mass Loss (%) | ||
| A | 120 | 551.5 | 720 | 5.62 | >550 | 540 | 4.58 | 550.3 | 780 | 6.05 |
| 300 | >550 | 820 | 6.23 | >550 | 920 | 6.94 | >550 | 960 | 7.36 | |
| B | 300 | 638.2 | 950 | 11.90 | 647.9 | 950 | 11.92 | 674.7 | 950 | 11.82 |
| C | 120 | >550 | 510 | 8.16 | 478 | 460 | 6.81 | >550 | 530 | 8.63 |
| 300 | >550 | 670 | 10.04 | >550 | 530 | 8.76 | >550 | 620 | 9.59 | |
| Reaction Mixture | Time (sec.) | Low Ni (<3 wt% Ni) | Medium Ni (4–23 wt% Ni) | High Ni (>18 wt% Ni) | ||||||
|---|---|---|---|---|---|---|---|---|---|---|
| Ni | Cu | Co | Ni | Cu | Co | Ni | Cu | Co | ||
| A | 120 | N/A | N/A | N/A | N/A | N/A | N/A | N/A | N/A | N/A |
| 300 | 1.19 (0.30) | 0.01 (0.01) | 0.28 (0.20) | 6.17 (3.12) | 0.05 (0.13) | 0.38 (0.12) | 19.60 (4.72) | 0.46 (0.11) | 0.32 (0.07) | |
| B | 300 | 2.02 (0.23) | 0.01 (0.02) | 0.31 (0.05) | 7.25 (5.69) | 0.22 (0.29) | 0.51 (0.34) | 24.59 (6.01) | 1.73 (0.52) | 0.70 (0.10) |
| C | 120 | 0.01 (0.006) | 0.00 (0.001) | 0.18 (0.05) | N/A | N/A | N/A | N/A | N/A | N/A |
| 300 | 2.00 (0.29) | 0.13 (0.02) | 0.62 (0.01) | 7.20 (4.03) | 0.15 (0.08) | 0.77 (0.23) | 16.12 (5.43) | 0.46 (0.13) | 0.66 (0.72) | |
| Site | Site Type | Fe | Co | Ni | Cu | Si | P | S |
|---|---|---|---|---|---|---|---|---|
| A | Low-Ni Alloy | 93.82 (2.79) | 0.18 | 1.89 | 0.023 | 0.22 | 0.003 | 0.036 |
| B | Low-Ni Alloy | 94.59 (2.81) | 0.31 | 1.74 | 0.001 | 0.08 | 0.001 | 0.001 |
| C | Dendrite Tip (Low-Ni) | 93.12 (2.77) | 0.31 | 1.77 | 0.001 | 0.12 | 0.001 | 0.013 |
| D | Dendrite Nucleation Point (Low-Ni) | 93.51 (2.78) | 0.16 | 1.79 | 0.048 | 0.17 | 0.001 | 0.001 |
| P | Sulfide | 63.92 (1.91) | 0.001 | 0.06 | 0.287 | 0.36 | 0.512 | 23.89 |
| Low-Ni (<3 wt% Ni) | Medium-Ni (4–23 wt% Ni) | High-Ni (>18 wt% Ni) | |
|---|---|---|---|
| Ni | 0.17 (0.01) | 22.85 (6.30) | 40.65 (7.42) |
| Cu | 0.12 (0.15) | 1.41 (0.32) | 1.71 (0.53) |
| Co | 0.25 (0.03) | 0.44 (0.07) | 0.59 (0.17) |
| Low-Ni (<3 wt% Ni) | Medium-Ni (4–23 wt% Ni) | |
|---|---|---|
| Ni | 1.77 | 3.33 |
| Cu | 0.04 | 0.05 |
| Co | 0.83 | 0.85 |
| Mixture | Resistance Furnace | Microwave (120 s) | Microwave (300 s) |
|---|---|---|---|
| A | 0.00% | 0.00% | 0.24% |
| B | 8.17% | - | 6.25% |
| C | 0.00% | 0.00% | 0.10% |
Disclaimer/Publisher’s Note: The statements, opinions and data contained in all publications are solely those of the individual author(s) and contributor(s) and not of MDPI and/or the editor(s). MDPI and/or the editor(s) disclaim responsibility for any injury to people or property resulting from any ideas, methods, instructions or products referred to in the content. |
© 2025 by the authors. Licensee MDPI, Basel, Switzerland. This article is an open access article distributed under the terms and conditions of the Creative Commons Attribution (CC BY) license (https://creativecommons.org/licenses/by/4.0/).
Share and Cite
Jaansalu, M.; Pickles, C. Comparison of Ferronickel Alloys Produced via Microwave and Conventional Thermal Concentration of Pyrrhotite Tailings. Minerals 2025, 15, 196. https://doi.org/10.3390/min15030196
Jaansalu M, Pickles C. Comparison of Ferronickel Alloys Produced via Microwave and Conventional Thermal Concentration of Pyrrhotite Tailings. Minerals. 2025; 15(3):196. https://doi.org/10.3390/min15030196
Chicago/Turabian StyleJaansalu, Michael, and Christopher Pickles. 2025. "Comparison of Ferronickel Alloys Produced via Microwave and Conventional Thermal Concentration of Pyrrhotite Tailings" Minerals 15, no. 3: 196. https://doi.org/10.3390/min15030196
APA StyleJaansalu, M., & Pickles, C. (2025). Comparison of Ferronickel Alloys Produced via Microwave and Conventional Thermal Concentration of Pyrrhotite Tailings. Minerals, 15(3), 196. https://doi.org/10.3390/min15030196

