Mineralogy of Zinc and Lead Metallurgical Slags in Terms of Their Impact on the Environment: A Review
Abstract
1. Introduction
2. Zinc and Lead Metallurgical Overview
3. Methodology for Analysing Zn-Pb Metallurgical Slags
3.1. Chemical and Phase Composition
3.1.1. Elementary Analysis
- Energy dispersive spectrometry (EDXRF), in which the measurement of the energy value of the analytical signal and its intensity is carried out using a special detector that counts the number and measures the energy of each photon that reaches it;
- Wavelength dispersive spectrometry (WDXRF), in which the photon stream is dispersed on a suitable crystal that acts as a diffraction grating, and a suitable detector or detector array allows the intensity of the radiation at a specific wavelength to be measured.
3.1.2. Phase Analysis and Microanalytical Techniques
3.2. Leachability Tests
3.3. Geochemical Modelling
4. Chemical and Mineral Composition of Slags from Zn-Pb Metallurgy
4.1. Chemical Composition
4.2. Mineral Composition
- Oxides and hydroxides: zincite ZnO, wüstite FeO, hematite Fe2O3, and goethite FeO(OH);
- Sulphides: sphalerite ZnS, galena PbS, pyrite FeS2, pyrrhotite FeS, digenite (Cu,Fe)9S5, cubanite CuFe2S3, covellite CuS, and chalcocite Cu2S;
- Sulphates and hydrated sulphates: anglesite PbSO4, goslarite ZnSO4∙7H2O, gypsum CaSO4·2H2O,rapidcreekite Ca2(SO4)(CO3)·4H2O, ktenasite ZnCu4(SO4)2(OH)6·6H2O, posnjakite Cu4[(OH)6|SO4]·H2O, and namuwite Zn4(SO4)(OH)6 · 4H2O;
- Silicates and aluminosilicates: willemite Zn2SiO4, olivines (Mg, Fe, Mn)SiO4, including fayalite Fe2SiO4, kirschsteinite CaFe2 + SiO4 and forsterite Mg2SiO4, pyroxenes, and melilites (Ca,Na)2(Al,Mg)[(Si,Al)2O7], which usually form complex conglomerates or multiphase intergrowths;
- Carbonates: cerussite PbCO3, smithsonite ZnCO3, hydrozincite Zn5[(OH)3/CO3]2, hydrocerussite Pb3(CO3)2(OH), and calcite CaCO3;
- Nitrates: gerhardite Cu2(NO3)(OH)3;
- Spinels, mainly magnetite. Further on: hercynite FeAl2O4, franklinite ZnFe2O4, gahnite ZnAl2O4, and ulvite Fe2TiO4;
- Metal alloys (Pb, Zn, Cu, Fe, As, Sb) and pure metals (Zn, Pb, Cu, Fe).


- -
- Originating from the technological process (mainly silicates and aluminosilicates; sulphate: anglesite; oxides: wüstite, zincite);
- -
- Crystallizing in hypergenic conditions in the landfill (mainly sulphates and hydrated sulphates: ktenasite, namuwite, posnjakite; hydroxide: goethite; nitrate: gerhardite; carbonates: cerussite, calcite);
- -
- Having the character of source minerals (mainly ZnS and PbS sulphides).
5. Environmental Aspects
5.1. Slag Leaching Properties
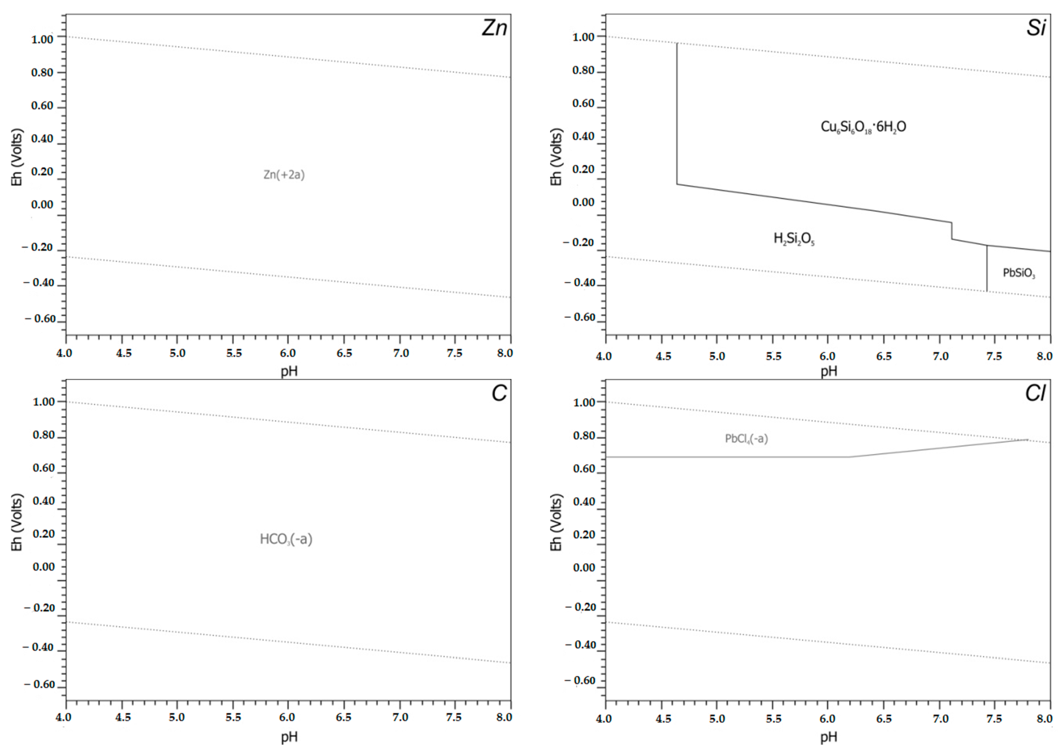
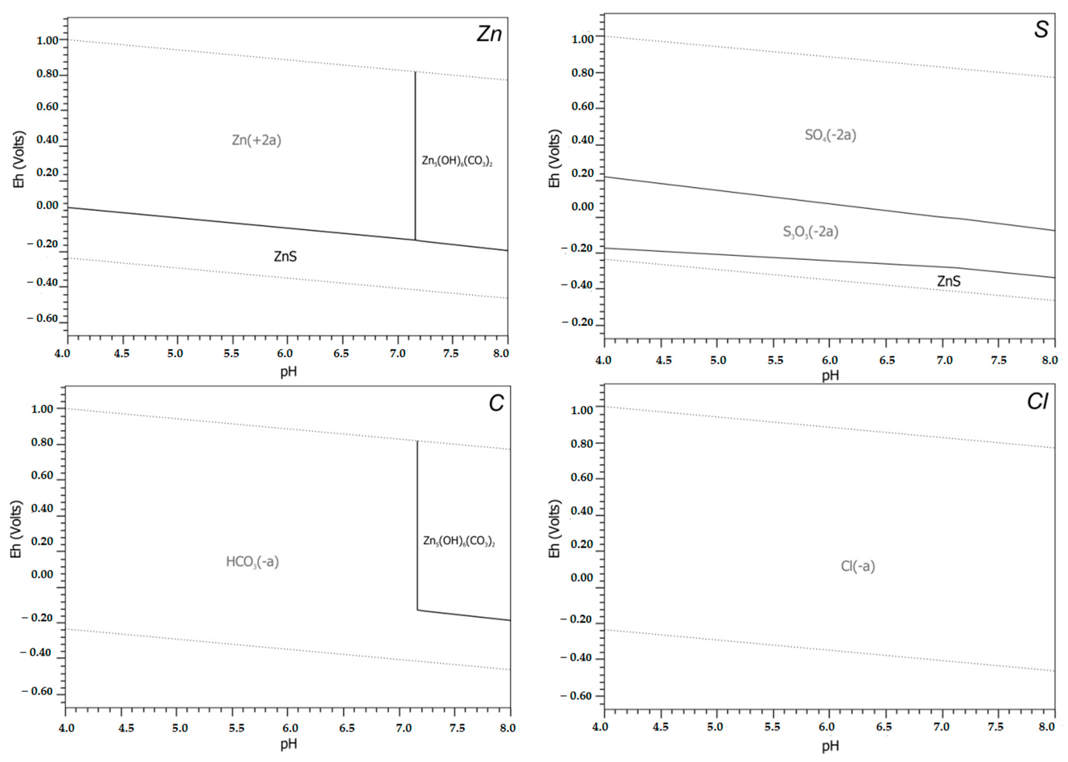
5.2. Mobility of Metals and Metalloids from Zn-Pb Slags in Soil and Water Environment Based on Geochemical Modelling
6. Summary and Conclusions
Author Contributions
Funding
Conflicts of Interest
References
- Piatak, N.M.; Ettler, V.; Hoppe, D. Geochemistry and Mineralogy of Slags. In Metallurgical Slags: Environmental Geochemistry and Resource Potential, 1st ed.; Piatak, N.M., Ettler, V., Eds.; Royal Society of Chemistry: London, UK, 2021. [Google Scholar]
- Vítková, M. Environmental Characteristics of Mineral Waste from Metallurgy. Ph.D. Thesis, Charles University, Prague, Czech Republic, 2012. [Google Scholar]
- Yin, N.H.; Lens, P.N.; Sivry, Y.; Hullebusch, E.D. Lead and Zinc Metallurgical Slags Mineralogy and Weathering. In Sustainable Heavy Metal Remediation; Springer: Berlin/Heidelberg, Germany, 2017; pp. 133–160. Available online: https://www.springer.com/series/11480 (accessed on 1 March 2024).
- Piatak, N.M.; Parsons, M.B.; Seal, R.R., II. Characteristics and environmental aspects of slag: A review. Applied Geochemistry 2015, 57, 236–266. [Google Scholar] [CrossRef]
- Nowińska, K. Formy Występowania Metali w żużlach z Hutnictwa Cynku i ołowiu w Aspekcie Środowiskowym i Możliwości ich Odzysku; Wydawnictwo Politechniki Śląskiej: Gliwice, Poland, 2022. [Google Scholar]
- Ettler, V.; Vitková, M. Slag Leaching Properties and Release of Contaminants. In Metallurgical Slags: Environmental Geochemistry and Resource Potential, 1st ed.; Piatak, N.M., Ettler, V., Eds.; Royal Society of Chemistry: London, UK, 2021. [Google Scholar]
- Piatak, N.M. Environmental Characteristics and Utilization Potential of Metallurgical Slag; Environmental Geochemistry; Elsevier: Amsterdam, The Netherlands, 2018; pp. 487–519. [Google Scholar] [CrossRef]
- Adamczyk, Z.; Nowińska, K. Environmental mobility of trace elements present in dusts emitted from Zn-Pb metallurgical processes. Environ. Earth Sci. 2016, 75, 956. [Google Scholar] [CrossRef]
- Nowińska, K.; Adamczyk, Z. Effect of galena contained in dust from Zn–Pb metallurgical processes on environment. Environ. Earth Sci. 2021, 80, 294. [Google Scholar] [CrossRef]
- Babu, M.N.; Sahu, K.K.; Pandey, B.D. Zinc Recovery from Sphalerite Concentrate by Oxidative Leaching with Ammonium, Sodium and Potassium Persulphates. Hydrometallurgy 2002, 64, 119–129. [Google Scholar]
- Santos, S.M.C.; Ismael, M.R.C.; Correia, M.J.N.; Reis, M.T.A.; Deep, A.; Carvalho, J.M.R. Hydrometallurgical Treatment of a Zinc Concentrate by Atmospheric Direct Leach Process. In Proceedings of the European Congress of Chemical Engineering (ECCE-6), Copenhagen, Denmark, 16–20 September 2007. [Google Scholar]
- Filippou, D. Innovative hydrometallurgical processes for the primary processing of zinc. Miner. Process. Extr. Rev. 2004, 25, 205–252. [Google Scholar]
- Sahu, K.; Agrawal, A. Lead, Zinc Extraction Processes. In Proceedings of the Extraction of Nonferrous Metals and Their Recycling—A Training Programme, Jamshedpur, India, 27–29 February 2008. [Google Scholar]
- Sohn, H.Y.; Olivas-Martinez, M. Zinc and Lead Production. In Treatise on Process Metallurgy, 1st ed.; Seshadri Seetharaman; Elsevier: Amsterdam, The Netherlands, 2014; p. 671. [Google Scholar]
- Hoang, J.; Reuter, M.; Matusewicz, R.; Hughes, S.; Piret, N. Top submerged lance direct zinc smelting. Miner. Eng. 2009, 22, 742–751. [Google Scholar] [CrossRef]
- Chodkowski, S. Metalurgia Metali Nieżelaznych; Wydawnictwo Śląsk: Katowice, Poland, 1971. [Google Scholar]
- Vignes, A. Extractive Metallurgy 3; Willey: Hoboken, NJ, USA, 2013. [Google Scholar]
- Zhao, B. Lead and zinc sintering. In Sintering Applications; InTech: Rijeka, Croatia, 2013; pp. 165–199. [Google Scholar]
- Matinde, E.; Steenkamp, J.D. Metallurgical Overview and Production of Slags. In Metallurgical Slags: Environmental Geochemistry and Resource Potential, 1st ed.; Piatak, N., Ettler, V., Eds.; Royal Society of Chemistry: London, UK, 2021. [Google Scholar]
- Habashi, F. Retorts in the Production of Metals. A Historical Survey. Metall 2012, 66, 149–155. [Google Scholar]
- Jędrychowska, S.; Wieczorek, A. Analiza wielopierwiastkowa środków smarowych z wykorzystaniem techniki spektrometrii fluorescencji rentgenowskiej z dyspersją fali. Nafta-Gaz 2013, 6, 476–485. [Google Scholar]
- Tessadri, R. Analytical Techniques for Elemental Analysis of Minerals; Encyclopedia of Life Support Systems (EOLSS): Oxford, UK, 2009. [Google Scholar]
- Bulska, E.; Wagner, B. Quantitative aspects of inductively coupled plasma mass spectrometry. Philos. Trans. A Math. Phys. Eng. Sci. 2016, 347, 20150369. [Google Scholar] [CrossRef]
- Helaluddin, A.B.M.; Khalid, R.S.; Alaama, M.; Abbas, S.A. Main Analytical Techniques Used for Elemental Analysis in Various Matrices. Trop. J. Pharm. Res. 2016, 15, 427. [Google Scholar]
- Will, G. Powder Diffraction: The Rietveld Method and the Two Stage Method to Determine and Refine Crystal Structures from Powder Diffraction Data; Springer: Berlin, Germany, 2006. [Google Scholar]
- Llovet, X.; Moy, A.; Pinard, P.T.; Fournelle, J.H. Electron probe microanalysis: A review of recent developments and applications in materials science and engineering. Prog. Mater. Sci. 2021, 116, 100673. [Google Scholar] [CrossRef]
- Fournier, C.; Merlet, C.; Dugne, O.; Fialin, N. Standardless semi-quantitative analysis with WDS-EPM. J. Anal. At. Spectrom. 1999, 14, 381–386. [Google Scholar] [CrossRef]
- Bużantowicz, M.; Bużantowicz, W. Zastosowanie mikroskopii skaningowej do inspekcji układów elektronicznych wykonanych w technologii SMT. Mechanik 2013, 7, 71–76. [Google Scholar]
- Kosson, D.S.; van der Sloot, H.A.; Sanchez, F.; Garrabrant, A.C. An integrated framework for evaluating leaching in waste management and utilization of secondary materials. Environ. Eng. Sci. 2002, 19, 159–204. [Google Scholar] [CrossRef]
- Shanmuganathan, P.; Lakshmipathiraj, P.; Srikanth, S.; Nachiappan, A.L.; Sumathy, A. Toxicity characterization and long-term stability studies on copper slag from the ISASMELT process. Resour. Conserv. Recycl. 2008, 52, 601–611. [Google Scholar] [CrossRef]
- EN 12457-2:2002; Characterisation of Waste—Leaching—Compliance Test for Leaching of Granular Waste Materials and Sludges—Part 2: One Stage Batch Test at a Liquid to Solid Ratio of 10 L/kg for Materials with Particle Size below 4 mm (without or with Size Reduction). European Committee for Standardisation: Brussels, Belgium, 2002.
- ASTM-D5284; Standard Test Method for Sequential Batch Extraction of Waste with Acidic Extraction Fluid. ASTM International: West Conshohocken, PA, USA, 2009.
- Cappuyns, V.; Alian, V.; Vassilieva, E.; Swennen, R. pH Dependent Leaching Behavior of Zn, Cd, Pb, Cu and As from Mining Wastes and Slags: Kinetics and Mineralogical Control. Waste Biomass Valorizatio 2014, 5, 355–368. [Google Scholar] [CrossRef]
- Nang-Htay, Y.; Sivry, Y.; Guyot, F.; Lens, P.N.; van Hullebusch, E.D. Evaluation on chemical stability of lead blast furnace (LBF) and imperial smelting furnace (ISF) slags. J. Environ. Manag. 2016, 180, 310–323. [Google Scholar] [CrossRef]
- Ganne, P.; Cappuyns, V.; Vervoort, A.; Buvé, L.; Swennen, R. Leachability of heavy metals and arsenic from slags of metal extraction industry at Angleur (eastern Belgium). Sci. Total Environ. 2006, 356, 69–85. [Google Scholar] [CrossRef]
- Ettler, V.; Jehlička, J.; Mašek, V.; Hruška, J. The leaching behaviour of lead metallurgical slag in high-molecular-weight (HMW) organic solutions. Mineral. Mag. 2005, 69, 737–747. [Google Scholar] [CrossRef]
- Parkhurst, D.L.; Appelo, C.A.J. Description of input and examples for PHREEQC version 3–A computer program for speciation, batch-reaction, one-dimensional transport, and inverse geochemical calculations. US Geol. Surv. Tech. Methods 2013, 6, 497. [Google Scholar]
- Barna, R.; Bae, H.R.; Méhu, J.; Van der Sloot, H.; Moszkowicz, P.; Desnoyers, C. Assessment of Chemical Sensitivity of Waelz Slag. Waste Manag. 2000, 20, 115–124. [Google Scholar] [CrossRef]
- Brookins, D.G. Eh-pH Diagrams for Geochemistry; Springer: Berlin/Heidelberg, Germany, 1998. [Google Scholar]
- Parsons, M.B.; Bird, D.K.; Einaudi, M.T.; Alpers, C.N. Geochemical and mineralogical controls on trace element release from the Penn Mine base-metal slag dump, California. Appl. Geochem. 2001, 16, 1567–1573. [Google Scholar] [CrossRef]
- Adamczyk, Z.; Melaniuk-Wolny, E.; Nowińska, K. The Mineralogical and Chemical Study of Feedstock Mixtures and by-Products from Pyrometallurgical Process of Zinc and Lead Production; Wydawnictwo Politechniki Śląskiej: Gliwice, Poland, 2010. [Google Scholar]
- Piatak, N.M.; Seal, R.R.; Hammarstrom, J.M.; Meier, A.L.; Briggs, P.H. Geochemical Characterization of Slags, Other Mine Waste, and Their Leachate from the Elizabeth and Ely Mines (Vermont), the Ducktown Mining District (Tennessee), and the Clayton Smelter Site (Idaho). U.S. Department of the Interior, U.S. Geological Survey. 2003. Available online: https://pubs.usgs.gov/sir/2006/5303/ (accessed on 1 January 2024).
- De Andrade Lima, L.R.P.; Bernardez, L.A. Characterization of the lead smelter slag in Santo Amaro, Bahia, Brazil. J. Hazard. Mater. 2011, 189, 692–699. [Google Scholar] [CrossRef] [PubMed]
- Carpenter, J.S.; Bai, C.; Escobedo-Diaz, J.P.; Hwang, J.; Ikhmayies, S.; Li, B.; Li, J.; Sergio Monteiro, S.N.; Zhiwei, P.; Zhang, M. Characterization of Minerals, Metals, and Materials; Wiley: Hoboken, NJ, USA, 2015. [Google Scholar]
- Kicińska, A. Physical and chemical characteristics of slag produced during Pb refining and the environmental risk associated with the storage of slag. Environ. Geochem. Health 2021, 43, 2723–2741. [Google Scholar] [CrossRef]
- Harvey, W.; Downs-Rose, G. The Bay Mine, Wanlockhead, Scotland. Br. Min. 1976, 2, 1–9. [Google Scholar]
- Ettler, V.; Legendre, O.; Bodénan, F.; Touray, J. Primary phases and natural weathering of old lead–zinc pyrometallurgical slag from Příbram, Czech Republic. Can. Mineral. 2001, 39, 873–888. [Google Scholar] [CrossRef]
- Adamczyk, Z.; Nowińska, K. Phase composition of metallurgical zinc and lead slags. Civ. Environ. Eng. Rep. 2013, 1, 13–21. [Google Scholar]
- Puziewicz, J.; Zainoun, K.; Bril, H. Primary phases in pyrometallurgical slags from a zinc-smelting waste dump, Świętochłowice, Upper Silesia, Poland. Can. Mineral. 2007, 45, 1189–1200. [Google Scholar] [CrossRef]
- Bril, H.; Zainou, K.; Puziewicz, J.; Court In-Nomade, A.; Vanaecker, M.; Bollinger, J.-C. Secondary phases from the alteration of a pile of zinc-smelting slag as indicators of environmental conditions: An example from Świętochłowice, Upper Silesia, Poland. Can. Mineral. 2008, 46, 1235–1248. [Google Scholar] [CrossRef]
- Ettler, V.; Johan, Z.; Kříbek, B.; Šebek, O.; Mihaljevic, M. Mineralogy and environmental stability of slags from the Tsumeb smelter, Namibia. Appl. Geochem. 2009, 24, 1–15. [Google Scholar] [CrossRef]
- Kierczak, J.; Pietranik, A. Mineralogy and composition of historical Cu slags from the Rudawy Janowickie mountains, southwestern Poland. Can. Mineral. 2011, 49, 1281–1296. [Google Scholar] [CrossRef]
- Sueoka, Y.; Sakakibara, M. Primary Phases and Natural Weathering of Smelting Slag at an Abandoned Mine Site in Southwest Japan. Minerals 2013, 3, 412–426. [Google Scholar] [CrossRef]
- Warchulski, R.; Doniecki, T.; Gawęda, A.; Szopa, K. Composition and weathering of Zn-Pb slags from Bytom—Piekary Śląskie area: A case of heavy metal concentration and mobility. Mineral.—Spec. Pap. 2012, 40, 132–133. [Google Scholar]
- Warchulski, R.; Doniecki, T.; Gawęda, A.; Szopa, K. Secondary phases from the Zn-Pb smelting slags from Katowice–Piekary Śląskie area, Upper Silesia, Poland: A SEM–XRD overview. Mineral.—Spec. Pap. 2014, 42, 110. [Google Scholar]
- Warchulski, R.; Gawęda, A.; Janeczek, J.; Kędziołka-Gaweł, M. Mineralogy and origin of coarse-grained segregations in the pyrometallurgical Zn-Pb slags from Katowice-Wełnowiec (Poland). Mineral. Petrol. 2016, 110, 681–692. [Google Scholar] [CrossRef]
- Warchulski, R.; Gawęda, A.; Kądziołka-Gaweł, M.; Szopa, K. Composition and element mobilization in pyrometallurgical slags from the Orzeł Biały smelting plant in the Bytom-Piekary Śląskie area, Poland. Mineral. Mag. 2015, 79, 459–483. [Google Scholar] [CrossRef]
- Potysz, A. Copper Metallurgical Slags: Mineralogy, Bioweathering Processes and Metal Bioleaching. Ph.D. Thesis, Universit’e Paris-Est, Paris, France, 2015. [Google Scholar]
- Nowińska, K. Mineralogical and chemical characteristics of slags from the pyrometallurgical extraction of zinc and lead. Minerals 2020, 10, 371. [Google Scholar] [CrossRef]
- Nowińska, K.; Adamczyk, Z. Slags of the imperial smelting process for Zn and Pb production. In Reference Module in Materials Science and Materials Engineering; Saleem, H., Ed.; Elsevier: Amsterdam, The Netherlands, 2017; pp. 1–5. [Google Scholar] [CrossRef]
- Mendecki, M.; Warchulski, R.; Szczuka, M.; Środek, D.; Pierwoła, J. Geophysical and petrological studies of the former lead smelting waste dump in Sławków, Poland. J. Appl. Geophys. 2020, 179, 104080. [Google Scholar] [CrossRef]
- Ettler, V.; Kierczak, J. Environmental Impact of Slag Particulates. In Metallurgical Slags: Environmental Geochemistry and Resource Potential, 1st ed.; Piatak, N.M., Ettler, V., Eds.; Royal Society of Chemistry: London, UK, 2021. [Google Scholar]
- Warr, L.N. IMA–CNMNC approved mineral symbols. Mineral. Mag. 2021, 85, 291–320. [Google Scholar] [CrossRef]
- Ettler, V.; Johan, Z.; Touray, J.C.; Jelínek, E. Zinc partitioning between glass and silicate phases in historical and modern lead–zinc metallurgical slags from the Příbram district, Czech Republic. Earth Planet. Sci. 2000, 331, 245–250. [Google Scholar] [CrossRef][Green Version]
- Ettler, V. Etude du Potential Pollutant de Rejets Anciens et Actuels de la Métallurgie du Plomb Dans le district de Příbram (République tchèque). Ph.D. Thesis, Université d’Orléans, France and Charles University, Prague, Czech Republic, 2000. [Google Scholar]
- Ettler, V.; Piantone, P.; Touray, J.C. Mineralogical control on inorganic contaminant mobility in leachate from lead-zinc metallurgical slag: Experimental approach and long-term assessment. Mineral. Mag. 2003, 67, 1269–1283. [Google Scholar] [CrossRef]
- Ettler, V.; Johan, Z. 12 years of leaching of contaminants from Pb smelter slags: Geochemical/mineralogical controls and slag recycling potential. Appl. Geochem. 2014, 40, 97–103. [Google Scholar] [CrossRef]
- Ettler, V.; Komarkova, M.; Jechlicka, J.; Coufal, P.; Hradil, D.; Machovic, V.; Delorme, F. Leaching of lead metallurgical slag in citric solutions—Implications for disposal and weathering in soil environments. Chemosphere 2004, 57, 167–177. [Google Scholar] [CrossRef]
- Ettler, V.; Vaněk, A.; Mihaljevič, M.; Bezdička, P. Contrasting lead speciation in forest and tilled soils heavily polluted by lead metallurgy. Chemosphere 2005, 58, 1449–1459. [Google Scholar] [CrossRef]
- Mizerna, K.; Król, A. Wpływ wybranych czynników na wymywalność metali ciężkich z odpadu hutniczego. Inżynieria Ekol. 2015, 43, 1–6. [Google Scholar] [CrossRef] [PubMed][Green Version]
- Seignez, N.; Gauthier, A.; Bulteel, D.; Damidot, D.; Potdevina, J.L. Leaching of lead metallurgical slags and pollutant mobility far from equilibrium conditions. Appl. Geochem. 2008, 23, 3699–3711. [Google Scholar] [CrossRef]
- Potysz, A.; Kierczak, J.; Pietranik, A.; Kadziolka, K. Mineralogical, geochemical, and leaching study of historical Cu-slags issued from processing of the Zechstein formation (Old Copper Basin, southwestern Poland). Appl. Geochem. 2018, 98, 22–35. [Google Scholar] [CrossRef]
- Ettler, V.; Kvapil, J.; Šebek, O.; Johan, Z.; Mihaljevič, M.; Ratié, G.; Garnier, J.; Quantin, C. Leaching behaviour of slag and fly ash from laterite nickel ore smelting (Niquelândia, Brazil). Appl. Geochem. 2016, 64, 118–127. [Google Scholar] [CrossRef]
- Vitkova, M.; Ettler, V.; Mihaljevic, M.; Sebek, O. Effect of sample preparation on contaminant leaching from copper smelting slag. J. Hazard. Mater. 2011, 197, 417–423. [Google Scholar] [CrossRef]
- Saikia, N.; Cornelis, G.; Mertens, G.; Elsen, J.; Van Balen, K.; Van Gerven, T.; Vandecasteele, C. Assessment of Pb-slag, MSWI bottom ash and boiler and fly ash for using as a fine aggregate in cement mortar. J. Hazard. Mater. 2008, 154, 766–777. [Google Scholar] [CrossRef]
- Saikia, N.; Cornelis, G.; Cizer, Ö.; Vandecasteele, C.; Van Gemert, D.; Van Balen, K.; Van Gerven, T. Use of Pb blast furnace slag as a partial substitute for fine aggregate in cement mortar. J. Mater. Cycles Waste Manag. 2012, 14, 102–112. [Google Scholar] [CrossRef]
- Jarošíková, A.; Ettler, V.; Mihaljevič, M.; Kříbek, B.; Mapani, B. The pH-dependent leaching behavior of slags from various stages of a copper smelting process: Environmental implications. J. Environ. Manag. 2017, 187, 178–186. [Google Scholar] [CrossRef]
- Potysz, A.; Kierczak, J.; Fuchs, Y.; Grybos, M.; Guibaud, G.; Lens, P.N.L.; van Hullebusch, E.D. Characterization and pH-dependent leaching behaviour of historical and modern copper slags. J. Geochem. Explor. 2016, 160, 1–15. [Google Scholar] [CrossRef]
- Mizerna, K. Mobility of heavy metals from metallurgical waste in the context of sustainable waste management. Econ. Environ. Stud. 2016, 16, 819–830. [Google Scholar]
- Štulović, M.; Ivšić-Bajčeta, D.; Ristić, M.; Kamberović, Ž.; Korać, M.; Anđić, Z. Leaching properties of secondary lead slag stabilized/solidified with cement and selected additives. Environ. Prot. Eng. 2013, 39, 149–163. [Google Scholar] [CrossRef]
- Scheetz, C.D.; Rimstidt, J.D. Dissolution, transport, and fate of lead on a shooting range in the Jefferson National Forest near Blacksburg, VA, USA. Environ. Geol. 2009, 58, 655–665. [Google Scholar] [CrossRef]
- Song, Y.; Wilson, M.J.; Moon, H.S.; Bacon, J.R.; Bain, D.C. Chemical and mineralogical forms of lead, zinc and cadmium in particle size fractions of some wastes, sediments and soils in Korea. Appl. Geochem. 1999, 14, 621–633. [Google Scholar] [CrossRef]
- Taylor, P.; Lopata, V.J. Stability and solubility relationships between some solids in the system PbO-CO2-H2O. Can. J. Chem. 1983, 62, 395–402. [Google Scholar] [CrossRef]
- Jolley, L.R.; Campenter, J.H. Aqueous Chemistry of Chlorine; Chemistry, Analysis, and Environmental Fate of Reactive Oxidant Species; Oak Ridge National Laboratory: Oak Ridge, TN, USA, 1982. [Google Scholar]
- Uhler, A.D.; Helz, G.R. Solubility product of galena at 298°K: A possible explanation for apparent supersaturation in nature. Geochim. Et Cosmochim. Acta 1984, 48, 1155–1160. [Google Scholar] [CrossRef]
- Kushnir, C.S.E. Influence of Water Chemistry Parameters on the Dissolution Rate of the Lead (II) Carbonate Hydrocerussite. Master’s Thesis, The University of Western Ontario, London, ON, Canada, 2014. [Google Scholar]
- Mohammadzadeh, M.; Basu, O.D.; Herrera, J.E. Impact of water chemistry on lead carbonate dissolution in drinking water distribution systems. J. Water Resour. Prot. 2015, 7, 389–397. [Google Scholar] [CrossRef][Green Version]
- Ray, P.; Datta, S.P. Solid phase speciation of Zn and Cd in zinc smelter effluent-irrigated soils. Chem. Speciat. Bioavailab. 2017, 29, 6–14. [Google Scholar] [CrossRef]
- Nordstrom, K.; Majzlan, J.; Königsberger, E. Thermodynamic properties for arsenic minerals and aqueous species. Rev. Mineral. Geochem. 2014, 79, 217–254. [Google Scholar] [CrossRef]
- Štulović, M.; Radovanović, D.; Kamberović, Ž.; Korać, M.; Anđić, Z. Assessment of Leaching Characteristics of Solidified Products Containing Secondary Alkaline Lead Slag. Int. J. Environ. Res. Public Health 2019, 16, 2005. [Google Scholar] [CrossRef]
- Brugger, J.; Mcphail, D.C.; Wallace, M.; Waters, J. Formation of willemite in hydrothermal environments. Econ. Geol. 2003, 98, 819–835. [Google Scholar] [CrossRef]
- Najera Ibarra, J.M.; Soria-Aguilar, M.J.; Martínez-Luevanos, A.; Picazo-Rodriguez, N.G.; Almaguer-Guzman, I.; Chaidez-Felix, J.; Carrillo-Pedroza, S.F.R. Zinc Extraction from Primary Lead Smelting Slags by Oxidant Alkaline Leaching. Metals 2024, 12, 1409. [Google Scholar] [CrossRef]
- Kamberović, Ž.; Ranitović, M.; Korać, M.; Djokić, J.; Jevtić, S. Hydrometallurgical Process for Selective Metals Recovery from Waste-Printed Circuit Boards. Metals 2018, 8, 441. [Google Scholar] [CrossRef]
- Vanaeckera, M.; Courtin-Nomadea, A.; Brila, H.; Laureyns, J.; Lenain, J.F. Behavior of Zn-bearing phases in base metal slag from France and Poland: A mineralogical approach for environmental purposes. J. Geochem. Explor. 2014, 136, 1–14. [Google Scholar] [CrossRef]
- Ford, R.G.; Wilkin, R.T. Monitored Natural Attenuation of Inorganic Contaminants in Ground Water Volume 2—Assessment for Non-Radionuclides Including Arsenic, Cadmium, Chromium, Copper, Lead, Nickel, Nitrate, Perchlorate, and Selenium; Report number: EPA/600/R-07/140; U.S. Environmental Protection Agency: Washington, DC, USA, 2007.
- Missimer, T.M.; Teaf, C.M.; Beeson, W.T.; Maliva, R.G.; Woolschlager, J.; Covert, D.J. Natural background and anthropogenic arsenic enrichment in Florida soils, surface water and groundwater: A Review with a Discussion on Public Health Risk. Int. J. Environ. Res. Public Health 2018, 15, 2278. [Google Scholar] [CrossRef]
- Potysz, A.; Kierczak, J.; Grybos, M.; Pędziwiatr, A. Weathering of historical copper slags in dynamic experimental system with rhizosphere-like organic acids. J. Environ. Manag. 2018, 222, 325–337. [Google Scholar] [CrossRef]
- Potysz, A.; Hullebusch, E.D.; Kierczak, J.; Grybos, M.; Lens, P.N.; Guibaud, G. Copper Metallurgical Slags—Current Knowledge and Fate: A Review. Crit. Rev. Environ. Sci. Technol. 2015, 45, 2424–2488. [Google Scholar] [CrossRef]
- Kucha, H.; Martens, A.; Ottenburgs, R.; De Vos, W.; Viaene, W. Primary minerals of Zn-Pb mining and metallurgical dumps and their environment behavior at Plombieres, Belgium. Environ. Geol. 1996, 27, 1–7. [Google Scholar] [CrossRef]
- Navarro, A.; Cardellach, E.; Mendoza, J.L.; Corbella, M.; Domenech, L.M. Metal mobilization from base-metal smelting slag dumps in Sierra Almagrera (Almería, Spain). Appl. Geochem. 2008, 23, 895–913. [Google Scholar] [CrossRef]








| Component | Zn-Pb Slags | Pb Refining Slags | ||||
|---|---|---|---|---|---|---|
| Min | Max | Average * | Min | Max | Average ** | |
| SiO2 | 2.04 | 57.1 | 28.6 | 2.45 | 35.5 | 11.1 |
| Al2O3 | 0.90 | 21.9 | 8.3 | 0.57 | 7.8 | 2.8 |
| FeOTotal | 0.88 | 59.6 | 16.7 | 8.3 | 31.1 | 20.0 |
| MgO | 0.61 | 15.9 | 5.4 | 0.10 | 0.81 | 1.1 |
| CaO | 0.18 | 32.2 | 17.3 | 0.14 | 5.65 | 2.8 |
| CuO | 0.0020 | 0.93 | 0.10 | 0.98 | 20.93 | 11.5 |
| SO3 | 0.05 | 14.9 | 2.99 | 5.83 | 23.1 | 13.6 |
| MnO | 0.01 | 3.0 | 0.50 | 0.02 | 0.55 | 0.21 |
| K2O | 0.02 | 3.91 | 0.60 | 0.04 | 0.27 | 0.15 |
| ZnO | 0.03 | 47.2 | 4.93 | 6.6 | 18.07 | 12.2 |
| PbO | 0.0002 | 6.4 | 0.93 | 0.72 | 44.6 | 17.8 |
| TiO2 | 0.07 | 1.14 | 0.40 | 0.04 | 0.34 | 0.16 |
| Element | Min | Max | Average | Min | Max | Average |
| Ba | 76 | 17,914 | 1126 | 336 | 778 | 508 |
| Ni | 13 | 240 | 60 | 76 | 447 | 311 |
| Co | 8.5 | 242 | 36 | 0.01 | 452 | 232 |
| Cr | 4.0 | 700 | 155 | 132 | 708 | 435 |
| As | 1.0 | 10,710 | 1181 | 147 | 15,558 | 8843 |
| Cd | 0.38 | 575 | 31 | 85 | 19,757 | 5595 |
| Sb | 0.16 | 245 | 43 | 81 | 9869 | 472 |
| Sn | 0.10 | 500 | 23 | 0.01 | 617 | 323 |
| Main Phase in Zn-Pb Slag | Form of Occurrence | ||
|---|---|---|---|
| Environment (pH Value) | Reducing Conditions | Oxidizing Conditions | |
| PbSO4 | acidic | PbS, Cd2+ | PbCl42−, Pb2+ |
| neutral | PbS, Cd2+ | PbCl42−, PbOH+ | |
| alkaline | PbS, PbOH+ | PbCl42−, PbOH+, PbO2 | |
| PbS | acidic | Pb2+, PbS, | PbCl42−, Pb2+, PbS |
| neutral | PbCO3, PbS | PbCl42−, PbS | |
| alkaline | PbS, PbCO3 | PbCl42−, PbO2 | |
| ZnS | acidic | ZnS | Zn2+ |
| neutral | ZnS | Zn2+ | |
| alkaline | ZnS | Zn5(OH)6(CO3)2 | |
| Zn2SiO4 | acidic | Zn2+ | Zn2+ |
| neutral | Zn2+ | Zn2+ | |
| alkaline | Zn2+ | Zn2+ | |
Disclaimer/Publisher’s Note: The statements, opinions and data contained in all publications are solely those of the individual author(s) and contributor(s) and not of MDPI and/or the editor(s). MDPI and/or the editor(s) disclaim responsibility for any injury to people or property resulting from any ideas, methods, instructions or products referred to in the content. |
© 2024 by the authors. Licensee MDPI, Basel, Switzerland. This article is an open access article distributed under the terms and conditions of the Creative Commons Attribution (CC BY) license (https://creativecommons.org/licenses/by/4.0/).
Share and Cite
Nowińska, K.; Kokowska-Pawłowska, M. Mineralogy of Zinc and Lead Metallurgical Slags in Terms of Their Impact on the Environment: A Review. Minerals 2024, 14, 852. https://doi.org/10.3390/min14090852
Nowińska K, Kokowska-Pawłowska M. Mineralogy of Zinc and Lead Metallurgical Slags in Terms of Their Impact on the Environment: A Review. Minerals. 2024; 14(9):852. https://doi.org/10.3390/min14090852
Chicago/Turabian StyleNowińska, Katarzyna, and Magdalena Kokowska-Pawłowska. 2024. "Mineralogy of Zinc and Lead Metallurgical Slags in Terms of Their Impact on the Environment: A Review" Minerals 14, no. 9: 852. https://doi.org/10.3390/min14090852
APA StyleNowińska, K., & Kokowska-Pawłowska, M. (2024). Mineralogy of Zinc and Lead Metallurgical Slags in Terms of Their Impact on the Environment: A Review. Minerals, 14(9), 852. https://doi.org/10.3390/min14090852

