Effect of the Interaction between Clays and Cations on Froth Rheology in Flotation
Abstract
1. Introduction
2. Experimental Methods
2.1. Experimental Materials
2.2. Experimental Set-Up
2.3. Experimental Procedure
3. Results and Discussion
3.1. Rheology of the Froths Generated with Clays in the Presence of Cations
3.1.1. The Froth Rheology of Clays in the Presence of Na+
3.1.2. The Froth Rheology of Clays in the Presence of Ca2+
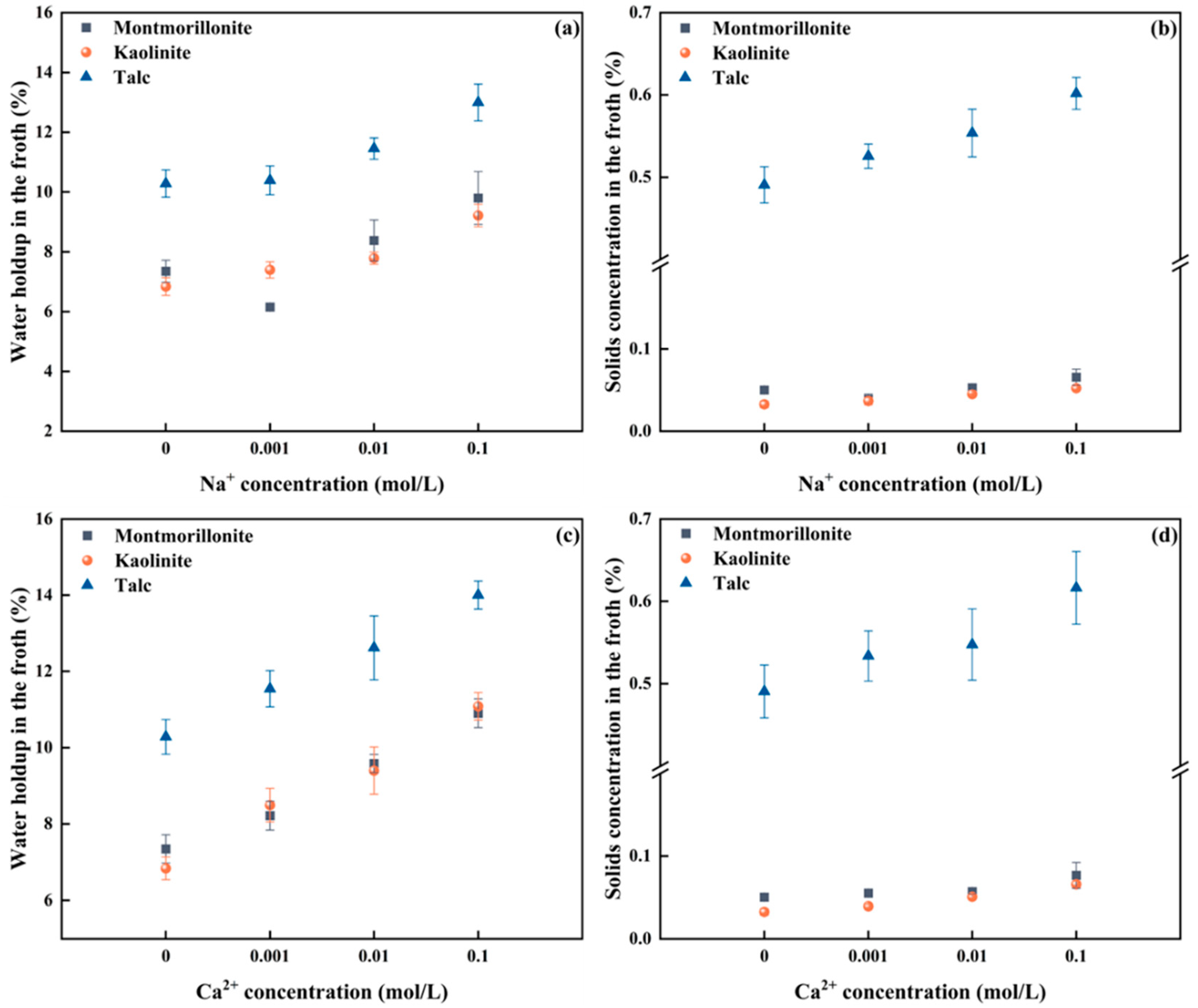
3.2. Effect of Cations on Froth Properties of Clay Minerals
3.3. Dispersion Behavior of Clay Particles in the Presence of Cations
4. Conclusions
Supplementary Materials
Author Contributions
Funding
Data Availability Statement
Conflicts of Interest
References
- Zhang, M.; Peng, Y. Effect of clay minerals on pulp rheology and the flotation of copper and gold minerals. Miner. Eng. 2015, 70, 8–13. [Google Scholar] [CrossRef]
- Chen, X.; Peng, Y. Managing clay minerals in froth flotation—A critical review. Miner. Process. Extr. Metall. Rev. 2018, 39, 289–307. [Google Scholar] [CrossRef]
- Farrokhpay, S.; Ndlovu, B.; Bradshaw, D. Behaviour of swelling clays versus non-swelling clays in flotation. Miner. Eng. 2016, 96–97, 59–66. [Google Scholar] [CrossRef]
- Jenkins, P.; Ralston, J. The adsorption of a polysaccharide at the talc–aqueous solution interface. Colloids Surf. A Physicochem. Eng. Asp. 1998, 139, 27–40. [Google Scholar] [CrossRef]
- Morris, G.E.; Fornasiero, D.; Ralston, J. Polymer depressants at the talc-water interface- Adsorption isotherm, microflotation and electrokinetic studies. Int. J. Miner. Process. 2002, 67, 211–227. [Google Scholar] [CrossRef]
- Pawlik, M.; Laskowski, J.; Ansari, A. Effect of carboxymethyl cellulose and ionic strength on stability of mineral suspensions in potash ore flotation systems. J. Colloid Interface Sci. 2003, 260, 251–258. [Google Scholar] [CrossRef] [PubMed]
- Xing, Y.; Gui, X.; Cao, Y. Effect of Calcium Ion on Coal Flotation in the Presence of Kaolinite Clay. Energy Fuels 2016, 30, 1517–1523. [Google Scholar] [CrossRef]
- Bai, H.; Liu, Y.; Zhao, Y.; Chen, T.; Li, H.; Chen, L.; Song, S. Regulation of coal flotation by the cations in the presence of clay. Fuel 2020, 271, 117590. [Google Scholar] [CrossRef]
- Yang, X.; Bu, X.; Xie, G.; Chelgani, S.C. A comparative study on the influence of mono, di, and trivalent cations on the chalcopyrite and pyrite flotation. J. Mater. Res. Technol. 2021, 11, 1112–1122. [Google Scholar] [CrossRef]
- Song, S.; Gu, G.; Huang, W.; Wang, Y. Decoupling the mechanisms in chalcopyrite flotation with high sodium bentonite content when using saline water containing divalent cations. Miner. Eng. 2021, 167, 106902. [Google Scholar] [CrossRef]
- Manono, M.S.; Corin, K.C. Considering specific ion effects on froth stability in sulfidic Cu-Ni-PGM ore flotation. Minerals 2022, 12, 321. [Google Scholar] [CrossRef]
- Burdukova, E.; Van Leerdam, G.C.; Prins, F.E.; Smeink, R.G.; Bradshaw, D.J.; Laskowski, J.S. Effect of calcium ions on the adsorption of CMC onto the basal planes of New York talc—A ToF-SIMS study. Miner. Eng. 2008, 21, 1020–1025. [Google Scholar] [CrossRef]
- Manono, M.; Corin, K.; Wiese, J. The Effect of the Ionic Strength of Process Water on the Interaction of Talc and CMC: Implications of Recirculated Water on Floatable Gangue Depression. Minerals 2019, 9, 231. [Google Scholar] [CrossRef]
- Parolis, L.A.S.; van der Merwe, R.; Groenmeyer, G.V.; Harris, P.J. The influence of metal cations on the behaviour of carboxymethyl celluloses as talc depressants. Colloids Surf. A Physicochem. Eng. Asp. 2008, 317, 109–115. [Google Scholar] [CrossRef]
- Wang, Y.; Peng, Y.; Nicholson, T.; Lauten, R.A. The different effects of bentonite and kaolin on copper flotation. Appl. Clay Sci. 2015, 114, 48–52. [Google Scholar] [CrossRef]
- Wang, Y.; Peng, Y.; Nicholson, T.; Lauten, R.A. The role of cations in copper flotation in the presence of bentonite. Miner. Eng. 2016, 96–97, 108–112. [Google Scholar] [CrossRef]
- Huang, L.; Song, S.; Gu, G.; Wang, Y. The Interaction between Cations in Saline Water and Calcium Bentonite in Copper Flotation. Min. Met. Explor. 2021, 38, 693–699. [Google Scholar] [CrossRef]
- Du, S.; Peng, T.; Song, S.; Gu, G.; Wang, Y. Effect of calcium ions on bentonite network structure. Miner. Eng. 2022, 186, 107724. [Google Scholar] [CrossRef]
- Zhang, M.; Xu, N.; Peng, Y. The entrainment of kaolinite particles in copper and gold flotation using fresh water and sea water. Powder Technol. 2015, 286, 431–437. [Google Scholar] [CrossRef]
- Cruz, N.; Peng, Y.; Farrokhpay, S.; Bradshaw, D. Interactions of clay minerals in copper–gold flotation: Part 1—Rheological properties of clay mineral suspensions in the presence of flotation reagents. Miner. Eng. 2013, 50–51, 30–37. [Google Scholar] [CrossRef]
- Farrokhpay, S.; Ndlovu, B.; Bradshaw, D. Behavior of talc and mica in copper ore flotation. Appl. Clay Sci. 2018, 160, 270–275. [Google Scholar] [CrossRef]
- Bai, H.; Liu, Y.; Zhao, Y.; Chen, T.; Chen, L.; Jiao, X.; Qing, C.; Song, S. Effects of clay species on coal flotation under the cationic regulation. Chem. Phys. Lett. 2020, 753, 137626. [Google Scholar] [CrossRef]
- Zhang, N.; Chen, X.; Peng, Y. The interaction between kaolinite and saline water in affecting the microstructure, rheology and settling of coal flotation products. Powder Technol. 2020, 372, 76–83. [Google Scholar] [CrossRef]
- Wang, L.; Li, C. A Brief Review of Pulp and Froth Rheology in Mineral Flotation. J. Chem. 2020, 2020, 3894542. [Google Scholar] [CrossRef]
- Shi, F.N.; Zheng, X.F. The rheology of flotation froths. Int. J. Miner. Process. 2003, 69, 115–128. [Google Scholar] [CrossRef]
- Zhang, N.; Chen, X.; Nicholson, T.; Peng, Y. The effect of saline water on the settling of coal slurry and coal froth. Powder Technol. 2019, 344, 161–168. [Google Scholar] [CrossRef]
- Li, C.; Runge, K.; Shi, F.; Farrokhpay, S. Effect of froth rheology on froth and flotation performance. Miner. Eng. 2018, 115, 4–12. [Google Scholar] [CrossRef]
- Wang, Z.; Mu, Y.; Zhang, M.; Cao, Y.; Li, C. Effect of clay crystal structure on froth rheology in flotation. Powder Technol. 2024, 435, 119395. [Google Scholar] [CrossRef]
- Li, C.; Farrokhpay, S.; Shi, F.; Runge, K. A novel approach to measure froth rheology in flotation. Miner. Eng. 2015, 71, 89–96. [Google Scholar] [CrossRef]
- Bazar, J.A.; Rahimi, M.; Fathinia, S.; Jafari, M.; Chipakwe, V.; Chelgani, S.C. Talc flotation—An overview. Minerals 2021, 11, 662. [Google Scholar] [CrossRef]
- Wang, L.; Peng, Y.; Runge, K.; Bradshaw, D. A review of entrainment: Mechanisms, contributing factors and modelling in flotation. Miner. Eng. 2015, 70, 77–91. [Google Scholar] [CrossRef]
- Li, C.; Cao, Y.; Peng, W.; Shi, F. On the correlation between froth stability and viscosity in flotation. Miner. Eng. 2020, 149, 106269. [Google Scholar] [CrossRef]
- Li, C.; Runge, K.; Shi, F.; Farrokhpay, S. Effect of flotation froth properties on froth rheology. Powder Technol. 2016, 294, 55–65. [Google Scholar] [CrossRef]
- Li, C.; Runge, K.; Shi, F.; Farrokhpay, S. Effect of flotation conditions on froth rheology. Powder Technol. 2018, 340, 537–542. [Google Scholar] [CrossRef]
- Dong, Y.; Li, H.; Fan, Y.; Ma, X.; Sun, D.; Wang, Y.; Gao, Z.; Dong, X. Tunable dewatering behavior of montmorillonite suspension by adjusting solution pH and electrolyte C-concentration. Minerals 2020, 10, 293. [Google Scholar] [CrossRef]
- Stickland, A.D.; Kumar, A.; Kusuma, T.E.; Scales, P.J.; Tindley, A.; Biggs, S.; Buscall, R. The effect of premature wall yield on creep testing of strongly flocculated suspensions. Rheol. Acta 2015, 54, 337–352. [Google Scholar] [CrossRef]
- Krieger, I.M.; Maron, S.H. Direct Determination of the Flow Curves of Non-Newtonian Fluids. J. Appl. Phys. 1952, 23, 147–149. [Google Scholar] [CrossRef]
- Dzuy, N.Q.; Boger, D.V. Yield stress measurement for concentrated suspensions. J. Rheol. 1983, 27, 321–349. [Google Scholar] [CrossRef]









Disclaimer/Publisher’s Note: The statements, opinions and data contained in all publications are solely those of the individual author(s) and contributor(s) and not of MDPI and/or the editor(s). MDPI and/or the editor(s) disclaim responsibility for any injury to people or property resulting from any ideas, methods, instructions or products referred to in the content. |
© 2024 by the authors. Licensee MDPI, Basel, Switzerland. This article is an open access article distributed under the terms and conditions of the Creative Commons Attribution (CC BY) license (https://creativecommons.org/licenses/by/4.0/).
Share and Cite
Li, C.; Wu, Z.; Wu, Z.; Chen, X.; Cao, Y. Effect of the Interaction between Clays and Cations on Froth Rheology in Flotation. Minerals 2024, 14, 706. https://doi.org/10.3390/min14070706
Li C, Wu Z, Wu Z, Chen X, Cao Y. Effect of the Interaction between Clays and Cations on Froth Rheology in Flotation. Minerals. 2024; 14(7):706. https://doi.org/10.3390/min14070706
Chicago/Turabian StyleLi, Chao, Zhongren Wu, Zhihang Wu, Xianggen Chen, and Yijun Cao. 2024. "Effect of the Interaction between Clays and Cations on Froth Rheology in Flotation" Minerals 14, no. 7: 706. https://doi.org/10.3390/min14070706
APA StyleLi, C., Wu, Z., Wu, Z., Chen, X., & Cao, Y. (2024). Effect of the Interaction between Clays and Cations on Froth Rheology in Flotation. Minerals, 14(7), 706. https://doi.org/10.3390/min14070706

