Origin of the Kunduleng Granite and Its Associated Uranium Anomaly in the Southern Great Xing’an Range, NE China
Abstract
1. Introduction
2. Geology and Petrography
3. Analytical Methods
3.1. Zircon U–Pb Dating and Lu–Hf Isotope Analysis
3.2. Whole-Rock Element Analyses
3.3. Electron Probe Microanalysis of Minerals
4. Results
4.1. Zircon U–Pb Age
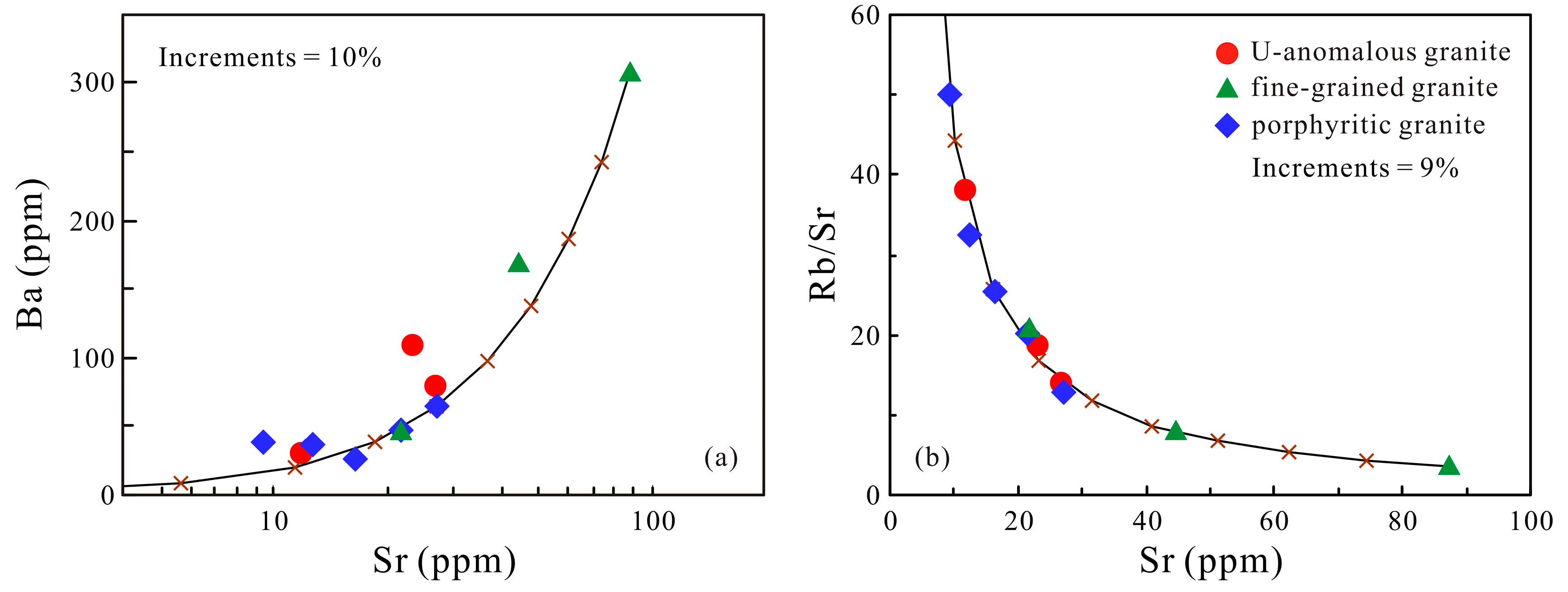
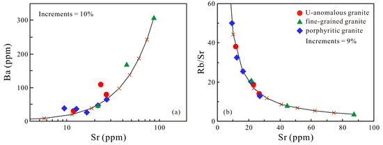
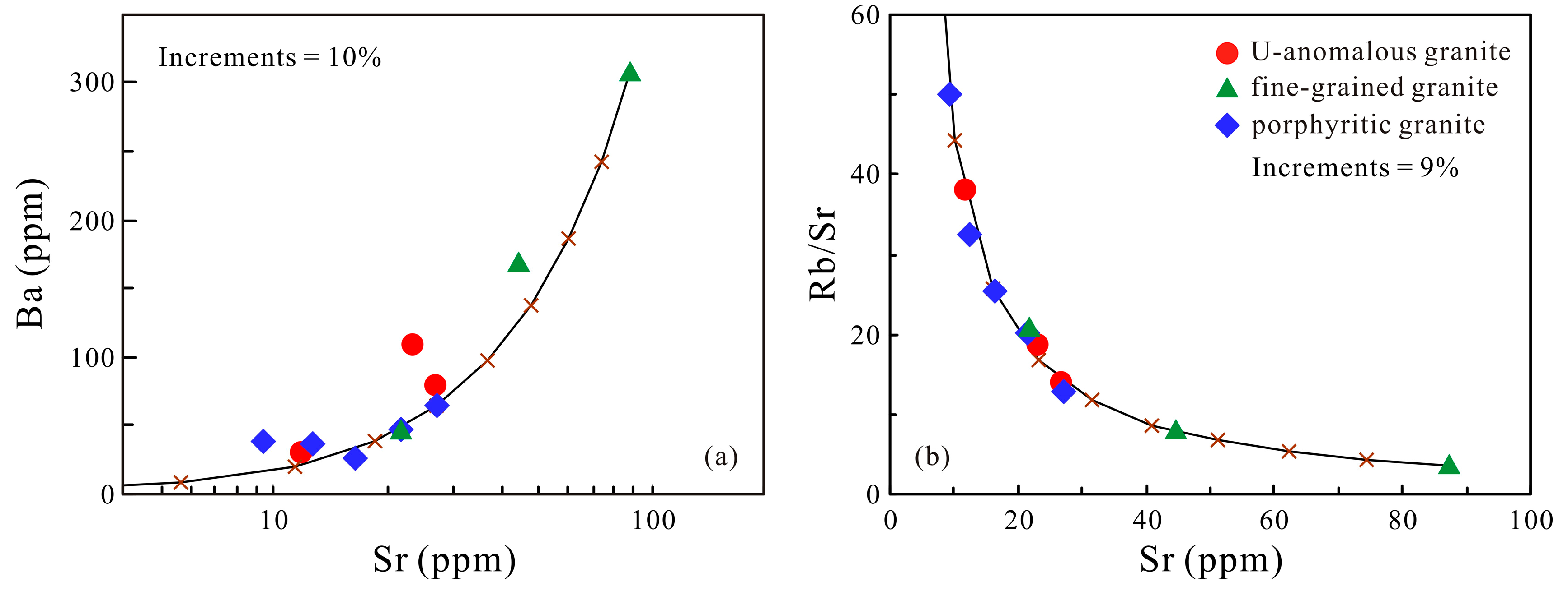
4.2. Whole-Rock Major and Trace Element Composition

4.3. Zircon Hf isotopic Composition
4.4. Chemical Compositions of Uraninite and Brannerite
5. Discussion
5.1. Magma Source of the Granite
5.2. Magmatic Origin of Uraninite
5.3. Hydrothermal Formation of Brannerite
6. Conclusions
Author Contributions
Funding
Data Availability Statement
Acknowledgments
Conflicts of Interest
References
- Luo, J.C.; Hu, R.Z.; Fayek, M.; Li, C.S.; Bi, X.W.; Abdu, Y.; Chen, Y.W. In-situ SIMS uraninite U–Pb dating and genesis of the Xianshi granite-hosted uranium deposit, South China. Ore Geol. Rev. 2015, 65, 968–978. [Google Scholar] [CrossRef]
- Bonnetti, C.; Liu, X.; Mercadier, J.; Cuney, M.; Deloule, E.; Villeneuve, J.; Liu, W. The genesis of granite-related hydrothermal uranium deposits in the Xiazhuang and Zhuguang ore fields, North Guangdong Province, SE China: Insights from mineralogical, trace elements and U-Pb isotopes signatures of the U mineralisation. Ore Geol. Rev. 2018, 92, 588–612. [Google Scholar] [CrossRef]
- Zhang, L.; Chen, Z.; Li, X.; Li, S.; Santosh, M.; Huang, G. Zircon U-Pb geochronology and geochemistry of granites in the Zhuguangshan complex, South China: Implications for uranium mineralization. Lithos 2018, 308–309, 19–33. [Google Scholar] [CrossRef]
- Chen, Y.W.; Hu, R.Z.; Luo, J.C.; Dong, S.H. In-situ mineral chemistry and chronology analyses of the pitchblende in the Shazijiang uranium deposit and their implications for mineralization. Acta Petrol. Sin. 2019, 35, 2679–2694, (In Chinese with English abstract). [Google Scholar]
- Hu, R.Z.; Luo, J.C.; Chen, Y.W.; Pan, L.C. Several progresses in the study of uranium deposits in South China. Acta Petrol. Sin. 2019, 35, 2625–2636, (In Chinese with English abstract). [Google Scholar]
- Zhong, F.; Yan, J.; Wang, K.; Pan, J.; Xia, F.; Liu, G.; Liu, W. Mineralogy and geochemistry of pitchblende in the Changjiang U ore field, Guangdong Province, South China: Implications for its mineralization. Geochem. J. 2022, 56, 74–95. [Google Scholar] [CrossRef]
- Zhang, L.; Wang, F.; Zhou, T.; Chen, Z.; Du, X.; Zhang, S. The origin of uranium deposits related to the Huangmeijian A-type granite from the Lu-Zong volcanic basin, South China: Constraints from zircon U-Pb geochronology and mineral chemistry. Ore Geol. Rev. 2022, 141, 104665. [Google Scholar] [CrossRef]
- Zhang, B.T.; Chen, P.R.; Kong, X.G. Geochemical evidence for contribution of ore-forming material to the No. 6710uranium orefield by the Baimianshi peraluminous granite basement, southern Jiangxi Province. Geochimica 2003, 32, 201–207, (In Chinese with English abstract). [Google Scholar]
- Lin, J.R.; Cai, G.Q.; Liu, J.Q. Research on cataclastic-alteration granite-type uranium deposit in Mingyuefeng area. Uranium Geol. 1998, 14, 265–273, (In Chinese with English abstract). [Google Scholar]
- Jiang, Y.H.; Jiang, S.Y.; Ling, H.F. Mantle-derived fluids and uranium mineralization. Earth Sci. Front. (China Univ. Geosci. Beijing) 2004, 11, 491–499, (In Chinese with English abstract). [Google Scholar]
- Li, Z.Y.; Qin, M.K.; Fan, H.H.; Cai, Y.Q.; Cheng, J.X.; Guo, D.F. Main Progresses of Uranium Geology and Exploration Techniques for the Past Decade in China. Bull. Mineral. Petrol. Geochem. 2021, 40, 845–857, (In Chinese with English abstract). [Google Scholar]
- Ling, H.F. Origin of Hydrothermal Fluids of Granite-type Uranium DepositsConstraints from Redox Conditions. Geol. Rev. 2011, 57, 193–206, (In Chinese with English abstract). [Google Scholar]
- Hu, H.; Wang, R.C.; Chen, W.F.; Chen, P.R.; Ling, H.F.; Liu, G.L. Timing of hydrothermal activity associated with the Douzhashan uranium-bearing granite and its significance for uranium mineralization in northeastern Guangxi, China. Chin. Sci. Bull. 2013, 58, 4319–4328. [Google Scholar] [CrossRef]
- Zhang, L.; Sun, L.Q.; Chen, W.F.; Fu, S.C.; Fu, H.N.; Gao, S.; Wei, W.F.; Shen, W.Z.; Ling, H.F. Study on Chlorites and Uranium-source Minerals of Uraniumore-bearing Changjiang Granite in Southern Zhuguang Composite. Geol. J. China Univ. 2018, 24, 13–32, (In Chinese with English abstract). [Google Scholar]
- Friedrich, M.; Cuney, M.; Poty, B. Uranium geochemistry in peraluminous leucogranites. Uranium 1987, 3, 353–385. [Google Scholar]
- Leroy, J.L.; George-Aniel, B. Volcanism and uranium mineralizations: The concept of source rock and concentration mechanism. J. Volcanol. Geotherm. Res. 1992, 50, 247–272. [Google Scholar] [CrossRef]
- Chabiron, A.; Cuney, M.; Poty, B. Possible uranium sources for the largest uranium district associated with volcanism: The Streltsovka caldera (Transbaikalia, Russia). Miner. Depos. 2003, 38, 127–140. [Google Scholar] [CrossRef]
- Cuney, M. Geologic environment, mineralogy, and fluid inclusions of the Bois Noirs-Limouzat uranium vein, Forez, France. Econ. Geol. 1978, 73, 1567–1610. [Google Scholar] [CrossRef]
- Cuney, M. Preliminary results on the petrology and fluid inclusions of the Rössing uraniferous alaskites. Trans. Geol. Soc. South Afr. 1980, 83, 39–45. [Google Scholar]
- Cuney, M.; Friedrich, M.; Blumenfeld, P.; Bourguignon, A.; Boiron, M.C.; Vigneresse, J.L.; Poty, B. Metallogenesis in the French part of the Variscan orogen. Part I: U preconcentrations in the pre-Variscan and Variscan formations—A comparison with Sn, W and Au. Tectonophysics 1990, 177, 39–57. [Google Scholar] [CrossRef]
- Cuney, M. The extreme diversity of uranium deposits. Min. Depos. 2009, 44, 3–9. [Google Scholar] [CrossRef]
- Cuney, M. Evolution of uranium fractionation processes through time: Driving the secular variation of uranium deposit types. Econ. Geol. 2010, 105, 449–465. [Google Scholar] [CrossRef]
- Cuney, M. Felsic magmatism and uranium deposits. Bull. De La Société Géologique De Fr. 2014, 185, 75–92. [Google Scholar] [CrossRef]
- Liu, Y.; Li, W.; Ma, Y.; Feng, Z.; Guan, Q.; Li, S.; Chen, Z.; Liang, C.; Wen, Q. An orocline in the eastern Central Asian Orogenic Belt. Earth-Sci. Rev. 2021, 221, 10380. [Google Scholar] [CrossRef]
- Yang, W.-B.; Niu, H.-C.; Cheng, L.-R.; Shan, Q.; Li, N.-B. Geochronology, geochemistry and geodynamic implications of the Late Mesozoic volcanic rocks in the southern Great Xing’an Mountains, NE China. J. Asian Earth Sci. 2015, 113, 454–470. [Google Scholar] [CrossRef]
- Jiang, S.H.; Nie, F.J.; Liu, Y.F.; Hou, W.R.; Bai, D.M.; Liu, Y.; Liang, Q.L. Geochronology of Intrusive Rocks Occurring in and Aroundthe Mengentaolegai Silver-Polymetallic Deposit, Inner Mongolia. J. Jilin Univ. (Earth Sci. Ed.) 2011, 41, 1755–1769, (In Chinese with English abstract). [Google Scholar]
- Zhang, J.-H.; Gao, S.; Ge, W.-C.; Wu, F.-Y.; Yang, J.-H.; Wilde, S.A.; Li, M. Geochronology of the Mesozoic volcanic rocks in the Great Xing’an Range, northeastern China: Implications for subduction-induced delamination. Chem. Geol. 2010, 276, 144–165. [Google Scholar] [CrossRef]
- Tang, Z.-Y.; Li, J.; Li, Q.-Y.; Sun, D.-Y.; Gou, J.; Deng, C.-Z. Spatio-and temporal patterns of Jurassic–Early Cretaceous volcanism in the Great Xing’an range, NE China: Constraints on the geodynamic evolution. Int. Geol. Rev. 2023, 65, 1977–1998. [Google Scholar] [CrossRef]
- Xu, H.; Xu, B. Sm-Nd, Rb-Sr isotopic geochronology of the Xilin Gol complex, Inner Mongolia, China. Geol. Rev. 1997, 43, 101–105, (In Chinese with English abstract). [Google Scholar]
- Sun, L.X.; Zhang, Y.; Li, Y.F.; Xu, F.; Ren, B.F. Zircon U-Pb age and geochemistry of the Mesoproterozoic gneissi granite from Abaga Banner, Inner Mongolia and its tectonic significances. Acta Petrol. Sin. 2020, 36, 781–798, (In Chinese with English abstract). [Google Scholar]
- Zhou, W.X.; Ge, M.C. Redefinition and significance of metamorphism Xilinhot Group in Xilinhot area, Inner Mongolia, China. Earth Sci.-J. China Univ. Geosci. 2013, 38, 715–724, (In Chinese with English abstract). [Google Scholar]
- Qian, C.; Chen, H.J.; Lu, L.; Pang, X.J.; Qin, T.; Wang, Y. The discovery of Neoarchean granite in Longjiang area, Heilongjiang Province. Acta Geosci. Sin. 2018, 39, 27–36, (In Chinese with English abstract). [Google Scholar]
- Wu, X.W.; Zhang, C.; Zhang, Y.J.; Guo, W.; Cui, T.R.; Yang, Y.J.; Hu, J.F.; Song, W.B. 2.7 Ga Monzogranite on the Songnen massif and its geological implications. Acta Geol. Sin. (Engl. Ed.) 2018, 92, 801–802. [Google Scholar] [CrossRef]
- Cheng, Z.X.; Wang, Y.; Qian, C.; Yang, X.P.; Li, Z.H.; Liu, H.W.; Xiao, L. The discovery of the Paleoproterozoic metamorphic rocks in Ulanhot, Inner Mongolia, and its geological significance. Geol. Bull. China 2018, 37, 1599–1606, (In Chinese with English abstract). [Google Scholar]
- Zhang, C.; Wu, X.W.; Liu, Z.H.; Zhang, Y.J.; Guo, W.; Quan, J.Y. Precambrian geological events on the western margin of Songnen Massif: Evidence from LA-ICP-MS U-Pb geochronology of zircons from Paleoproterozoic granite in the Longjiang area. Acta Petrol. Sin. 2018, 34, 3137–3152, (In Chinese with English abstract). [Google Scholar]
- Wu, F.Y.; Sun, D.Y.; Li, H.M.; Wang, X.L. Zircon U-Pb ages of the basement rocks beneath the Songliao Basin, NE China. Chin. Sci. Bull. 2000, 45, 1514–1518. [Google Scholar] [CrossRef]
- Duan, M.; Zhang, Q.; Wang, G.M.; Hu, P.; Xie, Y.; Cheng, Y.H.; Wang, T.H. Prospecting progress and prognosis of uranium deposits in Ulanhada area, Daxinganling. North China Geology 2021, 44, 58–66, (In Chinese with English abstract). [Google Scholar]
- Sláma, J.; Kosler, J.; Condon, D.J.; Crowley, J.L.; Gerdes, A.; Hanchar, J.M.; Horstwood, M.S.A.; Morris, G.A.; Nasdala, L.; Norberg, N.; et al. Plešovice zircon—A new natural reference material for U–Pb and Hf isotopic microanalysis. Chem. Geol. 2008, 249, 1–35. [Google Scholar] [CrossRef]
- Tian, L.; Sun, D.; Gou, J.; Jiang, S.; Feng, Z.; Zhang, D.; Hao, Y. Petrogenesis of the Newly Discovered Early Cretaceous Peralkaline Granitic Dikes in Baerzhe Area of Jarud Banner, Inner Mongolia: Implications for Deciphering Magma Evolution. Minerals 2022, 12, 1532. [Google Scholar] [CrossRef]
- Wu, B.; Bonnetti, C.; Liu, Y.; Zhang, Z.-S.; Guo, G.-L.; Li, G.-L.; Hu, Y.-Q.; Yan, Z.-Y. Uraninite from theGuangshigou Pegmatite-Type Uranium Deposit in the North Qinling Orogen, Central China: Its Occurrence, Alteration and Implications for Post-Caledonian Uranium Circulation. Minerals 2021, 11, 729. [Google Scholar] [CrossRef]
- Guo, G.L.; Pan, J.Y.; Liu, C.D.; Guo, F.S. Chemical dating technique on the electron-probe microanalysis and its application on earth science. J. East China Inst. Technol. 2005, 28, 39–42. (In Chinese) [Google Scholar]
- Bowles, J.F.W. Age dating of individual grains of uraninite in rocks from electron microprobe analysis. Chem. Geol. 1990, 83, 47–53. [Google Scholar] [CrossRef]
- Pommier, A.; Cocherie, A.; Legendre, O. EPMA dating: A program for age calculation from electron microprobe measurements of U-Th-Pb. In Proceedings of the EGS-AGU-EUG Joint Assembly, Nice, France, 6–11 April 2003. abstract id. 9054. [Google Scholar]
- King, P.L.; Chappell, B.W.; Allen, C.M.; White, A.J.R. Are A-type granites the high-temperature felsic granites? Evidence from fractionated granites of the Wangrah Suite. Aust. J. Earth Sci. 2001, 48, 501–514. [Google Scholar] [CrossRef]
- Wu, F.Y.; Liu, X.C.; Ji, W.Q.; Wang, J.M.; Yang, L. Highly fractionated granites: Recognition and research. Sci. China Earth Sci. 2017, 60, 1201–1219. [Google Scholar] [CrossRef]
- Debon, F.; Le Fort, P. A chemical-mineralogical classification of common plutonic rocks and associations. Trans. R. Soc. Edinb. Earth Sci. 1983, 73, 135–149. [Google Scholar] [CrossRef]
- Villaseca, C.; Barbero, L.; Herreros, V. A re-examination of the typology of peraluminous granite types in intracontinental orogenic belts. Trans. R. Soc. Edinb. Earth Sci. 1998, 89, 113–119. [Google Scholar] [CrossRef]
- Alexandre, P. Mineralogy and geochemistry of the sodium metasomatism-related uranium occurrence of Aricheng South, Guyana. Miner. Depos. 2010, 45, 351–367. [Google Scholar] [CrossRef]
- Blevin, P. Metallogeny of granitic rocks, The Ishihara Symposium. Granites Assoc. Metallog. 2003, 14, 5–8. [Google Scholar]
- Ballouard, C.; Poujol, M.; Boulvais, P.; Branquet, Y.; Tartèse, R.; Vigneresse, J.-L. Is the Nb-Ta Fractionation a Marker of an Interaction with Fluids in Peraluminous Granites? In Proceedings of the SGA2015: 13th Biennial Meeting, Nancy, France, 24–27 August 2015; pp. 675–678. [Google Scholar]
- El Bouseily, A.M.; El Sokkary, A.A. The relation between Rb, Ba and Sr in granitic rocks. Chem. Geol. 1975, 16, 207–219. [Google Scholar] [CrossRef]
- Whalen, J.B.; Currie, K.L.; Chappell, B.W. A-type granites: Geochemical characteristics, discrimination and petrogenesis. Contrib. Mineral. Petrol. 1987, 95, 407–419. [Google Scholar] [CrossRef]
- Boynton, W.V. Cosmochemistry of the Rare Earth Elements: Meteorite Studies. In Rare Earth Element Geochemistry; Henderson, P., Ed.; Elsevier: Amsterdam, The Netherlands, 1984; pp. 63–114. [Google Scholar]
- Sun, S.S.; McDonough, W.F. Chemical and isotopic systematics of oceanic basalts: Implications for mantle composition and processes. Geol. Soc. Lond. Spec. Publ. 1989, 42, 313–345. [Google Scholar] [CrossRef]
- Shanyengana, S.H.; Fan, H.; Xue, C.; Shanyengana, E.S.; Mapani, B.; Shilongo, E.; Chen, J. An example of uraniferous leucogranites in the Rössing South-West deposit, Namibia. J. Afr. Earth Sci. 2020, 162, 103698. [Google Scholar] [CrossRef]
- Sun, F.T.; Liu, C.; Qiu, D.M.; Lu, Q.; He, Y.P.; Zhang, M.J. Petrogenesis and geodynamic significance of intermediate-basic intrusive rocks in Xiaokuile River, eastern slope of the Great Xing’an Range: Evidences of zircon U-Pb geochronology, elements and Hf isotope geochemistry. J. Jilin Univ. (Earth Sci. Ed.) 2018, 48, 145–164, (In Chinese with English abstract). [Google Scholar]
- Zhang, Y.; Pei, F.-P.; Wang, Z.-W.; Xu, W.-L.; Li, Y.; Wang, F.; Zhou, Z.-B. Late Paleozoic tectonic evolution of the central Great Xing’an Range, northeast China: Geochronological and geochemical evidence from igneous rocks. Geol. J. 2018, 53, 282–303. [Google Scholar] [CrossRef]
- Zhang, C.; Quan, J.-Y.; Zhanga, Y.-J.; Liu, Z.-H.; Li, W.; Wang, Y.; Qian, C.; Zhang, L.; Ge, J.-T. Late Mesozoic tectonic evolution of the southern Great Xing’an Range, NE China: Evidence from whole-rock geochemistry, and zircon U–Pb ages and Hf isotopes from volcanic rocks. Lithos 2020, 362–363, 105409. [Google Scholar] [CrossRef]
- Ji, Z.; Ge, W.-C.; Wang, Q.-H.; Yang, H.; Zhao, G.-C.; Bi, J.-H.; Dong, Y. Petrogenesis of Early Cretaceous volcanic rocks of the Manketouebo Formation in the Wuchagou region, central Great Xing’an Range, NE China, and tectonic implications: Geochronological, geochemical, and Hf isotopic evidence. Int. Geol. Rev. 2016, 58, 556–573. [Google Scholar] [CrossRef]
- Song, W.M.; Du, J.Y.; Na, F.C.; Pang, X.J.; Yang, J.L.; Liu, Y.C.; Sun, W.; Tao, N.; Ge, J.T. Zircon U-Pb dating and petrogenesis of Early Cretaceous alkaline rhyolites in Tuquan Basin of middle Da Hinggan Mountains. Geol. Bull. China 2019, 38, 619–631, (In Chinese with English abstract). [Google Scholar]
- Wu, Q.; Yang, W.H.; He, Z.H.; Yang, D.M.; Ma, R.; Wang, J.G. Petrogenesis and tectonic setting of granite porphyry in Keyouzhongqi area, Inner Mongolia. Glob. Geol. 2014, 17, 24–33. [Google Scholar]
- Wan, L.; Liu, Z.H.; Li, G.; Xin, H.T. Zircon U-Pb dating, geochemistry and their significance of the Early Cretaceous Chaoyanggou granites in Linxi, Inner Mongolia. Geol. Resour. 2016, 25, 1–10, (In Chinese with English abstract). [Google Scholar]
- Tan, H.Y.; He, Z.H.; Chen, F.; Du, Y.D.; Ren, Z.H. Zircon U-Pb ages and geochemical characteristics of volcanic rocks in Baiyingaolao Formation of Suolun area within central Da Hinggan Mountains and their tectonic implications. Geol. Bull. China 2017, 36, 893–908, (In Chinese with English abstract). [Google Scholar]
- Gao, L.F.; He, Z.H.; Sui, Z.M.; Lu, K.J.; Liu, F.Y. Chronology and geochemistry of volcanic rocks from Manketouebo Formation in the Suolun area, central Da Hinggan Mountains and their tectonic implications. Geol. Bull. China 2018, 37, 881–894, (In Chinese with English abstract). [Google Scholar]
- Dong, Y.; Ge, W.; Yang, H.; Zhao, G.; Wang, Q.; Zhang, Y.; Su, L. Geochronology and geochemistry of Early Cretaceous volcanic rocks from the Baiyingaolao Formation in the central Great Xing’an Range, NE China, and its tectonic implications. Lithos 2014, 205, 168–184. [Google Scholar] [CrossRef]
- Xu, C.; Sun, F.; Fan, X.; Huo, L.; Yang, D.; Sun, Y.; Zhang, Y.; Wu, D.; Yu, L.; Bakht, S. The Early Cretaceous tectonic evolution of the southern Great Xing’an Range, northeastern China: New constraints fromA2-type granite and monzodiorite. Can. J. Earth Sci. 2022, 59, 135–155. [Google Scholar] [CrossRef]
- Tian, L.; Sun, D.; Gou, J.; He, Z.; Zhang, D. Petrogenesis and tectonic significance of the Early Cretaceous Xizhelimu diorite in Keyouzhongqi, Inner Mongolia, China. Can. J. Earth Sci. 2023, 60, 1428–1442. [Google Scholar] [CrossRef]
- Ersoy, Y.; Helvacı, C. FC–AFC–FCA and mixing modeler: A Microsofts Excel spreadsheet program for modeling geochemical differentiation of magma by crystal fractionation, crustal assimilation and mixing. Comput. Geosci. 2010, 36, 383–390. [Google Scholar] [CrossRef]
- Alexandre, P.; Kyser, T.K. Effects of cationic substitutions and alteration in uraninite, and implications for the dating of uranium deposits. Can. Mineral. 2005, 43, 1005–1017. [Google Scholar] [CrossRef]
- Alexandre, P.; Kyser, K.; Layton-Matthews, D.; Joy, B. Chemical compositions of natural uraninite. Can. Mineral. 2015, 53, 595–622. [Google Scholar] [CrossRef]
- Guo, G.; Bonnetti, C.; Zhang, Z.; Li, G.; Yan, Z.; Wu, J.; Wu, Y.; Liu, X.; Wu, B. SIMS U-Pb Dating of Uraninite from the Guangshigou Uranium Deposit: Constraints on the Paleozoic Pegmatite-Type Uranium Mineralization in North Qinling Orogen, China. Minerals 2021, 11, 402. [Google Scholar] [CrossRef]
- Xu, Z.; Yin, M.; Chen, Y.; Xiang, L.; Song, H.; Zhang, C.; Yao, J.; Guo, H. Genesis of Megacrystalline Uraninite: A Case Study of the Haita Area of the Western Margin of the Yangtze Block, China. Minerals 2021, 11, 1173. [Google Scholar] [CrossRef]
- Frimmel, H.E.; Schedel, S.; Brätz, H. Uraninite chemistry as forensic tool for provenance analysis. Appl. Geochem. 2014, 48, 104–121. [Google Scholar] [CrossRef]
- Yuan, F.; Jiang, S.-Y.; Liu, J.; Zhang, S.; Xiao, Z.; Liu, G.; Hu, X. Geochronology and Geochemistry of Uraninite and Conite: Insights into Ore-Forming Process in the Pegmatite-Hosted Uraniferous Province, North Qinling, Central China. Minerals 2019, 9, 552. [Google Scholar] [CrossRef]
- Mercadier, J.; Cuney, M.; Lach, P.; Boiron, M.-C.; Bonhoure, J.; Richard, A.; Leisen, M.; Kister, P. Origin of uranium deposits revealed by their rare earth element signature. Terra Nova 2011, 23, 264–269. [Google Scholar] [CrossRef]
- Anders, E.; Grevesse, N. Abundances of the elements: Meteoritic and solar. Geochim. Et Cosmochim. Acta 1989, 53, 197–214. [Google Scholar] [CrossRef]
- Macmillan, E.; Cook, N.J.; Ehrig, K.; Pring, A. Chemical and textural interpretation of late-stage coffinite and brannerite from the Olympic Dam IOCG-Ag-U deposit. Mineral. Mag. 2017, 81, 1323–1366. [Google Scholar] [CrossRef]
- Guimarães, F.S.; de Freitas, M.E.; Rios, F.J.; Pedrosa, T.A. Mineralogical characterization and origin of uranium mineralization in Witwatersrand-like metaconglomerate of the Moeda Formation, Quadrilátero Ferrífero, Brazil. Ore Geol. Rev. 2019, 106, 423–445. [Google Scholar] [CrossRef]
- Wu, Y.Q.; Wang, S.C.; Ding, Y.; Wang, Q.; Wang, W.Z.; Yu, H.L. Uranium metallogenic characteristics and metallogenic prediction in the area of Wulanhada-Chuludaban, Inner Mongolia. Prog. Rep. China Nucl. Sci. Technol. 2019, 6, 22–29, (In Chinese with English abstract). [Google Scholar]









| Sample No. | Th | U | Isotopic Ratios | Age (Ma) | ||||||||||||||
|---|---|---|---|---|---|---|---|---|---|---|---|---|---|---|---|---|---|---|
| 207Pb/206Pb | 207Pb/235U | 206Pb/238U | 208Pb/232Th | 207Pb/206Pb | 207Pb/235U | 206Pb/238U | 208Pb/232Th | |||||||||||
| Ratio | 1σ | Ratio | 1σ | Ratio | 1σ | Ratio | 1σ | Age | 1σ | Age | 1σ | Age | 1σ | Age | 1σ | |||
| 20S59-1-01 | 882 | 1650 | 0.05911 | 0.00170 | 0.17326 | 0.00516 | 0.02126 | 0.00048 | 0.00478 | 0.00011 | 571.3 | 61.4 | 162.2 | 4.5 | 135.6 | 3.0 | 96.4 | 2.2 |
| 20S59-1-02 | 719 | 1845 | 0.05120 | 0.00159 | 0.15050 | 0.00480 | 0.02132 | 0.00048 | 0.00630 | 0.00015 | 249.9 | 69.7 | 142.4 | 4.2 | 136.0 | 3.0 | 127.0 | 3.1 |
| 20S59-1-03 | 1179 | 2299 | 0.06146 | 0.00192 | 0.18044 | 0.00578 | 0.02129 | 0.00048 | 0.00633 | 0.00015 | 655.3 | 65.5 | 168.4 | 5.0 | 135.8 | 3.1 | 127.5 | 3.0 |
| 20S59-1-04 | 1113 | 2060 | 0.05697 | 0.00184 | 0.16696 | 0.00553 | 0.02125 | 0.00048 | 0.00680 | 0.00016 | 489.9 | 70.3 | 156.8 | 4.8 | 135.6 | 3.1 | 136.9 | 3.2 |
| 20S59-1-05 | 890 | 2398 | 0.06164 | 0.00161 | 0.18137 | 0.00497 | 0.02134 | 0.00048 | 0.00868 | 0.00019 | 661.6 | 54.9 | 169.2 | 4.3 | 136.1 | 3.0 | 174.7 | 3.8 |
| 20S59-1-06 | 1501 | 2842 | 0.05222 | 0.00139 | 0.15413 | 0.00439 | 0.02141 | 0.00049 | 0.00572 | 0.00012 | 294.9 | 59.6 | 145.6 | 3.9 | 136.5 | 3.1 | 115.3 | 2.4 |
| 20S59-1-07 | 1056 | 2297 | 0.05320 | 0.00337 | 0.15279 | 0.00896 | 0.02083 | 0.00050 | 0.00653 | 0.00014 | 337.0 | 148.0 | 144.0 | 8.0 | 133.0 | 3.0 | 131.0 | 3.0 |
| 20S59-1-08 | 1008 | 3401 | 0.05052 | 0.00143 | 0.14625 | 0.00437 | 0.02100 | 0.00048 | 0.00618 | 0.00014 | 218.8 | 64.0 | 138.6 | 3.9 | 133.9 | 3.1 | 124.4 | 2.7 |
| 20S59-1-09 | 1436 | 2909 | 0.05127 | 0.00144 | 0.14940 | 0.00445 | 0.02113 | 0.00049 | 0.00659 | 0.00014 | 252.9 | 63.5 | 141.4 | 3.9 | 134.8 | 3.1 | 132.8 | 2.8 |
| 20S59-1-10 | 913 | 2286 | 0.05022 | 0.00136 | 0.14952 | 0.00431 | 0.02159 | 0.00050 | 0.00622 | 0.00013 | 205.1 | 61.6 | 141.5 | 3.8 | 137.7 | 3.1 | 125.4 | 2.7 |
| 20S59-1-11 | 1224 | 3318 | 0.05378 | 0.00134 | 0.15805 | 0.00424 | 0.02132 | 0.00049 | 0.00644 | 0.00013 | 361.6 | 55.3 | 149.0 | 3.7 | 136.0 | 3.1 | 129.8 | 2.7 |
| 20S59-1-12 | 1026 | 5538 | 0.05021 | 0.00126 | 0.14717 | 0.00396 | 0.02126 | 0.00048 | 0.00710 | 0.00016 | 204.7 | 57.1 | 139.4 | 3.5 | 135.6 | 3.1 | 142.9 | 3.2 |
| 20S59-1-13 | 932 | 4291 | 0.05088 | 0.00224 | 0.14815 | 0.00560 | 0.02112 | 0.00048 | 0.00665 | 0.00014 | 235.0 | 104.0 | 140.0 | 5.0 | 135.0 | 3.0 | 134.0 | 3.0 |
| 20S59-1-14 | 1245 | 2836 | 0.05207 | 0.00142 | 0.15373 | 0.00443 | 0.02141 | 0.00049 | 0.00674 | 0.00015 | 288.3 | 61.1 | 145.2 | 3.9 | 136.6 | 3.1 | 135.7 | 2.9 |
| 20S59-1-15 | 1537 | 2540 | 0.05965 | 0.00169 | 0.17439 | 0.00520 | 0.02120 | 0.00049 | 0.00661 | 0.00014 | 590.9 | 60.4 | 163.2 | 4.5 | 135.3 | 3.1 | 133.1 | 2.9 |
| 20S59-1-16 | 1133 | 2330 | 0.05059 | 0.00171 | 0.14723 | 0.00512 | 0.02111 | 0.00049 | 0.00651 | 0.00016 | 222.0 | 76.4 | 139.5 | 4.5 | 134.7 | 3.1 | 131.2 | 3.1 |
| 20S59-1-17 | 1381 | 2622 | 0.05944 | 0.00162 | 0.17658 | 0.00506 | 0.02155 | 0.00049 | 0.00627 | 0.00014 | 583.1 | 58.0 | 165.1 | 4.4 | 137.4 | 3.1 | 126.2 | 2.8 |
| 20S59-1-18 | 921 | 2232 | 0.05948 | 0.00152 | 0.17524 | 0.00477 | 0.02137 | 0.00048 | 0.00647 | 0.00014 | 584.9 | 54.6 | 164.0 | 4.1 | 136.3 | 3.1 | 130.4 | 2.8 |
| 20S59-1-19 | 1886 | 2743 | 0.05253 | 0.00167 | 0.15058 | 0.00494 | 0.02079 | 0.00048 | 0.00618 | 0.00014 | 308.6 | 70.6 | 142.4 | 4.4 | 132.6 | 3.0 | 124.6 | 2.8 |
| 20S59-1-20 | 745 | 2037 | 0.05345 | 0.00164 | 0.15846 | 0.00504 | 0.02150 | 0.00049 | 0.00480 | 0.00013 | 347.8 | 68.0 | 149.4 | 4.4 | 137.1 | 3.1 | 96.7 | 2.5 |
| 23S02-01 | 1674 | 1782 | 0.14211 | 0.02144 | 0.41800 | 0.06057 | 0.02133 | 0.00089 | 0.00601 | 0.00020 | 2253 | 276 | 355 | 43 | 136 | 6 | 121 | 4 |
| 23S02-02 | 3031 | 2643 | 0.08593 | 0.00945 | 0.24978 | 0.02643 | 0.02108 | 0.00063 | 0.00626 | 0.00016 | 1337 | 222 | 226 | 21 | 134 | 4 | 126 | 3 |
| 23S02-03 | 394 | 1199 | 0.11033 | 0.00447 | 0.32403 | 0.01296 | 0.02133 | 0.00054 | 0.02862 | 0.00086 | 1805 | 38 | 285 | 10 | 136 | 3 | 570 | 17 |
| 23S02-04 | 1880 | 2330 | 0.14431 | 0.00474 | 0.42562 | 0.01396 | 0.02141 | 0.00052 | 0.00642 | 0.00015 | 2280 | 27 | 360 | 10 | 137 | 3 | 129 | 3 |
| 23S02-05 | 592 | 2076 | 0.05055 | 0.00209 | 0.14737 | 0.00614 | 0.02116 | 0.00050 | 0.00611 | 0.00023 | 220 | 54 | 140 | 5 | 135 | 3 | 123 | 5 |
| 23S02-06 | 1595 | 2035 | 0.12579 | 0.00292 | 0.36863 | 0.00909 | 0.02126 | 0.00048 | 0.00625 | 0.00012 | 2040 | 41 | 319 | 7 | 136 | 3 | 126 | 2 |
| 23S02-07 | 3126 | 2398 | 0.12718 | 0.01468 | 0.37663 | 0.04159 | 0.02148 | 0.00072 | 0.00612 | 0.00019 | 2059 | 212 | 325 | 31 | 137 | 5 | 123 | 4 |
| 23S02-08 | 3899 | 2475 | 0.04605 | 0.00286 | 0.13060 | 0.00756 | 0.02057 | 0.00047 | 0.00932 | 0.00036 | 136 | 125 | 7 | 131 | 3 | 188 | 7 | |
| 23S02-09 | 352 | 1686 | 0.04962 | 0.00299 | 0.14388 | 0.00800 | 0.02103 | 0.00049 | 0.00664 | 0.00015 | 177 | 138 | 136 | 7 | 134 | 3 | 134 | 3 |
| 23S02-10 | 2076 | 1915 | 0.14316 | 0.01190 | 0.42997 | 0.03337 | 0.02178 | 0.00065 | 0.00614 | 0.00017 | 2266 | 148 | 363 | 24 | 139 | 4 | 124 | 3 |
| 23S02-11 | 2131 | 2098 | 0.15201 | 0.00971 | 0.45678 | 0.02634 | 0.02179 | 0.00060 | 0.00610 | 0.00016 | 2369 | 112 | 382 | 18 | 139 | 4 | 123 | 3 |
| 23S02-12 | 3699 | 2608 | 0.13594 | 0.01163 | 0.40021 | 0.03210 | 0.02135 | 0.00063 | 0.00604 | 0.00016 | 2176 | 154 | 342 | 23 | 136 | 4 | 122 | 3 |
| 23S02-13 | 1237 | 2148 | 0.08553 | 0.00605 | 0.25662 | 0.01695 | 0.02176 | 0.00055 | 0.00646 | 0.00015 | 1328 | 141 | 232 | 14 | 139 | 3 | 130 | 3 |
| 23S02-14 | 1208 | 2164 | 0.09160 | 0.00679 | 0.26925 | 0.01870 | 0.02132 | 0.00055 | 0.00628 | 0.00017 | 1459 | 145 | 242 | 15 | 136 | 3 | 127 | 3 |
| 23S02-15 | 2442 | 2765 | 0.04605 | 0.00353 | 0.13067 | 0.00954 | 0.02058 | 0.00048 | 0.00737 | 0.00045 | 170 | 125 | 9 | 131 | 3 | 148 | 9 | |
| Sample | 20S59-1 | 23S05 | 17S31-1 | 23S06 | 20S59-4 | 23S01 | 23S02 | 17S32-3 | 23S07 | 23S04 | 17S32-2 |
|---|---|---|---|---|---|---|---|---|---|---|---|
| Lithology | Porphyritic Granite | Fine-Grained Granite | Uranium-Anomalous Granite | ||||||||
| SiO2 | 75.55 | 74.69 | 74.52 | 76.94 | 74.84 | 74.64 | 75.79 | 76.98 | 76.19 | 76.05 | 74.64 |
| TiO2 | 0.06 | 0.07 | 0.06 | 0.07 | 0.06 | 0.13 | 0.16 | 0.09 | 0.08 | 0.07 | 0.08 |
| Al2O3 | 13.79 | 14.16 | 14.06 | 12.69 | 13.85 | 13.68 | 13.21 | 12.40 | 12.90 | 13.17 | 14.08 |
| TFe2O3 | 0.48 | 1.08 | 0.47 | 1.31 | 0.68 | 2.14 | 1.52 | 1.00 | 1.40 | 1.27 | 0.74 |
| MnO | 0.03 | 0.06 | 0.01 | 0.06 | 0.01 | 0.07 | 0.08 | 0.01 | 0.07 | 0.07 | 0.01 |
| MgO | 0.06 | 0.06 | 0.04 | 0.07 | 0.07 | 0.09 | 0.07 | 0.08 | 0.06 | 0.05 | 0.06 |
| CaO | 0.29 | 0.36 | 0.21 | 0.25 | 0.27 | 0.44 | 0.26 | 0.28 | 0.33 | 0.41 | 0.35 |
| Na2O | 4.23 | 3.81 | 4.56 | 3.39 | 4.15 | 3.80 | 3.48 | 3.37 | 3.42 | 3.65 | 4.26 |
| K2O | 4.78 | 5.10 | 5.19 | 4.51 | 5.11 | 4.42 | 4.93 | 5.02 | 5.21 | 4.77 | 4.90 |
| P2O5 | 0.01 | 0.01 | 0.01 | 0.01 | 0.02 | 0.02 | 0.01 | 0.01 | 0.01 | 0.01 | 0.02 |
| LOI | 0.58 | 0.28 | 0.43 | 0.27 | 0.56 | 0.35 | 0.13 | 0.52 | 0.24 | 0.28 | 0.62 |
| Total | 99.86 | 99.67 | 99.55 | 99.58 | 99.60 | 99.78 | 99.64 | 99.75 | 99.91 | 99.81 | 99.72 |
| A/CNK | 1.09 | 1.14 | 1.04 | 1.16 | 1.08 | 1.16 | 1.15 | 1.08 | 1.09 | 1.10 | 1.09 |
| A/NK | 1.14 | 1.20 | 1.07 | 1.21 | 1.12 | 1.24 | 1.19 | 1.13 | 1.15 | 1.18 | 1.14 |
| DI | 96.56 | 94.76 | 97.64 | 94.90 | 96.56 | 92.73 | 94.63 | 96.13 | 95.14 | 94.73 | 95.97 |
| La | 9.88 | 13.75 | 12.34 | 15.24 | 17.63 | 25.79 | 43.16 | 21.69 | 28.23 | 23.93 | 20.80 |
| Ce | 72.68 | 36.91 | 59.37 | 70.29 | 58.19 | 50.27 | 97.63 | 48.93 | 72.59 | 59.52 | 82.85 |
| Pr | 2.66 | 2.85 | 3.16 | 4.36 | 4.56 | 6.68 | 9.72 | 4.77 | 7.82 | 7.19 | 5.53 |
| Nd | 8.36 | 9.03 | 9.68 | 13.67 | 14.21 | 22.70 | 28.81 | 14.86 | 26.25 | 24.48 | 16.78 |
| Sm | 2.11 | 2.71 | 2.06 | 3.47 | 2.90 | 4.78 | 4.88 | 2.69 | 6.11 | 6.41 | 3.06 |
| Eu | 0.05 | 0.15 | 0.08 | 0.13 | 0.06 | 0.45 | 0.23 | 0.20 | 0.25 | 0.20 | 0.06 |
| Gd | 2.31 | 3.53 | 1.99 | 3.84 | 2.42 | 4.64 | 4.19 | 2.13 | 6.06 | 6.61 | 2.64 |
| Tb | 0.59 | 1.05 | 0.46 | 1.11 | 0.48 | 1.02 | 0.90 | 0.37 | 1.39 | 1.57 | 0.57 |
| Dy | 4.60 | 8.29 | 3.55 | 9.03 | 3.42 | 6.76 | 6.03 | 2.34 | 9.97 | 11.56 | 4.31 |
| Ho | 1.14 | 2.09 | 0.87 | 2.34 | 0.83 | 1.66 | 1.49 | 0.52 | 2.33 | 2.83 | 1.03 |
| Er | 4.12 | 7.45 | 3.16 | 8.73 | 2.95 | 5.60 | 5.09 | 1.77 | 8.08 | 9.95 | 3.68 |
| Tm | 0.77 | 1.46 | 0.59 | 1.79 | 0.55 | 1.11 | 1.05 | 0.32 | 1.57 | 1.97 | 0.70 |
| Yb | 5.48 | 10.53 | 4.29 | 13.21 | 3.84 | 7.57 | 7.44 | 2.20 | 11.25 | 14.38 | 5.04 |
| Lu | 0.82 | 1.66 | 0.65 | 2.07 | 0.58 | 1.22 | 1.21 | 0.34 | 1.71 | 2.25 | 0.76 |
| ∑REE | 115.56 | 101.47 | 102.26 | 149.27 | 112.62 | 140.24 | 211.82 | 103.14 | 183.62 | 172.84 | 147.81 |
| δEu | 0.06 | 0.15 | 0.12 | 0.11 | 0.07 | 0.29 | 0.15 | 0.24 | 0.12 | 0.09 | 0.06 |
| (La/Yb)N | 1.19 | 0.86 | 1.89 | 0.76 | 3.02 | 2.24 | 3.82 | 6.49 | 1.65 | 1.10 | 2.72 |
| Rb | 416.1 | 346.6 | 470.3 | 437.5 | 405.9 | 313.2 | 454.4 | 364.7 | 432.8 | 374.0 | 454.3 |
| Ba | 26.47 | 63.94 | 37.88 | 46.59 | 36.56 | 308.0 | 46.71 | 169.0 | 109.0 | 77.74 | 30.33 |
| Th | 41.81 | 47.34 | 39.08 | 44.63 | 39.81 | 47.91 | 63.73 | 32.74 | 47.51 | 48.87 | 56.80 |
| U | 4.49 | 5.84 | 7.51 | 2.60 | 8.00 | 8.00 | 6.10 | 3.32 | 20.71 | 38.98 | 68.52 |
| Nb | 40.59 | 31.40 | 31.96 | 33.14 | 35.31 | 13.20 | 59.55 | 9.68 | 39.57 | 37.02 | 48.05 |
| Ta | 7.71 | 8.34 | 6.02 | 8.02 | 7.42 | 4.09 | 18.38 | 1.96 | 12.48 | 11.37 | 10.73 |
| Sr | 16.38 | 26.99 | 9.40 | 21.57 | 12.54 | 87.25 | 21.70 | 44.54 | 23.21 | 26.95 | 11.94 |
| Zr | 143.0 | 153.5 | 124.1 | 144.8 | 144.3 | 95.94 | 87.29 | 60.45 | 162.3 | 148.3 | 168.2 |
| Hf | 8.50 | 8.07 | 7.15 | 7.59 | 7.89 | 3.29 | 4.38 | 2.62 | 8.14 | 7.05 | 9.23 |
| Y | 28.48 | 47.72 | 24.51 | 54.57 | 20.51 | 36.92 | 32.43 | 12.43 | 62.86 | 85.49 | 24.69 |
| Ga | 20.15 | 36.36 | 18.24 | 35.17 | 18.00 | 27.02 | 31.47 | 16.24 | 31.38 | 33.95 | 20.61 |
| 104Ga/Al | 2.76 | 4.85 | 2.45 | 5.23 | 2.46 | 3.73 | 4.50 | 2.48 | 4.60 | 4.87 | 2.77 |
| Th/U | 9.31 | 8.10 | 5.20 | 17.15 | 4.98 | 5.99 | 10.45 | 9.85 | 2.29 | 1.25 | 0.83 |
| Rb/Sr | 25.40 | 12.84 | 50.04 | 20.28 | 32.37 | 3.59 | 20.94 | 8.19 | 18.65 | 13.88 | 38.05 |
| K/Rb | 95.36 | 122.0 | 91.55 | 85.55 | 104.4 | 117.2 | 89.97 | 114.3 | 99.79 | 105.8 | 89.46 |
| Nb/Ta | 5.26 | 3.76 | 5.31 | 4.13 | 4.76 | 3.23 | 3.24 | 4.94 | 3.17 | 3.26 | 4.48 |
| Zr/Hf | 16.82 | 19.03 | 17.35 | 19.09 | 18.29 | 29.20 | 19.94 | 23.07 | 19.94 | 21.04 | 18.23 |
| Sample No. | t(Ma) | 176Yb/177Hf | 2σ | 176Lu/177Hf | 2σ | 176Hf/177Hf | 2σ | εHf(0) | εHf(t) | 2σ | TDM1 | TDM2 | fLu/Hf |
|---|---|---|---|---|---|---|---|---|---|---|---|---|---|
| 20S59-1-01 | 135.6 | 0.174459 | 0.001145 | 0.006068 | 0.000034 | 0.283074 | 0.000011 | 10.7 | 13.1 | 0.39 | 291 | 351 | −0.82 |
| 20S59-1-02 | 0.072271 | 0.000331 | 0.002710 | 0.000009 | 0.283082 | 0.000010 | 11.0 | 13.7 | 0.37 | 252 | 312 | −0.92 | |
| 20S59-1-03 | 0.087858 | 0.000193 | 0.003351 | 0.000006 | 0.283080 | 0.000010 | 10.9 | 13.6 | 0.35 | 260 | 321 | −0.90 | |
| 20S59-1-04 | 0.111146 | 0.000280 | 0.004311 | 0.000007 | 0.283059 | 0.000010 | 10.2 | 12.8 | 0.36 | 299 | 374 | −0.87 | |
| 20S59-1-05 | 0.082340 | 0.000174 | 0.003243 | 0.000009 | 0.283097 | 0.000011 | 11.5 | 14.2 | 0.37 | 234 | 283 | −0.90 | |
| 20S59-1-06 | 0.092442 | 0.000203 | 0.003712 | 0.000005 | 0.283093 | 0.000009 | 11.4 | 14.0 | 0.32 | 242 | 293 | −0.89 | |
| 20S59-1-07 | 0.105650 | 0.000838 | 0.004102 | 0.000026 | 0.283109 | 0.000014 | 11.9 | 14.5 | 0.48 | 220 | 259 | −0.88 | |
| 20S59-1-08 | 0.073396 | 0.000125 | 0.003028 | 0.000004 | 0.283055 | 0.000011 | 10.0 | 12.7 | 0.40 | 295 | 376 | −0.91 |
| UO2 | ThO2 | PbO | La2O3 | Ce2O3 | Pr2O3 | Nd2O3 | Sm2O3 | Gd2O3 | Dy2O3 | Ho2O3 | Er2O3 | Yb2O3 | Y2O3 | SiO2 | FeO | CaO | TiO2 | MgO | MnO | P2O5 | Al2O3 | Nb2O5 | Ta2O5 | ZrO2 | Total | Age | U/Th | |
|---|---|---|---|---|---|---|---|---|---|---|---|---|---|---|---|---|---|---|---|---|---|---|---|---|---|---|---|---|
| uraninite | 73.97 | 3.80 | 1.39 | - | 0.54 | - | 0.59 | 0.68 | 1.17 | 2.74 | 0.70 | 0.86 | 1.52 | 4.04 | 0.49 | - | 0.09 | - | - | 0.00 | 0.04 | - | 0.03 | - | - | 92.65 | 137.6 | 15.1 |
| 75.95 | 3.50 | 1.49 | 0.12 | 0.44 | - | 0.88 | 0.85 | 1.18 | 2.47 | 0.76 | 1.05 | 1.43 | 4.96 | 0.17 | 0.01 | 0.05 | - | 0.05 | - | - | - | 0.01 | - | 0.04 | 95.42 | 143.9 | 16.8 | |
| 75.11 | 3.90 | 1.26 | 0.02 | 0.38 | 0.17 | 0.81 | 0.87 | 0.92 | 2.62 | 0.78 | 1.15 | 1.40 | 4.21 | 0.56 | 0.02 | 0.05 | 0.03 | 0.03 | 0.02 | - | - | - | - | 0.04 | 94.33 | 123.1 | 14.9 | |
| 74.04 | 3.73 | 1.41 | 0.00 | 0.97 | 0.28 | 1.35 | 0.77 | 1.11 | 2.22 | 0.75 | 0.84 | 1.57 | 6.15 | 0.15 | - | 0.01 | - | - | 0.06 | 0.00 | - | - | - | 0.08 | 95.47 | 139.4 | 15.4 | |
| 71.16 | 3.65 | 1.35 | 0.11 | 1.00 | 0.13 | 1.13 | 0.57 | 0.92 | 2.01 | 0.61 | 0.95 | 1.34 | 5.79 | 0.39 | - | 0.09 | - | 0.01 | - | - | - | 0.02 | - | 0.01 | 91.62 | 139.0 | 15.1 | |
| 74.03 | 3.71 | 1.35 | - | 0.85 | - | 0.78 | 0.60 | 0.95 | 1.95 | 0.44 | 0.95 | 1.29 | 5.54 | 0.21 | - | - | - | - | 0.02 | 0.03 | - | - | - | - | 92.70 | 134.2 | 15.4 | |
| 75.67 | 3.72 | 1.48 | 0.01 | 0.82 | 0.13 | 0.91 | 0.68 | 1.15 | 2.48 | 0.72 | 1.12 | 1.68 | 5.75 | - | 0.04 | 0.01 | - | 0.02 | 0.01 | - | - | - | - | 0.01 | 96.40 | 143.5 | 15.7 | |
| 74.88 | 4.64 | 1.43 | 0.03 | 1.29 | 0.03 | 0.92 | 0.41 | 0.89 | 1.67 | 0.62 | 0.96 | 1.45 | 5.01 | 0.18 | - | 0.06 | - | - | 0.02 | 0.02 | - | - | - | - | 94.51 | 139.4 | 12.5 | |
| 74.47 | 5.08 | 1.26 | 0.09 | 1.29 | - | 1.08 | 0.76 | 0.88 | 2.02 | 0.76 | 0.77 | 1.25 | 5.81 | 0.96 | - | 0.13 | 0.00 | - | 0.01 | - | - | - | - | 0.02 | 96.61 | 123.1 | 11.4 | |
| 76.18 | 4.35 | 1.41 | - | 1.15 | 0.27 | 1.30 | 0.59 | 0.79 | 2.24 | 0.73 | 0.91 | 1.30 | 6.17 | - | 0.09 | 0.07 | - | - | 0.02 | - | - | 0.02 | - | 0.11 | 97.69 | 135.8 | 13.6 | |
| 79.97 | 3.90 | 1.59 | - | 0.24 | - | 0.41 | 0.45 | 0.59 | 2.01 | 0.30 | 0.97 | 1.59 | 4.91 | 0.21 | 0.06 | 0.05 | - | - | - | 0.01 | - | 0.03 | - | 0.11 | 97.38 | 146.0 | 15.9 | |
| 84.07 | 1.45 | 1.58 | 0.10 | 0.72 | 0.15 | 0.76 | 0.07 | 0.63 | 1.44 | 0.14 | 0.16 | 0.97 | 4.36 | 0.63 | - | 0.04 | - | 0.03 | 0.02 | 0.02 | - | 0.01 | - | 0.01 | 97.36 | 139.2 | 44.9 | |
| brannerite | 38.68 | 3.11 | 0.97 | - | 0.96 | 0.31 | 1.05 | 0.54 | 0.80 | 1.69 | 0.51 | 0.63 | 0.73 | 3.02 | 0.61 | 2.26 | 1.77 | 37.38 | 0.01 | 0.14 | 0.11 | 0.05 | 2.41 | 0.11 | 0.05 | 97.88 | 180.8 | |
| 39.86 | 3.41 | 0.66 | - | 1.15 | 0.13 | 1.28 | 0.61 | 0.62 | 1.35 | 0.41 | 0.45 | 0.84 | 3.25 | 0.02 | 2.89 | 1.60 | 38.55 | - | 0.12 | - | 0.02 | 1.17 | 0.12 | 0.03 | 98.52 | 119.7 | ||
| 62.19 | 0.43 | 0.72 | - | 0.25 | - | 0.13 | - | 0.07 | 0.16 | - | - | - | 0.11 | 0.72 | 0.78 | 2.38 | 16.82 | 0.13 | - | 2.48 | 1.91 | 1.85 | - | 0.06 | 91.70 | 86.5 | ||
| 57.01 | 1.22 | 1.09 | - | 0.26 | - | 0.08 | 0.15 | 0.04 | 0.22 | - | 0.04 | - | 0.19 | 1.13 | 1.64 | 2.44 | 19.79 | 0.08 | 0.04 | 2.37 | 1.64 | 2.35 | 0.22 | 0.06 | 92.18 | 141.0 | ||
| 61.04 | 0.73 | 0.53 | - | 0.39 | 0.11 | - | 0.04 | 0.04 | 0.10 | 0.06 | 0.05 | - | 0.03 | 0.98 | 0.98 | 2.79 | 15.55 | 0.19 | 0.03 | 2.58 | 1.98 | 0.75 | - | 0.03 | 89.50 | 64.4 | ||
| 38.38 | 2.32 | 0.49 | - | 0.95 | 0.06 | 1.05 | 0.51 | 0.70 | 1.39 | 0.25 | 0.37 | 0.55 | 3.56 | - | 3.76 | 2.52 | 37.39 | 0.03 | 0.09 | 0.04 | - | 1.45 | 0.00 | - | 95.85 | 92.8 | ||
| 43.18 | 2.89 | 0.85 | - | 1.11 | 0.08 | 1.07 | 0.64 | 0.79 | 1.34 | 0.39 | 0.45 | 0.63 | 2.50 | 1.01 | 2.19 | 1.26 | 34.17 | - | 0.14 | - | 0.08 | 1.51 | - | 0.01 | 96.29 | 143.3 |
Disclaimer/Publisher’s Note: The statements, opinions and data contained in all publications are solely those of the individual author(s) and contributor(s) and not of MDPI and/or the editor(s). MDPI and/or the editor(s) disclaim responsibility for any injury to people or property resulting from any ideas, methods, instructions or products referred to in the content. |
© 2024 by the authors. Licensee MDPI, Basel, Switzerland. This article is an open access article distributed under the terms and conditions of the Creative Commons Attribution (CC BY) license (https://creativecommons.org/licenses/by/4.0/).
Share and Cite
Sun, J.; Sun, D.; Gou, J.; Yang, D.; Wang, C.; Tian, L.; Zhang, D. Origin of the Kunduleng Granite and Its Associated Uranium Anomaly in the Southern Great Xing’an Range, NE China. Minerals 2024, 14, 666. https://doi.org/10.3390/min14070666
Sun J, Sun D, Gou J, Yang D, Wang C, Tian L, Zhang D. Origin of the Kunduleng Granite and Its Associated Uranium Anomaly in the Southern Great Xing’an Range, NE China. Minerals. 2024; 14(7):666. https://doi.org/10.3390/min14070666
Chicago/Turabian StyleSun, Jiaxing, Deyou Sun, Jun Gou, Dongguang Yang, Changdong Wang, Li Tian, and Duo Zhang. 2024. "Origin of the Kunduleng Granite and Its Associated Uranium Anomaly in the Southern Great Xing’an Range, NE China" Minerals 14, no. 7: 666. https://doi.org/10.3390/min14070666
APA StyleSun, J., Sun, D., Gou, J., Yang, D., Wang, C., Tian, L., & Zhang, D. (2024). Origin of the Kunduleng Granite and Its Associated Uranium Anomaly in the Southern Great Xing’an Range, NE China. Minerals, 14(7), 666. https://doi.org/10.3390/min14070666

