Lithofacies Characteristics of Continental Lacustrine Fine-Grained Sedimentary Rocks and Their Coupling Relationship with Sedimentary Environments: Insights from the Shahejie Formation, Dongying Sag
Abstract
1. Introduction
2. Geological Background
3. Methods
4. Results
4.1. Mineralogical Characterization
4.2. Geochemistry Characterization
4.3. Rock Type Classification
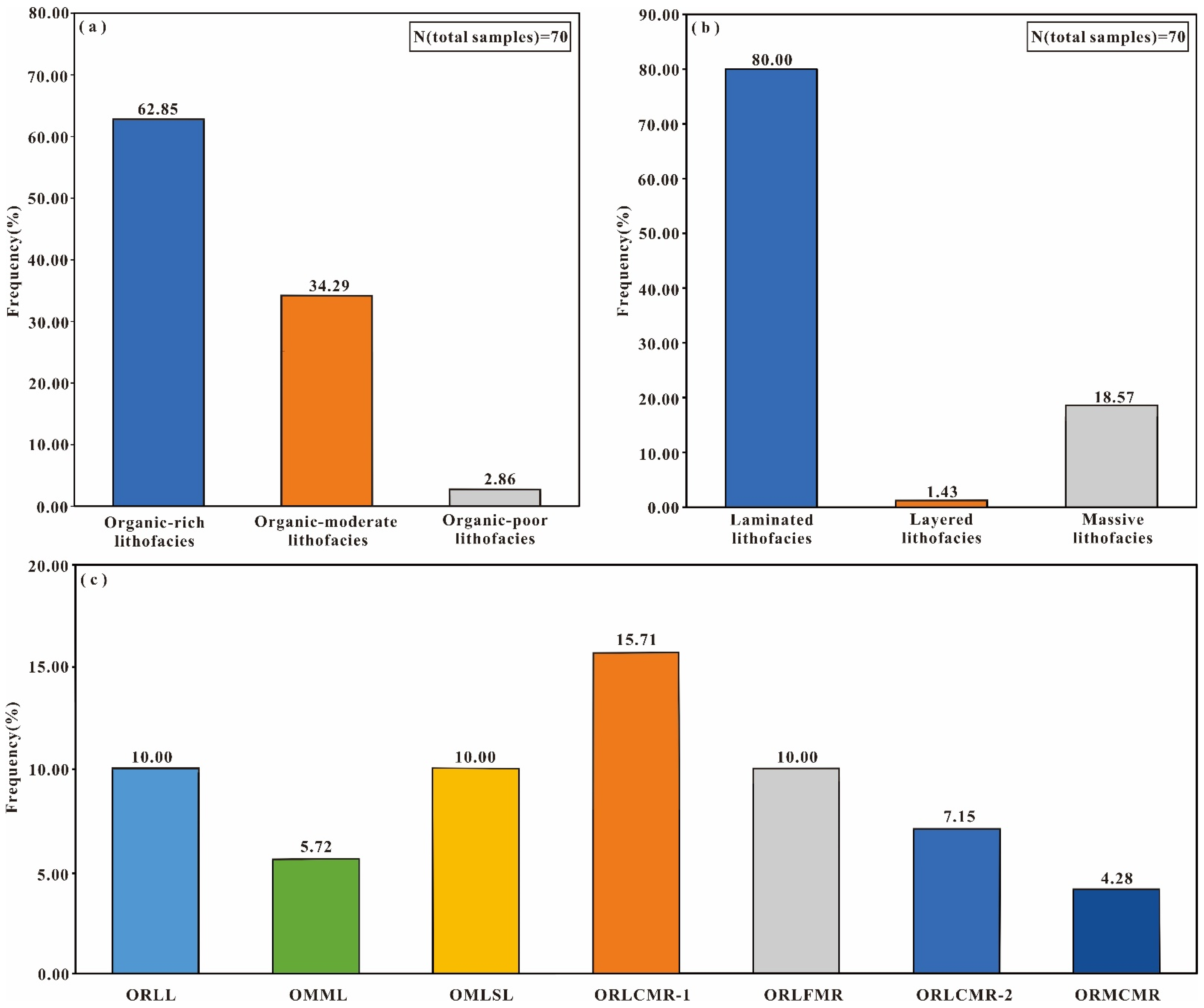
4.4. Lithofacies Classification Scheme and Main Lithofacies Types
4.4.1. Organic-Rich Laminated Limestone Lithofacies
4.4.2. Organic-Moderate Massive Limestone Lithofacies
4.4.3. Organic-Moderate Laminated Felsic Limestone Lithofacies
4.4.4. Organic-Rich Laminated Carbonate Fine-Grained Mixed Sedimentary Rock Lithofacies
4.4.5. Organic-Rich Laminated Felsic Fine-Grained Mixed Sedimentary Rock Lithofacies
4.4.6. Organic-Rich Laminated Clayey Fine-Grained Mixed Sedimentary Rock Lithofacies
4.4.7. Organic-Rich Massive Carbonate Fine-Grained Mixed Sedimentary Rock Lithofacies
4.5. Paleoenvironment Reconstruction
4.5.1. Paleoclimate Conditions
4.5.2. Paleoproductivity
4.5.3. Paleosalinity
4.5.4. Paleo-Redox
4.5.5. Terrigenous Detrital Influx
5. Discussion
5.1. Sedimentary Environment Evolution and Lithofacies Evolution Patterns
5.1.1. Depositional Stage I
5.1.2. Depositional Stage II
5.1.3. Depositional Stage III
5.1.4. Depositional Stage IV
5.1.5. Depositional Stage V
5.2. Influence of Sedimentary Environments on Lithofacies
5.2.1. Influence of Sedimentary Environments on Organic Matter Abundance
5.2.2. Influence of Sedimentary Structures on Lithofacies
5.2.3. Influence of Sedimentary Environments on Mineral Components
6. Conclusions
Author Contributions
Funding
Data Availability Statement
Conflicts of Interest
References
- Krumbein, W.C. Shales and their environmental significance. J. Sediment. Res. 1947, 17, 101–108. [Google Scholar] [CrossRef]
- Jiang, Z.X.; Duan, H.J.; Liang, C.; Wu, J.; Zhang, W.Z.; Zhang, J.G. Classification of hydrocarbon-bearing fine-grained sedimentary rocks. J. Earth Sci. 2017, 28, 693–976. [Google Scholar] [CrossRef]
- Peng, J.; Yu, L.D.; Xu, T.Y.; Wang, Y.B.; Han, H.D. Analysis of Sedimentary Environment Conditions for Lacustrine Fine-Grained Sedimentary Rocks and Its Control of Lithofacies Development: A Case Study of the Lower Submember of Member 3 of Shahejie Formation in FY-1 Well, Dongying Sag, Bohai Bay Basin, China. Geofluids 2021, 2021, 6640706. [Google Scholar]
- Abouelresh, M.O.; Slatt, R.M. Lithofacies and sequence stratigraphy of the Barnett Shale in east-central Fort Worth Basin, Texas. AAPG Bull. 2018, 96, 1–22. [Google Scholar] [CrossRef]
- Wu, J.; Jiang, Z.X.; Tong, J.H.; Yang, L.; Li, J.; Nie, H.K. Sedimentary environment and control factors of fine-grained sedimentary rocks in the upper fourth Member of Paleogene Shahejie Formation, Dongying sag. Acta Pet. Sin. 2016, 37, 464. [Google Scholar]
- Shi, J.Y.; Jin, Z.J.; Liu, Q.Y.; Huang, Z.K. Lithofacies classification and origin of the Eocene lacustrine fine-grained sedimentary rocks in the Jiyang Depression, Bohai Bay Basin, Eastern China. J. Asian Earth Sci. 2020, 194, 104002. [Google Scholar] [CrossRef]
- Lazar, O.R.; Bohacs, K.M.; Macquaker, J.H.; Schieber, J.; Demko, T.M. Capturing key attributes of fine-grained sedimentary rocks in outcrops, cores, and thin sections: Nomenclature and description guidelines. J. Sediment. Res. 2015, 85, 230–246. [Google Scholar] [CrossRef]
- Wang, G.P.; Jin, Z.J.; Hu, Z.Q.; Liu, G.X.; Zhu, T.; Du, W.; Wang, H.L.; Wu, Z. Sedimentary evolution characteristics of fine-grained lithofacies under the high-resolution isochronous shelf system: Insights from the wufeng-longmaxi shales in the sichuan basin. Lithosphere 2021, 2021, 20. [Google Scholar] [CrossRef]
- Zhao, W.Z.; Zhu, R.K.; Hu, S.Y.; Hou, L.H.; Wu, S.T. Accumulation contribution differences between lacustrine organic-rich shales and mudstones and their significance in shale oil evaluation. Pet. Explor. Dev. Zou 2020, 47, 1160–1171. [Google Scholar] [CrossRef]
- Guan, M.D.; Wu, S.T.; Hou, L.H.; Jiang, X.H.; Ba, D.; Hua, G.L. Paleoenvironment and chemostratigraphy heterogenity of the Cretaceous organic-rich shales. Adv. Geo-Energy Res. 2021, 5, 444–455. [Google Scholar] [CrossRef]
- Khan, D.; Qiu, L.W.; Liang, C.; Mirza, K.; Rehman, S.U.; Han, Y.; Hannan, A.; Kashif, M.; Kra, K.L. Genesis and distribution of pyrite in the Lacustrine Shale: Evidence from the Es3x shale of the eocene shahejie formation, Zhanhua Sag, East China. ACS Omega 2021, 7, 1244–1258. [Google Scholar] [CrossRef] [PubMed]
- Song, M.S.; Liu, H.M.; Wang, Y.; Liu, Y.L. Enrichment rules and exploration practices of Paleogene shale oil in Jiyang Depression, Bohai Bay Basin, China. Pet. Explor. Dev. Online 2020, 47, 242–253. [Google Scholar] [CrossRef]
- Song, Y.; Cao, Q.; Li, S.F.; Hu, S.Z.; Zhu, K.; Ye, X.; Wan, L. Salinized lacustrine organic-rich shale influenced by marine incursions: Algal-microbial community, paleoenvironment and shale oil potential in the Paleogene Biyang Depression, East China. Palaeogeogr. Palaeoclimatol. Palaeoecol. 2021, 580, 110621. [Google Scholar] [CrossRef]
- Li, J.J.; Liu, Z.; Zhang, X.W.; Feng, G.Q.; Liu, J.W.; Ma, Y.; Lu, S.F.; Li, W.H.; Zhou, N.W. Effects of paleoenvironment on continental shale oil enrichment and producibility in the Biyang depression. AAPG Bull. 2022, 106, 2043–2071. [Google Scholar] [CrossRef]
- Tian, H.; He, K.; Huangfu, Y.H.; Liao, F.R.; Wang, X.M.; Zhang, S.C. Oil content and mobility in a shale reservoir in Songliao Basin, Northeast China: Insights from combined solvent extraction and NMR methods. Fuel 2024, 357, 129678. [Google Scholar] [CrossRef]
- Tao, S.; Xu, Y.B.; Tang, D.Z.; Xu, H.; Li, S.; Chen, S.D.; Liu, W.B.; Cui, Y.; Gou, M.F. Geochemistry of the Shitoumei oil shale in the Santanghu Basin, Northwest China: Implications for paleoclimate conditions, weathering, provenance and tectonic setting. Int. J. Coal Geol. 2017, 184, 42–56. [Google Scholar] [CrossRef]
- Milliken, K. Compositional Classification for Fine-Grained Sediments and Sedimentary Rocks: Foundation for Bulk Rock Property Prediction. In Proceedings of the AAPG Annual Convention and Exhibition, Denver, CO, USA, 31 May–3 June 2015. [Google Scholar]
- Wang, G.C.; Carr, T.R. Organic-rich Marcellus Shale lithofacies modeling and distribution pattern analysis in the Appalachian Basin. AAPG Bull. 2013, 97, 2173–2205. [Google Scholar] [CrossRef]
- Jiang, Y.Q.; Song, Y.T.; Qi, L.; Chen, L.; Tao, Y.Z.; Gan, H.; Wu, P.J.; Ye, Z.Y. Fine lithofacies of China’s marine shale and its logging prediction: A case study of the Lower Silurian Longmaxi marine shale in Weiyuan area, southern Sichuan Basin, China. Earth Sci. Front. 2016, 23, 107–118, (In Chinese with English Abstract). [Google Scholar]
- Loucks, R.G.; Ruppel, S.C. Mississippian Barnett Shale: Lithofacies and depositional setting of a deep-water shale-gas succession in the Fort Worth Basin, Texas. AAPG Bull. 2007, 91, 579–601. [Google Scholar] [CrossRef]
- Simenson, A. Depositional Facies and Petrophysical Analysis of the Bakken Formation, Parshall Field, Mountrail County, North Dakota. Mines Thesis, Colorado School of Mines, Golden, CO, USA, 2010; pp. 1–221. [Google Scholar]
- Zou, C.N.; Dong, D.Z.; Wang, S.J.; Li, J.Z.; Li, X.J.; Wang, Y.M.; Li, D.H.; Cheng, K.M. Geological characteristics and resource potential of shale gas in China. Pet. Explor. Dev. 2010, 37, 641–653. [Google Scholar] [CrossRef]
- Liang, C.; Jiang, Z.X.; Yang, Y.T.; Wei, X.J. Characteristics of shale lithofacies and reservoir space of the Wufeng-Longmaxi Formation, Sichuan, Basin. Pet. Explor. Dev. 2012, 39, 691–698, (In Chinese with English Abstract). [Google Scholar] [CrossRef]
- Jiang, Z.X.; Kong, X.X.; Yang, Y.P.; Zhang, J.G.; Zhang, Y.F.; Wang, L.; Yuan, X.D. Multi-source genesis of continental carbonate-rich fine-grained sedimentary rocks and hydrocarbon sweet spots. Pet. Explor. Dev. 2021, 48, 30–42. [Google Scholar] [CrossRef]
- Ma, Y.Q.; Fan, M.J.; Lu, Y.C.; Liu, H.M.; Hao, Y.Q.; Xie, Z.H.; Li, P.; Du, X.B.; Hu, H.Y. Middle Eocene paleohydrology of the Dongying Depression in eastern China from sedimentological and geochemical signatures of lacustrine mudstone. Palaeogeogr. Palaeoclimatol. Palaeoecol. 2017, 479, 16–33. [Google Scholar] [CrossRef]
- Pang, S.Y.; Cao, Y.C.; Liang, C. Lithofacies characteristics and sedimentary environment of Es4Uand Es3l: A case study of Well FY1 in Dongying sag, Bohai Bay Basin. Oil Gas Geol. 2019, 40, 799–809, (In Chinese with English Abstract). [Google Scholar]
- Liu, Q.; Zeng, X.; Wang, X.J.; Cai, J.G. Lithofacies of mudstone and shale deposits of the Es3z-Es4s formation in Dongying sag and their depositional environment. Mar. Geol. Quat. Geol. 2017, 37, 147–156, (In Chinese with English Abstract). [Google Scholar]
- Liang, C.; Wu, J.; Jiang, Z.X.; Cao, Y.C.; Song, G.Q. Sedimentary environmental controls on petrology and organic matter accumulation in the upper fourth member of the Shahejie Formation (Paleogene, Dongying depression, Bohai Bay Basin, China). Int. J. Coal Geol. 2018, 186, 1–13. [Google Scholar] [CrossRef]
- Zhang, J.G.; Jiang, Z.X.; Liu, L.A.; Yuan, F.; Feng, L.Y.; Li, C.S. Lithofacies and depositional evolution of fine-grained sedimentary rocks in the lower submember of the Member 3 of Shahejie Formation in Zhanhua sag, Bohai Bay Basin. Acta Pet. Sin. 2021, 42, 293, (In Chinese with English Abstract). [Google Scholar]
- Liu, H.M.; Yu, B.S.; Xie, Z.H.; Han, S.J.; Shen, Z.H.; Bai, C.Y. Characteristics and implications of micro-lithofacies in lacustrine-basin organic-rich shale: A case study of Jiyang depression, Bohai Bay Basin. Acta Pet. Sin. 2018, 39, 1328–1343, (In Chinese with English Abstract). [Google Scholar]
- Chen, Z.H.; Huang, W.; Liu, Q.; Zhang, L.Y.; Zhang, S.C. Geochemical characteristics of the Paleogene shales in the Dongying depression, eastern China. Mar. Pet. Geol. 2016, 73, 249–270. [Google Scholar] [CrossRef]
- Song, M.S. Sedimentary environment geochemistry in the Shasi section of southern ramp, Dongying depression. J. Mineral. Petrol. 2005, 25, 67–73. [Google Scholar]
- Li, Y.; Li, Z.X.; Wang, D.D.; Song, G.Z.; Lv, D.W.; Yin, L.S.; Liu, H.Y.; Xu, C.H.; Kong, F.F.; Han, Q.Y. Continental lacustrine fine-grained lithofacies, assemblage and geological significance of unconventional petroleum: A case study of the Paleogene of the 4th member of the Shahejie formation in the Jiyang depression. Energy Explor. Exploit. 2023, 41, 62–83. [Google Scholar] [CrossRef]
- Ye, H.; Shedlock, K.M.; Hellinger, S.J.; Sclater, J.G. The North China Basin: An example of a Cenozoic rifted intraplate basin. Tectonics 1985, 4, 153–169. [Google Scholar] [CrossRef]
- Liu, C.L.; Wang, P.X. The role of algal blooms in the formation of lacustrine petroleum source rocks—Evidence from Jiyang depression, Bohai Gulf Rift Basin, eastern China. Palaeogeogr. Palaeoclimatol. Palaeoecol. 2013, 388, 15–22. [Google Scholar] [CrossRef]
- Ding, L.; Xu, Q.; Yue, Y.H.; Wang, H.Q.; Cai, F.L.; Li, S. The Andean-type gangdese mountains: Paleoelevation record from the paleocene–eocene linzhou basin. Earth Planet. Sci. Lett. 2014, 392, 250–264. [Google Scholar] [CrossRef]
- Zhao, L.; Li, L. The extensional pattern and dynamics of Bohai Bay basin in Late Mesozoic-Cenozoic. Geol. China 2016, 43, 470–485. [Google Scholar]
- Li, L.; Zhong, D.L.; Shi, M.X. Cenozoic uplifting/subsidence coupling between the west Shandong Rise and the Jiyang Depression, northern China. Acta Geol. Sin. 2007, 81, 1215–1228. [Google Scholar]
- Liang, C.; Jiang, Z.X.; Cao, Y.C.; Wu, J.; Wang, Y.S.; Hao, F. Sedimentary characteristics and origin of lacustrine organic-rich shales in the salinized Eocene Dongying Depression. GSA Bull. 2018, 130, 154–174. [Google Scholar] [CrossRef]
- Wang, J.F. Sedimentary facies of the Shahejie formation of Paleogene in Dongying sag, Jiyang depression. J. Palaeogeogr. 2005, 7, 45–58. [Google Scholar]
- Sheng, W.B.; Cao, Y.C.; Liu, H.; Zhang, Y. Evolutionary characteristics of the Palaeogene basin controlling boundary faults and types of basin architectures in the Dongying Depression. Oil Gas Geol. 2008, 29, 290–296, (In Chinese with English abstract). [Google Scholar]
- Zhu, G.Y.; Jin, Q. Geochemical characteristics of two sets of excellent source rocks in Dongying Depression. Acta Sedimentol. Sin. 2003, 21, 506–512. [Google Scholar]
- Li, S.M.; Pang, X.Q.; Li, M.W.; Jin, Z.J. Geochemistry of petroleum systems in the Niuzhuang South Slope of Bohai Bay Basin—Part 1: Source rock characterization. Org. Geochem. 2003, 34, 389–412. [Google Scholar] [CrossRef]
- Wei, Z.F.; Zou, Y.R.; Cai, Y.L.; Wang, L.; Luo, X.R.; Peng, P.A. Kinetics of oil group-type generation and expulsion: An integrated application to Dongying Depression, Bohai Bay Basin, China. Org. Geochem. 2012, 52, 1–12. [Google Scholar] [CrossRef]
- SY-T 5163-2018; Methods of X-ray Diffraction Analysis of Clay Minerals and Common Non-Clay Minerals in Sedimentary Rocks. China National Petroleum Corporation: Beijing, China, 2018.
- GB/T 19145-2022; Determination of Total Organic Carbon in Sedimentary Rocks. China National Petroleum Corporation: Beijing, China, 2022.
- GB/T 14506.30-2010; Methods for Chemical Analysis of Silicate Rocks-Part 30: Determination of 44 Elements. Standards Press of China: Beijing, China, 2010.
- Peng, J.; Zeng, Y.; Yang, Y.M.; Yu, L.D.; Xu, T.Y. Discussion on classification and naming scheme of fine-grained sedimentary rocks. Pet. Explor. Dev. 2022, 49, 121–132. [Google Scholar] [CrossRef]
- Zhang, S.; Chen, S.Y.; Cui, S.Z.; Gong, W.L.; Yu, J.Q.; Yan, J.H.; Shao, P.C.; Liu, Y. Characteristics and types of fine-grained sedimentary rocks lithofacies in semi-deep and deep lacustrine, Dongying Sag. J. China Univ. Pet. 2014, 38, 9–17. [Google Scholar]
- Liu, H.; Liu, X.P.; Liu, G.Y.; Li, G.Y.; Wang, J.W.; Gao, Y.L.; Sun, B.; Hou, J.K.; Liu, H.X.; Sun, X.J. Sedimentary environment controls on the lacustrine shale lithofacies: A case study from the Nanpu depression, Bohai Bay Basin. Geoenergy Sci. Eng. 2023, 225, 211704. [Google Scholar] [CrossRef]
- Yan, K.; Wang, C.L.; Mischke, S.; Wang, J.Y.; Shen, L.J.; Yu, X.C.; Meng, L.Y. Major and trace-element geochemistry of Late Cretaceous clastic rocks in the Jitai Basin, southeast China. Sci. Rep. 2021, 11, 13846. [Google Scholar] [CrossRef] [PubMed]
- Rieu, R.; Allen, P.A.; Plötze, M.; Pettke, T. Climatic cycles during a Neoproterozoic “snowball” glacial epoch. Geology 2007, 35, 299–302. [Google Scholar] [CrossRef]
- Nesbitt, H.; Young, G.M. Early Proterozoic climates and plate motions inferred from major element chemistry of lutites. Nature 1982, 299, 715–717. [Google Scholar] [CrossRef]
- McLennan, S.M.; Hemming, S.; McDaniel, D.K.; Hanson, G.N. Geochemical Approaches to Sedimentation, Provenance, and Tectonics; Special Papers-Geological Society of America: Boulder, CA, USA, 1993; ISBN 978-081-372-284-9. [Google Scholar]
- Ma, D.; Zhang, Z.J.; Zhou, C.M.; Cheng, D.W.; Hong, H.T.; Meng, H.; Yu, X.H.; Peng, Z.X. Element Geochemical Characteristics and Geological Significance of Mudstones from the Middle Jurassic Shaximiao Formation in Sichuan Basin, Southwest China. ACS Omega 2023, 8, 29979–30000. [Google Scholar] [CrossRef] [PubMed]
- Wu, J.; Jiang, Z.X.; Wang, X. Sequence stratigraphy characteristics of lacustrine fine-grained sedimentary rocks: A case study of the upper fourth member of Paleogene Shahejie Formation, Dongying Sag, Bohai Bay Basin. Nat. Gas Geosci. 2018, 29, 5. [Google Scholar]
- Lin, Z.K.; Zhang, S.L.; Li, C.H.; Wang, M.; Yan, J.P.; Cai, J.G.; Geng, B.; Hu, Q.H. Types of shale lithofacies assemblage and its significance for shale oil exploration: A case study of Shahejie Formation in Boxing Sag. Pet. Reserv. Eval. Dev. 2023, 13, 39–51, (In Chinese with English Abstract). [Google Scholar]
- Dymond, J.; Suess, E.; Lyle, M. Barium in deep-sea sediment: A geochemical proxy for paleoproductivity. Paleoceanography 1992, 7, 163–181. [Google Scholar] [CrossRef]
- Cao, Z.M.; Li, Y.T.; Rao, X.T.; Yu, Y.; Hathorne, E.C.; Siebert, C.; Dai, M.H.; Frank, M. Constraining barium isotope fractionation in the upper water column of the South China Sea. Geochim. Cosmochim. Acta 2020, 288, 120–137. [Google Scholar] [CrossRef]
- Martinez-Ruiz, F.; Jroundi, F.; Paytan, A.; Guerra-Tschuschke, I.; Abad, M.D.M.; González-Muñoz, M.T. Barium bioaccumulation by bacterial biofilms and implications for Ba cycling and use of Ba proxies. Nat. Commun. 2018, 9, 1619. [Google Scholar] [CrossRef] [PubMed]
- Fang, R.; Jiang, Y.Q.; Sun, S.S.; Luo, Y.; Qi, L.; Dong, D.Z.; Lai, Q.; Luo, Y.Z.; Jiang, Z.Z. Controlling factors of organic matter accumulation and lacustrine shale distribution in Lianggaoshan Formation, Sichuan Basin, SW China. Front. Earth Sci. 2023, 11, 1218215. [Google Scholar] [CrossRef]
- Kong, X.X.; Jiang, Z.X.; Zheng, Y.H.; Xiao, M.; Chen, C.; Yuan, H.; Chen, F.L.; Wu, S.Q.; Zhang, J.G.; Han, C.; et al. Organic geochemical characteristics and organic matter enrichment of mudstones in an Eocene saline lake, Qianjiang Depression, Hubei Province, China. Mar. Pet. Geol. 2020, 114, 104194. [Google Scholar] [CrossRef]
- Xu, S.; Wang, Y.X.; Bai, N.; Wu, S.Q.; Liu, B.C. Organic matter enrichment mechanism in saline lacustrine basins: A review. Geol. J. 2023, 59, 155–168. [Google Scholar] [CrossRef]
- Hou, H.H.; Shao, L.Y.; Li, Y.H.; Liu, L.; Liang, G.D.; Zhang, W.L.; Wang, X.T.; Wang, W.C. Effect of paleoclimate and paleoenvironment on organic matter accumulation in lacustrine shale: Constraints from lithofacies and element geochemistry in the northern Qaidam Basin, NW China. J. Pet. Sci. Eng. 2022, 208, 109350. [Google Scholar] [CrossRef]
- Fan, D.J.; Shan, X.L.; Makeen, Y.M.; He, W.T.; Su, S.Y.; Wang, Y.B.; Yi, J.; Hao, G.L.; Zhao, Y.T. Response of a continental fault basin to the global OAE1a during the Aptian: Hongmiaozi Basin, Northeast China. Sci. Rep. 2021, 11, 7229. [Google Scholar] [CrossRef] [PubMed]
- Zhao, Z.R.; Dong, C.M.; Ma, P.J.; Lin, C.Y.; Li, G.A.; Du, X.Y.; Luan, G.Q.; He, Y.J.; Liu, W.B. Origin of Dolomite in Lacustrine Organic-Rich Shale: A Case Study in the Shahejie Formation of the Dongying Sag, Bohai Bay Basin. Front. Earth Sci. 2022, 10, 909107. [Google Scholar] [CrossRef]
- Yin, J.; Wang, Q.; Hao, F.; Guo, L.X.; Zou, H.Y. Palaeoenvironmental reconstruction of lacustrine source rocks in the lower 1st Member of the Shahejie Formation in the Raoyang Sag and the Baxian Sag, Bohai Bay Basin, eastern China. Palaeogeogr. Palaeoclimatol. Palaeoecol. 2018, 495, 87–104. [Google Scholar] [CrossRef]
- Khan, D.; Liu, Z.J.; Qiu, L.W.; Liu, K.Y.; Yang, Y.Q.; Nie, C.; Liu, B.; Xin, L.; Habulashenmu, Y. Mineralogical and geochemical characterization of lacustrine calcareous shale in Dongying Depression, Bohai Bay Basin: Implications for paleosalinity, paleoclimate, and paleoredox conditions. Geochemistry 2023, 83, 125978. [Google Scholar] [CrossRef]
- Zhou, C.; Jiang, S.Y. Palaeoceanographic redox environments for the lower Cambrian Hetang Formation in South China: Evidence from pyrite framboids, redox sensitive trace elements, and sponge biota occurrence. Palaeogeogr. Palaeoclimatol. Palaeoecol. 2009, 271, 279–286. [Google Scholar] [CrossRef]
- Hua, J.C.; Zhu, X.L.; Feng, L.J.; Huang, J. Progressive oxidation of anoxic and ferruginous deep-water during deposition of the terminal Ediacaran Laobao Formation in South China. Palaeogeogr. Palaeoclimatol. Palaeoecol. 2012, 321, 80–87. [Google Scholar]
- Liu, H.M.; Wang, Y.; Yang, Y.H.; Zhang, S. Sedimentary Environment and Lithofacies of Fine-Grained Hybrid Sedimentary in Dongying Sag: A Case of Fine-Grained Sedimentary System of the Es4. Earth Sci. 2020, 45, 3543–3555, (In Chinese with English Abstract). [Google Scholar]
- Rimmer, S.M. Geochemical paleoredox indicators in Devonian–Mississippian black shales, central Appalachian Basin (USA). Chem. Geol. 2004, 206, 373–391. [Google Scholar] [CrossRef]
- Govin, A.; Holzwarth, U.; Heslop, D.; Ford Keeling, L.; Zabel, M.; Mulitza, S.; Collins, J.; Chiessi, C.M. Distribution of major elements in Atlantic surface sediments (36°N–49°S): Imprint of terrigenous input and continental weathering. Geochem. Geophys. Geosystems 2012, 13, 1. [Google Scholar] [CrossRef]
- Di Leo, P.; Dinelli, E.; Mongelli, G.; Schiattarella, M. Geology and geochemistry of Jurassic pelagic sediments, Scisti silicei Formation, southern Apennines, Italy. Sediment. Geol. 2002, 150, 229–246. [Google Scholar] [CrossRef]
- Kong, X.X.; Jiang, Z.X.; Ju, B.S.; Liang, C.; Cai, Y.; Wu, S.Q. Fine-grained carbonate formation and organic matter enrichment in an Eocene saline rift lake (Qianjiang Depression): Constraints from depositional environment and material source. Mar. Pet. Geol. 2022, 138, 105534. [Google Scholar] [CrossRef]
- Liu, S.J.; Cao, Y.C.; Liang, C. Lithologic characteristics and sedimentary environment of fine-grained sedimentary rocks of the Paleogene in Dongying sag, Bohai Bay Basin. J. Palaeogeogr. 2019, 21, 479–489, (In Chinese with English Abstract). [Google Scholar]
- Liu, B.; Song, Y.; Zhu, K.; Su, P.; Ye, X.; Zhao, W.C. Mineralogy and element geochemistry of salinized lacustrine organic-rich shale in the Middle Permian Santanghu Basin: Implications for paleoenvironment, provenance, tectonic setting and shale oil potential. Mar. Pet. Geol. 2020, 120, 104569. [Google Scholar] [CrossRef]
- Wang, J.H.; Jiang, Z.X.; Zhang, Y.F. Subsurface lacustrine storm-seiche depositional model in the Eocene Lijin Sag of the Bohai Bay Basin, East China. Sediment. Geol. 2015, 328, 55–72. [Google Scholar] [CrossRef]
- Chen, Q.; Liu, Y.S.; Utescher, T. Eocene monsoon prevalence over China: A paleobotanical perspective. Palaeogeogr. Palaeoclimatol. Palaeoecol. 2012, 365, 302–311. [Google Scholar]
- Song, S.; Tang, Z.H.; Xi, D.P.; Yang, S.L. Palynology-based reconstructions for climatic patterns in the Eocene–Oligocene of eastern Asia: Implications of the monsoonal circulation history. J. Asian Earth Sci. 2023, 257, 105836. [Google Scholar] [CrossRef]
- Boucot, A.J.; Chen, X.; Scotese, C.R.; Fan, J.X. The World Paleoclimate Reconstruction in Phanerozoic; SEPM Society for Sedimentary Geology: Claremore, OK, USA, 2009; ISBN 978-156-576-289-3. [Google Scholar]
- Marsaglia, K.M.; Klein, G.D. The paleogeography of Paleozoic and Mesozoic storm depositional systems. J. Geol. 1983, 91, 117–142. [Google Scholar] [CrossRef]
- Huber, M.; Goldner, A. Eocene monsoons. J. Asian Earth Sci. 2012, 44, 3–23. [Google Scholar] [CrossRef]
- Pagani, M.; Zachos, J.C.; Freeman, K.H.; Tipple, B.; Bohaty, S. Marked decline in atmospheric carbon dioxide concentrations during the Paleogene. Science 2005, 309, 600–603. [Google Scholar] [CrossRef] [PubMed]
- Palanques, A.; Puig, P.; Guillén, J.; Durrieu de Madron, X.; Latasa, M.; Scharek, R.; Martín, J. Effects of storm events on the shelf-to-basin sediment transport in the southwestern end of the Gulf of Lions (Northwestern Mediterranean). Nat. Hazards Earth Syst. Sci. 2011, 11, 843–850. [Google Scholar] [CrossRef]
- Zhang, C.C.; Fang, C.G.; Huang, Z.Q.; Zhou, D.R.; Liu, T. Sedimentary characteristics of the Early Silurian storm deposits and the effect of storms on shale properties in the Lower Yangtze Region. Nat. Gas Geosci. 2022, 33, 1585–1596. [Google Scholar]
- Peng, J.; Xu, T.Y.; Yu, L.D. Sedimentary characteristics and controlling factors of lacustrine fine-grained rocks of the fourth member of Shahejie formation in Dongying depression. Lithol. Reserv. 2020, 32, 1–11. [Google Scholar]
- Li, S.Z.; Liu, X.F.; Cen, C.; Yang, S.C.; Xiao, E.Z.; Zhang, X.T.; He, W.H.; Liu, L.X. Sedimentary paleoenvironment and organic matter accumulation model of the Lower Silurian Gaojiabian Formation shales in the Lower Yangtze region, South China. Geoenergy Sci. Eng. 2023, 221, 211347. [Google Scholar] [CrossRef]
- Nesbitt, H.W.; Young, G.M.; McLennan, S.M.; Keays, R.R. Effects of chemical weathering and sorting on the petrogenesis of siliciclastic sediments, with implications for provenance studies. J. Geol. 1996, 104, 525–542. [Google Scholar] [CrossRef]
- Chen, G.; Gang, W.Z.; Chang, X.C.; Wang, N.; Zhang, P.F.; Cao, Q.Y.; Xu, J.B. Paleoproductivity of the Chang 7 unit in the Ordos Basin (North China) and its controlling factors. Palaeogeogr. Palaeoclimatol. Palaeoecol. 2020, 551, 109741. [Google Scholar] [CrossRef]
- Li, C.; Chen, S.J.; Liao, J.B.; Hou, Y.T.; Yu, J.; Liu, G.L.; Xu, K.; Wu, X.T. Geochemical characteristics of the chang 7 member in the southwestern ordos basin, China: The influence of sedimentary environment on the organic matter enrichment. Palaeoworld 2023, 32, 429–441. [Google Scholar] [CrossRef]











| Stratigraphic Units | TOC (%) | The Proportion of Mineral Composition (%) | |||||
|---|---|---|---|---|---|---|---|
| Quartz | Plagioclase | Calcite | Dolomite | Pyrite | Clay | ||
| Es3l | 1.18~4.20 | 10.00~37.00 | 1.00~19.00 | 12.00~60.00 | 0.00~13.00 | 0.00~11.00 | 8.00~41.00 |
| 2.71 ± 1.30 | 23.66 ± 5.66 | 3.21 ± 2.11 | 37.12 ± 13.01 | 6.73 ± 6.76 | 2.82 ± 1.71 | 25.28 ± 9.40 | |
| Es4u | 0.54~3.34 | 2.00~47.00 | 1.00~18.00 | 3.00~78.00 | 1.00~23.00 | 0.00~5.00 | 3.00~53.00 |
| 2.14 ± 0.94 | 24.52 ± 8.94 | 4.95 ± 6.10 | 40.81 ± 20.28 | 13.53 ± 17.75 | 2.52 ± 3.05 | 16.47 ± 10.89 | |
| Total | 0.54~4.20 | 2.00~47.00 | 1.00~19.00 | 3.00~78.00 | 0.00~23.00 | 0.00~11.00 | 3.00~53.00 |
| 2.43 ± 1.18 | 24.09 ± 7.42 | 4.08 ± 4.54 | 38.96 ± 16.86 | 10.13 ± 13.61 | 2.67 ± 2.44 | 20.88 ± 11.05 | |
| Annotation: | 1.18~4.20 | = | Minimum value~Maximum value | ||||
| 2.71~1.30 | Average ± Standard Deviation | ||||||
| Lithofacies | Lithofacies Association | Clay/% | Felsic/% | Carbonates/% | Interrelation |
|---|---|---|---|---|---|
| Carbonate lithofacies | ORLL, OMLL | 0~25 | 0~25 | 50~100 | Vca > Vfe; Vca > Vcl |
| ORML, OMML, OPML | 0~25 | 0~25 | 50~100 | Vca > Vfe; Vca > Vcl | |
| ORLFL, OMLFL | 0~25 | 25~50 | 50~100 | Vca > Vfe > Vcl | |
| ORMCL | 25~50 | 0~25 | 50~100 | Vca > Vcl >Vfe | |
| Claystone lithofacies | ORLFC | 50~100 | 25~50 | 0~25 | Vcl > Vfe > Vca |
| Fine-grained felsic sedimentary lithofacies | ORLLF | 0~25 | 50~100 | 25~50 | Vfe > Vca > Vcl |
| Fine-grained mixed sedimentary lithofacies | ORLCMR-1, OMLCMR-1, OPLCMR-1 | 0~50 | 0~50 | 33.33~50 | Vca > Vfe; Vca > Vcl |
| ORLFMR, OMLFMR | 0~50 | 33.33~50 | 0~50 | Vfe > Vca; Vfe > Vcl | |
| ORLCMR-2 | 33.33~50 | 0~50 | 0~50 | Vcl > Vfe; Vcl > Vca | |
| ORMCMR, OMMCMR | 0~50 | 0~50 | 33.33~50 | Vca > Vfe; Vca > Vcl |
| Lithofacies Association | Clay Minerals (%) | Felsic Minerals (%) | Carbonate Minerals (%) | TOC (%) |
|---|---|---|---|---|
| ORLL | 6~21 | 11~24 | 51~80 | 2.16~3.28 |
| 13.50 | 19.50 | 64.40 | 2.63 | |
| OMML | 3~22 | 2~24 | 54~95 | 1.18~1.83 |
| 13.67 | 18.00 | 67.00 | 1.52 | |
| OMLFL | 7~14 | 26~36 | 51~65 | 1.29~1.93 |
| 10.00 | 29.63 | 58.88 | 1.61 | |
| ORLCMR-1 | 19~36 | 19~36 | 34~49 | 2.17~4.00 |
| 27.29 | 25.12 | 42.47 | 2.79 | |
| ORLFMR | 21~37 | 37~44 | 19~37 | 2.12~3.86 |
| 25.82 | 41.36 | 28.18 | 3.02 | |
| ORLCMR-2 | 34~48 | 27~37 | 16~33 | 2.04~2.51 |
| 39.56 | 31.67 | 23.67 | 2.28 | |
| ORMCMR | 23~28 | 25~28 | 36~46 | 2.25~2.53 |
| 25.00 | 26.33 | 43.67 | 2.41 | |
| Annotation: | 6~21 | = | Minimum value~Maximum value | |
| 13.50 | Average |
Disclaimer/Publisher’s Note: The statements, opinions and data contained in all publications are solely those of the individual author(s) and contributor(s) and not of MDPI and/or the editor(s). MDPI and/or the editor(s) disclaim responsibility for any injury to people or property resulting from any ideas, methods, instructions or products referred to in the content. |
© 2024 by the authors. Licensee MDPI, Basel, Switzerland. This article is an open access article distributed under the terms and conditions of the Creative Commons Attribution (CC BY) license (https://creativecommons.org/licenses/by/4.0/).
Share and Cite
Guo, H.; Shi, J.; Fu, S.; Liu, Z.; Cai, L.; Yin, S. Lithofacies Characteristics of Continental Lacustrine Fine-Grained Sedimentary Rocks and Their Coupling Relationship with Sedimentary Environments: Insights from the Shahejie Formation, Dongying Sag. Minerals 2024, 14, 479. https://doi.org/10.3390/min14050479
Guo H, Shi J, Fu S, Liu Z, Cai L, Yin S. Lithofacies Characteristics of Continental Lacustrine Fine-Grained Sedimentary Rocks and Their Coupling Relationship with Sedimentary Environments: Insights from the Shahejie Formation, Dongying Sag. Minerals. 2024; 14(5):479. https://doi.org/10.3390/min14050479
Chicago/Turabian StyleGuo, Hao, Juye Shi, Shaopeng Fu, Zitong Liu, Linhong Cai, and Siyuan Yin. 2024. "Lithofacies Characteristics of Continental Lacustrine Fine-Grained Sedimentary Rocks and Their Coupling Relationship with Sedimentary Environments: Insights from the Shahejie Formation, Dongying Sag" Minerals 14, no. 5: 479. https://doi.org/10.3390/min14050479
APA StyleGuo, H., Shi, J., Fu, S., Liu, Z., Cai, L., & Yin, S. (2024). Lithofacies Characteristics of Continental Lacustrine Fine-Grained Sedimentary Rocks and Their Coupling Relationship with Sedimentary Environments: Insights from the Shahejie Formation, Dongying Sag. Minerals, 14(5), 479. https://doi.org/10.3390/min14050479

