Iron Oxide-Bearing Wastes as Media for Supporting Biodegradation of BTEX
Abstract
1. Introduction
2. Methods
2.1. HFO Sludges and Their Characterisation
2.2. Artificial BTEX Wastewater and Sludge Sorption Studies
2.3. Batch/Microcosm Study
2.4. GC-MS Analysis
2.5. Physicochemical Analysis
2.6. Microbial Community Analysis
3. Result and Discussions
3.1. Sorption of BTEX by Sludges
3.2. Biodegradation of BTEX
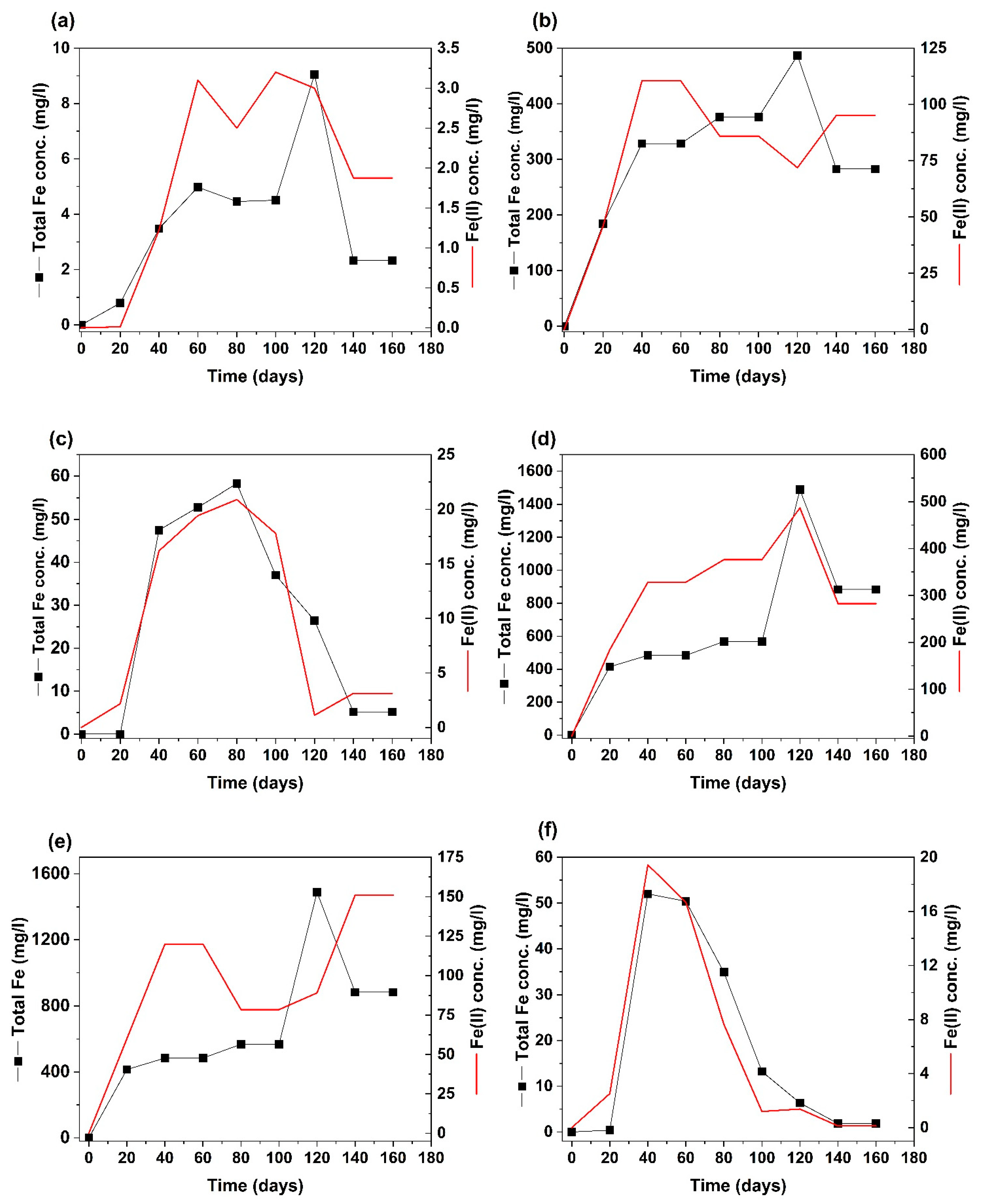
3.3. Parameters During BTEX Degradation
3.4. Microbial Community Changes
3.4.1. Changes in Microbial Community Composition of MWTS
3.4.2. Changes in Microbial Community Composition of WTS
3.4.3. Changes in Microbial Community Composition of MX
3.4.4. Comparative Analysis of Differences in the Microbial Community Structure of HFO Sludges Exposed to BTEX Wastewater
4. Importance/Implications/Significance of This Study
5. Conclusions
Author Contributions
Funding
Data Availability Statement
Acknowledgments
Conflicts of Interest
Abbreviations
References
- Bailey, M.T.; Moorhouse, A.M.L.; Byrom, A.J.; Kershaw, S. Applications for Hydrous Ferric Oxide Mine Water Treatment Sludge—A Review. In Reliable Mine Water Technology, Proceedings of the International Mine Water Association Annual Conference 2013, Vols I & Ii, Golden, CO, USA, 6–9 August 2013; International Mine Water Association: Lakewood, CO, USA, 2013; Volume 63, pp. 519–524. [Google Scholar]
- Sapsford, D.; Santonastaso, M.; Thorn, P.; Kershaw, S. Conversion of coal mine drainage ochre to water treatment reagent: Production, characterisation and application for P and Zn removal. J. Environ. Manag. 2015, 160, 7–15. [Google Scholar] [CrossRef] [PubMed]
- Ahmad, T.; Ahmad, K.; Alam, M. Sustainable management of water treatment sludge through 3‘R’ concept. J. Clean. Prod. 2016, 124, 1–13. [Google Scholar] [CrossRef]
- Nguyen, M.D.; Thomas, M.; Surapaneni, A.; Moon, E.M.; Milne, N.A. Beneficial reuse of water treatment sludge in the context of circular economy. Environ. Technol. Innov. 2022, 28, 102651. [Google Scholar] [CrossRef]
- Hodson, M.E.; Islam, M.; Metcalf, M.; Wright, A.C. Amendments of waste ochre from former coal mines can potentially be used to increase soil carbon persistence. Appl. Geochem. 2023, 151, 105618. [Google Scholar] [CrossRef]
- Dias, R.; Daam, M.A.; Diniz, M.; Maurício, R. Drinking water treatment residuals, a low-cost and environmentally friendly adsorbent for the removal of hormones—A review. J. Water Process. Eng. 2023, 56, 104322. [Google Scholar] [CrossRef]
- Emmanuel, S.S.; Olawoyin, C.O.; Ayodele, I.D.; Oluwole, O.J. Emerging nanosemiconductors for photocatalytic degradation of mono-aromatic volatile organic compounds (BTEX): A pragmatic review. J. Organomet. Chem. 2023, 996, 122767. [Google Scholar] [CrossRef]
- Duan, X.; Li, Y. Sources and Fates of BTEX in the General Environment and Its Distribution in Coastal Cities of China. J. Environ. Sci. Public Health 2017, 1, 86–106. [Google Scholar] [CrossRef]
- Yu, B.; Yuan, Z.; Yu, Z.; Xue-Song, F. BTEX in the environment: An update on sources, fate, distribution, pretreatment, analysis, and removal techniques. Chem. Eng. J. 2022, 435, 134825. [Google Scholar] [CrossRef]
- Bolden, A.L.; Kwiatkowski, C.F.; Colborn, T. New Look at BTEX: Are Ambient Levels a Problem? Environ. Sci. Technol. 2015, 49, 5261–5276. [Google Scholar] [CrossRef]
- Mitra, S.; Roy, P. BTEX: A Serious Ground-water Contaminant. Res. J. Environ. Sci. 2011, 5, 394–398. [Google Scholar] [CrossRef][Green Version]
- Ambaye, T.G.; Chebbi, A.; Formicola, F.; Prasad, S.; Gomez, F.H.; Franzetti, A.; Vaccari, M. Remediation of soil polluted with petroleum hydrocarbons and its reuse for agriculture: Recent progress, challenges, and perspectives. Chemosphere 2022, 293, 133572. [Google Scholar] [CrossRef] [PubMed]
- Elgazali, A.; Althalb, H.; Elmusrati, I.; Ahmed, H.M.; Banat, I.M. Remediation Approaches to Reduce Hydrocarbon Contamination in Petroleum-Polluted Soil. Microorganisms 2023, 11, 2577. [Google Scholar] [CrossRef] [PubMed]
- Firmino, P.I.M.; Farias, R.S.; Buarque, P.M.; Costa, M.C.; Rodríguez, E.; Lopes, A.C.; dos Santos, A.B. Engineering and microbiological aspects of BTEX removal in bioreactors under sulfate-reducing conditions. Chem. Eng. J. 2015, 260, 503–512. [Google Scholar] [CrossRef]
- Mazzeo, D.E.C.; Levy, C.E.; Angelis, D.d.F.d.; Marin-Morales, M.A. BTEX biodegradation by bacteria from effluents of petroleum refinery. Sci. Total Environ. 2010, 408, 4334–4340. [Google Scholar] [CrossRef] [PubMed]
- Farhadian, M.; Vachelard, C.; Duchez, D.; Larroche, C. In situ bioremediation of monoaromatic pollutants in groundwater: A review. Bioresour. Technol. 2007, 99, 5296–5308. [Google Scholar] [CrossRef]
- Kelly, W.R.; Hornberger, G.M.; Herman, J.S.; Mills, A.L. Kinetics of BTX biodegradation and mineralization in batch and column systems. J. Contam. Hydrol. 1996, 23, 113–132. [Google Scholar] [CrossRef]
- Weelink, S.A.B.; van Eekert, M.H.A.; Stams, A.J.M. Degradation of BTEX by anaerobic bacteria: Physiology and application. Rev. Environ. Sci. Bio/Technol. 2010, 9, 359–385. [Google Scholar] [CrossRef]
- Aburto-Medina, A.; Ball, A.S. Microorganisms involved in anaerobic benzene degradation. Ann. Microbiol. 2014, 65, 1201–1213. [Google Scholar] [CrossRef]
- Botton, S.; Parson, J.R. Degradation of BTEX compounds under iron-reducing conditions in contaminated aquifer microcosms. Environ. Toxicol. Chem. 2006, 25, 2630–2638. [Google Scholar] [CrossRef]
- Lovley, D.R.; Woodward, J.C.; Chapelle, F.H. Stimulated anoxic biodegradation of aromatic hydrocarbons using Fe(III) ligands. Nature 1994, 370, 128–131. [Google Scholar] [CrossRef]
- Lovley, D.R.; Coates, J.D.; Blunt-Harris, E.L.; Phillips, E.J.P.; Woodward, J.C. Humic substances as electron acceptors for microbial respiration. Nature 1996, 382, 445–448. [Google Scholar] [CrossRef]
- Anderson, R.T.; Rooney-Varga, J.N.; Gaw, C.V.; Lovley, D.R. Anaerobic Benzene Oxidation in the Fe(III) Reduction Zone of Petroleum-Contaminated Aquifers. Environ. Sci. Technol. 1998, 32, 1222–1229. [Google Scholar] [CrossRef]
- Rooney-Varga, J.N.; Anderson, R.T.; Fraga, J.L.; Ringelberg, D.; Lovley, D.R. Microbial Communities Associated with Anaerobic Benzene Degradation in a Petroleum-Contaminated Aquifer. Appl. Environ. Microbiol. 1999, 65, 3056–3063. [Google Scholar] [CrossRef] [PubMed]
- Kunapuli, U.; Griebler, C.; Beller, H.R.; Meckenstock, R.U. Identification of intermediates formed during anaerobic benzene degradation by an iron-reducing enrichment culture. Environ. Microbiol. 2008, 10, 1703–1712. [Google Scholar] [CrossRef] [PubMed]
- A Edwards, E.; E Wills, L.; Reinhard, M.; Grbić-Galić, D. Anaerobic degradation of toluene and xylene by aquifer microorganisms under sulfate-reducing conditions. Appl. Environ. Microbiol. 1992, 58, 794–800. [Google Scholar] [CrossRef]
- Morasch, B.; Schink, B.; Tebbe, C.C.; Meckenstock, R.U. Degradation of o -xylene and m -xylene by a novel sulfate-reducer belonging to the genus Desulfotomaculum. Arch. Microbiol. 2004, 181, 407–417. [Google Scholar] [CrossRef]
- Meckenstock, R.U.; Warthmann, R.J.; Schã¤Fer, W. Inhibition of anaerobic microbial o-xylene degradation by toluene in sulfidogenic sediment columns and pure cultures. FEMS Microbiol. Ecol. 2004, 47, 381–386. [Google Scholar] [CrossRef]
- Rabus, R.; Widdel, F. Anaerobic Degradation of Ethylbenzene and Other Aromatic Hydrocarbons by New Denitrifying Bacteria; Springer: Berlin/Heidelberg, Germany, 1995. [Google Scholar]
- Fries, M.R.; Zhou, J.; Chee-Sanford, J.; Tiedje, J.M. Isolation, characterization, and distribution of denitrifying toluene degraders from a variety of habitats. Appl. Environ. Microbiol. 1994, 60, 2802–2810. [Google Scholar] [CrossRef]
- Häner, A.; Höhener, P.; Zeyer, J. Degradation of p-xylene by a denitrifying enrichment culture. Appl. Environ. Microbiol. 1995, 61, 3185–3188. [Google Scholar] [CrossRef]
- Jahn, M.K.; Haderlein, S.B.; Meckenstock, R.U. Anaerobic Degradation of Benzene, Toluene, Ethylbenzene, and o-Xylene in Sediment-Free Iron-Reducing Enrichment Cultures. Appl. Environ. Microbiol. 2005, 71, 3355–3358. [Google Scholar] [CrossRef]
- Botton, S.; Parsons, J.R. Degradation of BTX by dissimilatory iron-reducing cultures. Biodegradation 2006, 18, 371–381. [Google Scholar] [CrossRef] [PubMed]
- Lovley, D.R. Potential for anaerobic bioremediation of BTEX in petroleum-contaminated aquifers. J. Ind. Microbiol. Biotechnol. 1997, 18, 75–81. [Google Scholar] [CrossRef]
- Foght, J. Anaerobic Biodegradation of Aromatic Hydrocarbons: Pathways and Prospects. Microb. Physiol. 2008, 15, 93–120. [Google Scholar] [CrossRef] [PubMed]
- Mello, J.M.M.; Brandão, H.L.; Valério, A.; de Souza, A.A.U.; de Oliveira, D.; da Silva, A.; de Souza, S.M.A.G.U. Biodegradation of BTEX compounds from petrochemical wastewater: Kinetic and toxicity. J. Water Process. Eng. 2019, 32, 100914. [Google Scholar] [CrossRef]
- Meyer, C.L.; Sun, P.T. Iron-assisted activated sludge for removal of btex and other volatile organics from recovered groundwater. Proc. Water Environ. Fed. 2003, 2003, 471–490. [Google Scholar] [CrossRef]
- Castro, A.R.; Martins, G.; Salvador, A.F.; Cavaleiro, A.J. Iron Compounds in Anaerobic Degradation of Petroleum Hydrocarbons: A Review. Microorganisms 2022, 10, 2142. [Google Scholar] [CrossRef]
- Srivastava, P.; Al-Obaidi, S.A.; Webster, G.; Weightman, A.J.; Sapsford, D.J. Towards passive bioremediation of dye-bearing effluents using hydrous ferric oxide wastes: Mechanisms, products and microbiology. J. Environ. Manag. 2022, 317, 115332. [Google Scholar] [CrossRef]
- Shariati, S.R.P.; Bonakdarpour, B.; Zare, N.; Ashtiani, F.Z. The effect of hydraulic retention time on the performance and fouling characteristics of membrane sequencing batch reactors used for the treatment of synthetic petroleum refinery wastewater. Bioresour. Technol. 2011, 102, 7692–7699. [Google Scholar] [CrossRef]
- Schwertmann, U.; Cornell, R.M. The Iron Oxides. In Iron Oxides in the Laboratory; VcH: Weinheim, Germany, 2000; pp. 5–18. [Google Scholar]
- Webster, G.; Newberry, C.J.; Fry, J.C.; Weightman, A.J. Assessment of bacterial community structure in the deep sub-seafloor biosphere by 16S rDNA-based techniques: A cautionary tale. J. Microbiol. Methods 2003, 55, 155–164. [Google Scholar] [CrossRef]
- Kozich, J.J.; Westcott, S.L.; Baxter, N.T.; Highlander, S.K.; Schloss, P.D. Development of a dual-index sequencing strategy and curation pipeline for analyzing amplicon sequence data on the MiSeq Illumina sequencing platform. Appl. Environ. Microbiol. 2013, 79, 5112–5120. [Google Scholar] [CrossRef]
- Caporaso, J.G.; Kuczynski, J.; Stombaugh, J.; Bittinger, K.; Bushman, F.D.; Costello, E.K.; Fierer, N.; Gonzalez Peña, A.; Goodrich, J.K.; Gordon, J.I.; et al. QIIME allows analysis of high-throughput community sequencing data. Nat. Methods 2010, 7, 335–336. [Google Scholar] [CrossRef] [PubMed]
- Altschul, S.F.; Gish, W.; Miller, W.; Myers, E.W.; Lipman, D.J. Basic local alignment search tool. J. Mol. Biol. 1990, 215, 403–410. [Google Scholar] [CrossRef] [PubMed]
- Cornell, R.M.; Schwertmann, U. (Eds.) Characterization. In The Iron Oxides; VcH: Weinheim, Germany, 2003; pp. 139–183. [Google Scholar]
- Barnes, A. The Rates and Mechanisms of Fe(ll) Oxidation in a Passive Vertical Flow Reactor for the Treatment of Ferruginous Mine Water; Cardiff University: Cardiff, UK, 2008. [Google Scholar]
- Singh, B.; Gräfe, M.; Kaur, N.; Liese, A. Applications of Synchrotron-Based X-Ray Diffraction and X-Ray Absorption Spectroscopy to the Understanding of Poorly Crystalline and Metal-Substituted Iron Oxides. In Developments in Soil Science; Elsevier: Amsterdam, The Netherlands, 2010. [Google Scholar]
- Da, A. Adsorption from theory to practice. Adv. Colloid Interface Sci. 2001, 93, 135–224. [Google Scholar]
- Gupta, V.K. Suhas Application of low-cost adsorbents for dye removal—A review. J. Environ. Manag. 2009, 90, 2313–2342. [Google Scholar] [CrossRef] [PubMed]
- Foo, K.; Hameed, B. Insights into the modeling of adsorption isotherm systems. Chem. Eng. J. 2010, 156, 2–10. [Google Scholar] [CrossRef]
- Kotoky, R.; Ogawa, N.; Pandey, P. The structure-function relationship of bacterial transcriptional regulators as a target for enhanced biodegradation of aromatic hydrocarbons. Microbiol. Res. 2022, 262, 127087. [Google Scholar] [CrossRef]
- Gibson, D.T. Microbial Transformations of Aromatic Pollutants. In Aquatic Pollutants; Elsevier: Amsterdam, The Netherlands, 1978. [Google Scholar] [CrossRef]
- Hidalgo, K.J.; Sierra-Garcia, I.N.; Dellagnezze, B.M.; de Oliveira, V.M. Metagenomic Insights Into the Mechanisms for Biodegradation of Polycyclic Aromatic Hydrocarbons in the Oil Supply Chain. Front. Microbiol. 2020, 11, 561506. [Google Scholar] [CrossRef]
- Wu, Z.; Liu, G.; Ji, Y.; Li, P.; Yu, X.; Qiao, W.; Wang, B.; Shi, K.; Liu, W.; Liang, B.; et al. Electron acceptors determine the BTEX degradation capacity of anaerobic microbiota via regulating the microbial community. Environ. Res. 2022, 215, 114420. [Google Scholar] [CrossRef]
- Baedecker, M.J.; Cozzarelli, I.M.; Eganhouse, R.P.; Siegel, D.I.; Bennett, P.C. Crude oil in a shallow sand and gravel aquifer—III. Biogeochemical reactions and mass balance modeling in anoxic groundwater. Appl. Geochem. 1993, 8, 569–586. [Google Scholar] [CrossRef]
- Krumholz, L.R.; Caldwell, M.E.; Suflita, J.M. Biodegradation of ‘BTEX’ hydrocarbons under anaerobic conditions. In Bioremediation; Cambridge University Press: Cambridge, UK, 2009; pp. 61–99. [Google Scholar] [CrossRef]
- Carmona, M.; Zamarro, M.T.; Blázquez, B.; Durante-Rodríguez, G.; Juárez, J.F.; Valderrama, J.A.; Barragán, M.J.L.; García, J.L.; Díaz, E. Anaerobic Catabolism of Aromatic Compounds: A Genetic and Genomic View. Microbiol. Mol. Biol. Rev. 2009, 73, 71–133. [Google Scholar] [CrossRef]
- El-Naas, M.H.; Acio, J.A.; El Telib, A.E. Aerobic biodegradation of BTEX: Progresses and Prospects. J. Environ. Chem. Eng. 2014, 2, 1104–1122. [Google Scholar] [CrossRef]
- De Nardi, I.R.; Zaiat, M.; Foresti, E. Kinetics of BTEX degradation in a packed-bed anaerobic reactor. Biodegradation 2006, 18, 83–90. [Google Scholar] [CrossRef] [PubMed]
- Khodaei, K.; Nassery, H.R.; Asadi, M.M.; Mohammadzadeh, H.; Mahmoodlu, M.G. BTEX biodegradation in contaminated groundwater using a novel strain (Pseudomonas sp. BTEX-30). Int. Biodeterior. Biodegrad. 2017, 116, 234–242. [Google Scholar] [CrossRef]
- Yadav, J.S.; A Reddy, C. Degradation of benzene, toluene, ethylbenzene, and xylenes (BTEX) by the lignin-degrading basidiomycete Phanerochaete chrysosporium. Appl. Environ. Microbiol. 1993, 59, 756–762. [Google Scholar] [CrossRef] [PubMed]
- Kennes, C.; Cox, H.H.J.; Doddema, H.J.; Harder, W. Design and performance of biofilters for the removal of alkylbenzene vapors. J. Chem. Technol. Biotechnol. 1996, 66, 300–304. [Google Scholar] [CrossRef]
- Aizpuru, A.; Malhautier, L.; Roux, J.-C.; Fanlo, J.-L. Biofiltration of a Mixture of Volatile Organic Emissions. J. Air Waste Manag. Assoc. 2001, 51, 1662–1670. [Google Scholar] [CrossRef]
- Gorby, Y.A.; Yanina, S.; McLean, J.S.; Rosso, K.M.; Moyles, D.; Dohnalkova, A.; Beveridge, T.J.; Chang, I.S.; Kim, B.H.; Kim, K.S.; et al. Electrically conductive bacterial nanowires produced by Shewanella oneidensis strain MR-1 and other microorganisms. Proc. Natl. Acad. Sci. USA 2006, 103, 11358–11363. [Google Scholar] [CrossRef]
- Regberg, A.; Singha, K.; Tien, M.; Picardal, F.; Zheng, Q.; Schieber, J.; Roden, E.; Brantley, S.L. Electrical conductivity as an indicator of iron reduction rates in abiotic and biotic systems. Water Resour. Res. 2011, 47. [Google Scholar] [CrossRef]
- Gusmão, V.R.; Martins, T.H.; Chinalia, F.A.; Sakamoto, I.K.; HenriqueThiemann, O.; Varesche, M.B.A. BTEX and ethanol removal in horizontal-flow anaerobic immobilized biomass reactor, under denitrifying condition. Process. Biochem. 2006, 41, 1391–1400. [Google Scholar] [CrossRef]
- You, Y.; Shim, J.; Cho, C.; Ryu, M.; Shea, P.J.; Kamala-Kannan, S.; Chae, J.; Oh, B. Biodegradation of BTEX mixture by Pseudomonas putida YNS1 isolated from oil-contaminated soil. J. Basic Microbiol. 2012, 53, 469–475. [Google Scholar] [CrossRef]
- Hu, Z.-F.; Dou, J.-F.; Liu, X.; Zheng, X.-L.; Deng, D. Anaerobic biodegradation of benzene series compounds by mixed cultures based on optional electronic acceptors. J. Environ. Sci. 2007, 19, 1049–1054. [Google Scholar] [CrossRef] [PubMed]
- Rosenkranz, F.; Cabrol, L.; Carballa, M.; Donoso-Bravo, A.; Cruz, L.; Ruiz-Filippi, G.; Chamy, R.; Lema, J. Relationship between phenol degradation efficiency and microbial community structure in an anaerobic SBR. Water Res. 2013, 47, 6739–6749. [Google Scholar] [CrossRef] [PubMed]
- Alfreider, A.; Vogt, C. Bacterial Diversity and Aerobic Biodegradation Potential in a BTEX-Contaminated Aquifer. Water, Air, Soil Pollut. 2007, 183, 415–426. [Google Scholar] [CrossRef]
- Siddique, T.; Penner, T.; Klassen, J.; Nesbø, C.; Foght, J.M. Microbial Communities Involved in Methane Production from Hydrocarbons in Oil Sands Tailings. Environ. Sci. Technol. 2012, 46, 9802–9810. [Google Scholar] [CrossRef]
- Huang, H.; Jiang, Y.; Zhao, J.; Li, S.; Schulz, S.; Deng, L. BTEX biodegradation is linked to bacterial community assembly patterns in contaminated groundwater ecosystem. J. Hazard. Mater. 2021, 419, 126205. [Google Scholar] [CrossRef]
- van der Zaan, B.M.; Saia, F.T.; Stams, A.J.M.; Plugge, C.M.; de Vos, W.M.; Smidt, H.; Langenhoff, A.A.M.; Gerritse, J. Anaerobic benzene degradation under denitrifying conditions: Peptococcaceae as dominant benzene degraders and evidence for a syntrophic process. Environ. Microbiol. 2012, 14, 1171–1181. [Google Scholar] [CrossRef]
- Takahata, Y.; Kasai, Y.; Hoaki, T.; Watanabe, K. Rapid intrinsic biodegradation of benzene, toluene, and xylenes at the boundary of a gasoline-contaminated plume under natural attenuation. Appl. Microbiol. Biotechnol. 2006, 73, 713–722. [Google Scholar] [CrossRef]
- Huang, Y.; Li, L. Biodegradation Characteristics of Naphthalene and Benzene, Toluene, Ethyl Benzene, and Xylene (BTEX) by Bacteria Enriched from Activated Sludge. Water Environ. Res. 2014, 86, 277–284. [Google Scholar] [CrossRef]
- Lueders, T. The ecology of anaerobic degraders of BTEX hydrocarbons in aquifers. FEMS Microbiol. Ecol. 2016, 93, fiw220. [Google Scholar] [CrossRef]
- Prakash, O.; Gihring, T.M.; Dalton, D.D.; Chin, K.-J.; Green, S.J.; Akob, D.M.; Wanger, G.; Kostka, J.E. Geobacter daltonii sp. nov., an Fe(III)- and uranium(VI)-reducing bacterium isolated from a shallow subsurface exposed to mixed heavy metal and hydrocarbon contamination. Int. J. Syst. Evol. Microbiol. 2010, 60, 546–553. [Google Scholar] [CrossRef]
- Coates, J.D.; Ellis, D.J.; Gaw, C.V.; Lovley, D.R. Geothrix ferrnentans gen. nov., sp. nov., a novel Fe(l1l)-reducing bacterium from a hydrocarbon-contaminated aquifer. Int. J. Syst. Evol. Microbiol. 1999, 49, 1615–1622. [Google Scholar] [CrossRef] [PubMed]
- Sperfeld, M.; Rauschenbach, C.; Diekert, G.; Studenik, S. Microbial community of a gasworks aquifer and identification of nitrate-reducing Azoarcus and Georgfuchsia as key players in BTEX degradation. Water Res. 2018, 132, 146–157. [Google Scholar] [CrossRef] [PubMed]
- Park, H.S.; Kim, B.H.; Kim, H.S.; Kim, H.J.; Kim, G.T.; Kim, M.; Chang, I.S.; Park, Y.K.; Chang, H.I. A Novel Electrochemically Active and Fe(III)-reducing Bacterium Phylogenetically Related to Clostridium butyricum Isolated from a Microbial Fuel Cell. Anaerobe 2001, 7, 297–306. [Google Scholar] [CrossRef]
- Castro, L.; García-Balboa, C.; González, F.; Ballester, A.; Blázquez, M.L.; Muñoz, J.A. Effectiveness of anaerobic iron bio-reduction of jarosite and the influence of humic substances. Hydrometallurgy 2013, 131–132, 29–33. [Google Scholar] [CrossRef]
- Wei, M.; Yu, Z.; Zhang, H. Molecular characterization of microbial communities in bioaerosols of a coal mine by 454 pyrosequencing and real-time PCR. J. Environ. Sci. 2015, 30, 241–251. [Google Scholar] [CrossRef]
- Da Silva, M.L.B.; Alvarez, P.J.J. Effects of Ethanol versus MTBE on Benzene, Toluene, Ethylbenzene, and Xylene Natural Attenuation in Aquifer Columns. J. Environ. Eng. 2002, 128, 862–867. [Google Scholar] [CrossRef]
- Morlett-Chávez, J.A.; Ascacio-Martínez, J.; Rivas-Estilla, A.M.; Velázquez-Vadillo, J.F.; Haskins, W.E.; Barrera-Saldaña, H.A.; Acuña-Askar, K. Kinetics of BTEX biodegradation by a microbial consortium acclimatized to unleaded gasoline and bacterial strains isolated from it. Int. Biodeterior. Biodegrad. 2010, 64, 581–587. [Google Scholar] [CrossRef]
- Van der Zee, F.P.; Cervantes, F.J. Impact and application of electron shuttles on the redox (bio)transformation of contaminants: A review. Biotechnol. Adv. 2009, 27, 256–277. [Google Scholar] [CrossRef]
- Ivanov, V. Microbiology of Environmental Engineering Systems. In Environmental Biotechnology; Wang, L.K., Ivanov, V., Tay, J.-H., Eds.; Humana Press: Totowa, NJ, USA, 2010; pp. 19–79. [Google Scholar] [CrossRef]
- Plumb, J.J.; Bell, J.; Stuckey, D.C. Microbial Populations Associated with Treatment of an Industrial Dye Effluent in an Anaerobic Baffled Reactor. Appl. Environ. Microbiol. 2001, 67, 3226–3235. [Google Scholar] [CrossRef]
- Zhu, Y.; Cao, X.; Cheng, Y.; Zhu, T. Performances and structures of functional microbial communities in the mono azo dye decolorization and mineralization stages. Chemosphere 2018, 210, 1051–1060. [Google Scholar] [CrossRef]
- Smalley, J.W.; Silver, J.; Birss, A.J.; Withnall, R.; Titler, P.J. The haem pigment of the oral anaerobes Prevotella nigrescens and Prevotella intermedia is composed of iron(III) protoporphyrin IX in the monomeric form. Microbiology 2003, 149, 1711–1718. [Google Scholar] [CrossRef] [PubMed]
- Grabowski, A.; Tindall, B.J.; Bardin, V.; Blanchet, D.; Jeanthon, C. Petrimonas sulfuriphila gen. nov., sp. nov., a mesophilic fermentative bacterium isolated from a biodegraded oil reservoir. Int. J. Syst. Evol. Microbiol. 2005, 55, 1113–1121. [Google Scholar] [CrossRef] [PubMed]
- Joshi, G.; Schmidt, R.; Scow, K.M.; Denison, M.S.; Hristova, K.R. Effect of benzene and ethylbenzene on the transcription of methyl-tert-butyl ether degradation genes of Methylibium petroleiphilum PM1. Microbiology 2016, 162, 1563–1571. [Google Scholar] [CrossRef] [PubMed]
- Hristova, K.R.; Schmidt, R.; Chakicherla, A.Y.; Legler, T.C.; Wu, J.; Chain, P.S.; Scow, K.M.; Kane, S.R. Comparative Transcriptome Analysis of Methylibium petroleiphilum PM1 Exposed to the Fuel Oxygenates Methyl tert -Butyl Ether and Ethanol. Appl. Environ. Microbiol. 2007, 73, 7347–7357. [Google Scholar] [CrossRef]





| Media | Degradation Rate (µM/day) | |||
|---|---|---|---|---|
| Benzene | Toluene | Ethylbenzene | Xylene | |
| NMWTS | 0.9 | 0.6 | 0.8 | 0.7 |
| NWTS | 2.7 | 1.9 | 1.7 | 1.3 |
| NMX | 0.2 | 0.2 | 0.2 | 1.4 |
| AMWTS | 0.09 | 1.4 | 0.7 | 0.7 |
| AWTS | 1.8 | 1.6 | 1.9 | 1.9 |
| AMX | 0.9 | 1.2 | 0.2 | 1.3 |
Disclaimer/Publisher’s Note: The statements, opinions and data contained in all publications are solely those of the individual author(s) and contributor(s) and not of MDPI and/or the editor(s). MDPI and/or the editor(s) disclaim responsibility for any injury to people or property resulting from any ideas, methods, instructions or products referred to in the content. |
© 2024 by the authors. Licensee MDPI, Basel, Switzerland. This article is an open access article distributed under the terms and conditions of the Creative Commons Attribution (CC BY) license (https://creativecommons.org/licenses/by/4.0/).
Share and Cite
Al-Obaidi, S.A.; Srivastava, P.; Webster, G.; Weightman, A.J.; Sapsford, D. Iron Oxide-Bearing Wastes as Media for Supporting Biodegradation of BTEX. Minerals 2024, 14, 1231. https://doi.org/10.3390/min14121231
Al-Obaidi SA, Srivastava P, Webster G, Weightman AJ, Sapsford D. Iron Oxide-Bearing Wastes as Media for Supporting Biodegradation of BTEX. Minerals. 2024; 14(12):1231. https://doi.org/10.3390/min14121231
Chicago/Turabian StyleAl-Obaidi, Safaa A., Pallavee Srivastava, Gordon Webster, Andrew J. Weightman, and Devin Sapsford. 2024. "Iron Oxide-Bearing Wastes as Media for Supporting Biodegradation of BTEX" Minerals 14, no. 12: 1231. https://doi.org/10.3390/min14121231
APA StyleAl-Obaidi, S. A., Srivastava, P., Webster, G., Weightman, A. J., & Sapsford, D. (2024). Iron Oxide-Bearing Wastes as Media for Supporting Biodegradation of BTEX. Minerals, 14(12), 1231. https://doi.org/10.3390/min14121231

