Identification of Some Gem Quality Blue to Green Li-Tourmalines
Abstract
:1. Introduction
2. Materials and Methods
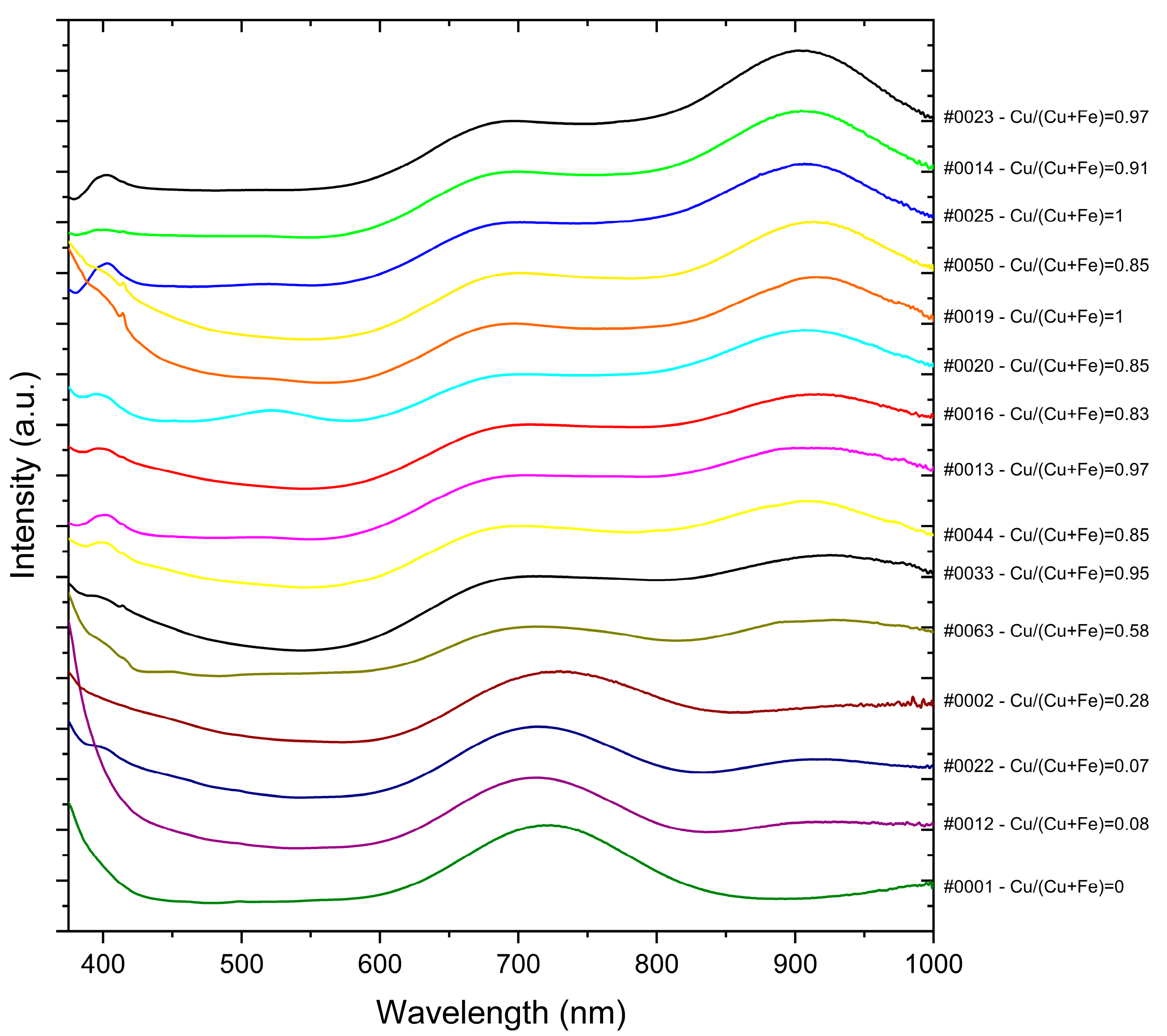
3. Results and Discussion
4. Conclusions
Author Contributions
Funding
Data Availability Statement
Conflicts of Interest
References
- Henry, D.J.; Novák, M.; Hawthorne, F.C.; Ertl, A.; Dutrow, B.L.; Uher, P.; Pezzotta, F. Nomenclature of the Tourmaline-Supergroup Minerals. Am. Mineral. 2011, 96, 895–913. [Google Scholar] [CrossRef]
- Pezzotta, F.; Laurs, B.M. Tourmaline: The Kaleidoscopic Gemstone. Elements 2011, 7, 333–338. [Google Scholar] [CrossRef]
- Fritsch, E.; Shigley, J.E.; Rossman, G.R.; Mercer, M.E.; Muhlmeister, S.M.; Moon, M. Gem-Quality Cuprian-Elbaite Tourmalines from São José de Batalha, Paraíba, Brazil. Gems Gemol. 1990, 26, 189–205. [Google Scholar] [CrossRef]
- Abduriyim, A.; Kitawaki, H.; Furuya, M.; Schwarz, D. “Paraiba”-Type Copper-Bearing Tourmaline Form Brazil, Nigeria, and Mozambique: Chemical Fingerprint by LA-ICP-MS. Gems Gemol. 2006, 42, 4–21. [Google Scholar] [CrossRef]
- LMHC Standardised Gemmological Report Wording LMHC Information Sheet #6. Available online: https://www.lmhc-gemmology.org/wp-content/uploads/2023/06/LMHC-Information-Sheet_6_V8_2023.pdf (accessed on 5 October 2023).
- Shigley, J.E.; Cook, B.C.; Laurs, B.M.; de Oliveira Bernardes, M. An Update on “Paraíba” Tourmaline from Brazil. Gems Gemol. 2001, 37, 260–276. [Google Scholar] [CrossRef]
- Okrusch, M.; Ertl, A.; Schüssler, U.; Tillmanns, E.; Brätz, H.; Bank, H. Major- and Trace-Element Composition of Paraíba-Type Tourmaline from Brazil, Mozambique and Nigeria. J. Gemmol. 2016, 35, 120–139. [Google Scholar] [CrossRef]
- Karampelas, S.; Klemm, L. “Neon” Blue-to-Green Cu-and Mn-Bearing Liddicoatite Tourmaline. Gems Gemol. 2010, 46, 323–325. [Google Scholar]
- Katsurada, Y.; Sun, Z. Cuprian Liddicoatite Tourmaline. Gems Gemol. 2017, 53, 34–41. [Google Scholar] [CrossRef]
- Katsurada, Y.; Sun, Z.; Breeding, C.M.; Dutrow, B.L. Geographic Origin Determination of Paraíba Tourmaline. Gems Gemol. 2019, 55, 648–659. [Google Scholar] [CrossRef]
- Ertl, A.; Giester, G.; Schüssler, U.; Brätz, H.; Okrusch, M.; Tillmanns, E.; Bank, H. Cu- and Mn-Bearing Tourmalines from Brazil and Mozambique: Crystal Structures, Chemistry and Correlations. Miner. Pet. 2013, 107, 265–279. [Google Scholar] [CrossRef]
- Merkel, P.B.; Breeding, C.M. Spectral Differentiation Between Copper and Iron Colorants in Gem Tourmalines. Gem Gemol. 2009, 45, 112–119. [Google Scholar] [CrossRef]
- Laurs, B.M.; Zwaan, J.C.; Breeding, C.M.; Simmons, W.B.; Beaton, D.; Rijsdijk, K.F.; Befi, R.; Falster, A.U. Copper-Bearing (Paraiba-Type) Tourmaline from Mozambique. Gems Gemol. 2008, 44, 294–320. [Google Scholar] [CrossRef]
- Sun, Z.; Palke, A.C.; Breeding, C.M.; Dutrow, B. A New Method for Determining Gem Tourmaline Species by LA-ICP-MS. Gems Gemol. 2019, 55, 2–17. [Google Scholar] [CrossRef]
- Hennebois, U.; Delaunay, A.; Karampelas, S. Separating Elbaite from Liddicoatite Paraiba-Type Tourmaline. J. Gemmol. 2022, 38, 317–319. [Google Scholar] [CrossRef]
- Watenphul, A.; Burgdorf, M.; Schlüter, J.; Horn, I.; Malcherek, T.; Mihailova, B. Exploring the Potential of Raman Spectroscopy for Crystallochemical Analyses of Complex Hydrous Silicates: II. Tourmalines. Am. Mineral. 2016, 101, 970–985. [Google Scholar] [CrossRef]
- Van Hinsberg, V.J.; Henry, D.J.; Marschall, H.R. Tourmaline: An Ideal Indicator of Its Host Environment. Can. Miner. 2011, 49, 1–16. [Google Scholar] [CrossRef]
- Hawthorne, F.C.; Dirlam, D.M. Tourmaline the Indicator Mineral: From Atomic Arrangement to Viking Navigation. Elements 2011, 7, 307–312. [Google Scholar] [CrossRef]
- Musiyachenko, K.A.; Korsakov, A.V.; Shimizu, R.; Zelenovskiy, P.S.; Shur, V.Y. New Insights on Raman Spectrum of K-Bearing Tourmaline. J. Raman Spectrosc. 2020, 51, 1415–1424. [Google Scholar] [CrossRef]
- Korsakov, A.V.; Rezvukhina, O.V.; Rezvukhin, D.I.; Greshnyakov, E.D.; Shur, V.Y. Dumortierite and Tourmaline from the Barchi-Kol Diamond-Bearing Kyanite Gneisses (Kokchetav Massif): A Raman Spectroscopic Study and Petrological Implications. J. Raman Spectrosc. 2020, 51, 1839–1848. [Google Scholar] [CrossRef]
- Krzemnicki, M.S.; Wang, H.A.O. Paraiba or Not? Cu-Bearing Tourmaline with a Distinct Fe Concentration. J. Gemmol. 2022, 38, 20–22. [Google Scholar] [CrossRef]
- Brandstatter, F.; Niedermayr, G. Copper and Tenorite Inclusions in Cuprian-Elbaite Tourmaline from Paraiba, Brazil. Gems Gemol. 1994, 30, 178–183. [Google Scholar] [CrossRef]
- Hartley, A. Native Copper Inclusions in a Cu-Bearing Tourmaline. J. Gemmol. 2018, 36, 203. [Google Scholar]
- Wang, H.A.O.; Grolimund, D.; Franz, L.; Mathys, D.; Schultz-Güttler, R.; Krzemnicki, M.S. Further Characterisation of Native Copper Inclusions In-Bearing Tourmaline. J. Gemmol. 2023, 38, 427–429. [Google Scholar] [CrossRef]
- Rossman, G.R.; Fritsch, E.; Shigley, J.E. Origin of Color in Cuprian Elbaite from São José de Batalha, Paraíba, Brazil. Am. Mineral. 1991, 76, 1479–1484. [Google Scholar]
- Milisenda, C.C.; Müller, S. REE Photoluminescence in Paraìba Type Tourmaline from Mozambique. In Proceedings of the 35th International Gemmological Conference, Windhoek, Namibia, 11–15 October 2017; pp. 71–73. [Google Scholar]
- Lenz, C.; Nasdala, L.; Talla, D.; Hauzenberger, C.; Seitz, R.; Kolitsch, U. Laser-Induced REE3+ Photoluminescence of Selected Accessory Minerals—An “Advantageous Artefact” in Raman Spectroscopy. Chem Geol 2015, 415, 1–16. [Google Scholar] [CrossRef]
- Alvarez, M.A.; Coy-Yll, R. Raman Spectra of Tourmaline. Spectrochim. Acta 1978, 34, 899–908. [Google Scholar] [CrossRef]
- Watenphul, A.; Schlüter, J.; Bosi, F.; Skogby, H.; Malcherek, T.; Mihailova, B. Influence of the Octahedral Cationic-Site Occupancies on the Framework Vibrations of Li-Free Tourmalines, with Implications for Estimating Temperature and Oxygen Fugacity in Host Rocks. Am. Mineral. 2016, 101, 2554–2563. [Google Scholar] [CrossRef]








| Sample | Provenance | Weight (ct) | Dimensions (mm) | Color | Shape-Cut |
|---|---|---|---|---|---|
| #0001 | Nigeria | 2.584 | 9.19 × 7.04 × 4.83 | Greenish blue | Rectangular-Step |
| #0002 | Brazil | 0.738 | 6.32 × 4.65 × 2.97 | Dark greyish green | Rectangular Corner Cut-Step |
| #0012 | Nigeria | 0.460 | 4.45 × 4.60 × 3.20 | Yellowish green | Round-Brillant |
| #0013 | Nigeria | 0.746 | 6.01 × 4.88 × 3.51 | Light greenish blue | Oval-Brillant |
| #0014 | Nigeria | 0.864 | 6.54 × 5.15 × 3.15 | Light greenish blue | Oval-Brillant |
| #0016 | Mozambique | 0.352 | 5.41 × 3.79 × 2.54 | Bluish green | Oval-Brillant |
| #0019 | Mozambique | 1.278 | 9.26 × 4.69 × 3.59 | Light bluish green | Cushion-Brillant |
| #0020 | Nigeria | 1.526 | 8.82 × 5.97 × 4.67 | Light purplish blue | Pear-Brillant |
| #0022 | Nigeria | 0.627 | 5.36 × 4.76 × 3.77 | Yellowish green | Oval-Brillant |
| #0023 | Nigeria | 0.190 | 5.82 × 3.21 × 1.62 | Light greenish blue | Pear-Brillant |
| #0025 | Nigeria | 0.269 | 5.09 × 3.89 × 2.43 | Light greenish blue | Pear-Brillant |
| #0033 | Mozambique | 2.618 | 8.38 × 8.50 × 4.11 | Bluish green | Round-Brillant |
| #0044 | Mozambique | 0.903 | 6.72 × 5.23 × 3.63 | Light bluish green | Oval-Brillant |
| #0050 | Mozambique | 3.424 | 11.63 × 8.59 × 4.11 | Bluish green | Pear-Brillant |
| #0063 | Brazil | 0.219 | 4.49 × 3.17 × 2.29 | Greyish blue green | Oval-Brillant |
| Sample | #0001 | #0002 | #0012 | #0013 | #0014 | #0016 | #0019 | #0020 | #0022 | #0023 | #0025 | #0033 | #0044 | #0050 | #0063 |
|---|---|---|---|---|---|---|---|---|---|---|---|---|---|---|---|
| Na2O | 3.73(6) | 2.20(8) | 2.24(7) | 2.78(10) | 1.96(6) | 2.76(8) | 4.16(7) | 3.01(6) | 2.54(7) | 1.42(8) | 1.41(8) | 3.70(7) | 1.74(6) | 3.92(6) | 3.061(8) |
| MgO | 0.65(2) | 1.11(3) | 0.81(2) | 1.12(3) | 0.75(2) | 1.13(3) | 0.62(2) | 0.59(2) | 0.85(2) | 0.43(2) | 0.45(2) | 0.55(2) | 0.64(2) | 0.57(2) | 1.06(3) |
| Al2O3 | 36.30(6) | 34.10(7) | 36.53(7) | 36.46(10) | 36.90(7) | 34.57(7) | 34.44(6) | 38.84(6) | 35.82(7) | 33.57(8) | 33.90(8) | 35.38(6) | 33.00(7) | 36.00(6) | 34.84(8) |
| SiO2 | 36.69(8) | 36.40(10) | 38.73(10) | 37.3(2) | 38.84(9) | 37.0(1) | 36.36(8) | 37.77(8) | 38.68(10) | 41.8(1) | 42.4(1) | 36.77(8) | 37.69(10) | 36.54(7) | 36.4(1) |
| K2O | 0.014(1) | 0.040(2) | 0.050(2) | 0.114(4) | 0.040(2) | 0.056(3) | 0.025(1) | 0.018(1) | 0.089(4) | 0.048(3) | 0.053(3) | 0.027(1) | 0.074(2) | 0.016(2) | 0.120(4) |
| CaO | 0.251(3) | 0.328(4) | 0.543(6) | 0.802(9) | 0.896(7) | 0.613(6) | 0.199(3) | 0.352(4) | 0.716(6) | 1.30(1) | 1.31(1) | 0.236(3) | 3.87(1) | 0.051(2) | 0.473(6) |
| TiO2 | 0 | 0.128(3) | 0.014(1) | 0.008(2) | 0.0015(7) | 0.062(3) | 0.032(2) | 0 | 0.021(2) | 0.001(1) | 0 | 0.048(2) | 0.031(2) | 0.018(1) | 0.023(2) |
| V2O3 | 0 | 0.003(1) | 0.0015(7) | 0 | 0 | 0 | 0.0017(8) | 0 | 0 | 0 | 0 | 0.0013(8) | 0 | 0 | 0.002(1) |
| Cr2O3 | 0 | 0 | 0 | 0 | 0 | 0 | 0 | 0 | 0 | 0 | 0 | 0.0014(6) | 0 | 0 | 0.031(1) |
| MnO | 0.502(5) | 1.69(1) | 0.336(5) | 1.44(1) | 1.149(7) | 3.64(2) | 4.94(1) | 0.182(3) | 0.418(5) | 1.47(1) | 0.675(8) | 3.91(1) | 3.14(1) | 3.65(1) | 3.17(1) |
| FeO | 2.713(9) | 3.36(1) | 1.321(8) | 0.012(3) | 0.025(2) | 0.139(5) | 0 | 0.024(1) | 1.433(8) | 0.014(3) | 0 | 0.014(3) | 0.082(4) | 0.025(3) | 0.465(7) |
| CuO | 0 | 1.440(4) | 0.126(1) | 0.446(3) | 0.271(2) | 0.762(3) | 0.115(1) | 0.151(1) | 0.122(1) | 0.547(3) | 0.481(3) | 0.315(2) | 0.512(2) | 0.158(1) | 0.714(3) |
| ZnO | 0.130(1) | 0.133(1) | 0.226(1) | 0.309(2) | 0.0042(3) | 0.106(1) | 0.0014(2) | 0.0035(2) | 0.215(1) | 0.140(1) | 0.0031(4) | 0.0013(2) | 0.0014(3) | 0 | 0.469(2) |
| Ga2O3 | 0.0170(3) | 0.0107(5) | 0.0188(5) | 0.0220(7) | 0.0221(4) | 0.0198(5) | 0.0552(6) | 0.0197(4) | 0.0205(5) | 0.0241(7) | 0.0206(6) | 0.0363(5) | 0.0541(7) | 0.0425(5) | 0.0247(6) |
| PbO | 0.0085(2) | 0.0140(4) | 0.0360(5) | 0.118(1) | 0.0795(6) | 0.0059(3) | 0.0059(3) | 0.0198(4) | 0.0382(5) | 0.179(1) | 0.202(1) | 0.0034(2) | 0.0530(6) | 0.0012(1) | 0.0101(4) |
| Bi2O3 | 0 | 0.0536(6) | 0.0289(4) | 0.0288(6) | 0.0600(6) | 0.0956(7) | 0.0565(5) | 0.0188(3) | 0.0302(4) | 0.0463(7) | 0.0670(8) | 0.0177(3) | 0.1056(7) | 0.0055(2) | 0.1780(8) |
| X site | |||||||||||||||
| Na | 1.076 | 0.641 | 0.637 | 0.797 | 0.557 | 0.799 | 1.212 | 0.854 | 0.725 | 0.403 | 0.397 | 1.072 | 0.506 | 1.135 | 0.891 |
| K | 0.003 | 0.008 | 0.009 | 0.022 | 0.007 | 0.011 | 0.005 | 0.003 | 0.017 | 0.009 | 0.010 | 0.005 | 0.014 | 0.003 | 0.023 |
| Ca | 0.040 | 0.053 | 0.086 | 0.127 | 0.141 | 0.098 | 0.032 | 0.055 | 0.113 | 0.204 | 0.205 | 0.038 | 0.622 | 0.008 | 0.076 |
| vacancy | 0 | 0.298 | 0.268 | 0.054 | 0.295 | 0.092 | 0 | 0.088 | 0.145 | 0.384 | 0.388 | 0 | 0 | 0 | 0.010 |
| T site | |||||||||||||||
| Si | 5.463 | 5.484 | 5.692 | 5.527 | 5.696 | 5.542 | 5.470 | 5.524 | 5.703 | 6.128 | 6.187 | 5.497 | 5.652 | 5.454 | 5.460 |
| Al | 0.537 | 0.516 | 0.308 | 0.473 | 0.304 | 0.458 | 0.530 | 0.476 | 0.297 | 0 | 0 | 0.503 | 0.348 | 0.546 | 0.540 |
| Z+Y sites | |||||||||||||||
| Al | 6.166 | 5.807 | 6.328 | 6.261 | 6.377 | 5.948 | 5.851 | 6.662 | 6.225 | 5.800 | 5.827 | 6.043 | 5.787 | 6.105 | 5.911 |
| Li | 1.796 | 1.818 | 1.773 | 1.786 | 1.769 | 1.805 | 1.815 | 1.765 | 1.779 | 1.768 | 1.759 | 1.803 | 1.809 | 1.801 | 1.811 |
| Fe | 0.338 | 0.423 | 0.162 | 0.001 | 0.003 | 0.017 | 0 | 0.003 | 0.177 | 0.002 | 0 | 0.002 | 0.010 | 0.003 | 0.058 |
| Cu | 0 | 0.164 | 0.014 | 0.050 | 0.030 | 0.086 | 0.013 | 0.017 | 0.014 | 0.061 | 0.053 | 0.036 | 0.058 | 0.018 | 0.081 |
| Mn | 0.063 | 0.215 | 0.042 | 0.181 | 0.143 | 0.461 | 0.629 | 0.023 | 0.052 | 0.183 | 0.083 | 0.495 | 0.399 | 0.461 | 0.403 |
| Mg | 0.144 | 0.25 | 0.177 | 0.248 | 0.164 | 0.253 | 0.139 | 0.128 | 0.188 | 0.094 | 0.097 | 0.121 | 0.143 | 0.127 | 0.236 |
| Ti | 0 | 0.015 | 0.002 | 0.001 | 0.001 | 0.007 | 0.004 | 0 | 0.002 | 0.001 | 0 | 0.005 | 0.003 | 0.002 | 0.003 |
| Zn | 0.014 | 0.015 | 0.025 | 0.034 | 0.001 | 0.012 | 0.001 | 0.001 | 0.023 | 0.015 | 0.001 | 0.001 | 0.001 | 0 | 0.052 |
| V | 0 | 0.0004 | 0.0002 | 0 | 0 | 0 | 0.0002 | 0 | 0 | 0 | 0 | 0.0001 | 0 | 0 | 0.0002 |
| Cr | 0 | 0 | 0 | 0 | 0 | 0 | 0 | 0 | 0 | 0 | 0 | 0.0001 | 0 | 0 | 0.004 |
| Ga | 0.00163 | 0.00103 | 0.00178 | 0.00209 | 0.00208 | 0.0019 | 0.00533 | 0.00184 | 0.00194 | 0.00227 | 0.00192 | 0.00348 | 0.00524 | 0.00407 | 0.00235 |
| Pb | 0.0003 | 0.0006 | 0.001 | 0.005 | 0.003 | 0.0002 | 0.0002 | 0.001 | 0.002 | 0.007 | 0.008 | 0.0001 | 0.002 | 0.0001 | 0.0004 |
| Bi | 0 | 0.002 | 0.001 | 0.001 | 0.002 | 0.004 | 0.002 | 0.0007 | 0.001 | 0.002 | 0.003 | 0.0007 | 0.004 | 0.0002 | 0.007 |
| V site | |||||||||||||||
| OH | 3.000 | 3.000 | 3.000 | 3.000 | 3.000 | 3.000 | 3.000 | 3.000 | 3.000 | 3.000 | 3.000 | 3.000 | 3.000 | 3.000 | 3.000 |
| W site | |||||||||||||||
| OH | 0.972 | 1.020 | 0.922 | 0.951 | 0.9126 | 0.992 | 1.014 | 0.903 | 0.934 | 0.911 | 0.891 | 0.988 | 1.001 | 0.982 | 1.006 |
| F | 0.256 | 0.259 | 0.252 | 0.254 | 0.2518 | 0.257 | 0.258 | 0.251 | 0.253 | 0.252 | 0.250 | 0.257 | 0.257 | 0.256 | 0.258 |
Disclaimer/Publisher’s Note: The statements, opinions and data contained in all publications are solely those of the individual author(s) and contributor(s) and not of MDPI and/or the editor(s). MDPI and/or the editor(s) disclaim responsibility for any injury to people or property resulting from any ideas, methods, instructions or products referred to in the content. |
© 2023 by the authors. Licensee MDPI, Basel, Switzerland. This article is an open access article distributed under the terms and conditions of the Creative Commons Attribution (CC BY) license (https://creativecommons.org/licenses/by/4.0/).
Share and Cite
Pasetti, L.; Borromeo, L.; Bersani, D.; Andò, S.; Schnellrath, J.; Hennebois, U.; Karampelas, S. Identification of Some Gem Quality Blue to Green Li-Tourmalines. Minerals 2024, 14, 44. https://doi.org/10.3390/min14010044
Pasetti L, Borromeo L, Bersani D, Andò S, Schnellrath J, Hennebois U, Karampelas S. Identification of Some Gem Quality Blue to Green Li-Tourmalines. Minerals. 2024; 14(1):44. https://doi.org/10.3390/min14010044
Chicago/Turabian StylePasetti, Lorenzo, Laura Borromeo, Danilo Bersani, Sergio Andò, Jurgen Schnellrath, Ugo Hennebois, and Stefanos Karampelas. 2024. "Identification of Some Gem Quality Blue to Green Li-Tourmalines" Minerals 14, no. 1: 44. https://doi.org/10.3390/min14010044
APA StylePasetti, L., Borromeo, L., Bersani, D., Andò, S., Schnellrath, J., Hennebois, U., & Karampelas, S. (2024). Identification of Some Gem Quality Blue to Green Li-Tourmalines. Minerals, 14(1), 44. https://doi.org/10.3390/min14010044

