CoDA-Based Geo-Electrochemical Prospecting Prediction of Uranium Orebodies in Changjiang Area, Guangdong Province, China
Abstract
:1. Introduction
2. Geological Background
2.1. Regional Geological Conditions
2.2. Geological Features of Study Area
3. Method and Technology
3.1. Geo-Electrochemical Technology and Test Analysis
3.1.1. The Geo-Electrochemical Method
3.1.2. Measuring Line, Measuring Point Layout, and Device
3.1.3. Fieldwork Process
3.1.4. Sample Analysis and Testing
3.2. Geo-Electrochemical Technology and Test Analysis
- (1)
- Taking an original data matrix Xij (m × n, where m represents the number of samples and n denotes the number of types of elements) as an example, two distinct transformations will be presented. clr transformation:
- (2)
- ilr transformation:
3.3. Multi-Fractal S-A Model
4. Results and Discussion
4.1. Feasibility Analysis
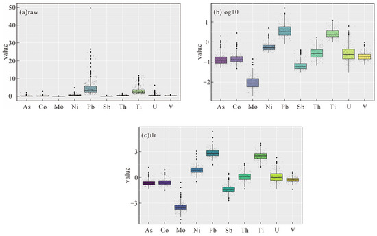
4.2. Descriptive Statistical Analysis
4.3. CoDA Results
4.3.1. Principal Component Biplot
4.3.2. Geochemical Association Mapping
4.4. Multifractal S-A Model Results
4.5. Discussion and Target Delineation
4.5.1. Mineral Prospectivity Analysis
4.5.2. Target Division
Target I
Target II
Target III
Target IV
5. Conclusions
- (1)
- The ilr-transformed data can eliminate the closure problem of geo-electrochemical data, which can be better used for classical statistical analysis.
- (2)
- Using the ilr-transformed data, classical principal component analysis (PCA) and robust principal component analysis (RPCA) were performed to better reflect the interrelationships between the elements. From a metallogenic background, RPCA identified two different element associations: the first group represented by Th-U-Pb-As as the main ore-forming element association, and the second group represented by Ti-V-Co-Ni-Mo-Sb as the metallogenic background.
- (3)
- By using the S-A model, the background and anomalies of geo-electrochemical data are identified, combined with the geological background, and four mineral exploration targets are delineated.
Author Contributions
Funding
Data Availability Statement
Acknowledgments
Conflicts of Interest
References
- Fei, X.Q. The result of experiment with method of partial metal extraction in several mining areas. Geophys. Geochem. Explor. 1984, 8, 162–166, (In Chinese with English Abstract). [Google Scholar]
- Xu, B.L.; Fei, X.Q.; Wang, H.P. Electrogeochemical extraction technique in the prospecting of buried gold deposits. J. Geochem. Explor. 1989, 33, 99–108. [Google Scholar]
- Luo, X.R. The Mechanism of Electrogeochemical Halo-Formation and the Application of Electrogeochemical Method to Exploration of Metallic ore Deposits. Ph.D. Thesis, Hefei University of Technology, Hefei, China, 2005. (In Chinese with English Abstract). [Google Scholar]
- Liu, P.F.; Luo, X.R.; Wen, M.L.; Zhang, J.L.; Zheng, C.J.; Gao, W.; Ouyang, F. Geoelectrochemical anomaly prospecting for uranium deposits in southeastern China. Appl. Geochem. 2018, 97, 226–237. [Google Scholar] [CrossRef]
- Liu, P.F.; Luo, X.R.; Wen, M.L.; Zhang, J.L.; Gao, W.; Ouyang, F.; Duan, X.C. Using electrogeochemical approach to explore buried gold deposits in an alpine meadow-covered area. Acta Geochim. 2018, 37, 402–413. [Google Scholar] [CrossRef]
- Liu, P.F.; Luo, X.R.; Wen, M.L.; Anand, R.; Thorne, R.; Zhang, J.L.; Zhang, J.L. Application of the geoelectrochemical extraction method to the Xiyi Pb-Zn deposit in southwestern China. J. Geochem. Explor. 2019, 203, 1–26. [Google Scholar] [CrossRef]
- Liu, P.F.; Luo, X.R.; Wen, M.L.; Zhang, J.L.; Zheng, C.J.; Yang, L.K.; Wei, X.J. Retrospect and prospect for geo-electrochemical technology research in the past three decades of China. J. Guilin Univ. Technol. 2018, 38, 47–55, (In Chinese with English Abstract). [Google Scholar]
- Liu, P.F.; Luo, X.R.; Wen, M.L.; Zheng, C.J.; Ouyang, F.; Shan, J.T.; Gao, W. Main study progress and prospect of geo-electrochemistry technology in China. Met. Mine 2022, 11, 10–22, (In Chinese with English Abstract). [Google Scholar] [CrossRef]
- Ryss, Y.S.; Antropova, L.V.; Goldberg, I.S. Using of electrochemical method for search, evaluation and determination of reserves of deep-seated deposits. Sov. Geol. 1977, 6, 139–144. [Google Scholar]
- Shmakin, B.M. The method of partial extraction of metals in a constant current electrical field for geochemical exploration. J. Geochem. Explor. 1985, 23, 27–33. [Google Scholar] [CrossRef]
- Talapatra, A.K.; Talakdar, R.C.; De, P.K. Electrochemical technique for exploration of base-metal sulphides. J. Geochm. Explor. 1986, 25, 389–396. [Google Scholar] [CrossRef]
- Smith, D.B.; Hoover, D.B.; Sanzolone, R.F. Development and testing of the CHIM electrogeochemical exploration method. In USGS Research on Mineral Resources, Program and Abstracts; U.S. Geological Survey Circular 1062; U.S. Geological Survey: Reston, VA, USA, 1991; pp. 74–75. [Google Scholar]
- Leinz, R.W.; Hoover, D.B.; Fey, D.L.; Smith, D.B. Electrogeochemical sampling with NEOCHIM—Results of tests over buried gold deposits. J. Geochem. Explor. 1998, 61, 57–86. [Google Scholar] [CrossRef]
- Leinz, R.W.; Hoover, D.B. The Russian CHIM method—Electrically or diffussion-driven collection of ions? Explore 1993, 79, 5–9. [Google Scholar]
- Alekseev, S.G.; Dukhanin, A.S.; Veshev, S.A.; Voroshilov, N.A. Some aspects of practical use of electrogeochemical methods of exploration for deep-seated mineralization. J. Geochem. Explor. 1996, 56, 79–86. [Google Scholar] [CrossRef]
- Aitchison, J. The statistical analysis of compositional data. J. R. Stat. Soc. Ser. B (Stat. Methodol.) 1982, 44, 139–177. [Google Scholar] [CrossRef]
- Aitchison, J. The Statistical Analysis of Compositional Data; Chapman and Hall Ltd.: London, UK, 1986; pp. 1–416. [Google Scholar]
- Liu, Y.; Cheng, Q.M.; Zhou, K.F.; Xia, Q.L.; Wang, X.Q. Multivariate analysis for geochemical process identification using stream sediment geochemical data: A perspective from compositional data. Geochem. J. 2016, 50, 293–314. [Google Scholar] [CrossRef]
- Wang, Z.; Shi, W.J.; Zhou, W.; Li, X.Y.; Yue, T.X. Comparison of additive and isometric log-ratio transformations combined with machine learning and regression kriging models for mapping soil particle size fractions. Geoderma 2020, 365, 114–214. [Google Scholar] [CrossRef]
- Wang, L.; Liu, B.L.; Jennifer, M.M.; Mark, R.C.; Li, C.; Kong, Y.H.; Shan, M.X. Compositional data analysis of regional geochemical data in the Lhasa area of Tibet, China. Appl. Geochem. 2018, 135, 105108. [Google Scholar] [CrossRef]
- Zheng, C.J.; Liu, P.F.; Luo, X.R.; Wen, M.L.; Huang, W.B.; Liu, G.; Wu, X.G.; Chen, Z.S.; Albanese, S. Application of compositional data analysis in geochemical exploration for concealed deposits: A case study of Ashele copper-zinc deposit, Xinjiang, China. Appl. Geochem. 2021, 130, 104997. [Google Scholar] [CrossRef]
- Pingitore, N.E., Jr.; Engle, M.A. Compositional Closure—Its Origin Lies Not in Mathematics but Rather in Nature Itself. Minerals 2022, 12, 74. [Google Scholar] [CrossRef]
- Tolosana-Delgado, R.; Mueller, U.; van den Boogaart, K.G. Geostatistics for Compositional Data: An Overview. Math. Geosci. 2019, 51, 485–526. [Google Scholar] [CrossRef]
- Allard, D.; Marchant, T. Means and Covariance Functions for Geostatistical Compositional Data: An Axiomatic Approach. Math. Geosci. 2018, 50, 299–315. [Google Scholar] [CrossRef]
- Zuo, R.G.; Xia, Q.L.; Wang, H.C. Compositional data analysis in the study of integrated geochemical anomalies associated with mineralization. Appl. Geochem. 2013, 28, 202–211. [Google Scholar] [CrossRef]
- Graffelman, J.; Pawlowsky-Glahn, V.; Egozcue, J.J.; Buccianti, A. Exploration of geochemical data with compositional canonical biplots. J. Geochm. Explor. 2018, 194, 120–133. [Google Scholar] [CrossRef] [PubMed]
- Nishio, I.; Morishita, T.; Tamura, A.; Itano, K.; Takamizawa, S.; Ichiyama, Y.; Arai, S.; Barrett, N.; Szilas, K. Formation of Ultra-Depleted Mantle Peridotites and Their Relationship with Boninitic Melts: An Example From the Kamuikotan Unit, Hokkaido, Japan. J. Geophys. Res. Solid Earth 2023, 128. [Google Scholar] [CrossRef]
- Cicchella, D.; Ambrosino, M.; Gramazio, A.; Coraggio, F.; Musto, M.A.; Caputi, A.; Avagliano, D.; Albanese, S. Using multivariate compositional data analysis (CoDA) and clustering to establish geochemical backgrounds in stream sediments of an onshore oil deposits area. The Agri River basin (Italy) case study. J. Geochm. Explor. 2022, 238, 107012. [Google Scholar] [CrossRef]
- Zheng, W.B.; Liu, B.L.; Tang, J.X.; Jennifer, M.M.; Mark, R.R.; Tang, P.; Lin, B.; Li, C.; Wang, L.; Zhang, D. Exploration indicators of the Jiama porphyry–skarn deposit, southern Tibet, China. J. Geochem. Explor. 2022, 236, 106982. [Google Scholar] [CrossRef]
- Zuo, R.G.; Carranza, E.J.M.; Wang, J. Spatial analysis and visualization of exploration geochemical data. Earth-Sci. Rev. 2016, 158, 9–18. [Google Scholar] [CrossRef]
- Zuo, R.G.; Xia, Q.L.; Zhang, D.J. A comparison study of the C–A and S–A models with singularity analysis to identify geochemical anomalies in covered areas. Appl. Geochem. 2013, 33, 165–172. [Google Scholar] [CrossRef]
- Zuo, R.G.; Wang, J. Fractal/multifractal modeling of geochemical data: A review. J. Geochem. Explor. 2016, 164, 33–41. [Google Scholar] [CrossRef]
- Cheng, Q.M.; Agterberg, F.P.; Ballantyne, S.B. The separation of geochemical anomalies from background by fractal methods. J. Geochem. Explor. 1994, 51, 109–130. [Google Scholar] [CrossRef]
- Cheng, Q.M.; Agterberg, F.P. Multifractal modeling and spatial statistics. Math. Geol. 1996, 28, 1–16. [Google Scholar] [CrossRef]
- Liu, J.G.; Li, Z.Y.; Nie, J.T.; Jin, N.X.; Zhao, Y.T.; Tao, Y. Study on Structural Properties and Prospecting Significance of Youdong Fault in Changjiang Uranium Orefield, South Zhuguang. Uranium Geol. 2019, 35, 199–205, (In Chinese with English Abstract). [Google Scholar]
- Zou, D.F. Geochemical study of the Uranium ore in Xiazhuang Uranium ore Fields, Northern Guangdong Province. Master’s Thesis, China University of Geosciences, Wuhan, China, 2012. (In Chinese with English Abstract). [Google Scholar]
- Chen, X.; Wen, C.H.; Meng, D.B.; Li, B.; Jiang, B.G.; Qin, J.N. Implications of Major and Trace Element Migration in Altered Granites for Hydrothermal Alteration and Granite-Related Uranium Mineralization in the Sanjiu Ore Field, South China. Minerals 2022, 12, 144. [Google Scholar] [CrossRef]
- Sun, B.B. Study on the Formation Mechanism of Geoelectrochemical Anomaly and the Standardization of Prospecting Technology. Master’s Thesis, China University of Geosciences (Beijing), Beijing, China, 2017. (In Chinese with English Abstract). [Google Scholar]
- Shi, Y.H.; Yang, Z.P.; Huang, J.H.; Zhou, Q.M.; Xiong, C.X. Determination of Trace Elements in Electrical Absorption Prospecting Polyform Sample by Coupled Plasma Mass Spectrometry. Spectrosc. Spectr. Anal. 2009, 29, 1687–1690, (In Chinese with English Abstract). [Google Scholar]
- Lloyd, C.D.; Pawlowsky-Glahn, V.; Egozcue, J.J. Compositional data analysis in population studies. Ann. Am. Assoc. Geogr. 2012, 102, 1251–1266. [Google Scholar] [CrossRef]
- Filzmoser, P.; Hron, K.; Templ, M. Applied Compositional Data Analysis; Springer International Publishing: Cham, Switzerland, 2018; p. 288. [Google Scholar] [CrossRef]
- Liu, Y.; Cheng, Q.M.; Xia, Q.L.; Wang, X.Q. Application of singularity analysis for mineral potential identification using geochemical data—A case study: Nanling W-Sn-Mo polymetallic metallogenic belt, South China. J. Geochem. Explor. 2013, 134, 61–72. [Google Scholar] [CrossRef]
- Zuo, R.G. Identification of geochemical anomalies associated with mineralization in the Fanshan district, Fujian, China. J. Geochem. Explor. 2014, 139, 170–176. [Google Scholar] [CrossRef]
- Filzmoser, P.; Hron, K.; Reimann, C. Principal component analysis for compositional data with outliers. Environmetrics 2009, 20, 621–632. [Google Scholar] [CrossRef]
- Zuo, R.G. Identification of weak geochemical anomalies using robust neighborhood statistics coupled with GIS in covered areas. J. Geochem. Explor. 2014, 136, 93–101. [Google Scholar] [CrossRef]
- Aitchison, J.; Greenacre, M. Biplots of compositional data. J. R. Stat. Soc. 2002, 51, 375–392. [Google Scholar] [CrossRef]
- Carranza, E.J.M. Analysis and mapping of geochemical anomalies using logratio-transformed stream sediment data with censored values. J. Geochem. Explor. 2011, 110, 167–185. [Google Scholar] [CrossRef]
- Zuo, R.G.; Wang, J.; Xiong, Y.H.; Wang, Z.Y. The processing methods of geochemical exploration data: Past, present, and future. Appl. Geochem. 2021, 132, 105072. [Google Scholar] [CrossRef]
- Nazarpour, A.; Omran, N.R.; Paydar, G.R.; Sadeghi, B.; Matroud, F.; Nejad, A.M. Application of classical statistics, logratio transformation and multifractal approaches to delineate geochemical anomalies in the Zarshuran gold district, NW Iran. Geochemistry 2015, 75, 117–132. [Google Scholar] [CrossRef]
- Parsa, M.; Maghsoudi, A.; Ghezelbash, R. Decomposition of anomaly patterns of multi-element geochemical signatures in Ahar area, NW Iran: A comparison of U-spatial statistics and fractal models. Arab. J. Geosci. 2016, 9, 1–16. [Google Scholar] [CrossRef]
- Bølviken, B.; Stokke, P.R.; Feder, J.; Jössang, T. The fractal nature of geochemical landscapes. J. Geochem. Explor. 1992, 43, 91–109. [Google Scholar] [CrossRef]
- Ghasemzadeh, S.; Maghsoudi, A.; Yousefi, M.; Mihalasky, M.J. Stream sediment geochemical data analysis for district-scale mineral exploration targeting: Measuring the performance of the spatial U-statistic and CA fractal modeling. Ore Geol. Rev. 2019, 113, 103115. [Google Scholar] [CrossRef]
- Afzal, P.; Alghalandis, Y.F.; Khakzad, A.; Moarefvand, P.; Omran, N.R. Delineation of mineralization zones in porphyry Cu deposits by fractal concentration–volume modeling. J. Geochem. Explor. 2011, 108, 220–232. [Google Scholar] [CrossRef]
- Cheng, Q.M. Mapping singularities with stream sediment geochemical data for prediction of undiscovered mineral deposits in Gejiu, Yunnan Province, China. Ore Geol. Rev. 2007, 32, 314–324. [Google Scholar] [CrossRef]
- Cheng, Q.M. Multifractal distribution of eigenvalues and eigenvectors from 2D multiplicative cascade multifractal fields. Math. Geol. 2005, 37, 915–927. [Google Scholar] [CrossRef]
- Chen, G.X.; Cheng, Q.M. Singularity analysis based on wavelet transform of fractal measures for identifying geochemical anomaly in mineral exploration. Comput. Geosci. 2016, 87, 56–66. [Google Scholar] [CrossRef]
- Daya, A.A.; Afzal, P. A comparative study of concentration-area (CA) and spectrum-area (SA) fractal models for separating geochemical anomalies in Shorabhaji region, NW Iran. Arab. J. Geosci. 2015, 8, 8263–8275. [Google Scholar] [CrossRef]
- Liu, B.L.; Guo, K.; Li, C.; Zhou, J.; Liu, X.M.; Wang, X.Q.; Wang, L. Copper prospectivity in Tibet, China: Based on the identification of geochemical anomalies. Ore Geol. Rev. 2020, 120, 102632. [Google Scholar] [CrossRef]
- Zhao, Z.H.; Qiao, K.; Liu, Y.W.; Chen, J.; Li, C.L. Geochemical Data Mining by Integrated Multivariate Component Data Analysis: The Heilongjiang Duobaoshan Area (China) Case Study. Minerals 2022, 12, 1035. [Google Scholar] [CrossRef]
- Zuo, R.G.; Wang, J.L. ArcFractal: An ArcGIS add-in for processing geoscience data using fractal/multifractal models. Nat. Resour. Res. 2020, 29, 3–12. [Google Scholar] [CrossRef]
- Hu, P.; Yan, Q.S.; Ye, S.X.; Cao, H.J.; Ruan, K.; Long, Z.Q. Characteristics of Remobilization, Migration and Enrichment of Uranium Related to Intersection-Type Uranium Deposits: A case Study of the Hesi Area, Guangdong Province. Geol. Explor. 2020, 56, 478–490, (In Chinese with English Abstract). [Google Scholar]
- Cuney, M. Felsic magmatism and uranium deposits. Bull. De La Société Géologique De Fr. 2014, 185, 75–92. [Google Scholar] [CrossRef]











| Parameters | U | Th | Co | Ni | Pb | V | Ti | Mo | As | Sb | |
|---|---|---|---|---|---|---|---|---|---|---|---|
| Raw data | Mean value | 0.42 | 0.35 | 0.17 | 0.65 | 4.95 | 0.22 | 3.11 | 0.012 | 0.17 | 0.08 |
| Median | 0.24 | 0.27 | 0.13 | 0.52 | 3.42 | 0.18 | 2.48 | 0.009 | 0.13 | 0.06 | |
| Mode | 0.08 | 0.09 | 0.12 | 0.35 | 1.50 | 0.16 | 1.08 | 0.005 | 0.09 | 0.05 | |
| Min value | 0.03 | 0.07 | 0.05 | 0.28 | 0.77 | 0.07 | 1.01 | 0.002 | 0.05 | 0.03 | |
| Max value | 6.23 | 1.62 | 2.86 | 4.93 | 49.67 | 0.95 | 11.79 | 0.145 | 2.01 | 0.40 | |
| Coefficient of variation | 1.45 | 0.75 | 1.18 | 0.69 | 1.04 | 0.53 | 0.67 | 1.09 | 1.08 | 0.71 | |
| Skewness | 5.51 | 1.92 | 9.87 | 4.79 | 4.19 | 2.68 | 2.03 | 5.954 | 5.61 | 3.26 | |
| Kurtosis | 41.70 | 4.41 | 122.89 | 35.87 | 26.54 | 10.84 | 4.29 | 48.378 | 43.30 | 12.87 | |
| Standard deviation | 0.60 | 0.26 | 0.21 | 0.45 | 5.15 | 0.11 | 2.08 | 0.013 | 0.19 | 0.06 | |
| Lg-data | Skewness | 0.61 | 0.19 | 1.56 | 1.27 | 0.59 | 0.71 | 0.66 | 0.50 | 1.34 | 1.16 |
| Kurtosis | 0.67 | −0.42 | 5.64 | 2.38 | 0.44 | 0.85 | 0.04 | 1.33 | 2.74 | 1.66 | |
| Standard deviation | 0.37 | 0.29 | 0.22 | 0.20 | 0.31 | 0.18 | 0.24 | 0.29 | 0.26 | 0.21 | |
| Ilr-data | Skewness | 0.52 | 0.13 | 1.27 | 0.79 | 0.94 | −0.17 | 0.06 | 1.04 | 1.10 | 0.65 |
| Kurtosis | 0.58 | 0.36 | 2.91 | 2.83 | 2.88 | 0.89 | 0.64 | 4.19 | 2.13 | 2.11 | |
| Standard deviation | 0.63 | 0.54 | 0.36 | 0.38 | 0.48 | 0.29 | 0.49 | 0.56 | 0.41 | 0.50 | |
Disclaimer/Publisher’s Note: The statements, opinions and data contained in all publications are solely those of the individual author(s) and contributor(s) and not of MDPI and/or the editor(s). MDPI and/or the editor(s) disclaim responsibility for any injury to people or property resulting from any ideas, methods, instructions or products referred to in the content. |
© 2023 by the authors. Licensee MDPI, Basel, Switzerland. This article is an open access article distributed under the terms and conditions of the Creative Commons Attribution (CC BY) license (https://creativecommons.org/licenses/by/4.0/).
Share and Cite
Tang, R.; Sun, L.; Ouyang, F.; Xiao, K.; Li, C.; Kong, Y.; Xie, M.; Wu, Y.; Gao, Y. CoDA-Based Geo-Electrochemical Prospecting Prediction of Uranium Orebodies in Changjiang Area, Guangdong Province, China. Minerals 2024, 14, 15. https://doi.org/10.3390/min14010015
Tang R, Sun L, Ouyang F, Xiao K, Li C, Kong Y, Xie M, Wu Y, Gao Y. CoDA-Based Geo-Electrochemical Prospecting Prediction of Uranium Orebodies in Changjiang Area, Guangdong Province, China. Minerals. 2024; 14(1):15. https://doi.org/10.3390/min14010015
Chicago/Turabian StyleTang, Rui, Li Sun, Fei Ouyang, Keyan Xiao, Cheng Li, Yunhui Kong, Miao Xie, Yixiao Wu, and Yaxin Gao. 2024. "CoDA-Based Geo-Electrochemical Prospecting Prediction of Uranium Orebodies in Changjiang Area, Guangdong Province, China" Minerals 14, no. 1: 15. https://doi.org/10.3390/min14010015
APA StyleTang, R., Sun, L., Ouyang, F., Xiao, K., Li, C., Kong, Y., Xie, M., Wu, Y., & Gao, Y. (2024). CoDA-Based Geo-Electrochemical Prospecting Prediction of Uranium Orebodies in Changjiang Area, Guangdong Province, China. Minerals, 14(1), 15. https://doi.org/10.3390/min14010015

