Next Article in Journal
Study on the Galvanic Interaction of Gold and Main Associated Minerals Based on Density Functional Theory
Next Article in Special Issue
Characterization of Magnetic and Mineralogical Properties of Slag Particles from WEEE Processing
Previous Article in Journal
Reactivity of Basaltic Minerals for CO2 Sequestration via In Situ Mineralization: A Review
 
 
Font Type:
Arial Georgia Verdana
Font Size:
Aa Aa Aa
Line Spacing:
Column Width:
Background:
Article

Study on the Leaching Kinetics of Weathered Crust Elution-Deposited Rare Earth Ores by Hydroxypropyl Methyl Cellulose

1
Key Laboratory for Green Chemical Process of Ministry of Education, School of Resources & Safety Engineering, Wuhan Institute of Technology, Wuhan 430073, China
2
Key Laboratory of Resources Conversion and Pollution Control of the State Ethnic Affairs Commission, College of Resources and Environmental Science, South-Central Minzu University, Wuhan 430074, China
*
Author to whom correspondence should be addressed.
Minerals 2023, 13(9), 1156; https://doi.org/10.3390/min13091156
Submission received: 21 July 2023 / Revised: 29 August 2023 / Accepted: 29 August 2023 / Published: 31 August 2023

Abstract

:
In the process of the in situ leaching of weathered crust elution-deposited rare earth ores (WCE-DREOs), there are many problems in the conventional leaching agent, such as a slow leaching rate, low leaching yield and long leaching period. In order to solve the above problems, 2.0 wt% ammonium sulfate was mixed with hydroxypropyl methyl cellulose (HPMC). The effects of the HPMC concentration, temperature, pH and flow rate on the leaching kinetics of rare earth (RE) and aluminum (Al) were investigated. The results showed that when the concentration of HPMC was 0.05 wt%, the leaching equilibrium time of RE and Al was about 60% shorter than that of single ammonium sulfate. With an increase in the leaching temperature, the leaching equilibrium time of RE and Al decreased, and the apparent activation energy of RE and Al was 23.13 kJ/mol and 17.31 kJ/mol, respectively. The leaching process was in line with the internal diffusion kinetic control model. When the pH of the leaching agent was 4.02~8.01, the leaching yield of RE and Al was basically the same, but the leaching yield of Al was greatly increased at pH 2.0 due to a large amount of adsorbed hydroxy-Al in the RE ore eluded. The leaching yield reached the maximum when the flow rate was 0.7 mL/min. The leaching time and the leaching cost of RE can be saved by the composite leaching agent. The results provide theoretical guidance for the development and industrial application of the new composite leaching agent.

1. Introduction

Rare earths have excellent photoelectromagnetic thermal properties, which can significantly improve the performance of functional materials and composite materials, and they are known as industrial vitamins and are a very important strategic resource [1]. Rare earth minerals can be divided into mineral rare earth ores (MT-REOs) and weathered rare earth ores (WT-REOs) (also known as ion-adsorbed rare earth ores). As the main source of light rare earth (RE) minerals, MT-REOs are mainly represented by cerium fluorocarbon and monazite, which can be recovered and enriched through gravity separation, magnetic separation and flotation [2,3]. WT-REOs are mainly represented by weathered crust elution-deposited rare earth ores (WCE-DREOs), which are distributed in eight southern provinces of China, including Jiangxi, Fujian, Guangdong, Hunan, Guangxi, Hainan, Zhejiang and Yunnan. The RE of WCE-DREO is adsorbed on clay minerals in the form of hydrated ions or hydroxyl hydrated ions and are the main sources of medium and heavy rare-earth elements, which can only be recovered and enriched through ion exchange. After years of development of the mining process of WCE-DREO, the pool leaching process, pile leaching process and in situ leaching process have been developed [4]. Since the “mountain moving” movement is not carried out via the in situ leaching process, this process has little impact on the environment of RE mines, low labor intensity of workers and high production and operation safety, and it is widely used in RE mines [5].
It can be found that the earliest researched leaching agent of RE is NaCl, which has a low leaching efficiency of RE. The chief reason is that soil salinization is caused by the high concentration of NaCl, and the environment is polluted by the high-salt wastewater. In order to solve the shortcomings of the NaCl leaching agent, an ammonium salt leaching agent [6] has been developed, usually using 2.0–3.0 wt% ammonium sulfate as the RE-leaching agent. However, in the process of in situ leaching with ammonium sulfate as the RE-leaching agent, there are some problems, such as a slow leaching rate, low leaching yield and long leaching period, which lead to the difficulty of in situ leaching. In order to solve the above problems, researchers have carried out much work on the innovation of leaching agents. Tian et al. [7] took (NH4)2SO4 as the leaching agent and sesbania gum as the infiltration aid and found that sesbania gum was conducive to the seepage of the leaching agent and the improvement in the leaching efficiency of RE. Tian et al. [8] also studied the permeability aid performance of sesbania gum modified with a carboxylic acid base and found that the permeability of the leaching agent and the leaching efficiency of RE could be enhanced, and the consumption of leaching agent could be reduced. Luo et al. [9] used ammonium sulfate as the leaching agent to study the promoting permeation effect of Fulvic acid on the leaching of WCE-DREO. It was found that when the concentration of Fulvic acid was 0.1 wt%, the concentration of ammonium sulfate was reduced by 25%, and the leaching yield of RE was increased by 8.38%. The leaching process could be effectively promoted by the Fulvic acid. Zhang et al. [10] used surfactant sodium dodecyl sulfate (SDS) to improve the seepage effect of WCE-DREO and found that the leaching yield of WCE-DREO increased by about 5%, while 0.04 wt% SDS was added. Zhou et al. [11] researched cetyl trimethyl ammonium bromide (CTAB), dodecyl trimethyl ammonium bromide (DTAB), sodium dodecyl sulfate (SDS), sodium oleate and oleic acid being added into the leaching agent (NH4)2SO4 and NH4Cl, respectively. It was found that both the permeability of WCE-DREO and the leaching efficiency of RE can be improved and the leaching efficiency of Al could be inhibited by adding all five surfactants, indicating that the leaching process of WCE-DREO could be promoted by these five surfactants, and the leaching effect of CTAB was better than that of the other four surfactants. Therefore, the use of surfactants as leaching aids to enhance the leaching of RE has a good application prospect.
In this paper, hydroxypropyl methyl cellulose (HPMC), as a long-chain nonionic surfactant, is rich in hydroxyl, methoxy and propoxy groups, which makes HPMC have strong hydrophilicity. Therefore, HPMC is used as a leaching aid to combine with ammonium sulfate, a conventional RE-leaching agent of WCE-DREO, to form a composite leaching agent. The influence of the HPMC concentration, leaching temperature, leaching agent pH and leaching rate on leaching kinetics of RE and Al in WCE-DREO during the leaching process are discussed, and the reaction control type of the leaching process is determined. The optimized reaction factors provide theoretical guidance for the development and industrial application of a new composite leaching agent for WCE-DREO.

2. Materials and Methods

2.1. Materials

All reagents used in the experiment are of analytical grade. Hydroxypropylmethylcellulose (HPMC) was purchased from Macklin Reagent Co., Ltd. (Shanghai, China). Hydrochloric acid, ammonium sulfate, xylenol orange, sodium ethylenediamine tetraacetate, ammonia, hexamethylenetetramine, ascorbic acid and sulfosalicylic acid were purchased from Sinopharm Chemical Reagent Co., Ltd. (Shanghai, China). The RE ores used in the experiment with 0.15 wt% RE oxides were collected fromChongzuo, Guangxi, and the ore sample used in the dynamic experiment was broken to less than 20 mesh.
Instruments and equipment used were as follows: glass column (Φ = 45 mm), pH meter (DELTA320, Mettler Toledo Instruments Co., Ltd., Shanghai, China), CNC thermostat tank (THS-10, Shanghai Huxi Industrial Co., Ltd., Shanghai, China), electric thermostatic drying oven (XMTD-8222, Tianjin Teste Instrument Co., Ltd., Tianjin, China), peristaltic pump (BT100-2J, LeadFluid Technology Co., Ltd., Baoding, China).

2.2. Methods

2.2.1. Column Test

A 250 g ore sample, which had been baked at 60 °C for 12 h, was loaded into the glass column and shaken evenly, and the surface of the ore sample was covered with filter paper, and then, the glass column was vertically fixed on the iron rack. The leaching agent aqueous solution was uniformly sent to the top of the sample via a peristaltic pump, and a precision measuring cylinder was placed at the bottom of the glass column to collect the leaching solution. The timing began when the first drop of liquid flowed from the bottom of the glass column, the volume of the leaching solution was measured at intervals and the required time was recorded and finally the content of RE and Al in the leaching solution was analyzed. The glass column was used as a double-layer nested glass column. The water inlet and outlet of the glass column were connected with a temperature control circulating water tank in the temperature influence test, and the temperature of the water tank was adjusted to control the temperature of the RE ore column during immersion.

2.2.2. Analytical Methods

The total amount of RE in the leaching solution was analyzed via EDTA titration. The test procedure was as follows: an appropriate amount of the leaching solution was accurately measured and put into a 250 mL conical bottle containing 50 mL of distilled water. Then, 0.1 g of ascorbic acid and 1 mL of sodium sulfosalicylate were added into the conical bottle to hide impurity ions, such as magnesium and Al, and then, 1:1 hydrochloric acid and 1:1 ammonia were used to adjust the pH to 5.0~5.5. Next, 2.5 mL of hexamethylenetetramine hydrochloride buffer solution was added to ensure that the pH of the titration was maintained within the optimal range of discoloration, two drops of xylenol orange indicator were added and then, the solution was titrated with EDTA solution from purplish red to bright yellow, which was the end point, and three parts of the solution were titrated in parallel to take the average value, and the leaching yield of RE was calculated. The Al content in the leaching solution was measured using an inductively coupled plasma emission spectrometer (ICP-OES) (Avio200, PerkinElmer Inc., Waltham, MA, USA), and the actual Al concentration and leaching yield were calculated according to the dilution ratio.

2.2.3. Leaching Kinetics Model of WCE-DREO

The ore particles of WCE-DREO can be approximately regarded as spherical, and the shrinkage unreacted core model is adopted to describe the leaching-reaction process of RE. The following four dynamic control models may exist in the process [12,13,14]:
(1) Chemical reaction control
1 ( 1 α ) 1 3 = k t
(2) External diffusion control
1 ( 1 α ) 1 3 = k t
(3) Internal diffusion control
1 2 3 α ( 1 α ) 2 3 = k t
(4) Mix control
1 ( 1 α ) 1 3 = k C 0 M r 0 ρ t
where α is the leaching yield; k is the reaction rate constant, min−1; t is the leaching time, min; M is the mass of WCE-DREO; r0 is the initial particle size of WCE-DREO, mm; C0 is the concentration of leaching agent, mol/L; and ρ is the molar density of WCE-DREO.

3. Results and Discussion

3.1. Effects of the HPMC Concentration on the Leaching Kinetics of RE and Al

The concentration of ammonium sulfate in the complex leach agent was controlled to be 2.0 wt%, the leach temperature was 25 °C and the flow rate of the leach agent was 0.7 mL/min. The concentration of HPMC was changed, and the influence of the concentration of HPMC on the leach kinetics of RE and Al was discussed (Figure 1).
With the increase in time, the leaching yield of RE and Al first rose to the highest leaching rate and maintained equilibrium. With the increase in the HPMC concentration in the compound leach agent, the leach equilibrium time of RE and Al first decreased and then increased. When the concentration of HPMC was 0.05 wt%, the leaching equilibrium time of RE was reduced to the minimum, about 170 min, while the leaching equilibrium time of the single leaching agent ammonium sulfate was about 414 min, and the leaching equilibrium time was shortened by about 60%. After the addition of non-ionic surfactant to ammonium sulfate, the surface tension of the leach agent decreased, indicating that the composite leach agent has strong spreading and wetting ability on the mineral surface, and the contact probability of NH4+ with metal ions of mineral particles greatly increased, which made the ion exchange reaction more complete, helped the leach agent to spread and migrate in the ore body and contributed to the improvement in the leaching yield of RE [11]. At the same time, the migrating mineral particles can be enclosed and fixed by the long carbon chain of HPMC, preventing them from blocking the seepage channel, so that the leaching equilibrium time is greatly shortened. When the HPMC concentration was 0.05 wt%, the composite leach agent had reached the critical micelle concentration. Continuing to increase the concentration of HPMC, the surface tension remained stable, but the viscosity of the composite leaching agent increased, resulting in an increase in the seepage resistance and the leaching equilibrium time of RE [8]. Therefore, the optimal concentration of HPMC in the composite leach agent is 0.05 wt%.
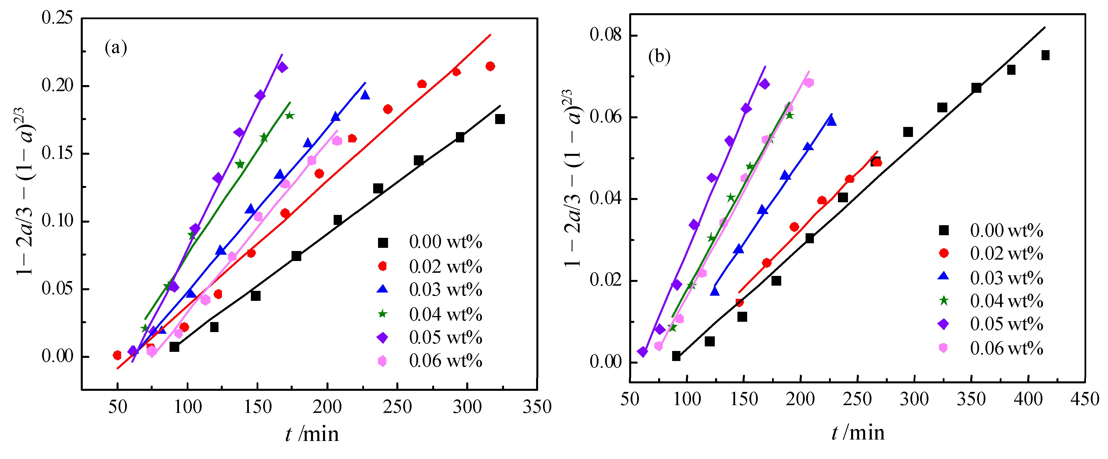
The results showed that only 1 2 α 3 ( 1 α ) 2 3 had a good linear relationship with t, and the highest fitting coefficient R2 could be reached, all of which were greater than 0.97 (Figure 2). This indicated that the composite leach process was controlled by the internal diffusion kinetic model, and the reaction rate constant k and fitting coefficient R2 are shown in Table 1. The reaction rate constant of the composite leaching system was greater than that of the single leaching system, and HPMC was helpful to improve the leaching rate and shorten the leaching equilibrium time. Under the same leaching conditions, the leaching apparent rate constant and the leaching rate of RE was higher than that of Al.
The internal diffusion kinetics equation can also be expressed in a concentration-dependent form as follows [15,16]:
1 2 α 3 ( 1 α ) 2 3 = k 0 C 0 n t
In combination with Formula (5), it is not difficult to find the following relationship:
k = k 0 C 0 n
So
l n k = n l n C 0 + l n k 0
where k0 is the reaction rate constant; n is the empirical response order; and C0 is the concentration of HPMC in the composite leaching agent.
It can be found from Figure 1 that when the HPMC concentration was between 0.02 and 0.05 wt%, the leaching rate increased with an increase in the HPMC concentration, so the concentration kinetic curve was fitted in this range. The HPMC concentration and reaction rate constants in Table 1 were substituted into Equation (7) to make a fitting line for lnC0 and lnk0 (Figure 3), and the fitting coefficients R2 were both greater than 0.96, further indicating that the composite leach process was controlled by the external diffusion kinetic model. The reaction order of leaching RE and Al is 0.9165 and 0.8905, respectively. Under the same leaching condition, the reaction rate constant of RE was greater than that of Al, indicating that the leaching equilibrium time of RE was shorter than that of Al, and the leaching rate of RE was faster than that of Al, and the leaching kinetics of RE was more affected by the concentration of HPMC than that of Al in the composite leaching process.

3.2. Effects of Temperature on the Leaching Kinetics of RE and Al

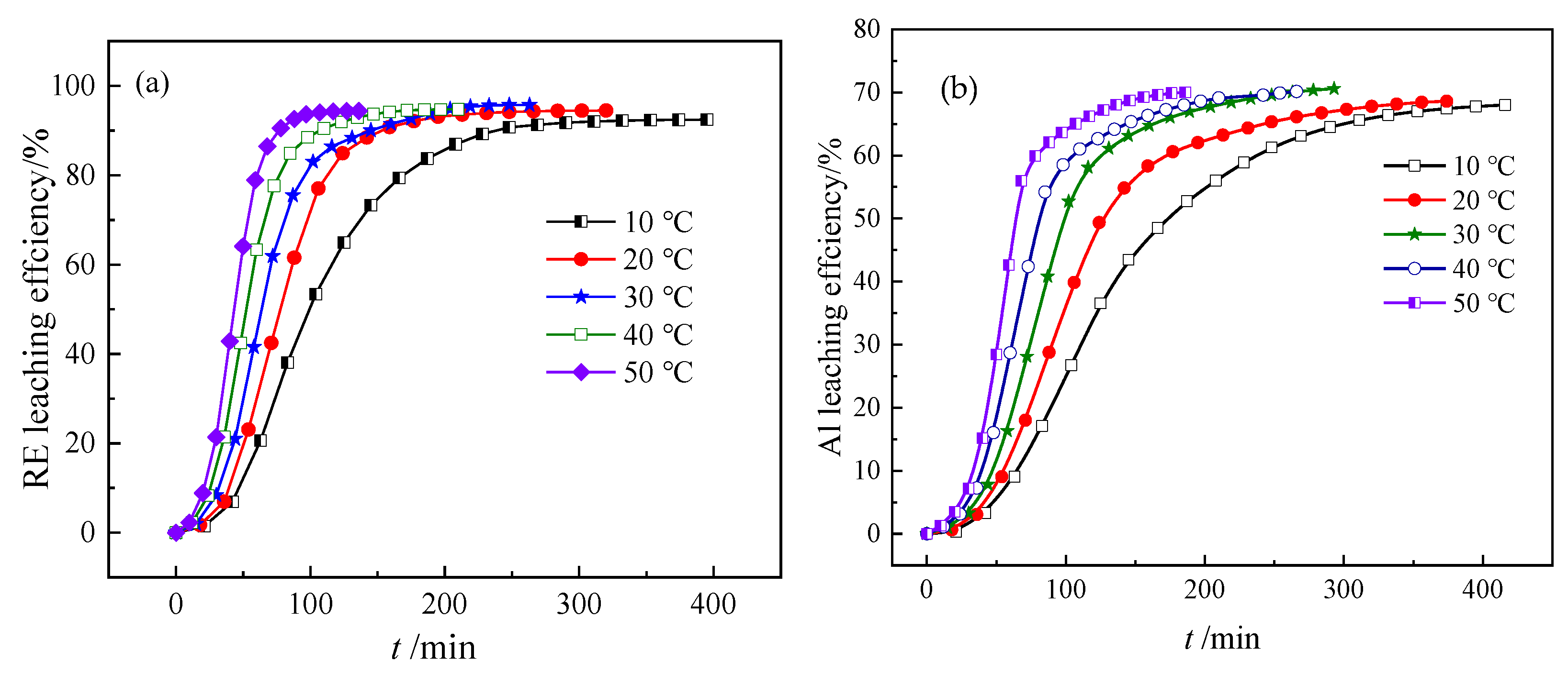
As shown in Figure 4, the effects of the leaching temperature on the leaching kinetics of RE and Al were explored by fixing the concentration of ammonium sulfate (2 wt%), the concentration of HPMC (0.05 wt%) and the leaching rate (0.7 mL/min).
The leaching equilibrium time of RE and Al continuously decreased with the increase in temperature. When the leaching occurred at a high temperature, the surface tension and viscosity of the leaching agent were decreased, and the molecular thermal movement rate of the leaching agent in the orebody was accelerated, which made the aqueous solution of the leaching agent easy to spread on the surface of mineral particles, resulting in an increase in the diffusion rate, a shortened leaching equilibrium time and an improvement in the leaching rate [12]. Meanwhile, the thickness of the liquid film can be affected by the increase in the leaching temperature. The kinetic energy and activity of ions and water molecules in the bonded water film around mineral particles can also be effected by the increase in the temperature, and some ions and water molecules were able to break away from the bondage of the double electric layer to become free water, resulting in a reduction in the thickness of the double electric layer, the expansion of the penetration channel, shortening of the leaching equilibrium time and an improvement in the leaching rate. In summary, the higher the leaching temperature, the smaller the viscosity and surface tension of the system and the thinner the double electric layer thickness of mineral particles, and the shorter the leaching equilibrium time, the more conducive it is to leaching.
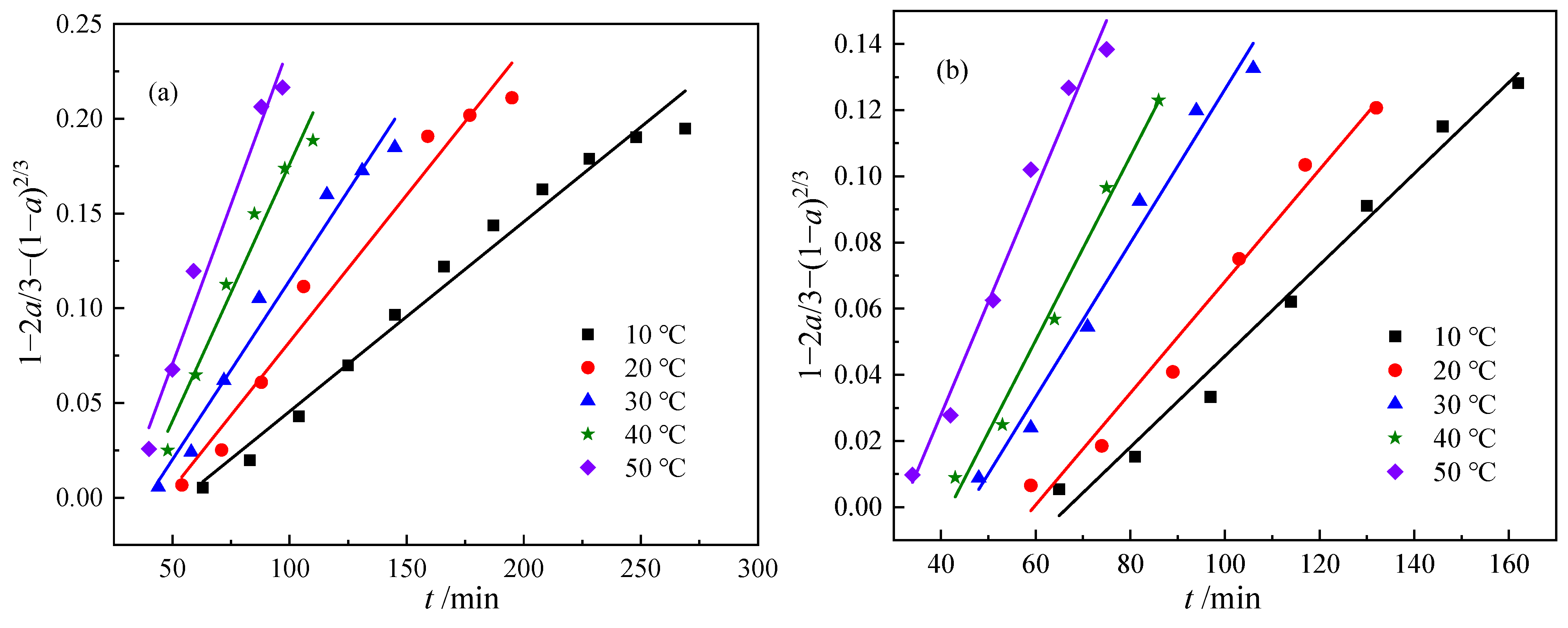
The temperature leaching kinetics curve was analyzed by means of the shrinkage unreacted core model theory, and the kinetic control model was substituted for the fitting (Figure 5). It can be found that only 1 2 α 3 ( 1 α ) 2 3 had a good linear relationship with t (Table 2), and the highest fitting coefficient R2 can be obtained, which further indicated that the composite leach system was controlled by the internal diffusion model.
According to the Arrhenius equation, the apparent rate constant k can be expressed as follows [17,18]:
k = A e E R T
So
l n k = l n A E R T
where k is the reaction rate constant, min−1; A refers to the pre-factor; E is the apparent activation energy, kJ/mol; T is the leaching reaction temperature, K; and R is the ideal gas constant.
The Arrhenius equation was used to calculate the logarithm of the reaction rate constant in Table 2, and then, the fitting curve of lnk and 1/T was produced (Figure 6). The fitting coefficients R2 of RE and Al were both greater than 0.96, and the fitting effect was good. The pre-factor A and the leaching reaction activation energy of RE and Al could be calculated based on the intercept of the fitting line and the slope of the fitting line, respectively. The activation energy of RE and Al was calculated to be 23.13 kJ/mol and 17.31 kJ/mol, respectively.
According to the leaching kinetics theory, the leaching kinetics process can be affected by the temperature and concentration at the same time, so the leaching kinetics equation has the following forms:
1 2 3 α ( 1 α ) 2 3 = k C 0 n e E R T t
k 0 = k e E R T
The k0 can be calculated by comparing the intercept of the fitted line obtained using Equation (7) and Figure 6. Meanwhile, k can be obtained by substituting k0 and the leaching temperature (25 °C) into Equation (11) and then substituting it into Equation (10). Therefore, the leaching kinetic equations of RE and Al in the composite leaching system can be obtained as follows:
RE (CHPMC = 0.02–0.05 wt%)
1 2 α 3 ( 1 α ) 2 3 = 354.0 C 0 0.9165 e 23,130 8.314 T t
Al (CHPMC = 0.02–0.05 wt%)
1 2 α 3 ( 1 α ) 2 3 = 13.19 C 0 0.8905 e 17,310 8.314 T t
The leaching kinetics equations of RE and Al by the compound leaching agent composed of ammonium sulfate and HPMC are shown in Equations (12) and (13), which can provide a theoretical basis for the subsequent industrial practice.

3.3. Effects of pH on the Leaching Kinetics of RE and Al

With an increase in the leaching time, the leaching yield of RE and Al maintained equilibrium after reaching the maximum leaching rate. It can be obtained from Figure 7a that when the initial pH of the leach agent was under the condition of a strong acid, part of the colloidal phase RE in the RE ore was eluted by hydrogen ions, thus increasing the leaching yield of RE. However, the total content of colloidal-phase RE in the WCE-DREO was less, resulting in a small increase in the leaching yield of RE. In Figure 7b, the leaching yield of RE and Al was basically the same under the condition of a pH of 4.02~8.01. While the pH was 2.01, the leaching yield of Al exceeded 100%, reaching about 140%. This was due to the adsorbed hydroxyl Al being contained in the clay minerals of WCE-DREO, and a large amount of adsorbed hydroxyl Al was eluded under strong acid conditions, which increased the leaching yield of Al and prolonged the leaching kinetics curve. Under alkaline conditions, the hydroxide precipitation of RE and Al was formed under the action of hydroxides, which led to a slight decrease in the leaching yield of RE and Al, but had little effect on the kinetic curve. Therefore, there was no requirement for the pH of the leaching agent needing to be adjusted during the actual industrial practice stage.

3.4. Effects of the Flow Rate on the Leaching Kinetics of RE and Al

As shown in Figure 8, the effects of the flow rate on the leaching kinetics of RE and Al were explored by fixing the concentration of ammonium sulfate (2 wt%), the concentration of HPMC (0.05 wt%), the leaching temperature (25 °C) and the pH (4.0).
With the extension of the leaching time, the maximum leaching yield of RE and Al can be obtained, and the balance was kept. With an increase in the flow rate, the leaching yield of RE and Al first increased to the highest value and then decreased, and the leaching equilibrium time shortened. When the leaching flow rate was less than 0.7 mL/min, the leaching agent flow rate was low and the leaching driving force was small, the leaching equilibrium time was prolonged, the penetration rate was reduced, the NH4+ of the leaching agent will occur as transverse diffusion and the reverse adsorption phenomenon of RE and Al ions will occur, resulting in a low leaching yield of RE and Al and a more serious tailing phenomenon. When the leaching flow rate was greater than 0.7 mL/min, the leaching flow rate was higher, the diffusion driving force was larger, the leaching equilibrium time was shortened and the penetration rate was increased. At this time, the NH4+ of the leaching agent is mainly diffused downward, and there was no complete ion exchange reaction between the NH4+ with the metal ions on the surface of the mineral particles, resulting in a slight decrease in the leaching yield of RE. When the leaching flow rate was 0.7 mL/min, the highest leaching yield of RE and Al was obtained. Therefore, 0.7 mL/min was selected as the best leaching flow rate. It can be suggested that the leaching flow rate has a key role to play in the yield of leaching and the recovery of RE, ultimately affecting the economic benefits of RE mines. Therefore, in the actual in situ leaching of RE ore, the appropriate leaching flow rate should be controlled to obtain the greatest economic value of WCE-DREO.

4. Conclusions

(1)
When the concentration of HPMC in the compound leaching is 0.05 wt%, the leaching yield of RE and Al reaches the shortest leaching equilibrium time, and the reaction rate constant is the smallest. Compared with the conventional RE-leaching agent (NH4)2SO4, the equilibrium leaching time of RE is reduced from 414 min to 170 min.
(2)
When the leaching temperature is 10–50 °C, the leaching equilibrium time of RE and Al is shortened and the reaction rate constant increases with an increase in the leaching temperature. The leaching process is in line with the internal diffusion kinetic control model, and the apparent activation energy of RE and Al is calculated to be 23.13 kJ/mol and 17.31 kJ/mol, respectively.
(3)
The change in the leaching agent pH has little effect on the leaching kinetics curve of RE, but a large amount of adsorbed hydroxy-aluminum should be dissociated under the strong acidic condition of pH 2.0, resulting in a high leaching yield of Al impurities. The leaching yield of RE and Al can be improved by increasing the flow rate appropriately.
(4)
The control kinetics equations of the internal diffusion of RE and Al in the composite leaching system can be shown as follows:
RE (CHPMC = 0.02–0.05 wt%)
1 2 α 3 ( 1 α ) 2 3 = 354.0 C 0 0.9165 e 23,130 8.314 T t
Al (CHPMC = 0.02–0.05 wt%)
1 2 α 3 ( 1 α ) 2 3 = 13.19 C 0 0.8905 e 17,310 8.314 T t

Author Contributions

Formal analysis, J.H.; Writing—original draft, H.Y. and A.S.; Writing—review & editing, Z.H., C.W., Y.X., Z.X. and R.C.; Supervision, R.C.; Funding acquisition, Y.X. and Z.X. All authors have read and agreed to the published version of the manuscript.

Funding

The work was supported by grants from the National Natural Science Foundation of China (grants number: U2002215) and the National Key Research and Development Program of China (grants number: 2021YFC2902202).

Data Availability Statement

All data generated during the current study are available in full within this article.

Acknowledgments

We are grateful to reviewers and editors of this journal for their valuable suggestions and revisions of the manuscript.

Conflicts of Interest

The authors declare no conflict of interests.

References

  1. Chen, Z.; Li, Z.; Chen, J.; Kallem, P.; Banat, F.; Qiu, H. Recent advances in selective separation technologies of rare earth elements: A review. J. Environ. Chem. Eng. 2021, 10, 107104. [Google Scholar] [CrossRef]
  2. Xiong, W.; Deng, J.; Chen, B.; Deng, S.; Wei, D. Flotation-magnetic separation for the beneficiation of rare earth ores. Miner. Eng. 2018, 119, 49–56. [Google Scholar] [CrossRef]
  3. Zeng, X.; Zeng, B.; Huang, L.; Zhong, L.; Li, X.; Huang, W. Adsorption of Y (III) on the Interface of Kaolinite-H2O: A DFT Study. Minerals 2022, 12, 1128. [Google Scholar] [CrossRef]
  4. Yin, S.; Pei, J.; Jiang, F.; Li, S.; Peng, J.; Zhang, L. Ultrasound-assisted leaching of rare earths from the weathered crust elution-deposited ore using magnesium sulfate without ammonia-nitrogen pollution. Ultrason. Sonochem. 2018, 41, 156–162. [Google Scholar] [CrossRef] [PubMed]
  5. Huang, X.; Long, Z.; Li, H.; Ying, W.; Zhang, G.; Xue, X. Development of rare earth hydromet-allurgy technology in China. J. Rare Earths 2005, 23, 1–4. [Google Scholar]
  6. He, Q.; Qiu, J.; Chen, J.; Zan, M.; Xiao, Y. Progress in green and efficient enrichment of rare earth from leaching liquor of ion adsorption type rare earth ores. J. Rare Earths 2022, 40, 353–364. [Google Scholar] [CrossRef]
  7. Tian, J.; Tang, X.; Yin, J.; Chen, J.; Luo, X.; Rao, G. Enhanced leachability of a lean weathered crust elution-deposited rare-earth ore: Effects of sesbaniagum filter-aid reagent. Metall. Mater. Trans. B 2013, 44, 1070–1077. [Google Scholar] [CrossRef]
  8. Tian, J.; Yin, J.; Tang, X.; Chen, J.; Luo, X.; Rao, G. Enhanced leaching process of a low-grade weathered crust elution-deposited rare earth ore with carboxymethyl sesbania gum. Hydrometallurgy 2013, 139, 124–131. [Google Scholar] [CrossRef]
  9. Luo, X.; Feng, B.; Wang, P.; Zhou, H.; Chen, X. The effect of fulvic acid on the leaching of a weathered rare-earth ore. Metall. Mater. Trans. B 2015, 46, 2405–2407. [Google Scholar] [CrossRef]
  10. Zhang, Y.; Zhang, B.; Yang, S.; Zhong, Z.; Zhou, H.; Luo, X. Enhancing the leaching effect of an ion-absorbed rare earth ore by ameliorating the seepage effect with sodium dodecyl sulfate surfactant. Int. J. Min. Sci. Technol. 2021, 31, 995–1002. [Google Scholar] [CrossRef]
  11. Zhou, F.; Zhang, L.; Wang, Z.; Zhang, Y.; Chi, R.; Wu, X. Application of surfactant for improving leaching process of weathered crust elution-deposited rare earth ores. J. Rare Earths 2023, in press. [Google Scholar] [CrossRef]
  12. Qiu, T.; Zhu, D.; Fang, X.; Zeng, Q.; Gao, G.; Zhu, H. Leaching kinetics of ionic rare-earth in ammonia-nitrogen wastewater system added with impurity inhibitors. J. Rare Earths 2014, 32, 1175–1183. [Google Scholar] [CrossRef]
  13. Ran, X.; Ren, Z.; Gao, H.; Zheng, R.; Jin, J. Kinetics of Rare Earth and Aluminum Leaching from Kaolin. Minerals 2017, 7, 152. [Google Scholar] [CrossRef]
  14. Wang, J.; Huang, X.; Wang, L.; Wang, Q.; Yan, Y.; Zhao, N. Kinetics study on the leaching of rare earth and aluminum from FCC catalyst waste slag using hydrochloric acid. Hydrometallurgy 2017, 171, 312–319. [Google Scholar] [CrossRef]
  15. Luo, X.; Zhang, Y.; Zhou, H.; He, K.; Luo, C.; Liu, Z.; Tang, X. Review on the development and utilization of ionic rare earth ore. Minerals 2022, 12, 554. [Google Scholar] [CrossRef]
  16. Huang, Y.; Dou, Z.; Zhang, T.; Jiang, L. Leaching kinetics of rare earth elements and fluoride from mixed rare earth concentrate after roasting with calcium hydroxide and sodium hydroxide. Hydrometallurgy 2017, 173, 15–21. [Google Scholar] [CrossRef]
  17. Teresa, P.; Telhma, F.; Pedro, C.; Erasmo, O. Leaching of a zinc concentrate in H2SO4 solutions containing H2O2 and complexing agents. Miner. Eng. 2008, 21, 23–30. [Google Scholar]
  18. Xiao, Y.; Chen, Y.; Feng, Z.; Huang, X.; Huang, L.; Long, Z.; Cui, D. Leaching characteristics of ion-adsorption type rare earths ore with magnesium sulfate. Trans. Nonferrous Met. Soc. China 2015, 25, 3784–3790. [Google Scholar] [CrossRef]
Figure 1. Effect of the HPMC concentration on the leaching kinetics of RE (a) and Al (b).
Figure 1. Effect of the HPMC concentration on the leaching kinetics of RE (a) and Al (b).
Minerals 13 01156 g001
Figure 2. The relationship plot of 1 2 α 3 ( 1 α ) 2 3 and t at different HPMC concentrations: (a) RE; (b) Al.
Figure 2. The relationship plot of 1 2 α 3 ( 1 α ) 2 3 and t at different HPMC concentrations: (a) RE; (b) Al.
Minerals 13 01156 g002
Figure 3. Plots of lnk versus lnC0: (CHPMC = 0.02–0.05 wt%).
Figure 3. Plots of lnk versus lnC0: (CHPMC = 0.02–0.05 wt%).
Minerals 13 01156 g003
Figure 4. Effect of temperature on the leaching kinetics of RE (a) and Al (b).
Figure 4. Effect of temperature on the leaching kinetics of RE (a) and Al (b).
Minerals 13 01156 g004
Figure 5. The relationship plot of 1 2 α 3 ( 1 α ) 2 3 and t at different leaching temperatures: (a) RE; (b) Al.
Figure 5. The relationship plot of 1 2 α 3 ( 1 α ) 2 3 and t at different leaching temperatures: (a) RE; (b) Al.
Minerals 13 01156 g005
Figure 6. The relationship plots of lnk and 1/T.
Figure 6. The relationship plots of lnk and 1/T.
Minerals 13 01156 g006
Figure 7. Effect of the extraction fluid flow rate on the leaching kinetics of RE (a) and Al (b).
Figure 7. Effect of the extraction fluid flow rate on the leaching kinetics of RE (a) and Al (b).
Minerals 13 01156 g007
Figure 8. Effect of fluid flow rate on the leaching kinetics of RE (a) and Al (b).
Figure 8. Effect of fluid flow rate on the leaching kinetics of RE (a) and Al (b).
Minerals 13 01156 g008
Table 1. Apparent rate constants and goodness of fit at different HPMC concentrations.
Table 1. Apparent rate constants and goodness of fit at different HPMC concentrations.
Concentration (wt%)REAl
k/min−1R2k/min−1R2
00.00080.9920.00020.992
0.020.00090.9780.00030.972
0.030.00120.9920.00040.991
0.040.00160.9840.00050.983
0.050.00210.9910.00070.987
0.060.00130.990.00050.981
Table 2. Internal diffusion reaction rate constant and correlation coefficient values of internal diffusion.
Table 2. Internal diffusion reaction rate constant and correlation coefficient values of internal diffusion.
T/°CREAl
k/min−1R2k/min−1R2
100.0010.9810.00140.985
200.00150.9740.00170.98
300.00190.9750.00230.98
400.00270.9690.00280.988
500.00340.9750.00340.981
Disclaimer/Publisher’s Note: The statements, opinions and data contained in all publications are solely those of the individual author(s) and contributor(s) and not of MDPI and/or the editor(s). MDPI and/or the editor(s) disclaim responsibility for any injury to people or property resulting from any ideas, methods, instructions or products referred to in the content.

Share and Cite

MDPI and ACS Style

Yang, H.; Sha, A.; He, Z.; Wu, C.; Xu, Y.; Hu, J.; Xu, Z.; Chi, R. Study on the Leaching Kinetics of Weathered Crust Elution-Deposited Rare Earth Ores by Hydroxypropyl Methyl Cellulose. Minerals 2023, 13, 1156. https://doi.org/10.3390/min13091156

AMA Style

Yang H, Sha A, He Z, Wu C, Xu Y, Hu J, Xu Z, Chi R. Study on the Leaching Kinetics of Weathered Crust Elution-Deposited Rare Earth Ores by Hydroxypropyl Methyl Cellulose. Minerals. 2023; 13(9):1156. https://doi.org/10.3390/min13091156

Chicago/Turabian Style

Yang, Huifang, Aoyang Sha, Zhengyan He, Chenjie Wu, Yuanlai Xu, Jingjing Hu, Zhigao Xu, and Ruan Chi. 2023. "Study on the Leaching Kinetics of Weathered Crust Elution-Deposited Rare Earth Ores by Hydroxypropyl Methyl Cellulose" Minerals 13, no. 9: 1156. https://doi.org/10.3390/min13091156

APA Style

Yang, H., Sha, A., He, Z., Wu, C., Xu, Y., Hu, J., Xu, Z., & Chi, R. (2023). Study on the Leaching Kinetics of Weathered Crust Elution-Deposited Rare Earth Ores by Hydroxypropyl Methyl Cellulose. Minerals, 13(9), 1156. https://doi.org/10.3390/min13091156

Note that from the first issue of 2016, this journal uses article numbers instead of page numbers. See further details here.

Article Metrics

Back to TopTop