Characterization of Magnetic and Mineralogical Properties of Slag Particles from WEEE Processing
Abstract
:1. Introduction
2. Materials and Methods
2.1. Sample Material
2.2. Magnetic Classification and Separation
2.2.1. Frantz Isodynamic
2.2.2. Ring-Type Magnetic Separator
2.3. Vibrating Sample Magnetometer (VSM) and Honda-Owens Plot
2.4. Automated Mineralogy Analyses
3. Results and Discussion
3.1. Magnetic Susceptibility Classes
3.2. M-H Curves and Honda–Owens Plots
3.3. Modal Mineralogy
3.4. Magnetic Separation
4. Conclusions
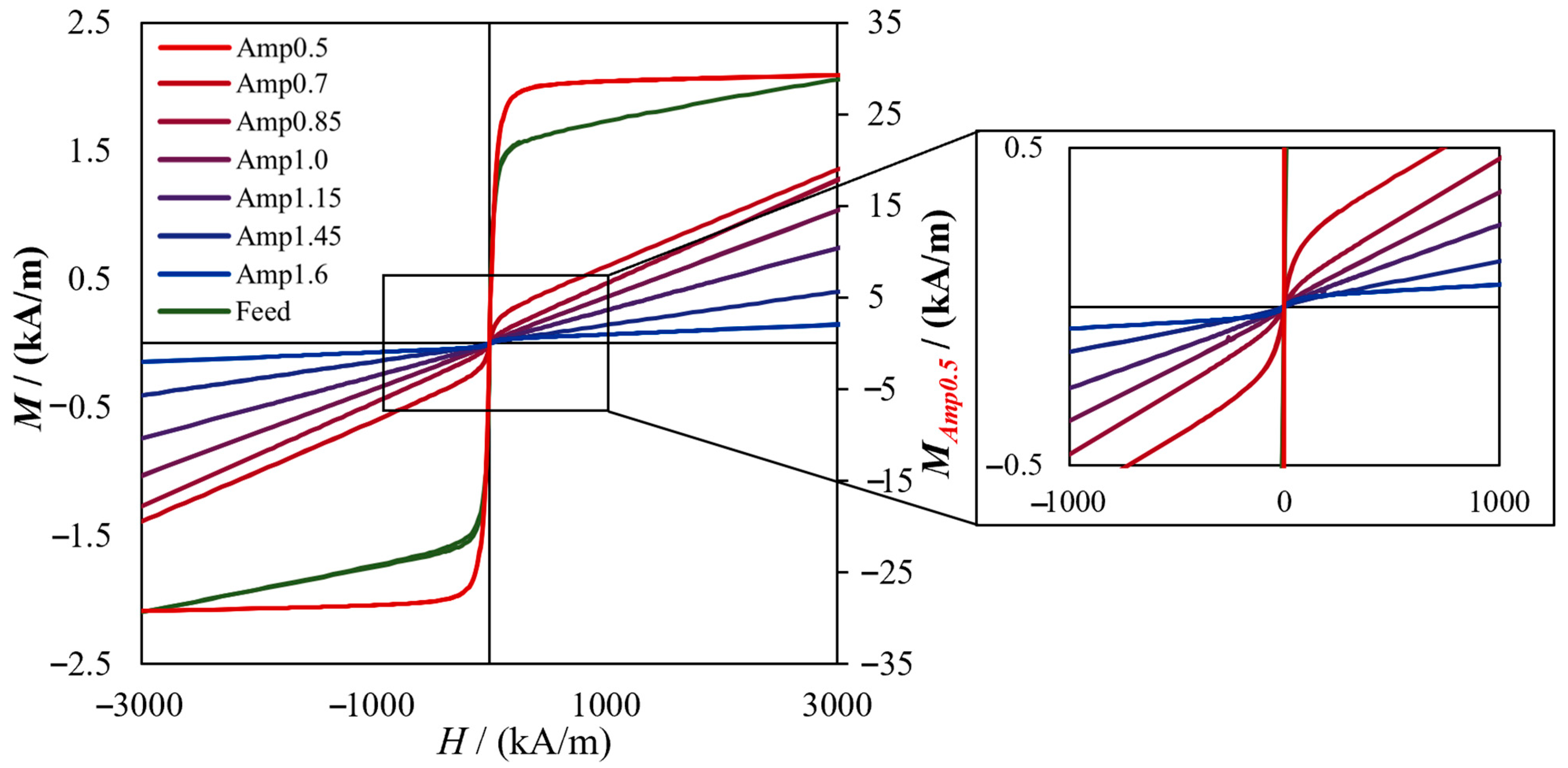
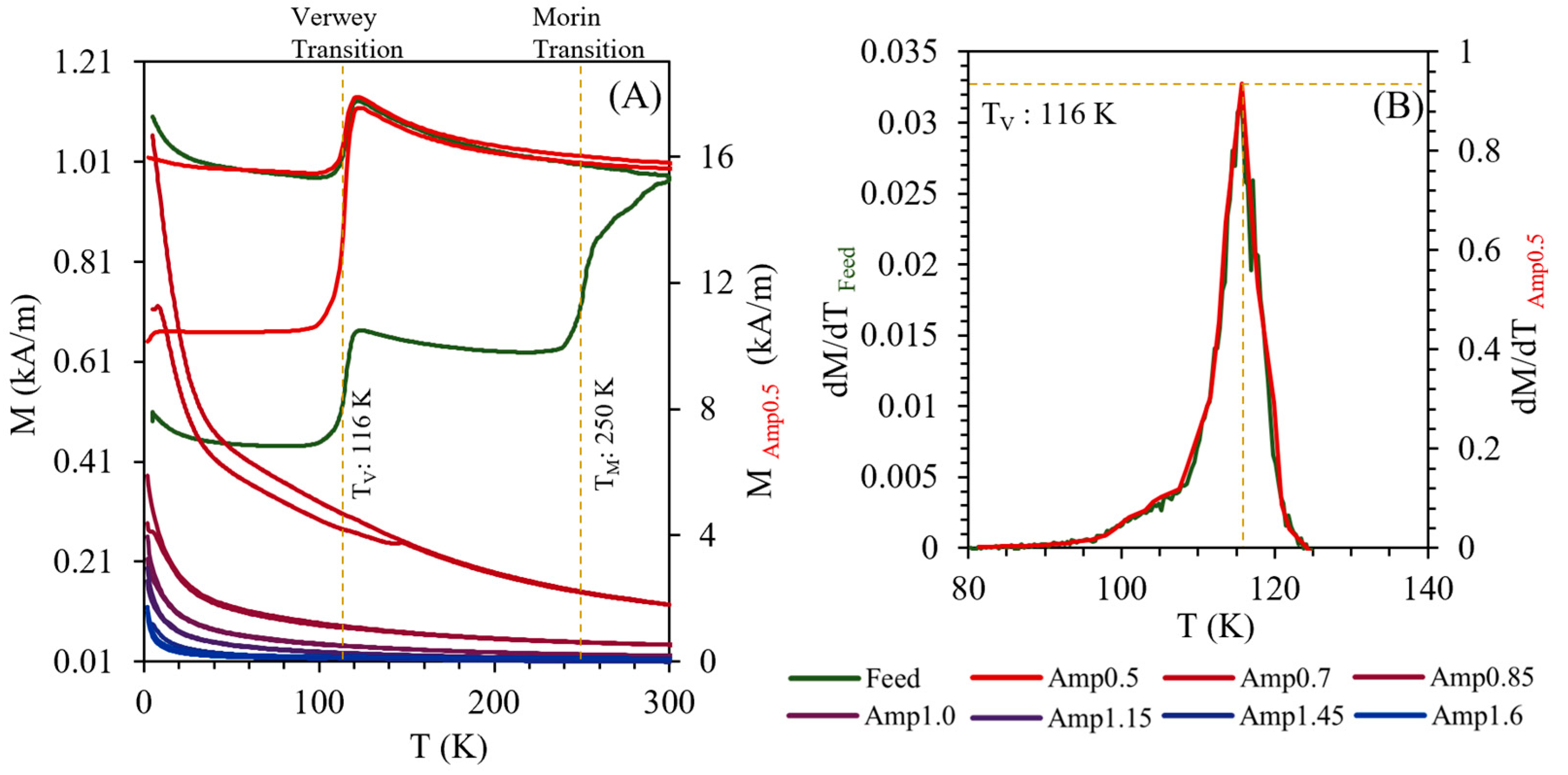
- Different magnetic susceptibility classes collected at varying amperages exhibited distinct hysteresis trends, indicating the presence of different magnetic phases. Utilizing Honda–Owens plots, the concentrations for ferromagnetic and paramagnetic fractions, as well as the magnetic susceptibility of paramagnetic phases, were estimated. The ZFC–FC curves helped to identify the phases in the ferromagnetic fraction.
- Modal mineralogy analysis of the magnetic susceptibility classes identified the selective enrichment of the different magnetic phases within the magnetic susceptibility classes. The Al-rich and Cu-rich phases were found to be the most abundant, with the AlSiCaO phase being the dominant phase in most magnetic susceptibility classes.
- The Cr-rich phases showed the highest recovery in the magnetic susceptibility range of 320.90 × 10−9 to 755.40 × 10−9 m3/kg.
- The elemental distribution analysis revealed distinct trends in major elements across magnetic susceptibility classes. The Fe content showed the strongest positive correlation with magnetic susceptibility, indicating its significant role in magnetization. The Cu element did not exhibit a consistent trend across all magnetic susceptibility classes, due to the poor liberation of Cu-rich phases. The Cr and Mg elements also showed a positive correlation with magnetic susceptibility, which could be due to the Fe–Cr–Mg phases.
- Magnetic separation experiments using Frantz and ring-type separators demonstrated differences in recovery rates. The Frantz separator exhibited higher recoveries of magnetic phases due to its classification-oriented design, while the ring-type separator showed lower recoveries of magnetic phases due to its high-throughput-oriented design.
- 6.
- Slag has a finely intergrown structure and thus needs fine grinding in order to reduce the number of composite particles. Thus, separation needs to deal with small particles.
- 7.
- Slag phases do not have a defined composition, but can vary in their elemental proportions. Thus, their magnetic susceptibility also varies if, for example, the iron content varies.
- 8.
- Small inclusions of ferromagnetic phases will have a significant influence on the particle magnetic susceptibility. This may lead to the recovery of non-target particles in a magnetic concentrate.
Author Contributions
Funding
Data Availability Statement
Acknowledgments
Conflicts of Interest
References
- Bhutta, M.K.S.; Omar, A.; Yang, X. Electronic Waste: A Growing Concern in Today’s Environment. Econ. Res. Int. 2011, 2011, 474230. [Google Scholar] [CrossRef]
- Awasthi, A.K.; Cucchiella, F.; D’Adamo, I.; Li, J.; Rosa, P.; Terzi, S.; Wei, G.; Zeng, X. Modelling the correlations of e-waste quantity with economic increase. Sci. Total Environ. 2018, 613–614, 46–53. [Google Scholar] [CrossRef] [PubMed]
- Kumar, A.; Holuszko, M.; Espinosa, D.C.R. E-waste: An overview on generation, collection, legislation and recycling practices. Resour. Conserv. Recycl. 2017, 122, 32–42. [Google Scholar] [CrossRef]
- Forti, V.; Baldé, C.P.; Kuehr, R.; Bel, G. The Global E-Waste Monitor 2020: Quantities, Flows and the Circular Economy Potential. 2020. Available online: https://ewastemonitor.info/wp-content/uploads/2020/11/GEM_2020_def_july1_low.pdf (accessed on 30 March 2023).
- Robinson, B.H. E-waste: An assessment of global production and environmental impacts. Sci. Total Environ. 2009, 408, 183–191. [Google Scholar] [CrossRef]
- Cui, J.; Forssberg, E. Mechanical recycling of waste electric and electronic equipment: A review. J. Hazard. Mater. 2003, 99, 243–263. [Google Scholar] [CrossRef]
- Ashiq, A.; Kulkarni, J.; Vithanage, M. Hydrometallurgical Recovery of Metals From E-waste. In Electronic Waste Management and Treatment Technology; Elsevier: Amsterdam, The Netherlands, 2019; pp. 225–246. ISBN 9780128161906. [Google Scholar]
- Faraji, F.; Golmohammadzadeh, R.; Pickles, C.A. Potential and current practices of recycling waste printed circuit boards: A review of the recent progress in pyrometallurgy. J. Environ. Manag. 2022, 316, 115242. [Google Scholar] [CrossRef]
- Buchmann, M.; Borowski, N.; Leißner, T.; Heinig, T.; Reuter, M.A.; Friedrich, B.; Peuker, U.A. Evaluation of Recyclability of a WEEE Slag by Means of Integrative X-ray Computer Tomography and SEM-Based Image Analysis. Minerals 2020, 10, 309. [Google Scholar] [CrossRef]
- Shuva, M.; Rhamdhani, M.A.; Brooks, G.A.; Masood, S.; Reuter, M.A. Thermodynamics data of valuable elements relevant to e-waste processing through primary and secondary copper production: A review. J. Clean. Prod. 2016, 131, 795–809. [Google Scholar] [CrossRef]
- Shen, H.; Forssberg, E. An overview of recovery of metals from slags. Waste Manag. 2003, 23, 933–949. [Google Scholar] [CrossRef]
- Alanyali, H.; Cöl, M.; Yilmaz, M.; Karagöz, S. Application of magnetic separation to steelmaking slags for reclamation. Waste Manag. 2006, 26, 1133–1139. [Google Scholar] [CrossRef]
- Lan, Y.; Liu, Q.; Meng, F.; Niu, D.; Zhao, H. Optimization of magnetic separation process for iron recovery from steel slag. J. Iron Steel Res. Int. 2017, 24, 165–170. [Google Scholar] [CrossRef]
- Ma, Y.; Du, X.; Shen, Y.; Li, G.; Li, M. Crystallization and Beneficiation of Magnetite for Iron Recycling from Nickel Slags by Oxidation-Magnetic Separation. Metals 2017, 7, 321. [Google Scholar] [CrossRef]
- Menad, N.; Kanari, N.; Save, M. Recovery of high grade iron compounds from LD slag by enhanced magnetic separation techniques. Int. J. Miner. Process. 2014, 126, 1–9. [Google Scholar] [CrossRef]
- Hunt, C.P.; Moskowitz, B.M.; Banerjee, S.K. Magnetic properties of rocks and minerals. In Rock Physics & Phase Relations: A Handbook of Physical Constants; American Geophysical Union: Washington, DC, USA, 1995. [Google Scholar]
- Harrison, R.J.; Feinberg, J.M. Mineral Magnetism: Providing New Insights into Geoscience Processes. Elements 2009, 5, 209–215. [Google Scholar] [CrossRef]
- Svoboda, J. Magnetic Techniques for the Treatment of Materials; Kluwer Academic Publishers: Dordrecht, The Netherlands; Boston, MA, USA, 2004; ISBN 1402020384. [Google Scholar]
- Oberteuffer, J. Magnetic separation: A review of principles, devices, and applications. IEEE Trans. Magn. 1974, 10, 223–238. [Google Scholar] [CrossRef]
- Leißner, T.; Bachmann, K.; Gutzmer, J.; Peuker, U.A. MLA-based partition curves for magnetic separation. Miner. Eng. 2016, 94, 94–103. [Google Scholar] [CrossRef]
- Guiral-Vega, J.S.; Pérez-Barnuevo, L.; Bouchard, J.; Ure, A.; Poulin, É.; Du Breuil, C. Particle-based characterization and classification to evaluate the behavior of iron ores in drum-type wet low-intensity magnetic separation. Miner. Eng. 2022, 186, 107755. [Google Scholar] [CrossRef]
- Pereira, L.; Frenzel, M.; Khodadadzadeh, M.; Tolosana-Delgado, R.; Gutzmer, J. A self-adaptive particle-tracking method for minerals processing. J. Clean. Prod. 2021, 279, 123711. [Google Scholar] [CrossRef]
- Guiral-Vega, J.; Bouchard, J.; Poulin, É.; Ure, A.; Breuil, C.; Pérez-Barnuevo, L. A Phenomenological Model for Particle Kinetics in Drum-type Wet Low-Intensity Magnetic Separation. IFAC-PapersOnLine 2022, 55, 25–30. [Google Scholar] [CrossRef]
- Boelens, P.; Lei, Z.; Drobot, B.; Rudolph, M.; Li, Z.; Franzreb, M.; Eckert, K.; Lederer, F. High-Gradient Magnetic Separation of Compact Fluorescent Lamp Phosphors: Elucidation of the Removal Dynamics in a Rotary Permanent Magnet Separator. Minerals 2021, 11, 1116. [Google Scholar] [CrossRef]
- Leißner, T.; Mütze, T.; Bachmann, K.; Rode, S.; Gutzmer, J.; Peuker, U.A. Evaluation of mineral processing by assessment of liberation and upgrading. Miner. Eng. 2013, 53, 171–173. [Google Scholar] [CrossRef]
- Fandrich, R.; Gu, Y.; Burrows, D.; Moeller, K. Modern SEM-based mineral liberation analysis. Int. J. Miner. Process. 2007, 84, 310–320. [Google Scholar] [CrossRef]
- Borowski, N.; Trentmann, A.; Brinkmann, F.; Stürtz, M.; Friedrich, B. Metallurgical Effects of Introducing Powdered WEEE to a Molten Slag Bath. J. Sustain. Metall. 2018, 4, 233–250. [Google Scholar] [CrossRef]
- Mcandrew, J. Calibration of a frantz isodynamic separator and its application to mineral separation. Proc. Aust. Inst. Min. Metall. 1957, 181, 59–73. [Google Scholar]
- Owen, M. Magnetochemische Untersuchungen. Die thermomagnetischen Eigenschaften der Elemente. Ann. Der Phys. 1912, 342, 657–699. [Google Scholar] [CrossRef]
- Waters, K.E.; Rowson, N.A.; Greenwood, R.W.; Williams, A.J. Characterising the effect of microwave radiation on the magnetic properties of pyrite. Sep. Purif. Technol. 2007, 56, 9–17. [Google Scholar] [CrossRef]
- Yu, J.; Han, Y.; Li, Y.; Gao, P. Beneficiation of an iron ore fines by magnetization roasting and magnetic separation. Int. J. Miner. Process. 2017, 168, 102–108. [Google Scholar] [CrossRef]
- Jordens, A.; Sheridan, R.S.; Rowson, N.A.; Waters, K.E. Processing a rare earth mineral deposit using gravity and magnetic separation. Miner. Eng. 2014, 62, 9–18. [Google Scholar] [CrossRef]
- Schulz, B.; Sandmann, D.; Gilbricht, S. SEM-Based Automated Mineralogy and Its Application in Geo- and Material Sciences. Minerals 2020, 10, 1004. [Google Scholar] [CrossRef]
- Gu, Y. Automated Scanning Electron Microscope Based Mineral Liberation Analysis an Introduction to JKMRC/FEI Mineral Liberation Analyser. J. Miner. Mater. Charact. Eng. 2003, 2, 33–41. [Google Scholar] [CrossRef]
- Yang, J.B.; Zhou, X.D.; Yelon, W.B.; James, W.J.; Cai, Q.; Gopalakrishnan, K.V.; Malik, S.K.; Sun, X.C.; Nikles, D.E. Magnetic and structural studies of the Verwey transition in Fe3−δO4 nanoparticles. J. Appl. Phys. 2004, 95, 7540–7542. [Google Scholar] [CrossRef]
- Walz, F. The Verwey transition—A topical review. J. Phys. Condens. Matter 2002, 14, 285–340. [Google Scholar] [CrossRef]
- Jackson, M.J.; Moskowitz, B. On the distribution of Verwey transition temperatures in natural magnetites. Geophys. J. Int. 2020, 224, 1314–1325. [Google Scholar] [CrossRef]
- Kosterov, A. Magnetic Properties, Low-Temperature. In Encyclopedia of Geomagnetism and Paleomagnetism; Gubbins, D., Herrero-Bervera, E., Eds.; Springer: Dordrecht, The Netherlands, 2007; pp. 515–525. ISBN 978-1-4020-3992-8. [Google Scholar]
- Özdemir, Ö.; Dunlop, D.J.; Berquó, T.S. Morin transition in hematite: Size dependence and thermal hysteresis. Geochem. Geophys. Geosyst. 2008, 9, Q10Z01. [Google Scholar] [CrossRef]
- Cursaru, L.M.; Piticescu, R.M.; Dragut, D.V.; Tudor, I.A.; Kuncser, V.; Iacob, N.; Stoiciu, F. The Influence of Synthesis Parameters on Structural and Magnetic Properties of Iron Oxide Nanomaterials. Nanomaterials 2020, 10, 85. [Google Scholar] [CrossRef]
- Godinho, J.R.A.; Grilo, B.L.D.; Hellmuth, F.; Siddique, A. Mounted Single Particle Characterization for 3D Mineralogical Analysis—MSPaCMAn. Minerals 2021, 11, 947. [Google Scholar] [CrossRef]
- Siddique, A.; Godinho, J.R.; Sittner, J.; Pereira, L. Overcoming stereological Bias: A workflow for 3D mineral characterization of particles using X-ray micro-computed tomography. Miner. Eng. 2023, 201, 108200. [Google Scholar] [CrossRef]
- Chehreh Chelgani, S.; Leißner, T.; Rudolph, M.; Peuker, U.A. Study of the relationship between zinnwaldite chemical composition and magnetic susceptibility. Miner. Eng. 2015, 72, 27–30. [Google Scholar] [CrossRef]










| SEM-EDX Conditions | Sample | Number of Particles | |
|---|---|---|---|
| Parameter | Value | 63–100 µm | MLA |
| Mode | GXMAP | Amp 0.50 | 75,383 |
| Acceleration Voltage | 25 kV | Amp 0.70 | 33,147 |
| Spot Size | 5.91 µm | Amp 0.85 | 61,133 |
| Working Distance | 11.99 mm | Amp 1.00 | 29,782 |
| Beam Current | 10 mA | Amp 1.15 | 65,577 |
| Step Size | 10 µm | Amp 1.30 | 65,869 |
| Brightness | 81.7 | Amp 1.45 | 30,392 |
| Contrast | 26.6 | Amp 1.60 | 61,484 |
| Spectrum-Matching Threshold | 80% | Non-Mag. | 68,743 |
| Sample Name | Concferro (%) | Concpara (%) | ꭕg (MSB) (m3/kg) | ꭕg(para) (VSM) (m3/kg) | ꭕg(ferro) (VSM) (m3/kg) |
|---|---|---|---|---|---|
| Feed | 5.3 | 94.6 | 213.6 × 10−9 | 146.7 × 10−9 | 66.9 × 10−9 |
| Amp 0.50 | 97.1 | 2.9 | - | 773.2 × 10−9 | - |
| Amp 0.70 | 0.7 | 99.3 | 755.4 × 10−9 | 252.1 × 10−9 | 503.3 × 10−9 |
| Amp 0.85 | 0.2 | 99.8 | 321.0 × 10−9 | 234.7 × 10−9 | 86.2 × 10−9 |
Disclaimer/Publisher’s Note: The statements, opinions and data contained in all publications are solely those of the individual author(s) and contributor(s) and not of MDPI and/or the editor(s). MDPI and/or the editor(s) disclaim responsibility for any injury to people or property resulting from any ideas, methods, instructions or products referred to in the content. |
© 2023 by the authors. Licensee MDPI, Basel, Switzerland. This article is an open access article distributed under the terms and conditions of the Creative Commons Attribution (CC BY) license (https://creativecommons.org/licenses/by/4.0/).
Share and Cite
Siddique, A.; Boelens, P.; Long, F.; Zhou, S.; Cnudde, V.; Leißner, T. Characterization of Magnetic and Mineralogical Properties of Slag Particles from WEEE Processing. Minerals 2023, 13, 1417. https://doi.org/10.3390/min13111417
Siddique A, Boelens P, Long F, Zhou S, Cnudde V, Leißner T. Characterization of Magnetic and Mineralogical Properties of Slag Particles from WEEE Processing. Minerals. 2023; 13(11):1417. https://doi.org/10.3390/min13111417
Chicago/Turabian StyleSiddique, Asim, Peter Boelens, Fangchao Long, Shengqiang Zhou, Veerle Cnudde, and Thomas Leißner. 2023. "Characterization of Magnetic and Mineralogical Properties of Slag Particles from WEEE Processing" Minerals 13, no. 11: 1417. https://doi.org/10.3390/min13111417
APA StyleSiddique, A., Boelens, P., Long, F., Zhou, S., Cnudde, V., & Leißner, T. (2023). Characterization of Magnetic and Mineralogical Properties of Slag Particles from WEEE Processing. Minerals, 13(11), 1417. https://doi.org/10.3390/min13111417

