Pulp Chemistry Variables for Gaussian Process Prediction of Rougher Copper Recovery
Abstract
Highlights
- Model-selected input variables for training the GPR model varies in the presence of pulp chemistry data (pH, Eh, dissolved oxygen and temperature).
- RNCA showed the pulp chemistry feature weight in the order dissolved oxygen > pH > Eh > temperature.
- The GPR predictive model performance improves with the addition of pulp chemistry variables.
- Pulp chemistry parameters are essential in predicting rougher copper recovery, particularly for complex ores.
Abstract
1. Introduction
- How does pulp chemistry variable addition to existing model-selected variables affect rougher copper recovery performance?
- Does the addition of pulp chemistry variables during input variation selection encourage elimination of some originally model-selected flotation process variables in predicting the rougher copper recovery?
- What is the predictive accuracy of a GPR algorithm in predicting rougher copper recovery with and without pulp chemistry variables?
2. Methodology
2.1. Data Collection and Pre-Processing
- Sample from a chosen slurry stream is collected into the PCM® sample vessel;
- The pulp chemistry sensors (e.g., pH, Eh and dissolved oxygen) are contacted for 2 min in the PCM® sample vessel. A time of 2 min was selected as it allows stable sensor readings for each batch slurry sampling;
- The measured data is logged and time-stamped;
- The PCM® sample vessel is then flushed clean for new sample collection. This process is repeated every 3–5 min.
- th standardized observation
- th observation of sample
- mean of sample
- standard deviation of sample
2.2. Model Development
2.3. Model Performance Assessment Criteria
- th true rougher copper recovery value
- mean of true rougher copper recovery
- th predicted rougher copper recovery value
- mean of predicted rougher copper recovery
- maximum true rougher copper recovery value
- minimum true rougher copper recovery value
- total number of observations
3. Results and Discussion
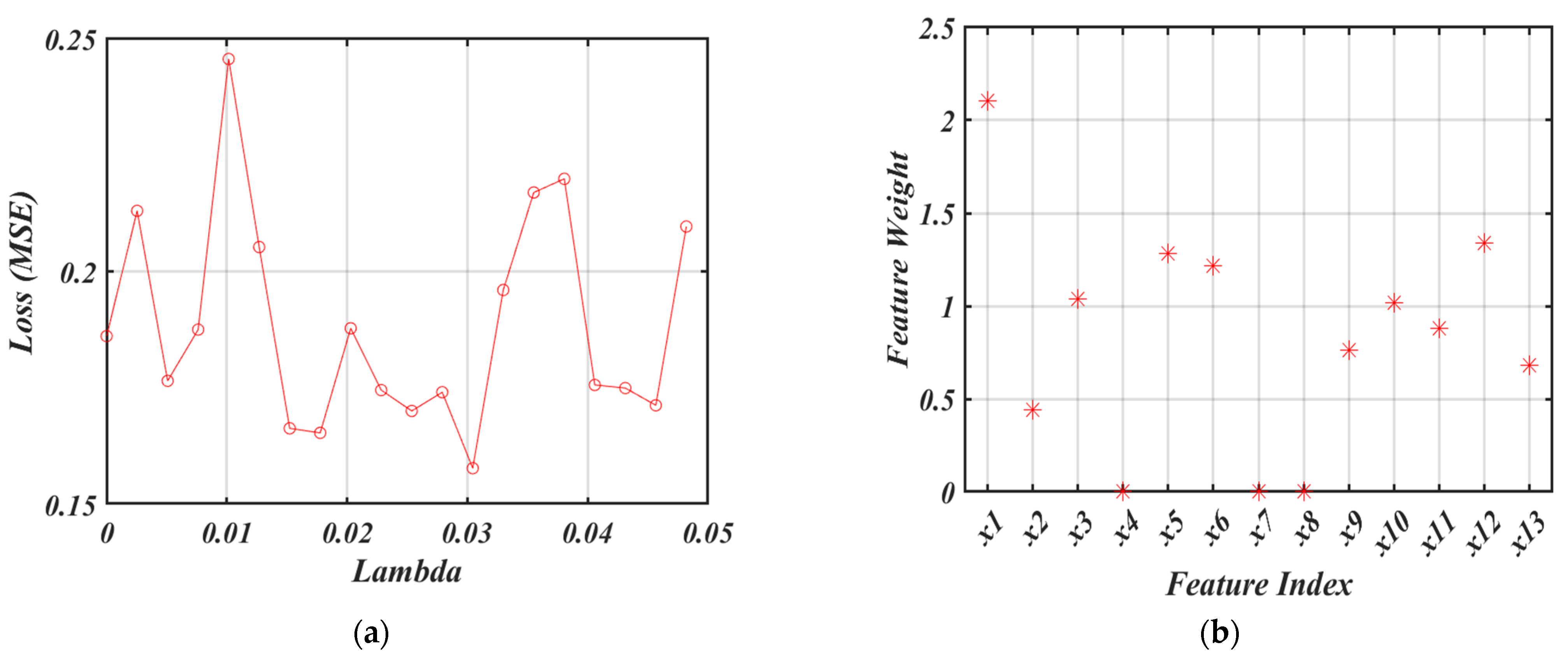
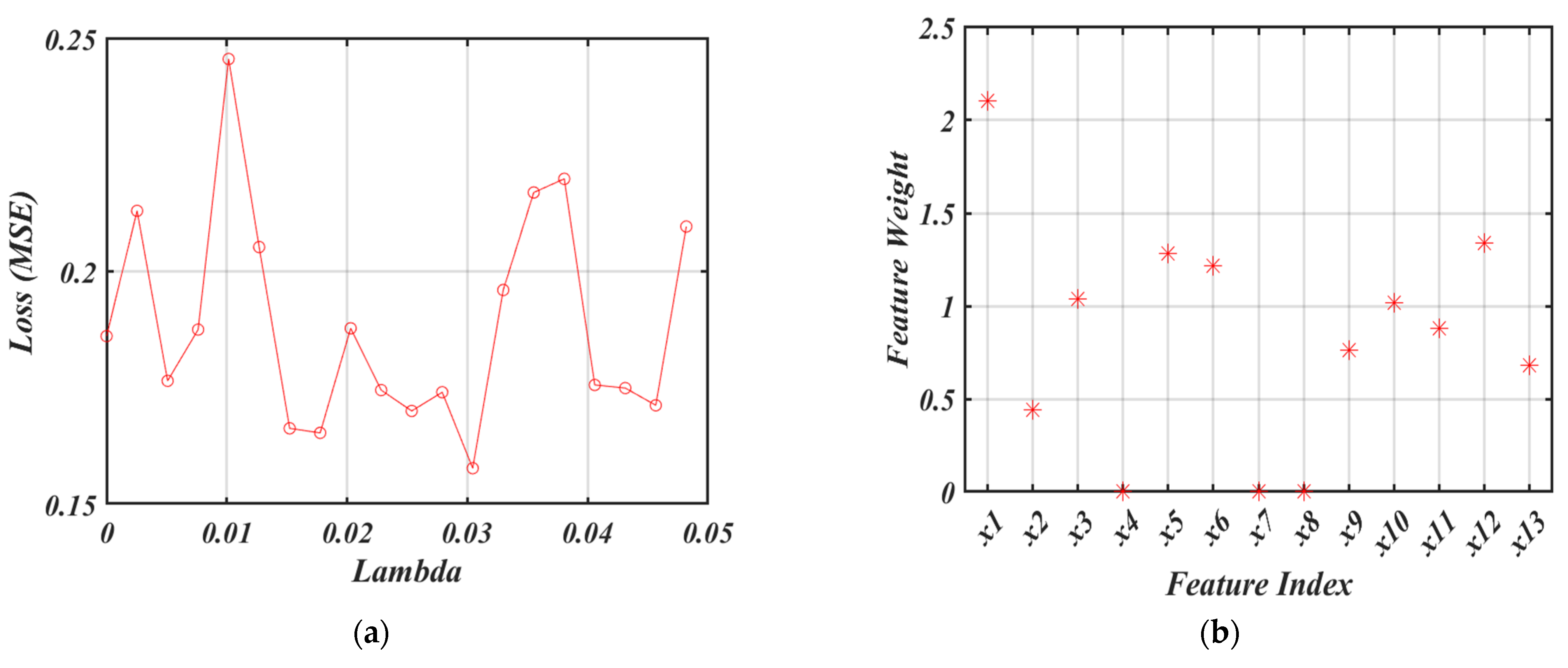
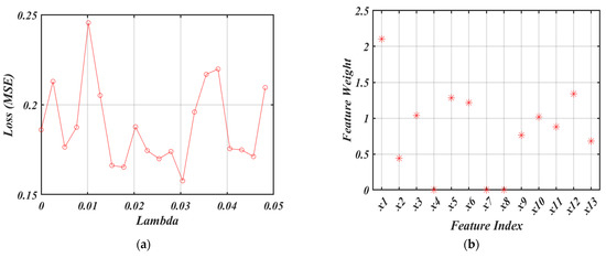
3.1. Variable Selection by RNCA Algorithm
3.2. Model Performance Assessment
4. Conclusions
Author Contributions
Funding
Acknowledgments
Conflicts of Interest
References
- Backman, C.-M. Global supply and demand of metals in the future. J. Toxicol. Environ. Health Part A 2008, 71, 1244–1253. [Google Scholar] [CrossRef]
- Schipper, B.W.; Lin, H.-C.; Meloni, M.A.; Wansleeben, K.; Heijungs, R.; van der Voet, E. Estimating global copper demand until 2100 with regression and stock dynamics. Resour. Conserv. Recycl. 2018, 132, 28–36. [Google Scholar] [CrossRef]
- Spooren, J.; Binnemans, K.; Björkmalm, J.; Breemersch, K.; Dams, Y.; Folens, K.; González-Moya, M.; Horckmans, L.; Komnitsas, K.; Kurylak, W.; et al. Near-zero-waste processing of low-grade, complex primary ores and secondary raw materials in Europe: Technology development trends. Resour. Conserv. Recycl. 2020, 160, 104919. [Google Scholar] [CrossRef]
- Asamoah, R.K.; Zanin, M.; Amankwah, R.K.; Skinner, W.; Addai-Mensah, J. Characterisation of Tectonic Refractory Gold Ore. In Proceedings of the CHEMECA 2014, Perth, Australia, 28 September–1 October 2014. [Google Scholar]
- Wang, L.; Peng, Y.; Runge, K.; Bradshaw, D. A review of entrainment: Mechanisms, contributing factors and modelling in flotation. Miner. Eng. 2014, 70, 77–91. [Google Scholar] [CrossRef]
- Asamoah, R.; Zanin, M.; Gascooke, J.; Skinner, W.; Addai-Mensah, J. Refractory gold ores and concentrates part 1: Mineralogical and physico-chemical characteristics. Miner. Process. Extr. Met. 2021, 130, 240–252. [Google Scholar] [CrossRef]
- Asamoah, R.; Skinner, W.; Addai-Mensah, J. Alkaline cyanide leaching of refractory gold flotation concentrates and bio-oxidised products: The effect of process variables. Hydrometallurgy 2018, 179, 79–93. [Google Scholar] [CrossRef]
- Asamoah, R.K.; Skinner, W.; Addai-Mensah, J. Pulp mineralogy and chemistry, leaching and rheological behaviour relationships of refractory gold ore dispersions. Chem. Eng. Res. Des. 2019, 146, 87–103. [Google Scholar] [CrossRef]
- Baudet, E.; Giles, D.; Tiddy, C.; Asamoah, R.; Hill, S. Mineralogy as a proxy to characterise geochemical dispersion processes: A study from the Eromanga Basin over the Prominent Hill IOCG deposit, South Australia. J. Geochem. Explor. 2019, 210, 106447. [Google Scholar] [CrossRef]
- Shean, B.; Cilliers, J. A review of froth flotation control. Int. J. Miner. Process. 2011, 100, 57–71. [Google Scholar] [CrossRef]
- Wills, B.A.; Finch, J. Wills’ Mineral Processing Technology: An Introduction to the Practical Aspects of Ore Treatment and Mineral Recovery; Butterworth-Heinemann: Oxford, UK, 2015; p. 512. [Google Scholar]
- Dankwah, J.; Asamoah, R.; Zanin, M.; Skinner, W. Dense liquid flotation: Can coarse particle flotation performance be enhanced by controlling fluid density? Miner. Eng. 2022, 180, 107513. [Google Scholar] [CrossRef]
- Shahbazi, B.; Chelgani, S.C.; Matin, S. Prediction of froth flotation responses based on various conditioning parameters by Random Forest method. Colloids Surf. A Physicochem. Eng. Asp. 2017, 529, 936–941. [Google Scholar] [CrossRef]
- Mathe, Z.; Harris, M.; O’Connor, C. A review of methods to model the froth phase in non-steady state flotation systems. Miner. Eng. 2000, 13, 127–140. [Google Scholar] [CrossRef]
- Forson, P.; Zanin, M.; Skinner, W.; Asamoah, R. Differential flotation of pyrite and Arsenopyrite: Effect of pulp aeration and the critical importance of collector concentration. Miner. Eng. 2022, 178, 107421. [Google Scholar] [CrossRef]
- Forson, P.; Zanin, M.; Abaka-Wood, G.; Skinner, W.; Asamoah, R.K. Flotation of auriferous arsenopyrite from pyrite using thionocarbamate. Miner. Eng. 2022, 181, 107524. [Google Scholar] [CrossRef]
- Ralston, J. Eh and its consequences in sulphide mineral flotation. Miner. Eng. 1991, 4, 859–878. [Google Scholar] [CrossRef]
- Amankwaa-Kyeremeh, B.; Greet, C.; Skinner, W.; Asamoah, R. A brief review of pulp chemistry parameters in relation to flotation feed variation. In Proceedings of the International Mineral Processing Congress, Cape Town, South Africa, 18–22 October 2021; pp. 1855–1863. [Google Scholar]
- Kelebek, S.; Fekete, S.; Wells, P. Selective depression of pyrrhotite using sulphur dioxide-diethylenetriamine reagent combination. In Proceedings of the XIX International Mineral Processing Congress, San Francisco, CA, USA, 22–27 October 1995; pp. 181–187. [Google Scholar]
- Forson, P.; Zanin, M.; Skinner, W.; Asamoah, R. A brief review of auriferous sulphide flotation concentration pyrite and arsenopyrite mineral separation. In Proceedings of the 6th UMaT Biennial International Mining and Mineral Conference, Tarkwa, Ghana, 5–6 August 2020; UMaT Ghana: Tarkwa, Ghana, 2020; pp. 1–12. [Google Scholar]
- Pu, Y.; Szmigiel, A.; Chen, J.; Apel, D.B. FlotationNet: A hierarchical deep learning network for froth flotation recovery prediction. Powder Technol. 2020, 375, 317–326. [Google Scholar] [CrossRef]
- Hodouin, D.; Jämsä-Jounela, S.-L.; Carvalho, M.; Bergh, L. State of the art and challenges in mineral processing control. Control Eng. Pract. 2001, 9, 995–1005. [Google Scholar] [CrossRef]
- Mazzour, E.; Hodouin, D.; Makni, S. Optimal sensor implementation in metallurgical plants—An application to a generic mineral separation plant. Int. J. Miner. Process. 2003, 69, 185–203. [Google Scholar] [CrossRef]
- Hodouin, D. Methods for automatic control, observation, and optimization in mineral processing plants. J. Process. Control 2011, 21, 211–225. [Google Scholar] [CrossRef]
- Owusu, K.B.; Skinner, W.; Asamoah, R.K. Acoustic Sensing and Supervised Machine Learning for In Situ Classification of Semi-Autogenous (SAG) Mill Feed Size Fractions Using Different Feature Extraction Techniques. Powders 2023, 2, 299–322. [Google Scholar] [CrossRef]
- Amankwaa-Kyeremeh, B.; Zhang, J.; Zanin, M.; Skinner, W.; Asamoah, R.K. Feature selection and Gaussian process prediction of rougher copper recovery. Miner. Eng. 2021, 170, 107041. [Google Scholar] [CrossRef]
- Auret, L.; Aldrich, C. Interpretation of nonlinear relationships between process variables by use of random forests. Miner. Eng. 2012, 35, 27–42. [Google Scholar] [CrossRef]
- Amankwaa-Kyeremeh, B.; Greet, C.; Zanin, M.; Skinner, W.; Asamoah, R.K. Predictability of Rougher Flotation Copper Recovery Using Gaussian Process Regression Algorithm. In Proceedings of the 6th UMaT Biennial International Mining and Mineral Conference, Tarkwa, Ghana, 5–6 August 2020; Ghana UMaT: Tarkwa, Ghana; pp. 1–8. [Google Scholar]
- Amankwaa-Kyeremeh, B.; Greet, C.; Zanin, M.; Skinner, W.; Asamoah, R.K. Selecting key predictor parameters for regression modelling using modified Neighbourhood Component Analysis (NCA) Algorithm. In Proceedings of the 6th UMaT Biennial International Mining and Mineral Conference, Tarkwa, Ghana, 5–6 August 2020; Ghana UMaT: Tarkwa, Ghana, 2020; pp. 320–325. [Google Scholar]
- Jahedsaravani, A.; Marhaban, M.; Massinaei, M.; Saripan, M.; Noor, S. Froth-based modeling and control of a batch flotation process. Int. J. Miner. Process. 2016, 146, 90–96. [Google Scholar] [CrossRef]
- Ren, H.-F.; Yang, C.-H.; Zhou, X.; Gui, W.-H.; Yan, F. Froth image feature weighted SVM based working condition recognition for flotation process. J. Zhejiang Univ. Eng. Sci. 2011, 45, 2115–2119. [Google Scholar]
- Aldrich, C.; Moolman, D.; Gouws, F.; Schmitz, G. Machine learning strategies for control of flotation plants. Control. Eng. Pract. 1997, 5, 263–269. [Google Scholar] [CrossRef]
- Patel, A.K.; Chatterjee, S.; Gorai, A.K. Development of machine vision-based ore classification model using support vector machine (SVM) algorithm. Arab. J. Geosci. 2017, 10, 107. [Google Scholar] [CrossRef]
- Patel, A.K.; Gorai, A.K.; Chatterjee, S. Development of Machine vision-based system for iron ore grade prediction using Gaussian Process Regression (GPR). In Proceedings of the Pattern Recognition and Information Processing (PRIP’2016), Minsk, Belarus, 3–5 October 2016; pp. 45–48. [Google Scholar]
- Amankwaa-Kyeremeh, B.; Skinner, W.; Asamoah, R.K. Comparative study on rougher copper recovery prediction using selected predictive algorithms. In Proceedings of the International Future Mining Conference, Online, 6–10 December 2021; Australasian Institute of Mining and Metallurgy: Sydney, Australia, 2021; pp. 1–10. [Google Scholar]
- Jacques, S.; Greet, C.; Bastin, D. Oxidative weathering of a copper sulphide ore and its influence on pulp chemistry and flotation. Miner. Eng. 2016, 99, 52–59. [Google Scholar] [CrossRef]
- Ekmekçi, Z.; Buswell, M.; Bradshaw, D.; Harris, P. The value and limitations of electrochemical measurements in flotation of precious metal ores. Miner. Eng. 2005, 18, 825–831. [Google Scholar] [CrossRef]
- Forson, P.; Skinner, W.; Asamoah, R. Decoupling pyrite and arsenopyrite in flotation using thionocarbamate collector. Powder Technol. 2021, 385, 12–20. [Google Scholar] [CrossRef]
- Amankwaa-Kyeremeh, B.; Greet, C.; Skinner, W.; Asamoah, R.K. Correlating process mineralogy and pulp chemistry for quick ore variability diagnosis. In Proceedings of the International Future Mining Conference, Online, 6–10 December 2021; Australasian Institute of Mining and Metallurgy: Sydney, Australia, 2021; pp. 1–10. [Google Scholar]
- Asamoah, R.K.; Baawuah, E.; Greet, C.; Skinner, W. Characterisation of Metal Debris in Grinding and Flotation Circuits. Miner. Eng. 2021, 171, 107074. [Google Scholar] [CrossRef]
- Rabieh, A.; Albijanic, B.; Eksteen, J. A review of the effects of grinding media and chemical conditions on the flotation of pyrite in refractory gold operations. Miner. Eng. 2016, 94, 21–28. [Google Scholar] [CrossRef]
- Plaksin, I.; Bessonov, S. Role of gases in flotation reactions. In Proceedings of the Second International Congress of Surface Activity; Butterworth, Netherlands, 1957; pp. 361–367. [Google Scholar]
- Berglund, G. Pulp chemistry in sulphide mineral flotation. Int. J. Miner. Process. 1991, 33, 21–31. [Google Scholar] [CrossRef]
- Graham, R.; Heathcote, C. The effect of the oxidation state of the pulp on the selective flotation of chalcopyrite from Black Mountain ore. In Proceedings of the 12th CMMI Congress; Southern African Institute of Mining and Metallurgy: Johannesburg, South Africa, 1982; pp. 867–877. [Google Scholar]
- Lin, I. The effect of seasonal variations in temperature on the performance of mineral processing plants. Miner. Eng. 1989, 2, 47–54. [Google Scholar] [CrossRef]
- O’Connor, C.; Mills, P. The effect of temperature on the pulp and froth phases in the flotation of pyrite. Miner. Eng. 1990, 3, 615–624. [Google Scholar] [CrossRef]
- Foroutan, A.; Abadi, M.A.Z.H.; Kianinia, Y.; Ghadiri, M. Critical importance of pH and collector type on the flotation of sphalerite and galena from a low-grade lead–zinc ore. Sci. Rep. 2021, 11, 3103. [Google Scholar] [CrossRef] [PubMed]
- Nasirimoghaddam, S.; Mohebbi, A.; Karimi, M.; Yarahmadi, M.R. Assessment of pH-responsive nanoparticles performance on laboratory column flotation cell applying a real ore feed. Int. J. Min. Sci. Technol. 2020, 30, 197–205. [Google Scholar] [CrossRef]
- Azizi, A.; Masdarian, M.; Hassanzadeh, A.; Bahri, Z.; Niedoba, T.; Surowiak, A. Parametric Optimization in Rougher Flotation Performance of a Sulfidized Mixed Copper Ore. Minerals 2020, 10, 660. [Google Scholar] [CrossRef]
- Hosseini, M.R.; Shirazi, H.H.A.; Massinaei, M.; Mehrshad, N. Modeling the Relationship between Froth Bubble Size and Flotation Performance Using Image Analysis and Neural Networks. Chem. Eng. Commun. 2014, 202, 911–919. [Google Scholar] [CrossRef]
- Wang, J.-S.; Han, S. Feed-Forward Neural Network Soft-Sensor Modeling of Flotation Process Based on Particle Swarm Optimization and Gravitational Search Algorithm. Comput. Intell. Neurosci. 2015, 2015, 1–10. [Google Scholar] [CrossRef]
- Aldrich, C.; Moolman, D.; Gouws, F.; Schmitz, G. Machine Learning Strategies for Control of Flotation Plants. IFAC Proc. Vol. 1995, 28, 99–105. [Google Scholar] [CrossRef]
- Saravani, A.J.; Mehrshad, N.; Massinaei, M. Fuzzy-based modeling and control of an industrial flotation column. Chem. Eng. Commun. 2014, 201, 896–908. [Google Scholar] [CrossRef]
- Massinaei, M.; Sedaghati, M.R.; Rezvani, R.; Mohammadzadeh, A.A. Using data mining to assess and model the metallurgical efficiency of a copper concentrator. Chem. Eng. Commun. 2014, 201, 1314–1326. [Google Scholar] [CrossRef]
- Al-Thyabat, S. Investigating the effect of some operating parameters on phosphate flotation kinetics by neural network. Adv. Powder Technol. 2009, 20, 355–360. [Google Scholar] [CrossRef]
- Al-Thyabat, S. On the optimization of froth flotation by the use of an artificial neural network. J. China Univ. Min. Technol. 2008, 18, 418–426. [Google Scholar] [CrossRef]
- Nakhaei, F.; Mosavi, M.R.; Sam, A.; Vaghei, Y. Recovery and grade accurate prediction of pilot plant flotation column concentrate: Neural network and statistical techniques. Int. J. Miner. Process. 2012, 110, 140–154. [Google Scholar] [CrossRef]
- Massinaei, M.; Jahedsaravani, A.; Mohseni, H. Recognition of process conditions of a coal column flotation circuit using computer vision and machine learning. Int. J. Coal Prep. Util. 2020, 42, 2204–2218. [Google Scholar] [CrossRef]
- Popli, K.; Maries, V.; Afacan, A.; Liu, Q.; Prasad, V. Development of a vision-based online soft sensor for oil sands flotation using support vector regression and its application in the dynamic monitoring of bitumen extraction. Can. J. Chem. Eng. 2018, 96, 1532–1540. [Google Scholar] [CrossRef]
- Zhang, Z.; Liu, Y.; Hu, Q.; Zhang, Z.; Wang, L.; Liu, X.; Xia, X. Multi-information online detection of coal quality based on machine vision. Powder Technol. 2020, 374, 250–262. [Google Scholar] [CrossRef]
- Zhang, Z.; Yang, J.; Wang, Y.; Dou, D.; Xia, W. Ash content prediction of coarse coal by image analysis and GA-SVM. Powder Technol. 2014, 268, 429–435. [Google Scholar] [CrossRef]
- Allahkarami, E.; Nuri, O.S.; Abdollahzadeh, A.; Rezai, B.; Chegini, M. Estimation of Copper and Molybdenum Grades and Recoveries in the Industrial Flotation Plant Using the Artificial Neural Network. Int. J. Nonferrous Met. 2016, 5, 23–32. [Google Scholar] [CrossRef]
- Nakhaei, F.; Sam, A.; Mosavi, M.R.; Zeidabadi, S. Prediction of copper grade at flotation column concentrate using Artificial Neural Network. In Proceedings of the IEEE 10th International Conference on Signal Processing Proceedings, Beijing, China, 24–28 October 2010; pp. 1421–1424. [Google Scholar]
- Çilek, E. Application of neural networks to predict locked cycle flotation test results. Miner. Eng. 2002, 15, 1095–1104. [Google Scholar] [CrossRef]
- Massinaei, M.; Doostmohammadi, R. Modeling of bubble surface area flux in an industrial rougher column using artificial neural network and statistical techniques. Miner. Eng. 2010, 23, 83–90. [Google Scholar] [CrossRef]
- Nakhaei, F.; Irannajad, M. Comparison between neural networks and multiple regression methods in metallurgical performance modeling of flotation column. Physicochem. Probl. Miner. Process. 2013, 49, 255–266. [Google Scholar]
- Jahedsaravani, A.; Marhaban, M.; Massinaei, M. Prediction of the metallurgical performances of a batch flotation system by image analysis and neural networks. Miner. Eng. 2014, 69, 137–145. [Google Scholar] [CrossRef]
- Cook, R.; Monyake, K.C.; Hayat, M.B.; Kumar, A.; Alagha, L. Prediction of flotation efficiency of metal sulfides using an original hybrid machine learning model. Eng. Rep. 2020, 2, e12167. [Google Scholar] [CrossRef]
- Pu, Y.; Szmigiel, A.; Apel, D.B. Purities prediction in a manufacturing froth flotation plant: The deep learning techniques. Neural Comput. Appl. 2020, 32, 13639–13649. [Google Scholar] [CrossRef]
- Montanares, M.; Guajardo, S.; Aguilera, I.; Risso, N. Assessing machine learning-based approaches for silica concentration estimation in iron froth flotation. In Proceedings of the 2021 IEEE International Conference on Automation/XXIV Congress of the Chilean Association of Automatic Control (ICA-ACCA), Valparaíso, Chile, 22–26 March 2021; pp. 1–6. [Google Scholar]
- Abkhoshk, E.; Kor, M.; Rezai, B. A study on the effect of particle size on coal flotation kinetics using fuzzy logic. Expert Syst. Appl. 2010, 37, 5201–5207. [Google Scholar] [CrossRef]
- Ehrig, K.; McPhie, J.; Kamenetsky, V. Geology and mineralogical zonation of the Olympic Dam iron oxide Cu-U-Au-Ag deposit, South Australia. In Geology and Genesis of Major Copper Deposits and Districts of the World, a Tribute to Richard Sillitoe; Hedenquist, J.W., Harris, M., Camus, F., Eds.; Society of Economic Geologists: Littleton, CO, USA, 2012; Volume 16, pp. 237–268. [Google Scholar]
- Temeng, V.A.; Ziggah, Y.Y.; Arthur, C.K. A novel artificial intelligent model for predicting air overpressure using brain inspired emotional neural network. Int. J. Min. Sci. Technol. 2020, 30, 683–689. [Google Scholar] [CrossRef]
- Seidu, J.; Ewusi, A.; Kuma, J.S.Y.; Ziggah, Y.Y.; Voigt, H.-J. A hybrid groundwater level prediction model using signal decomposition and optimised extreme learning machine. Model. Earth Syst. Environ. 2021, 8, 3607–3624. [Google Scholar] [CrossRef]






| Reference | Model | Pulp Chemistry Data |
|---|---|---|
| [50] | Neural network | Only pH |
| [51] | Neural network | None |
| [52] | Probabilistic decision tree and Neural network | None |
| [53] | Fuzzy logic | None |
| [54] | Neural network, Boosted trees, Random forest, Gaussian process regression, Decision table, Support vector machine, M5p model tree, REPTree, Decision stump and M5 rules | None |
| [55] | Neural network | None |
| [56] | Neural network | None |
| [57] | Neural network | None |
| [58] | Neural network | None |
| [59] | Support vector regression | None |
| [32] | Probabilistic decision tree and Neural network | None |
| [60] | Genetic algorithm-Support vector machine | None |
| [61] | Genetic algorithm-Support vector machine | None |
| [62] | Neural network | Only pH |
| [63] | Neural network | None |
| [64] | Neural network | Only pH |
| [65] | Neural network | None |
| [66] | Linear regression, Non-linear regression, Neural network, Radial basis function | None |
| [67] | Neural network | Only pH |
| [68] | Random forest-firefly algorithm | Only pH |
| [69] | Neural network (deep learning) | Only pH |
| [21] | Neural network (deep learning) | Only pH |
| [70] | Random forest, Long Short-Term Memory and Gated recurrent unit | Only pH |
| [71] | Fuzzy logic | None |
| This work | Gaussian process regression | pH, Eh, dissolved oxygen, temperature |
| Variable | Variable Index | Variable Type | ||
|---|---|---|---|---|
| Established rougher flotation variables | Feed particle size (% passing 75 μm) | x1 | Input variables | |
| Throughput (t/h) | x2 | |||
| Xanthate dosage (mL/min) | tank cell 1 | x3 | ||
| tank cell 4 | x4 | |||
| Frother dosage (mL/min) | tank cell 1 | x5 | ||
| tank cell 4 | x6 | |||
| Froth depth (mm) | tank cell 1 | x7 | ||
| tank cell 2/3 * | x8 | |||
| tank cell 4/5 * | x9 | |||
| Pulp chemistry variables | pH | x10 | ||
| Eh | x11 | |||
| Dissolved oxygen | x12 | |||
| Temperature | x13 | |||
| Rougher copper recovery (%) | Output variable | |||
| Scenarios | Input Variables |
|---|---|
| 1 | Established rougher flotation variables |
| 2 | Established rougher flotation variables and pulp chemistry variables |
| 3 | Variables as selected by RNCA algorithm |
| K-Fold | Best Lambda Values | Selected Variables |
|---|---|---|
| 5 | 0.0101 | x1, x2, x3, x5, x6, x7, x8, x9, x10, x11, x12, x13 |
| 6 | 0.0304 | x1, x2, x3, x5, x6, x9, x10, x11, x12, x13 |
| 7 | 0.0202 | x1, x2, x3, x5, x6, x7, x8, x9, x10, x11, x12, x13 |
| 8 | 0.0152 | x1, x2, x3, x5, x6, x7, x8, x9, x10, x11, x12, x13 |
| 9 | 0.0279 | x1, x2, x3, x5, x6, x8, x9, x10, x11, x12, x13 |
| 10 | 0.0203 | x1, x2, x3, x5, x6, x7, x8, x9, x10, x11, x12, x13 |
| Criteria | Scenario 1 | Scenario 2 | Scenario 3 | |||
|---|---|---|---|---|---|---|
| Training Dataset | Testing Dataset | Training Dataset | Testing Dataset | Training Dataset | Testing Dataset | |
| r | 0.9998 | 0.9528 | 0.9999 | 0.9589 | 0.9999 | 0.9806 |
| RMSE | 0.0005 | 0.4897 | 0.0004 | 0.4496 | 0.0005 | 0.3122 |
| MAPE | 0.0003 | 0.2761 | 0.0003 | 0.2332 | 0.0003 | 0.1948 |
| SI | 0.0005 | 0.0052 | 0.0005 | 0.0048 | 0.0005 | 0.0033 |
Disclaimer/Publisher’s Note: The statements, opinions and data contained in all publications are solely those of the individual author(s) and contributor(s) and not of MDPI and/or the editor(s). MDPI and/or the editor(s) disclaim responsibility for any injury to people or property resulting from any ideas, methods, instructions or products referred to in the content. |
© 2023 by the authors. Licensee MDPI, Basel, Switzerland. This article is an open access article distributed under the terms and conditions of the Creative Commons Attribution (CC BY) license (https://creativecommons.org/licenses/by/4.0/).
Share and Cite
Amankwaa-Kyeremeh, B.; Ehrig, K.; Greet, C.; Asamoah, R. Pulp Chemistry Variables for Gaussian Process Prediction of Rougher Copper Recovery. Minerals 2023, 13, 731. https://doi.org/10.3390/min13060731
Amankwaa-Kyeremeh B, Ehrig K, Greet C, Asamoah R. Pulp Chemistry Variables for Gaussian Process Prediction of Rougher Copper Recovery. Minerals. 2023; 13(6):731. https://doi.org/10.3390/min13060731
Chicago/Turabian StyleAmankwaa-Kyeremeh, Bismark, Kathy Ehrig, Christopher Greet, and Richmond Asamoah. 2023. "Pulp Chemistry Variables for Gaussian Process Prediction of Rougher Copper Recovery" Minerals 13, no. 6: 731. https://doi.org/10.3390/min13060731
APA StyleAmankwaa-Kyeremeh, B., Ehrig, K., Greet, C., & Asamoah, R. (2023). Pulp Chemistry Variables for Gaussian Process Prediction of Rougher Copper Recovery. Minerals, 13(6), 731. https://doi.org/10.3390/min13060731
