Experimental Study on the Mechanical and Acoustic Emission Characteristics of Tuff with Different Moisture Contents
Abstract
:1. Introduction
2. Materials and Methods
2.1. Specimen Preparation
2.2. Experimental Equipment and Procedure
3. Experimental Results and Discussion
3.1. Relationship between Moisture Content and Immersion Time
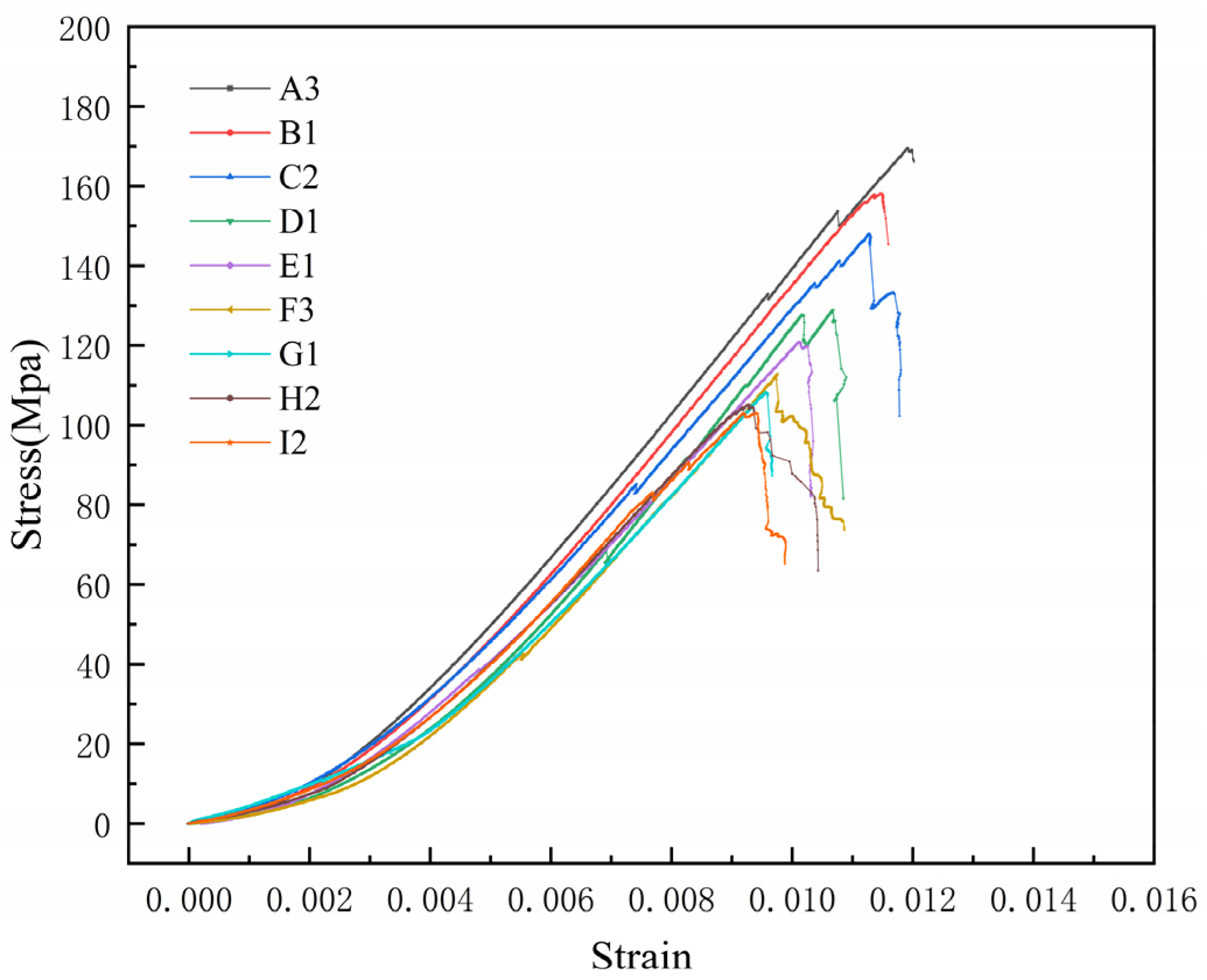
3.2. Mechanical Behavior of Tuff under Different Moisture Content
3.3. AE Counts and Energy Characteristics of Tuff with Different Moisture Content
3.4. RA–AF Distribution and Tuff Failure Characteristics under Different Moisture Content
3.5. Mesoscopic Analysis of Failure Fracture under Different Moisture Content
4. Conclusions
- (1)
- The moisture content increased with immersion time. At the initial stage of immersion, the moisture content rose rapidly (0–24 h). After 24 h of immersion, the increasing rate of moisture content dropped significantly. After 180 h of immersion, the moisture content gradually stabilized and approached saturation in numerical terms.
- (2)
- The uniaxial compressive strength and elastic modulus of the tuff specimens both decreased with the increase in moisture content, reaching the lowest values when the specimens were saturated. The uniaxial compressive strength decreased rapidly at the initial stage of immersion, and the decrease rate slowed down as the moisture content increased. The variation of elastic modulus also showed a similar trend. When the moisture content increased, the stress–strain curves showed obvious post-peak segments, which proved that the increase in moisture content led to an improvement in plasticity and toughness of the tuff. In addition, the Poisson’s ratio increased with moisture content.
- (3)
- Higher moisture content of the tuff specimens led to a longer “quiet period” experienced during the initial loading stage. In addition, the increase in moisture content also led to a decrease in the accumulated AE counts and energy. This proved that the generation and expansion of tuff rock cracks were delayed by the softening effect of water, and the number of internal crack events in the rock was relatively decreased. Furthermore, the energy release generated by internal crack events of the tuff was also reduced.
- (4)
- When the moisture content of the rock was low (lower than 0.41%), the RA–AF values were mainly distributed along the horizontal axis, indicating that the crack type was dominated by shear crack, whereas, when the rock moisture content was high (higher than 0.41%), the RA–AF values became distributed along the vertical axis, indicating that the crack type was mainly tension crack. The failure morphology of the tuff specimens also further verified that the dominant crack type changed from shear crack to tensile crack with the increase in moisture content, while the disruption at the microscopic level was also more intense.
Author Contributions
Funding
Data Availability Statement
Acknowledgments
Conflicts of Interest
References
- Kim, E.; Changani, H. Effect of water saturation and loading rate on the mechanical properties of Red and Buff Sandstones. Int. J. Rock Mech. Min. Sci. 2016, 88, 23–28. [Google Scholar] [CrossRef]
- Vasarhelyi, B.; Van, P. Influence of water content on the strength of rock. Eng. Geol. 2006, 84, 70–74. [Google Scholar] [CrossRef]
- Li, L.P.; Sun, S.Q.; Wang, J.; Yang, W.M.; Song, S.G.; Fang, Z.D. Experimental study of the precursor information of the water inrush in shield tunnels due to the proximity of a water-filled cave. Int. J. Rock Mech. Min. Sci. 2020, 130, 104320. [Google Scholar] [CrossRef]
- Zhu, J.; Deng, J.H.; Chen, F.; Huang, Y.M.; Yu, Z.Q. Water Saturation Effects on Mechanical and Fracture Behavior of Marble. Int. J. Geomech. 2020, 20, 04020191. [Google Scholar] [CrossRef]
- Ranjith, P.G.; Jasinge, D.; Song, J.Y.; Choi, S.K. A study of the effect of displacement rate and moisture content on the mechanical properties of concrete: Use of acoustic emission. Mech. Mater. 2008, 40, 453–469. [Google Scholar] [CrossRef]
- Liu, X.X.; Wu, L.X.; Zhang, Y.B.; Liang, Z.Z.; Yao, X.L.; Liang, P. Frequency properties of acoustic emissions from the dry and saturated rock. Environ. Earth Sci. 2019, 78, 67. [Google Scholar] [CrossRef]
- Shiotani, T.; Ohtsu, M.; Ikeda, K. Detection and evaluation of AE waves due to rock deformation. Constr. Build. Mater. 2001, 15, 235–246. [Google Scholar] [CrossRef]
- Liu, X.; Liu, Z.; Li, X.; Gong, F.; Du, K. Experimental study on the effect of strain rate on rock acoustic emission characteristics. Int. J. Rock Mech. Min. Sci. 2020, 133, 104420. [Google Scholar] [CrossRef]
- Lockner, D. The role of acoustic emission in the study of rock fracture. Int. J. Rock Mech. Min. Sci. Geomech. Abstr. 1993, 30, 883–899. [Google Scholar] [CrossRef]
- Yao, Q.; Wang, W.; Zhu, L.; Xia, Z.; Tang, C.; Wang, X. Effects of moisture conditions on mechanical properties and AE and IR characteristics in coal–rock combinations. Arab. J. Geosci. 2020, 13, 615. [Google Scholar] [CrossRef]
- Zhou, Z.L.; Cai, X.; Cao, W.Z.; Li, X.B.; Xiong, C. Influence of Water Content on Mechanical Properties of Rock in Both Saturation and Drying Processes. Rock Mech. Rock Eng. 2016, 49, 3009–3025. [Google Scholar] [CrossRef]
- Vasarhelyi, B. Statistical analysis of the influence of water content on the strength of the miocene limestone. Rock Mech. Rock Eng. 2005, 38, 69–76. [Google Scholar] [CrossRef]
- Yilmaz, I. Influence of water content on the strength and deformability of gypsum. Int. J. Rock Mech. Min. Sci. 2010, 47, 342–347. [Google Scholar] [CrossRef]
- Vishal, V.; Ranjith, P.G.; Singh, T.N. An experimental investigation on behaviour of coal under fluid saturation, using acoustic emission. J. Nat. Gas Sci. Eng. 2015, 22, 428–436. [Google Scholar] [CrossRef]
- Yu, L.; Yao, Q.; Li, X.; Wang, W.; Han, H.; Zhang, M. Experimental study of failure characteristics and fissure propagation in hydrous siltstone. Arab. J. Geosci. 2020, 13, 527. [Google Scholar] [CrossRef]
- Roy, D.G.; Singh, T.N.; Kodikara, J.; Das, R. Effect of Water Saturation on the Fracture and Mechanical Properties of Sedimentary Rocks. Rock Mech. Rock Eng. 2017, 50, 2585–2600. [Google Scholar] [CrossRef]
- Rudajev, V.; Vilhelm, J.; Lokajicek, T. Laboratory studies of acoustic emission prior to uniaxial compressive rock failure. Int. J. Rock Mech. Min. Sci. 2000, 37, 699–704. [Google Scholar] [CrossRef]
- Backers, T.; Stanchits, S.; Dresen, G. Tensile fracture propagation and acoustic emission activity in sandstone: The effect of loading rate. Int. J. Rock Mech. Min. Sci. 2005, 42, 1094–1101. [Google Scholar] [CrossRef]
- Cai, M.; Kaiser, P.K.; Morioka, H.; Minami, M.; Maejima, T.; Tasaka, Y.; Kurose, H. FLAC/PFC coupled numerical simulation of AE in large-scale underground excavations. Int. J. Rock Mech. Min. Sci. 2007, 44, 550–564. [Google Scholar] [CrossRef]
- Ganne, P.; Vervoort, A.; Wevers, M. Quantification of pre-peak brittle damage: Correlation between acoustic emission and observed micro-fracturing. Int. J. Rock Mech. Min. Sci. 2007, 44, 720–729. [Google Scholar] [CrossRef]
- Ohno, K.; Ohtsu, M. Crack classification in concrete based on acoustic emission. Constr. Build. Mater. 2010, 24, 2339–2346. [Google Scholar] [CrossRef]
- Sun, X.; Xu, H.; Zheng, L.; He, M.; Gong, W. An experimental investigation on acoustic emission characteristics of sandstone rockburst with different moisture contents. Sci. China Technol. Sci. 2016, 59, 1549–1558. [Google Scholar] [CrossRef]
- Yang, K.; Yan, Q.X.; Zhang, C.A.; Wu, W.; Wan, F. Study on mechanical properties and damage evolution of carbonaceous shale under triaxial compression with acoustic emission. Int. J. Damage Mech. 2021, 30, 899–922. [Google Scholar] [CrossRef]
- Chen, L.H.; Chen, W.C.; Chen, Y.C.; Benyamin, L.; Li, A.J. Investigation of Hydraulic Fracture Propagation Using a Post-Peak Control System Coupled with Acoustic Emission. Rock Mech. Rock Eng. 2015, 48, 1233–1248. [Google Scholar] [CrossRef]
- Chen, L.; Zhao, J.; Zheng, Z. Acoustic Emission Characteristics of Compressive Deformation and Failure of Siltstone under Different Water Contents. Adv. Mater. Sci. Eng. 2017, 2017, 4035487. [Google Scholar] [CrossRef] [Green Version]
- Carpinteri, A.; Corrado, M.; Lacidogna, G. Heterogeneous materials in compression: Correlations between absorbed, released and acoustic emission energies. Eng. Fail. Anal. 2013, 33, 236–250. [Google Scholar] [CrossRef]
- Amann, F.; Button, E.A.; Evans, K.F.; Gischig, V.S.; Blumel, M. Experimental Study of the Brittle Behavior of Clay shale in Rapid Unconfined Compression. Rock Mech. Rock Eng. 2011, 44, 415–430. [Google Scholar] [CrossRef] [Green Version]
- Xiao, F.; He, J.; Liu, Z.; Shen, Z.; Liu, G. Analysis on warning signs of damage of coal samples with different water contents and relevant damage evolution based on acoustic emission and infrared characterization. Infrared Phys. Technol. 2019, 97, 287–299. [Google Scholar] [CrossRef]
- Rodriguez, P.; Celestino, T.B. Application of acoustic emission monitoring and signal analysis to the qualitative and quantitative characterization of the fracturing process in rocks. Eng. Fract. Mech. 2019, 210, 54–69. [Google Scholar] [CrossRef]
- Liu, H.L.; Zhu, W.C.; Yu, Y.J.; Xu, T.; Li, R.F.; Liu, X.G. Effect of water imbibition on uniaxial compression strength of sandstone. Int. J. Rock Mech. Min. Sci. 2020, 127, 104200. [Google Scholar] [CrossRef]
- Huang, S.B.; He, Y.B.; Liu, G.F.; Lu, Z.X.; Xin, Z.K. Effect of water content on the mechanical properties and deformation characteristics of the clay-bearing red sandstone. Bull. Eng. Geol. Environ. 2021, 80, 1767–1790. [Google Scholar] [CrossRef]
- Huang, Y.M.; Deng, J.H.; Zhu, J. An Experimental Investigation of Moisture-Induced Softening Mechanism of Marble Based on Quantitative Analysis of Acoustic Emission Waveforms. Appl. Sci. 2019, 9, 446. [Google Scholar] [CrossRef] [Green Version]
- Sagar, R.V.; Prasad, B.K.R. A review of recent developments in parametric based acoustic emission techniques applied to concrete structures. Nondestruct. Test Eval. 2012, 27, 47–68. [Google Scholar] [CrossRef]
- Meng, Y.Y.; Jing, H.W.; Liu, X.W.; Yin, Q.; Wei, X.C. Experimental and numerical investigation on the effects of bedding plane properties on the mechanical and acoustic emission characteristics of sandy mudstone. Eng. Fract. Mech. 2021, 245, 107582. [Google Scholar] [CrossRef]
- Wang, H.J.; Liu, D.; Cui, Z.D.; Cheng, C.; Jian, Z. Investigation of the fracture modes of red sandstone using XFEM and acoustic emissions. Theor. Appl. Fract. Mech. 2016, 85, 283–293. [Google Scholar] [CrossRef]















| Parameter | MSPS | Threshold (dB) | HLT (μs) | HDT (μs) | PDT (μs) | Resonant Frequency (kHz) | Pre-Amplified (dB) |
|---|---|---|---|---|---|---|---|
| Value | 1 | 40 | 1000 | 800 | 200 | 300 | 40 |
| No. | Immersion Time | Dry Weight (g) | Wet Weight (g) | Moisture Content (%) | Average Moisture Content (%) |
|---|---|---|---|---|---|
| A-1 | 0 h | 667.28 | 0 | 0 | |
| A-2 | 658.17 | 0 | |||
| A-3 | 649.84 | 0 | |||
| B-1 | 6 h | 669.93 | 671.87 | 0.30 | 0.28 |
| B-2 | 662.31 | 664.10 | 0.27 | ||
| B-3 | 652.79 | 654.55 | 0.26 | ||
| C-1 | 12 h | 663.80 | 666.39 | 0.39 | 0.40 |
| C-2 | 671.15 | 673.90 | 0.41 | ||
| C-3 | 661.26 | 663.91 | 0.4 | ||
| D-1 | 24 h | 646.68 | 650.69 | 0.62 | 0.60 |
| D-2 | 647.25 | 651.07 | 0.59 | ||
| D-3 | 658.74 | 662.69 | 0.6 | ||
| E-1 | 60 h | 660.41 | 665.63 | 0.79 | 0.81 |
| E-2 | 656.28 | 661.60 | 0.81 | ||
| E-3 | 644.91 | 650.20 | 0.82 | ||
| F-1 | 180 h | 655.21 | 661.04 | 0.88 | 0.90 |
| F-2 | 647.26 | 653.02 | 0.90 | ||
| F-3 | 655.95 | 661.92 | 0.91 | ||
| G-1 | 450 h | 649.58 | 655.82 | 0.96 | 0.97 |
| G-2 | 644.32 | 650.63 | 0.99 | ||
| G-3 | 656.28 | 662.71 | 0.97 | ||
| H-1 | 960 h | 651.79 | 658.37 | 1.01 | 1.02 |
| H-2 | 647.66 | 654.27 | 1.02 | ||
| H-3 | 649.57 | 656.33 | 1.04 | ||
| I-1 | Saturated | 649.39 | 656.21 | 1.05 | 1.05 |
| I-2 | 654.92 | 661.73 | 1.04 | ||
| I-3 | 651.74 | 658.71 | 1.07 |
| No. | Immersion Time | UCS (MPa) | Average UCS (MPa) | Elasticity Modulus (GPa) | Average Elasticity Modulus (GPa) | Poisson’s Ratio | Average Poisson’s Ratio |
|---|---|---|---|---|---|---|---|
| A-1 | 0 h | 170.01 | 18.06 | 0.20 | |||
| A-2 | 170.53 | 170.05 | 17.96 | 17.95 | 0.18 | 0.19 | |
| A-3 | 169.61 | 17.82 | 0.19 | ||||
| B-1 | 6 h | 158.09 | 17.07 | 0.21 | |||
| B-2 | 157.57 | 157.59 | 16.93 | 16.97 | 0.24 | 0.23 | |
| B-3 | 157.11 | 16.90 | 0.23 | ||||
| C-1 | 12 h | 144.85 | 16.26 | 0.23 | |||
| C-2 | 148.10 | 146.39 | 16.56 | 16.41 | 0.26 | 0.25 | |
| C-3 | 146.22 | 16.41 | 0.27 | ||||
| D-1 | 24 h | 128.96 | 16.30 | 0.27 | |||
| D-2 | 127.36 | 127.84 | 16.11 | 16.05 | 0.26 | 0.27 | |
| D-3 | 127.20 | 15.73 | 0.27 | ||||
| E-1 | 60 h | 120.78 | 15.81 | 0.27 | |||
| E-2 | 119.89 | 119.83 | 15.66 | 15.69 | 0.29 | 0.27 | |
| E-3 | 118.82 | 15.60 | 0.26 | ||||
| F-1 | 180 h | 112.26 | 15.42 | 0.28 | |||
| F-2 | 111.35 | 112.16 | 15.48 | 15.39 | 0.30 | 0.28 | |
| F-3 | 112.88 | 15.26 | 0.26 | ||||
| G-1 | 450 h | 108.22 | 15.00 | 0.27 | |||
| G-2 | 107.73 | 107.27 | 15.22 | 15.19 | 0.30 | 0.29 | |
| G-3 | 105.87 | 15.34 | 0.30 | ||||
| H-1 | 960 h | 105.41 | 15.12 | 0.30 | |||
| H-2 | 105.16 | 104.88 | 14.94 | 15.09 | 0.29 | 0.30 | |
| H-3 | 104.07 | 15.20 | 0.31 | ||||
| I-1 | Saturated | 103.14 | 15.01 | 0.29 | |||
| I-2 | 103.02 | 103.03 | 14.99 | 15.01 | 0.31 | 0.30 | |
| I-3 | 102.93 | 15.02 | 0.31 |
Publisher’s Note: MDPI stays neutral with regard to jurisdictional claims in published maps and institutional affiliations. |
© 2022 by the authors. Licensee MDPI, Basel, Switzerland. This article is an open access article distributed under the terms and conditions of the Creative Commons Attribution (CC BY) license (https://creativecommons.org/licenses/by/4.0/).
Share and Cite
Dong, W.; Han, L.; Meng, L.; Zhu, H.; Yan, S.; Xu, C.; Dong, Y. Experimental Study on the Mechanical and Acoustic Emission Characteristics of Tuff with Different Moisture Contents. Minerals 2022, 12, 1050. https://doi.org/10.3390/min12081050
Dong W, Han L, Meng L, Zhu H, Yan S, Xu C, Dong Y. Experimental Study on the Mechanical and Acoustic Emission Characteristics of Tuff with Different Moisture Contents. Minerals. 2022; 12(8):1050. https://doi.org/10.3390/min12081050
Chicago/Turabian StyleDong, Wenlong, Lijun Han, Lingdong Meng, Hexuan Zhu, Shuai Yan, Changyu Xu, and Yaning Dong. 2022. "Experimental Study on the Mechanical and Acoustic Emission Characteristics of Tuff with Different Moisture Contents" Minerals 12, no. 8: 1050. https://doi.org/10.3390/min12081050
APA StyleDong, W., Han, L., Meng, L., Zhu, H., Yan, S., Xu, C., & Dong, Y. (2022). Experimental Study on the Mechanical and Acoustic Emission Characteristics of Tuff with Different Moisture Contents. Minerals, 12(8), 1050. https://doi.org/10.3390/min12081050

