Full-Field Deformation and Crack Development Evolution of Red Sandstone under Impact and Chemical Erosion
Abstract
:1. Introduction
2. Material and Methods
2.1. Materials and Sample Preparation
2.2. Experimental System
2.3. 3D-DIC Basic Principles
3. Experimental Results and Analysis
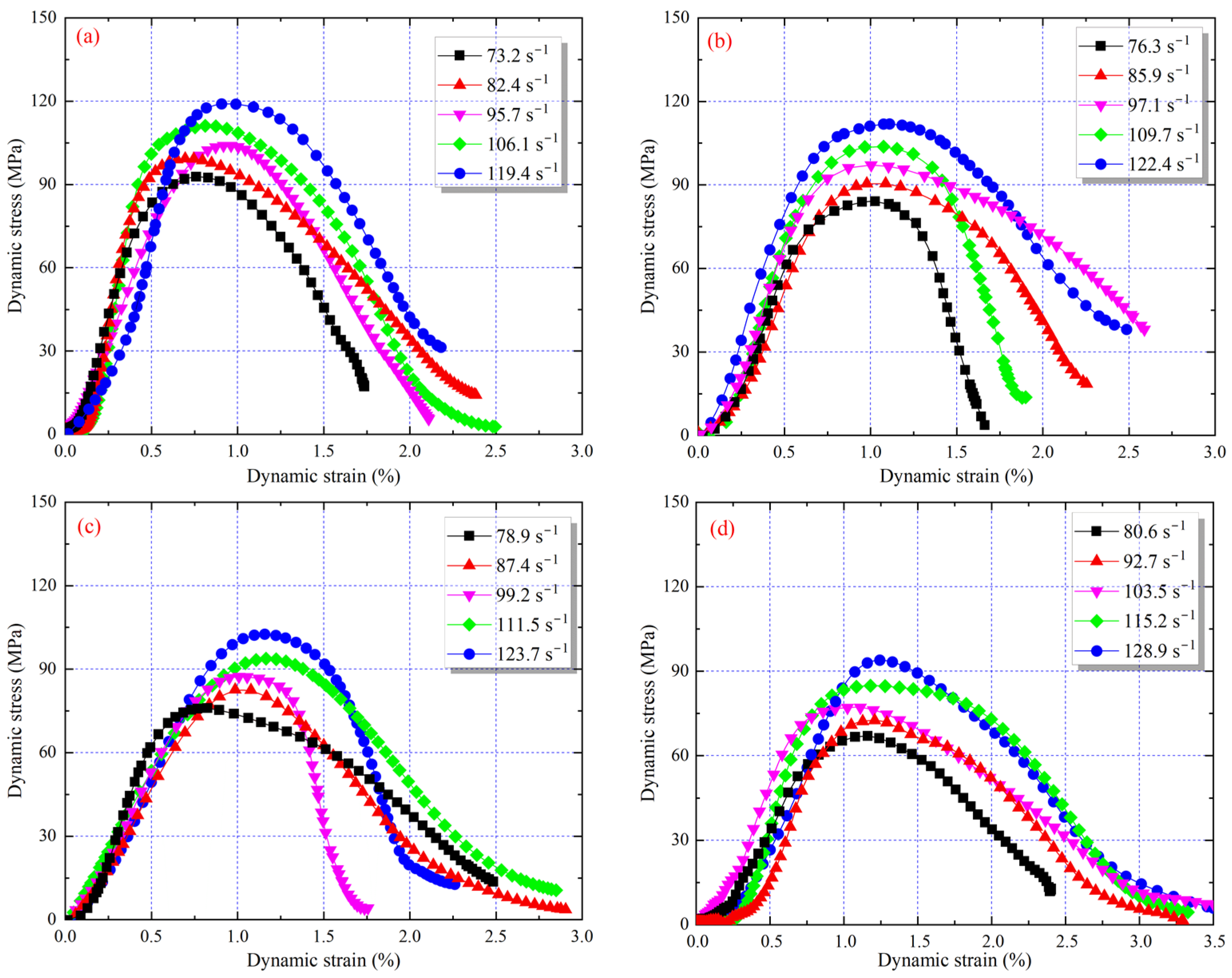
3.1. Dynamic Stress-Strain Behavior
3.2. Displacement and Strain Field Characteristics
3.2.1. Evolution of the Displacement Field
3.2.2. Evolution of the Strain Field
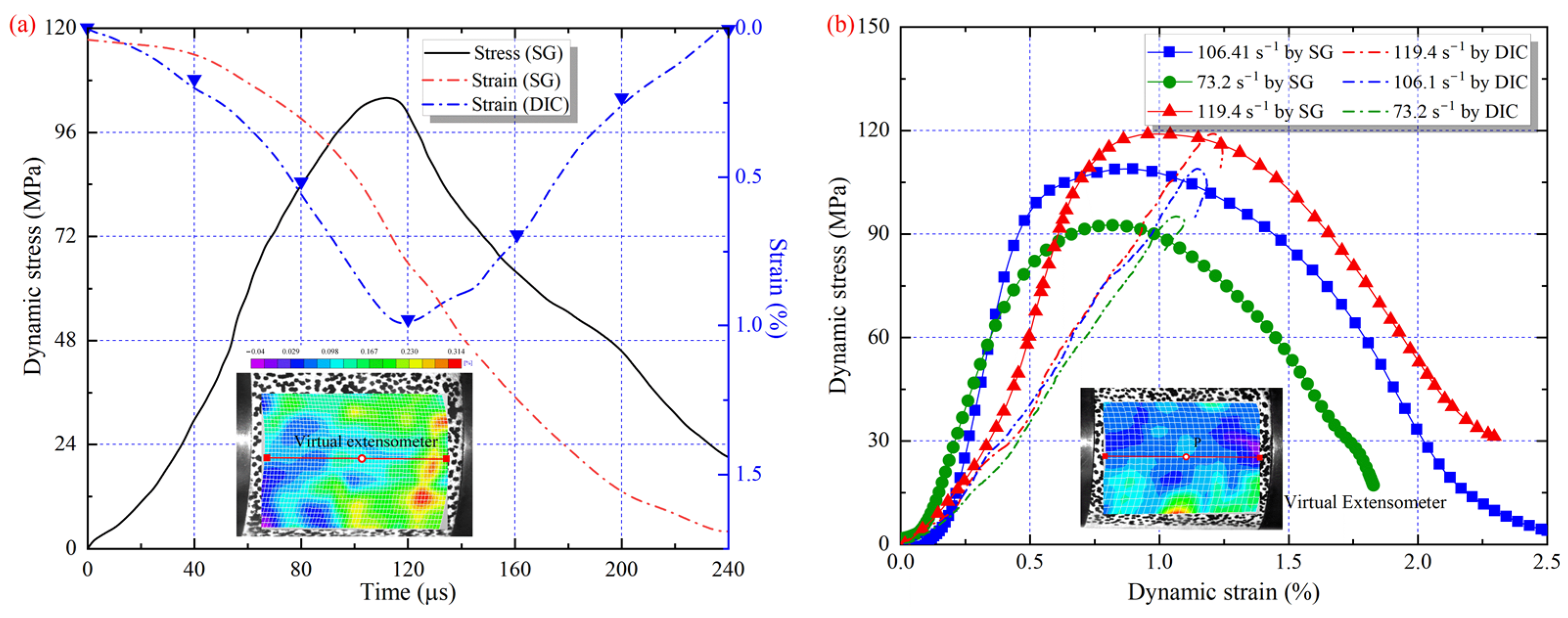
3.3. Difference between DIC and Strain Gauges
3.4. Stress Thresholds for Cracks Development
4. Discussions
5. Conclusions
- The evolution of the displacement and strain fields of the red sandstone was affected by chemical erosion and impact loading. The higher the loading rate, the greater the dynamic strength, while the stress threshold for strain localization was lower and the time to reach the stress peak was shorter. Moreover, chemical erosion accelerated the strain localization process and lowered the stress threshold for the occurrence of strain localization. Similarly, the stress threshold for displacement localization on the sample surface decreased with increasing erosion.
- Under the influence of the erosion effect, the horizontal strain localization first occurred at the edge of the sample in the y-direction of the strain field, and then the strain localization gradually extended toward the center of the sample before reaching the peak stress. In the unloading phase, shear strain bands began to appear on the sample, and shear cracks gradually formed on the surface. No visible cracks appeared on the surface of the sample until the peak stress was reached.
- Normalized stress thresholds for stable/unstable crack development were both lowered by chemical erosion. After an erosion period of 21 d, the stress threshold for the development of stable crack in the sample decreased from 0.34 to 0.27. In addition, the strain rate accelerated the gestation and development of cracks in the rock. Compared to the static test, the two thresholds for crack development decreased to 10–30% and 20–70% of the peak stress, respectively.
Author Contributions
Funding
Data Availability Statement
Conflicts of Interest
References
- Pu, H.; Xu, J. Research Status and Progress of Geothermal Energy Development and Utilization from Closed/Abandoned Coal Mines. J. China Coal Soc. 2022, 47, 2243–2269. [Google Scholar]
- Menéndez, J.; Fernández-Oro, J.M.; Galdo, M.; Loredo, J. Transient simulation of underground pumped storage hydropower plants operating in pumping mode. Energies 2020, 13, 1781. [Google Scholar] [CrossRef]
- Menéndez, J.; Fernández-Oro, J.M.; Loredo, J. Economic feasibility of underground pumped storage hydropower plants providing ancillary services. Appl. Sci. 2020, 10, 3947. [Google Scholar] [CrossRef]
- Zhang, C.; Wang, F.; Bai, Q. Underground space utilization of coalmines in China: A review of underground water reservoir construction. Tunn. Undergr. Space Technol. 2021, 107, 103657. [Google Scholar] [CrossRef]
- Farr, G.; Sadasivam, S.; Watson, I.A.; Thomas, H.R.; Tucker, D. Low enthalpy heat recovery potential from coal mine discharges in the South Wales Coalfield. Int. J. Coal Geol. 2016, 164, 92–103. [Google Scholar] [CrossRef]
- Ma, T.; Ding, W.X.; Wang, H.Y.; Chen, G.X.; Chen, H.J.; Yan, Y.Y. Dissolution characteristics and mechanical properties of limestone with different mineral composition contents eroded by acid chemical solution. Chin. J. Geotech. Eng. 2021, 43, 1550–1557. [Google Scholar]
- Lin, Y.; Zhou, K.; Gao, R.; Li, J.; Zhang, J. Influence of chemical corrosion on pore structure and mechanical properties of sandstone. Geofluids 2019, 2019, 24–30. [Google Scholar] [CrossRef]
- Li, H.; Zhong, Z.; Liu, X.; Sheng, Y.; Yang, D. Micro-damage evolution and macro-mechanical property degradation of limestone due to chemical effects. Int. J. Rock Mech. Min. Sci. 2018, 110, 257–265. [Google Scholar] [CrossRef]
- Feng, X.; Chen, S.; Li, S. Effects of water chemistry on microcracking and compressive strength of granite. Int. J. Rock Mech. Min. Sci. 2001, 38, 557–568. [Google Scholar] [CrossRef]
- Yongsheng, L.; Liu, W.; Dong, X. Dynamic mechanical properties and constitutive model of rock under chemical corrosion. J. Yangtze River Sci. Res. Inst. 2015, 32, 72–75. [Google Scholar]
- Han, T.; Shi, J.; Chen, Y.; Li, Z.; Li, C. Laboratory Investigation on the Mechanical Properties of Sandstone Immersed in Different Chemical Corrosion under Freeze-thaw Cycles. Acta Mech. Solida Sin. 2017, 38, 503–520. [Google Scholar]
- Ding, W.X.; Chen, J.P.; Xu, T.; Chen, H.J.; Wang, H.Y. Mechanical and chemical characteristics of limestone during chemical erosion. Rock Soil Mech. 2015, 36, 1825–1830. [Google Scholar]
- Xu, J.; Pu, H.; Sha, Z. Mechanical behavior and decay model of the sandstone in Urumqi under coupling of freeze–thaw and dynamic loading. Bull. Eng. Geol. Environ. 2021, 80, 2963–2978. [Google Scholar] [CrossRef]
- Li, G.; Yu, L.; Su, H.; Jing, H.; Zhang, T. Dynamic properties of corroded limestone based on SHPB. Chin. J. Rock Mech. Eng. 2018, 37, 2075–2085. [Google Scholar]
- Yu, L.; Zhang, Z.; Wu, J.; Liu, R.; Qin, H.; Fan, P. Experimental study on the dynamic fracture mechanical properties of limestone after chemical corrosion. Theor. Appl. Fract. Mech. 2020, 108, 102620. [Google Scholar] [CrossRef]
- Miao, S.; Cai, M.; Guo, Q.; Wang, P.; Liang, M. Damage effects and mechanisms in granite treated with acidic chemical solutions. Int. J. Rock Mech. Min. Sci. 2016, 88, 77–86. [Google Scholar] [CrossRef]
- Xing, H.Z.; Zhang, Q.B.; Zhao, J. Stress Thresholds of Crack Development and Poisson’s Ratio of Rock Material at High Strain Rate. Rock Mech. Rock Eng. 2018, 51, 945–951. [Google Scholar] [CrossRef]
- Wang, Y.; Zhu, C.; Zhang, B.; Hou, Z. Full-Field Deformation Characteristics of Anisotropic Marble under Compression Revealed by 3D Digital Image Correlation. Lithosphere 2021, 2021, 1098235. [Google Scholar] [CrossRef]
- Wang, Y.; Yang, H.; Zhu, C.; Gao, S. On the Fracture Evolution and Instability of Pyrite-Filled Marble Exposed to Freeze-Thaw-Compression Loads. Lithosphere 2021, 2021, 7599916. [Google Scholar] [CrossRef]
- Xing, H.Z.; Zhang, Q.B.; Ruan, D.; Dehkhoda, S.; Lu, G.X.; Zhao, J. Full-field measurement and fracture characterisations of rocks under dynamic loads using high-speed three-dimensional digital image correlation. Int. J. Impact Eng. 2018, 113, 61–72. [Google Scholar] [CrossRef]
- Li, D.; Zhu, Q.; Zhou, Z.; Li, X.; Ranjith, P.G. Fracture analysis of marble specimens with a hole under uniaxial compression by digital image correlation. Eng. Fract. Mech. 2017, 183, 109–124. [Google Scholar] [CrossRef]
- Zhou, X.P.; Wang, Y.T.; Zhang, J.Z.; Liu, F.N. Fracturing Behavior Study of Three-Flawed Specimens by Uniaxial Compression and 3D Digital Image Correlation: Sensitivity to Brittleness. Rock Mech. Rock Eng. 2019, 52, 691–718. [Google Scholar] [CrossRef]
- Solav, D.; Moerman, K.M.; Jaeger, A.M.; Genovese, K.; Herr, H.M. MultiDIC: An open-source toolbox for multi-view 3D digital image correlation. IEEE Access 2018, 6, 30520–30535. [Google Scholar] [CrossRef]
- Golewski, G.L. Measurement of fracture mechanics parameters of concrete containing fly ash thanks to use of Digital Image Correlation (DIC) method. Meas. J. Int. Meas. Confed. 2019, 135, 96–105. [Google Scholar] [CrossRef]
- Munoz, H.; Taheri, A. Specimen aspect ratio and progressive field strain development of sandstone under uniaxial compression by three-dimensional digital image correlation. J. Rock Mech. Geotech. Eng. 2017, 9, 599–610. [Google Scholar] [CrossRef]
- Chen, C.; Xu, J.; Okubo, S.; Peng, S. Damage evolution of tuff under cyclic tension–compression loading based on 3D digital image correlation. Eng. Geol. 2020, 275, 105736. [Google Scholar] [CrossRef]
- Munoz, H.; Taheri, A.; Chanda, E.K. Pre-Peak and Post-Peak Rock Strain Characteristics During Uniaxial Compression by 3D Digital Image Correlation. Rock Mech. Rock Eng. 2016, 49, 2541–2554. [Google Scholar] [CrossRef]
- Zhao, J.; Sang, Y.; Duan, F. The state of the art of two-dimensional digital image correlation computational method. Eng. Rep. 2019, 1, e12038. [Google Scholar] [CrossRef]
- Zhu, Q.; Li, D.; Han, Z.; Li, X.; Zhou, Z. Mechanical properties and fracture evolution of sandstone specimens containing different inclusions under uniaxial compression. Int. J. Rock Mech. Min. Sci. 2019, 115, 33–47. [Google Scholar] [CrossRef]
- Tang, Y.; Okubo, S.; Xu, J.; Peng, S. Experimental Study on Damage Behavior of Rock in Compression–Tension Cycle Test Using 3D Digital Image Correlation. Rock Mech. Rock Eng. 2019, 52, 1387–1394. [Google Scholar] [CrossRef]
- Sharafisafa, M.; Shen, L. Experimental Investigation of Dynamic Fracture Patterns of 3D Printed Rock-like Material Under Impact with Digital Image Correlation. Rock Mech. Rock Eng. 2020, 53, 3589–3607. [Google Scholar] [CrossRef]
- Xu, J.; Pu, H.; Sha, Z. Experimental Study on the Effect of Brittleness on the Dynamic Mechanical Behaviors of the Coal Measures Sandstone. Adv. Civ. Eng. 2021, 2021, 6679333. [Google Scholar] [CrossRef]
- Li, X. Rock Dynamic Fundamentals and Applications; Li, X., Ed.; Science Press: Beijing, China, 2014; ISBN 987-7-03-040425-1. [Google Scholar]
- Xing, H.Z.; Zhang, Q.B.; Braithwaite, C.H.; Pan, B.; Zhao, J. High-Speed Photography and Digital Optical Measurement Techniques for Geomaterials: Fundamentals and Applications. Rock Mech. Rock Eng. 2017, 50, 1611–1659. [Google Scholar] [CrossRef]
- Xing, H.; Wang, M.; Fan, P.; Wang, D. Grain-size effect on dynamic behavior of sandstone based on high-speed 3D-DIC technique. Explos. Shock Waves 2021, 41, 43–54. [Google Scholar]
- Liang, C.; Li, X.; Wang, S.; Li, S.; He, J.; Ma, C. Experimental investigations on rate-dependent stress-strain characteristics and energy mechanism of rock under uniaixal compression. Chin. J. Rock Mech. Eng. 2012, 31, 1830–1838. [Google Scholar]
- Pu, H.; Bian, Z.; Zhang, J.; Xu, J. Research on a reuse mode of geothermal resources in abandoned coal mines. J. China Coal Soc. 2021, 46, 677–687. [Google Scholar]
- Zhang, K.; Gao, J.; Jiang, B.; Han, J.; Chen, M. Experimental study on the mechanism of water-rock interaction in the coal mine underground reservoir. J. China Coal Soc. 2019, 44, 3760–3772. [Google Scholar]

















| Vs/(m/s) | Vp (m/s) | ρd/(g·cm−3) | ρsat/(g·cm−3) | Es/(GPa) | σs/(MPa) |
|---|---|---|---|---|---|
| 1247.2 | 2218.6 | 2.42 | 2.49 | 9.35 | 63.5 |
| Method | 0 d | 7 d | 14 d | 21 d |
|---|---|---|---|---|
| Ed (3D-DIC) | 12.49 GPa | 11.52 GPa | 10.58 GPa | 9.32 GPa |
| Es (Static) | 9.35 GPa | 9.03 GPa | 8.63 GPa | 8.04 GPa |
Publisher’s Note: MDPI stays neutral with regard to jurisdictional claims in published maps and institutional affiliations. |
© 2022 by the authors. Licensee MDPI, Basel, Switzerland. This article is an open access article distributed under the terms and conditions of the Creative Commons Attribution (CC BY) license (https://creativecommons.org/licenses/by/4.0/).
Share and Cite
Xu, J.; Pu, H.; Sha, Z. Full-Field Deformation and Crack Development Evolution of Red Sandstone under Impact and Chemical Erosion. Minerals 2022, 12, 1038. https://doi.org/10.3390/min12081038
Xu J, Pu H, Sha Z. Full-Field Deformation and Crack Development Evolution of Red Sandstone under Impact and Chemical Erosion. Minerals. 2022; 12(8):1038. https://doi.org/10.3390/min12081038
Chicago/Turabian StyleXu, Junce, Hai Pu, and Ziheng Sha. 2022. "Full-Field Deformation and Crack Development Evolution of Red Sandstone under Impact and Chemical Erosion" Minerals 12, no. 8: 1038. https://doi.org/10.3390/min12081038
APA StyleXu, J., Pu, H., & Sha, Z. (2022). Full-Field Deformation and Crack Development Evolution of Red Sandstone under Impact and Chemical Erosion. Minerals, 12(8), 1038. https://doi.org/10.3390/min12081038

