A Feasibility Study of CSEM in Geological Advance Forecast with Horizontal Casing Well
Abstract
:1. Introduction
2. Materials and Methods
3. Results
3.1. Numerical Verification
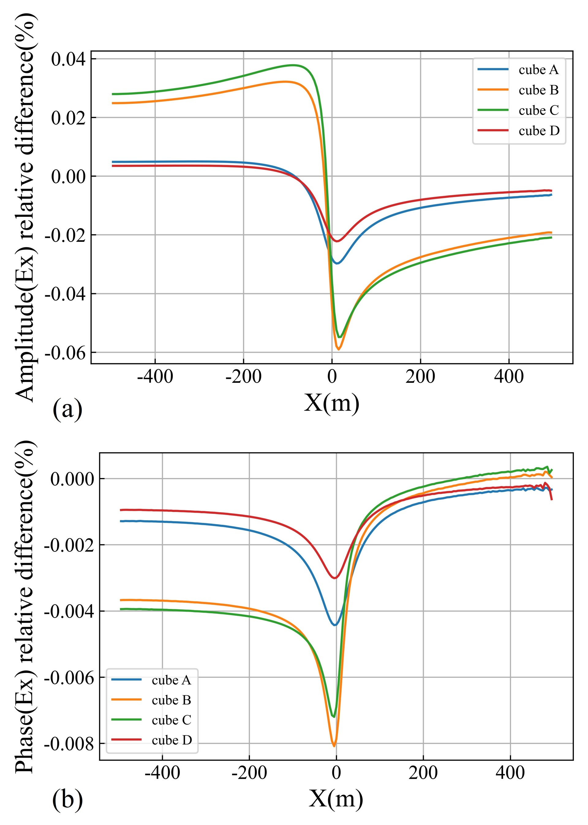
3.2. The x-Component of the Electric Field with a Parallelly Grounded HED
3.3. The x-Component of the Magnetic Field with a Perpendicularly HED
4. Conclusions
Author Contributions
Funding
Data Availability Statement
Acknowledgments
Conflicts of Interest
References
- Zhang, J.; Shen, B. Coal mining under aquifers in China: A case study. Int. J. Rock Mech. Min. Sci. 2004, 41, 629–639. [Google Scholar] [CrossRef]
- Yao, B.; Wei, J.; Wang, D.; Ma, D.; Chen, Z. Numerical study on seepage property of karst collapse columns under particle migration. Comput. Model. Eng. Sci. 2013, 91, 81–100. [Google Scholar] [CrossRef]
- Chen, W.Y.; Xue, G.Q.; Muhammad, Y.K.; Gelius, L.J.; Zhou, N.n.; Li, H.; Zhong, H.S. Application of Short-Offset TEM (SOTEM) Technique in Mapping Water-Enriched Zones of Coal Stratum, an Example from East China. Pure Appl. Geophys. 2015, 172, 1643–1651. [Google Scholar] [CrossRef]
- Xu, C.; Gong, P. Water Disaster Types and Water Control Measures of Hanxing Coal Mine Area. Procedia Earth Planet. Sci. 2011, 3, 343–348. [Google Scholar] [CrossRef] [Green Version]
- Chen, W.; Xue, G.; Olatayo, A.L.; Chen, K.; Younis Khan, M.; Chen, W.; Zhang, L.; Chen, W. A comparison of loop time-domain electromagnetic and short-offset transient electromagnetic methods for mapping water-enriched zones—A case history in Shaanxi, China. Geophysics 2017, 82, B201–B208. [Google Scholar] [CrossRef]
- Liu, Y.; Yin, C.; Qiu, C.; Hui, Z.; Zhang, B.; Ren, X.; Weng, A. 3-D inversion of transient EM data with topography using unstructured tetrahedral grids. Geophys. J. Int. 2019, 217, 301–318. [Google Scholar] [CrossRef]
- Newman, G.A. Deep transient electromagnetic soundings with a grounded source over near-surface conductors. Geophys. J. Int. 1989, 98, 587–601. [Google Scholar] [CrossRef] [Green Version]
- Caldwell, T.G.; Bibby, H.M. The instantaneous apparent resistivity tensor: A visualization scheme for LOTEM electric field measurements. Geophys. J. Int. 1998, 135, 817–834. [Google Scholar] [CrossRef]
- Xue, G.Q.; Chen, W.Y.; Zhou, N.N.; Li, H. Short-offset TEM technique with a grounded wire source for deep sounding. Chin. J. Geophys. 2013, 56, 255–261. [Google Scholar] [CrossRef]
- Fu, C.; Di, Q.; An, Z. Application of the CSAMT method to groundwater exploration in a metropolitan environment. Geophysics 2013, 78, B201–B209. [Google Scholar] [CrossRef]
- Jiang, Z.; Liu, L.; Liu, S.; Yue, J. Surface-to-Underground Transient Electromagnetic Detection of Water-Bearing Goaves. IEEE Trans. Geosci. Remote Sens. 2019, 57, 5303–5318. [Google Scholar] [CrossRef]
- Streich, R.; Becken, M. Sensitivity of controlled-source electromagnetic fields in planarly layered media: CSEM sensitivity in VTI-anisotropic media. Geophys. J. Int. 2011, 187, 705–728. [Google Scholar] [CrossRef] [Green Version]
- Streich, R. Controlled-Source Electromagnetic Approaches for Hydrocarbon Exploration and Monitoring on Land. Surv. Geophys. 2016, 37, 47–80. [Google Scholar] [CrossRef]
- Jiang, Z.; Liu, S.; Malekian, R. Analysis of a Whole-Space Transient Electromagnetic Field in 2.5-Dimensional FDTD Geoelectric Modeling. IEEE Access 2017, 5, 18707–18714. [Google Scholar] [CrossRef]
- Jiang, Z.H.; Yue, J.H.; Liu, S.C. Prediction Technology of Buried Water-Bearing Structures in Coal Mines Using Transient Electromagnetic Method. J. China Univ. Min. Technol. 2007, 17, 164–167. [Google Scholar] [CrossRef]
- Zhang, Z.; Xiao, J. Inversions of surface and borehole data from large-loop transient electromagnetic system over a 1-D earth. Geophysics 2001, 66, 1090–1096. [Google Scholar] [CrossRef]
- Heagy, L.J.; Oldenburg, D.W. Modeling electromagnetics on cylindrical meshes with applications to steel-cased wells. Comput. Geosci. 2019, 125, 115–130. [Google Scholar] [CrossRef] [Green Version]
- Swidinsky, A.; Weiss, C.J. On coincident loop transient electromagnetic induction logging. Geophysics 2017, 82, E211–E220. [Google Scholar] [CrossRef]
- Tietze, K.; Ritter, O.; Patzer, C.; Veeken, P.; Dillen, M. Repeatability of land-based controlled-source electromagnetic measurements in industrialized areas and including vertical electric fields. Geophys. J. Int. 2019, 218, 1552–1571. [Google Scholar] [CrossRef]
- Commer, M.; Hoversten, G.M.; Um, E.S. Transient-electromagnetic finite-difference time-domain earth modeling over steel infrastructure. Geophysics 2015, 80, E147–E162. [Google Scholar] [CrossRef]
- Patzer, C.; Tietze, K.; Ritter, O. Steel-cased wells in 3-D controlled source EM modelling. Geophys. J. Int. 2017, 209, 813–826. [Google Scholar] [CrossRef] [Green Version]
- Frischknecht, F.C. 6. Electromagnetic Physical Scale Modeling. In Electromagnetic Methods in Applied Geophysics: Volume 1, Theory; Investigations in Geophysics, Society of Exploration Geophysicists: Houston, TX, USA, 1988; pp. 364–441. [Google Scholar] [CrossRef]
- Kohnke, C.; Liu, L.; Streich, R.; Swidinsky, A. A method of moments approach to model the electromagnetic response of multiple steel casings in a layered earth. Geophysics 2018, 83, WB81–WB96. [Google Scholar] [CrossRef]
- Swidinsky, A.; Edwards, R.N.; Jegen, M. The marine controlled source electromagnetic response of a steel borehole casing: Applications for the NEPTUNE Canada gas hydrate observatory. Geophys. Prospect. 2013, 61, 842–856. [Google Scholar] [CrossRef]
- Yang, W.; Torres-Verdín, C.; Hou, J.; Zhang, Z.I. 1D subsurface electromagnetic fields excited by energized steel casing. Geophysics 2009, 74, E159–E180. [Google Scholar] [CrossRef]
- Schamper, C.; Rejiba, F.; Tabbagh, A.; Spitz, S. Theoretical analysis of long offset time-lapse frequency domain controlled source electromagnetic signals using the method of moments: Application to the monitoring of a land oil reservoir. J. Geophys. Res. Solid Earth 2011, 116. [Google Scholar] [CrossRef] [Green Version]
- Multiphysics, C. COMSOL Multiphysics User’s Guide; Version 5.6; Comsol AB: Stockholm, Sweden, 2021. [Google Scholar]
- Chen, H.; Niu, Q. Effects of material texture and packing density on the interfacial polarization of granular soils. Geophysics 2021, 86, MR285–MR297. [Google Scholar] [CrossRef]
- Orujov, G.; Anderson, E.; Streich, R.; Swidinsky, A. On the electromagnetic response of complex pipeline infrastructure. Geophysics 2020, 85, E241–E251. [Google Scholar] [CrossRef]
- Butler, S.L.; Zhang, Z. Forward modeling of geophysical electromagnetic methods using Comsol. Comput. Geosci. 2016, 87, 1–10. [Google Scholar] [CrossRef]
- Qi, Y.; El-Kaliouby, H.; Revil, A.; Soueid Ahmed, A.; Ghorbani, A.; Li, J. Three-dimensional modeling of frequency- and time-domain electromagnetic methods with induced polarization effects. Comput. Geosci. 2019, 124, 85–92. [Google Scholar] [CrossRef]
- Horton, R.; Easter, B.; Gopinath, A. Variation of microstrip losses with thickness of strip. Electron. Lett. 1971, 7, 490–491. [Google Scholar] [CrossRef]
- Sun, Q.; Zhang, R.; Zhan, Q.; Liu, Q.H. Multiscale Hydraulic Fracture Modeling With Discontinuous Galerkin Frequency-Domain Method and Impedance Transition Boundary Condition. IEEE Trans. Geosci. Remote Sens. 2017, 55, 6566–6573. [Google Scholar] [CrossRef]
- Van den Berghe, S.; Olyslager, F.; De Zutter, D. Accurate modeling of thin conducting layers in FDTD. IEEE Microw. Guid. Wave Lett. 1998, 8, 75–77. [Google Scholar] [CrossRef]
- Woyna, I.; Gjonaj, E.; Weiland, T. Broadband surface impedance boundary conditions for higher order time domain discontinuous Galerkin method. COMPEL: Int. J. Comput. Math. Electr. Electron. Eng. 2014, 33, 1082–1096. [Google Scholar] [CrossRef]
- Cai, H.; Hu, X.; Li, J.; Endo, M.; Xiong, B. Parallelized 3D CSEM modeling using edge-based finite element with total field formulation and unstructured mesh. Comput. Geosci. 2017, 99, 125–134. [Google Scholar] [CrossRef]
- Amestoy, P.R.; Duff, I.S.; L’Excellent, J.Y. Multifrontal parallel distributed symmetric and unsymmetric solvers. Comput. Methods Appl. Mech. Eng. 2000, 184, 501–520. [Google Scholar] [CrossRef] [Green Version]
- Liu, R.; Liu, J.; Wang, J.; Liu, Z.; Guo, R. A time-lapse CSEM monitoring study for hydraulic fracturing in shale gas reservoir. Mar. Pet. Geol. 2020, 120, 104545. [Google Scholar] [CrossRef]
- Wirianto, M.; Mulder, W.; Slob, E. A feasibility study of land CSEM reservoir monitoring in a complex 3-D model. Geophys. J. Int. 2010, 181, 741–755. [Google Scholar] [CrossRef] [Green Version]










Publisher’s Note: MDPI stays neutral with regard to jurisdictional claims in published maps and institutional affiliations. |
© 2022 by the authors. Licensee MDPI, Basel, Switzerland. This article is an open access article distributed under the terms and conditions of the Creative Commons Attribution (CC BY) license (https://creativecommons.org/licenses/by/4.0/).
Share and Cite
Li, J.; Liu, J.; Xue, J.; Guo, R.; Chen, H.; Liu, R. A Feasibility Study of CSEM in Geological Advance Forecast with Horizontal Casing Well. Minerals 2022, 12, 638. https://doi.org/10.3390/min12050638
Li J, Liu J, Xue J, Guo R, Chen H, Liu R. A Feasibility Study of CSEM in Geological Advance Forecast with Horizontal Casing Well. Minerals. 2022; 12(5):638. https://doi.org/10.3390/min12050638
Chicago/Turabian StyleLi, Jintai, Jianxin Liu, Jianqiang Xue, Rongwen Guo, Hang Chen, and Rong Liu. 2022. "A Feasibility Study of CSEM in Geological Advance Forecast with Horizontal Casing Well" Minerals 12, no. 5: 638. https://doi.org/10.3390/min12050638
APA StyleLi, J., Liu, J., Xue, J., Guo, R., Chen, H., & Liu, R. (2022). A Feasibility Study of CSEM in Geological Advance Forecast with Horizontal Casing Well. Minerals, 12(5), 638. https://doi.org/10.3390/min12050638

