Abstract
Scheelite associated with calcium-containing minerals such as calcite and fluorite is difficult to separate by flotation because of the Ca ions contained in the mineral lattices, which cause scheelite to have similar surface properties and floatability to gangue minerals. Traditional collectors such as oleic acid need to add a large amount of sodium silicate as gangue inhibitors, which causes difficulties for the settlement of tailings. In addition, the use of benzohydroxamic acid (BHA), which needs the addition of Pb(NO3)2 as the scheelite activator, can also cause environmental pollution. In this paper, Fe-BHA, a new collector containing the iron complex, was studied to investigate its flotation ability of scheelite, as well as its BHA/FeCl3 ratio on scheelite flotations. In the single mineral flotations, the Fe-BHA showed a significant difference in the flotation recoveries of scheelite and calcite, with a scheelite recovery of 77.03% at pH 8.0 and calcite recovery of 16.69% at the same pH. The results of the roughing tests of Xianglushan actual ore showed that the scheelite with Fe-BHA (500 g/t BHA and 200 g/t FeCl3) and 40 g/t oleic acid as collectors obtained satisfactory flotation results with a WO3 grade of 1.56% and WO3 recovery of 65.52%, which were much higher than those of scheelite with BHA or oleic acid as the collector, but there was still a gap with those of scheelite using Pb(NO3)2 as activation and BHA as the collector. The UV-Vis curves of the Fe-BHA with different BHA/FeCl3 ratios indicated that the Fe-BHA chelates might have several different structural forms, and the single mineral tests of the BHA/FeCl3 ratios showed that when the molar ratio of benzohydroxamic acid to FeCl3 was about 1.2:1, the best scheelite flotation result was obtained in this test. In addition, the XPS analyses proved that the adsorption of the Fe-BHA on the scheelite surface occurred, and by fitting the peaks of Ca 2p and O 1s of scheelite, it was found that the mechanism of the Fe-BHA acting on the Ca sites of the scheelite surface was through the removal of H2O from the Ca-OH of scheelite and Fe-OH from Fe-BHA to form Fe-O-H.
1. Introduction
Tungsten, a rare metal, is important for its strategic position and industrial applications [1,2]. Scheelite (CaWO4) and wolframite [(Mn, Fe)WO4] are two major tungsten-containing minerals which have important development value. As wolframite has the characteristic of easy processing, which has led to its depletion, the exploitation of scheelite has become important [3,4]. Usually, the flotation method is used to separate scheelite and gangue minerals. However, there is a kind of scheelite associated with calcium-containing minerals, such as calcite and fluorite, which is difficult to separate out by flotation, because the Ca ions contained in the mineral lattices cause scheelite to have similar surface properties and floatability to the gangue minerals [5,6,7].
Conventionally, the Petrov process is applied to separate scheelite from other calcium minerals, which requires steaming of bulk concentrate in 2–4% solutions of sodium silicate (Na2SiO3) at 80–90 °C using fatty acids as the collectors [3,8]. However, the energy consumption caused by the high temperature and the difficulty of tailing settlement caused by sodium silicate have led people to research new high-efficiency flotation reagents [9,10]. Many researchers have conducted a great deal of work, such as depressant development, mixed-collector use, and selective collector exploiting to separate scheelite from the calcium-containing minerals [11,12]. Among this work, the development of a highly efficient collector is challenging and meaningful as it could make the flotation process clean and convenient. Up to now, fatty acid, such as oleic acid, linoleic acid, palmitic acid, and sodium oleate, which are well known for their strong collection and poor selectivity, remain the most commonly used collectors of scheelite [3,8,13]. Some scholars have found the selectivity of cationic collectors to scheelite flotation may be better than traditional anionic collectors [8], and the cationic/anionic mixed collectors can achieve better results [14]. However, these collectors still reveal the disadvantages of poor selectivity and water solubility, which need to be further studied [15]. Benzo hydroxamic acid (BHA) is recognized to have good selectivity for tungsten minerals; however, Pb(NO3)2, which pollutes the environment, still needs to be added to improve the flotation [16,17]. Han et al. developed a new high-efficiency collector Pb-BHA, applied to scheelite flotation and achieved satisfactory flotation results [18,19]. Nevertheless, only a few types of ores were suitable for separation with this reagent, and more new and efficient agents need to be developed [20]. Tian et al. [21] used Fe3+ as the activator of cassiterite with BHA as the collector, and Chen et al. [22] applied Fe-BHA to ilmenite flotation and established the adsorption model of one of the configuration forms of Fe-BHA on the ilmenite surface. However, the application of the Fe-BHA in scheelite flotation was not mentioned, and the structural forms of the Fe-BHA chelates as well as their forms in pulp still need to be further studied.
In this article, a novel Fe-BHA was developed and applied to scheelite flotation by laboratory tests, and the flotations of single minerals and actual ores were carried out. Ultraviolet−visible spectroscopy (UV-Vis) analyses and X-ray photoelectron spectroscopy (XPS) were conducted to investigate the adsorption mechanism of the Fe-BHA chelates on scheelite. In addition, by the UV-Vis spectra, the possible and most effective forms of the Fe-BHA chelate were discussed in detail.
2. Materials and Methods
2.1. Minerals and Reagents
In this study, all the mineral samples used in the experiments were purchased ores. The scheelite and calcite samples were obtained from Jiangxi and Qinghai province in China, respectively. Single minerals with high purity were obtained by crushing and handing. After the ore samples were broken, the −106 + 45 µm particles were screened for single mineral flotation and stored in wide mouthed jars. The results of the X-ray diffraction (XRD) and the chemical analyses of the minerals samples are shown in Figure 1 and Table 1, respectively.

Figure 1.
The X-ray diffraction figures of scheelite (a) and calcite (b).
Table 1.
Results of the chemical analyses of the scheelite and calcite single mineral samples.
It can be seen from Figure 1 that the purities of the scheelite and calcite single minerals were quite high. In addition, from the chemical analysis results of Table 1, the purity of the scheelite sample was determined to be 95.40%, while that of the calcite sample was 99.60%.
Chemically pure FeCl3 and benzohydroxamic acid (BHA) were used to form the Fe-BHA chelates collector by mixing their aqueous solutions in a certain molar ratio. Chemically pure Pb(NO3)2 and oleic acid were also used in the tests for comparison. Solutions of HCl (0.1 mol/L) and NaOH (0.1 mol/L) were used as pH modifiers. Deionized water was used throughout all the single mineral flotation tests.
2.2. Flotation Tests
The single mineral flotation tests were carried out in a 30 mL cell of an XFGII laboratory flotation machine (Jilin Prospecting Machinery Plant, Changchun, China). The mineral suspension was made by adding 2 g mineral into 25 mL deionized water, with a 3 min agitation for mixing. The pH value was adjusted and recorded after this agitation. Then, the reagents were added in order, the suspension was agitated for another 3 min, and a 4 min flotation was carried out. The froth products and tailings were dried and weighed, used for grade testing and recovery calculations.
The roughing tests of the actual ore of scheelite were carried out in a 1.0 L cell of an XFGII laboratory flotation machine with 300 g samples for a 6 min flotation.
2.3. X-ray Diffraction (XRD) Analyses
X-ray diffraction analyses were carried out at a room temperature of 25 °C by the X’ pert HighScore Plus analyzer from PANalytical, Almelo, Netherlands. The scanning range was 5–9°, and the scanning speed was 10°/min. During the sample preparation, the ore samples were ground to less than 5 μm with agate mortar, and the mineral X-ray diffraction energy spectrum was obtained by testing after tablet pressing.
2.4. Ultraviolet–Visible Spectroscopy (UV-Vis) Analyses
A UV-Vis spectrophotometer (Evolution 201, Thermo Fisher Scientific, Waltham, America) was used to measure the spectra of the PE pellet extracted solutions, and the bundled software thermo INSIGHT 2 (Thermo Fisher Scientific, Waltham, MA, USA) was used for instrument control and spectral acquisition. The spectral absorption range was set as 200–800 nm with a sampling interval of 1.0 nm. Ethanol was used as a reference blank. The solution of FeCl3 and BHA was prepared in deionized water prior to testing. The concentration of the FeCl3 solution was fixed at 1 × 10−6 mol/L, and the mixture of FeCl3 and BHA solutions with different concentration ratios were carried out for UV-Vis analyses. The UV-Vis absorption curves of the Fe-BHA were compared with those of 1 × 10−6 mol/L FeCl3 and 1 × 10−6 mol/L benzohydroxamic acid.
2.5. X-ray Photoelectron Spectroscopy (XPS) Analyses
The XPS analyses were carried out with the America Thermo VG ESCALAB250XI spectrometer (Thermo Fisher Scientific, Waltham, America) using a monochromatic Al Kα source at the working voltage, current and excitation energy of 15 kV, 10 mA, and 1486.6 eV, respectively. The adjustment of the XPS analyzing results was based on the binding energy of the hydrocarbon C1s photoelectrons (284.6 eV). The scan area was 1 mm2 and the scan depth was 0.5–2 nm.
3. Results and Discussion
3.1. Results
3.1.1. The Single Mineral Flotation Tests
The flotation results of scheelite and calcite single mineral samples by NaOl, BHA, Pb(NO3)2+BHA, and Fe-BHA are shown in Figure 2. As calcite dissolves under acidic conditions, and the prepared BHA solution was weakly alkaline, the test results shown in this figure were all obtained at pH 7.0–12.0.
Figure 2.
The flotation results of scheelite and calcite single mineral samples by NaOl (80 mg/L), BHA (160 mg/L), Pb(NO3)2+BHA (Pb2+-—1 × 10−4 mol/L; BHA—160 mg/L), and Fe-BHA (Fe3+—1 × 10−4 mol/L; BHA—160 mg/L) as a function of pH values.
In the single mineral flotation tests in Figure 2, the best flotation recoveries of calcite were obtained when sodium oleate (NaOl) was used as the collector. In the range of pH 7.0–12.0, the flotation recoveries of calcite were more than 88.69%, and the maximum was 97.0% (pH 12.0). When NaOl was used as the collector in the range of pH 7.0–12.0, the recovery of scheelite increased with the increase in the pH value, and it reached a maximum value of 93.25% at pH 12.0. The ability of BHA to collect calcite and scheelite was found to be weaker than NaOl. When the pH value was less than 9.5, the collection effect of BHA on scheelite was better than that of calcite. When BHA was used as the collector, the recovery of scheelite reached a maximum value of 48.93% at pH 6.9, and then the recovery of scheelite decreased with the increase in the pH value. When BHA was used as the collector, Pb2+ had an obvious activation effect on scheelite flotation. In the range of pH 7.0–12.0, scheelite flotation recoveries were significantly higher than that of calcite. The maximum difference in flotation recoveries between scheelite and calcite was 44.44 % (pH 7.0). Fe-BHA had a good collecting ability for scheelite. In the range of pH 7.0–12.0, the flotation recoveries of scheelite were higher than that of calcite under the same conditions. The maximum difference between the two was 60.34 % (pH 8.0).
3.1.2. Roughing Tests of the Actual Ore of Scheelite
In order to verify the effectiveness of the Fe-BHA on scheelite flotations, the actual ore of scheelite was selected for roughing tests. The scheelite ore samples were taken from Xianglushan in Jiangxi, China, with the grade of WO3 at 0.73% and the grade of S at 2.90%. Since the content of sulfur-containing minerals in the ore was high, which may affect the subsequent flotation of scheelite, desulfurization flotation was carried out first. The flowsheet of the roughing test is shown in Figure 3.
Figure 3.
The flowsheet of the scheelite roughing test.
The results of the previous exploratory tests of the Xianglushan scheelite ore showed that the Fe-BHA had the best separation effect when the grinding fineness was 75% −0.074 mm, and the amount of Na2CO3 was 1000 g/t. Therefore, under such conditions, the flotation results of the Xianglushan scheelite ore were compared with those of different collectors, and a set of data with balanced metal content is given in Table 2, where the errors of yield are controlled to be less than 3% and the test errors of WO3 grade are less than 0.5%.
Table 2.
Results of the roughing tests of Xianglushan scheelite ore as a function of the collector species.
As seen from Table 2, the scheelite activated by Pb(NO3)2 with BHA as the collector obtained the best WO3 grade of 1.59% and the best WO3 recovery of 71.88%. The scheelite with the Fe-BHA (500 g/t BHA and 200 g/t FeCl3) and 40 g/t oleic acid as collectors obtained a WO3 grade of 1.56% and a WO3 recovery of 65.52%, which were much higher than those of the scheelite using BHA and oleic acid as collectors. When the Fe-BHA with oleic acid were used as the collectors, a good flotation result of scheelite was achieved, though there was still a gap with those of scheelite using Pb(NO3)2 as activation and BHA as the collector.
3.2. Discussion
3.2.1. Effect of the BHA/FeCl3 Ratio on the Scheelite Flotation
The results of the single mineral flotations of scheelite by Fe-BHA with different BHA/FeCl3 ratio are shown in Figure 4. Under different FeCl3 concentrations, scheelite flotation recoveries increased with the increase in the dosage of benzohydroxamic acid, but when the dosage of benzohydroxamic acid was greater than 160 mg/L, scheelite flotation recoveries increased slowly with the increase in the dosage of benzohydroxamic acid. When the dosage of benzohydroxamic acid was 160 mg/L and the FeCl3 concentration was 1 × 10−3 mol/L, the scheelite flotation recovery (82.00%) was better than those of other FeCl3 concentrations. At this time, the molar ratio of benzohydroxamic acid to FeCl3 was about 1.2:1.
Figure 4.
Recoveries of scheelite by the Fe-BHA with different BHA/FeCl3 ratios as a function of BHA concentration.
3.2.2. The Possible Forms of the Fe-BHA in Pulp
It was found that when the FeCl3 and BHA solution were mixed in a certain proportion, a new type of Fe-BHA purple solution was formed. The UV-Vis curves with different BHA/FeCl3 ratios are shown in Figure 5.
Figure 5.
The UV-Vis of the FeCl3, BHA, and the Fe-BHA chelates with different BHA/FeCl3 ratios.
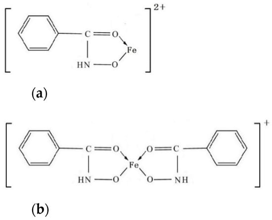
It can be seen from Figure 5 that between the wavelengths of 400 and 600 nm, new peaks, which were different from the characteristic peaks of FeCl3 or BHA, were identified as the characteristic peaks of the Fe-BHA [23,24]. Theoretically, the Fe-BHA chelates have the following three structural forms as shown in Figure 6.

Figure 6.
The main existence forms of the Fe-BHA chelates in solution. (a) BHA:Fe = 1:1; (b) BHA:Fe = 2:1; (c) BHA:Fe = 3:1.
Referring to the results of the flotation tests in Figure 2, the optimum pH value of the Fe-BHA in scheelite flotation was pH 8.0, while the Fe-BHA chelates in the flotation pulp at pH 8.0 mainly existed in the form of two hydroxyl complexes and one neutral molecule as shown in Figure 7.
Figure 7.
The main existence forms of the Fe-BHA chelates in slurry. (a) BHA:Fe = 1:1; (b) BHA:Fe = 2:1; (c) BHA:Fe = 3:1.
3.2.3. The Adsorption Mechanism of the Fe-BHA on Scheelite
To study the mechanism of the Fe-BHA chelates with respect to scheelite recovery, the XPS analyses were carried out on calcite before and after contact with the Fe-BHA chelates, and the results are shown in Table 3.
Table 3.
XPS analyses of scheelite and calcite before and after contact with Fe-BHA.
As seen in Table 3, the iron element and nitrogen element were detected in the scheelite sample contacted with the Fe-BHA chelates, which characterized the adsorption of the Fe-BHA chelates on the scheelite surface. At the same time, the nitrogen element was also detected in the calcite sample contacted with the Fe-BHA chelates, which may be attributed to the adsorption of BHA on the surface of calcite, or the adsorption of a quite small amount of the Fe-BHA chelates, such that the presence of the iron element could not be detected.
In Table 3, the relative content of the Ca element and O element on the scheelite surface decreased, accompanied by a relatively obvious decrease in the O binding energy from 531.27 eV to 530.09 eV. In order to further analyze the change in the surface properties of scheelite before and after contact with the Fe-BHA chelates, the narrow-range scanning spectrum of the Ca element and O element were fitted by sub-peaks. Figure 8 and Figure 9 show the fittings of the narrow-range scanning spectrum of the Ca element and O element of scheelite before and after contact with the Fe-BHA chelates, respectively.
Figure 8.
Ca 2p XPS spectra of scheelite (a) and scheelite conditioned with Fe-BHA (b).

Figure 9.
O 1s XPS spectra of scheelite (a) and scheelite conditioned with Fe-BHA (b).
As can be seen from Figure 8, the double peaks of Ca 2p of scheelite corresponded to the peaks at 346.72 eV and 350.25 eV in the figure, respectively. After the interaction with the Fe-BHA chelates, the position of the Ca 2p peak of scheelite moved from the binding energy of 346.72 eV and 350.25 eV to the binding energy of 346.56 eV and 350.10 eV, with a small displacement of 0.16 eV and 0.15 eV, which can be considered an analytical error. Figure 9a shows that the peak at the binding energy of 531.40 eV corresponded to the peak of the O element in Ca-OH formed by the combination of Ca2+ exposed on the scheelite surface and OH- in water [25]. The peaks at the binding energy of 530.90 eV and 530.30 eV for the O element belonged to W-O− [26] and O-Ca- [27] on the scheelite surface, respectively. In Figure 9b, after scheelite contacted with the Fe-BHA chelates, the intensity of the O 1s peak was enhanced as a whole, and the peaks of the O elements in Ca-OH, W-O-, and O-Ca- shifted. Among them, the O element in O-Ca- was least affected, because it resides in the mineral crystal, so the change in the binding energy of the O element in O-Ca- was also the smallest, from 530.30 eV to 529.80 eV, a decrease of 0.50 eV. The change in peak binding energy of the O element in W-O- was also small, from 530.90 eV to 530.20 eV, which was 0.70 eV lower. The binding energy of the O element in Ca-OH changed the most, from 531.40 eV to 530.20 eV, a decrease of 1.20 eV. A new peak appeared at the binding energy of 531.1 eV. Judging from the peak shape and peak position [28,29,30], it was most likely the spectral peak of the O element in Ca-O-Fe after the scheelite surface is adsorbed by the Fe-BHA chelates. The adsorption mechanism of the Fe-BHA chelates on scheelite surface is speculated to be that an H2O is removed from the Fe-OH of the Fe-BHA and Ca-OH from the scheelite to form Fe-O-Ca.
4. Conclusions
Fe-BHA has a considerable potential for scheelite flotation. Although the flotation separation ability of Fe-BHA for scheelite was slightly weaker than that of the BHA for scheelite activated by Pb(NO3)2, Fe-BHA proved to have a better separation effect than oleic acid or BHA in the scheelite flotation.
In the single mineral flotation tests, when using Fe-BHA as the collector, scheelite recovery of 77.03% was obtained at pH 8.0, which was closer to the maximum recovery (79.28% at pH 8.2) obtained by BHA adding Pb(NO3)2 as an activator. The results of the scheelite actual ore roughing tests show that when Fe-BHA (500 g/t BHA and 200 g/t FeCl3) with oleic acid (40 g/t) were used as collectors, a better scheelite flotation result (WO3 grade of 1.56% and WO3 recovery of 65.52%) than using oleic acid or BHA individually was achieved, although there was still a gap with that of scheelite (WO3 grade of 1.59% and WO3 recovery of 71.88%) using Pb(NO3)2 as the activator and BHA as the collector.
The UV-Vis curves of Fe-BHA with different BHA/FeCl3 ratios indicated that the Fe-BHA chelates may have several different structural forms, and the single mineral tests of BHA/FeCl3 ratios showed that when the molar ratio of benzohydroxamic acid to FeCl3 was about 1.2:1, the best scheelite flotation result was obtained in this test.
The XPS analyses proved that the adsorption of Fe-BHA on the scheelite surface occurred, and by fitting the peaks of Ca 2p and O 1s of scheelite, it was found that the mechanism of the Fe-BHA acted on the Ca sites of the scheelite surface through the removal of an H2O from the Ca-OH (of scheelite) and Fe-OH (of Fe-BHA) to form Fe-O-H.
Author Contributions
Conceptualization, C.S. and W.Y.; methodology, C.Z. and Y.Z. (Yangge Zhu); software, Y.Z. (Yimin Zhu) and Y.Z. (Yangge Zhu); investigation, C.Z. All authors have read and agreed to the published version of the manuscript.
Funding
This research was funded by the BGRIMM Technology Group Research Fund (BGRIMM-02-2111).
Data Availability Statement
Not applicable.
Conflicts of Interest
The authors declare no conflict of interest.
References
- Yao, W.; Li, M.; Zhang, M.; Cui, R.; Shi, J.; Ning, J. Effects of Pb2+ ions on the flotation behavior of scheelite, calcite, and fluorite in the presence of water glass. Colloids Surf. A Physicochem. Eng. Asp. 2021, 632, 127826. [Google Scholar] [CrossRef]
- Yan, W.; Liu, C.; Ai, G.; Feng, Q.; Zhang, W. Flotation separation of scheelite from calcite using mixed collectors. Int. J. Miner. Process. 2017, 169, 106–110. [Google Scholar] [CrossRef]
- Han, H.; Hu, Y.; Sun, W.; Li, X.; Cao, C.; Liu, R.; Yue, T.; Meng, X.; Guo, Y.; Wang, J.; et al. Fatty acid flotation versus BHA flotation of tungsten minerals and their performance in flotation practice. Int. J. Miner. Process. 2017, 159, 22–29. [Google Scholar] [CrossRef]
- Filippov, L.; Foucaud, Y.; Filippova, I.; Badawi, M. New reagent formulations for selective flotation of scheelite from a skarn ore with complex calcium minerals gangue. Miner. Eng. 2018, 123, 85–94. [Google Scholar] [CrossRef]
- Rai, B.; Sathish, P.; Tanwar, J.; Pradip; Moon, K.; Fuerstenau, D. A molecular dynamics study of the interaction of oleate and dodecylammonium chloride surfactants with complex aluminosilicate minerals. J. Colloid Interface Sci. 2011, 362, 510–516. [Google Scholar] [CrossRef]
- Feng, B.; Guo, W.; Peng, J.; Zhang, W. Separation of scheelite and calcite using calcium lignosulphonate as depressant. Sep. Purif. Technol. 2018, 199, 346–350. [Google Scholar] [CrossRef]
- Hu, Y.; Gao, Z.; Sun, W.; Liu, X. Anisotropic surface energies and adsorption behaviors of scheelite crystal. Colloids Surf. A Physicochem. Eng. Asp. 2012, 415, 439–448. [Google Scholar] [CrossRef]
- Yang, X. Beneficiation studies of tungsten ores—A review. Miner. Eng. 2018, 125, 111–119. [Google Scholar] [CrossRef]
- Meng, X.; Khoso, S.A.; Kang, J.; Wu, J.; Gao, J.; Lin, S.; Wu, M.; Sun, W.; Hu, Y. A novel scheme for flotation tailings pulp settlement and chemical oxygen demand reduction with polyferric sulfate. J. Clean. Prod. 2019, 241, 118371. [Google Scholar] [CrossRef]
- Kang, J.; Sun, W.; Hu, Y.; Gao, Z.; Liu, R.; Zhang, Q.; Liu, H.; Meng, X. The utilization of waste by-products for removing silicate from mineral processing wastewater via chemical precipitation. Water Res. 2017, 125, 318–324. [Google Scholar] [CrossRef]
- Ni, C.; Liu, C.; Fang, X.; Ren, Z.; Yang, L.; Shao, P.; Luo, X.; Zeng, G.; Duan, L.; Liu, T. A novel collector with wide pH adaptability and high selectivity towards flotation separation of scheelite from calcite. Miner. Eng. 2020, 158, 106606. [Google Scholar] [CrossRef]
- Chen, W.; Feng, Q.; Zhang, G.; Yang, Q. Investigations on flotation separation of scheelite from calcite by using a novel depressant: Sodium phytate. Miner. Eng. 2018, 126, 116–122. [Google Scholar] [CrossRef]
- Nathalie, K.; Martin, R. Froth flotation of scheelite-A review. Int. J. Min. Sci. Technol. 2018, 28, 373–384. [Google Scholar] [CrossRef]
- Dong, L.; Jiao, F.; Qin, W.; Zhu, H.; Jia, W. Effect of acidified water glass on the flotation separation of scheelite from calcite using mixed cationic/anionic collectors. Appl. Surf. Sci. 2018, 444, 747–756. [Google Scholar] [CrossRef]
- Liu, C.; Ni, C.; Yao, J.; Chang, Z.; Wang, Z.; Zeng, G.; Luo, X.; Yang, L.; Ren, Z.; Shao, P.; et al. Hydroxypropyl amine surfactant: A novel flotation collector for efficient separation of scheelite from calcite. Miner. Eng. 2021, 167, 106898. [Google Scholar] [CrossRef]
- Huang, H.; Qiu, T.; Ren, S.; Qiu, X. Research on flotation mechanism of wolframite activated by Pb(II) in neutral solution. Appl. Surf. Sci. 2020, 530, 147036. [Google Scholar] [CrossRef]
- Liu, C.; Zhang, W.; Song, S.; Li, H. Study on the activation mechanism of lead ions in wolframite flotation using benzyl hydroxamic acid as the collector. Miner. Eng. 2019, 141, 105859. [Google Scholar] [CrossRef]
- Wei, Z.; Sun, W.; Han, H.; Cao, J. Improving the flotation efficiency of Pb–BHA complexes using an electron-donating group. Chem. Eng. Sci. 2021, 234, 116461. [Google Scholar] [CrossRef]
- Fu, J.; Han, H.; Wei, Z.; Liu, R.; Li, W.; Xu, T.; Ji, D. Selective separation of scheelite from calcite using tartaric acid and Pb-BHA complexes. Colloids Surf. A Physicochem. Eng. Asp. 2021, 622, 126657. [Google Scholar] [CrossRef]
- Wang, J.; Gao, Z.; Han, H.; Sun, W.; Gao, Y.; Ren, S. Impact of NaOL as an accelerator on the selective separation of scheelite from fluorite using a novel self-assembled Pb-BHA-NaOL collector system. Appl. Surf. Sci. 2020, 537, 147778. [Google Scholar] [CrossRef]
- Tian, M.; Liu, R.; Gao, Z.; Chen, P.; Han, H.; Wang, L.; Zhang, C.; Sun, W.; Hu, Y. Activation mechanism of Fe (III) ions in cassiterite flotation with benzohydroxamic acid collector. Miner. Eng. 2018, 119, 31–37. [Google Scholar] [CrossRef]
- Chen, P.; Lu, X.; Chai, X.; Mulenga, H.; Gao, J.; Liu, H.; Meng, Q.; Sun, W.; Gao, Y. Influence of Fe–BHA complexes on the flotation behavior of ilmenite. Colloids Surf. A Physicochem. Eng. Asp. 2020, 612, 125964. [Google Scholar] [CrossRef]
- Miranda, C.T.; Carvalho, S.; Yamaki, R.T.; Paniago, E.B.; Borges, R.H.U.; de Bellis, V.M. pH-metric, UV-Vis and 51V NMR study of vanadium(V) coordination to α-aminohydroxamic acids in aqueous solutions. Polyhedron 2010, 29, 897–903. [Google Scholar] [CrossRef]
- Huang, K.; Huang, X.; Jia, Y.; Wang, S.; Cao, Z.; Zhong, H. A novel surfactant styryl phosphonate mono-iso-octyl ester with improved adsorption capacity and hydrophobicity for cassiterite flotation. Miner. Eng. 2019, 142, 105895. [Google Scholar] [CrossRef]
- Salvati, L.S., Jr.; Makovsky, L.E.; Stencel, J.M.; Brown, F.R.; Hercules, D.M. Surface spectroscopic study of tungsten-alumina catalysts using x-ray photoelectron, ion scattering, and Raman spectroscopies. J. Phys. Chem. 1981, 85, 3700–3707. [Google Scholar] [CrossRef]
- Yuan, L.; Yu, J.; Wang, S.; Huang, K.; Ren, X.; Sun, Y.; Wu, X.; Feng, S. UV–vis absorption shift of mixed valance state tungstate oxide: Ca0.72La0.28WO4. Mater. Lett. 2015, 143, 212–214. [Google Scholar] [CrossRef]
- Bai, S.; Zhang, K.; Wang, L.; Sun, J.; Luo, R.; Li, D.; Chen, A. Synthesis mechanism and gas-sensing application of nanosheet-assembled tungsten oxide microspheres. J. Mater. Chem. A 2014, 2, 7927–7934. [Google Scholar] [CrossRef]
- Vadahanambi, S.; Lee, S.-H.; Kim, W.-J.; Oh, I.-K. Arsenic Removal from Contaminated Water Using Three-Dimensional Graphene-Carbon Nanotube-Iron Oxide Nanostructures. Environ. Sci. Technol. 2013, 47, 10510–10517. [Google Scholar] [CrossRef]
- Wu, X.; Zhang, Y.; Dou, X.; Zhao, B.; Yang, M. Fluoride adsorption on an Fe–Al–Ce trimetal hydrous oxide: Characterization of adsorption sites and adsorbed fluorine complex species. Chem. Eng. J. 2013, 223, 364–370. [Google Scholar] [CrossRef]
- Kautkar, P.R.; Acharya, S.A.; Tumram, P.V.; Deshpande, U.P. XPS study of surface state of novel perovskite system Dy{sub 0.5}Sr{sub 0.5}Co{sub 0.8}Fe{sub 0.2}O{sub 3-δ} as cathode for solid oxide fuel cells. AIP Conf. Proc. 2016, 1728, 20068. [Google Scholar] [CrossRef]
Publisher’s Note: MDPI stays neutral with regard to jurisdictional claims in published maps and institutional affiliations. |
© 2022 by the authors. Licensee MDPI, Basel, Switzerland. This article is an open access article distributed under the terms and conditions of the Creative Commons Attribution (CC BY) license (https://creativecommons.org/licenses/by/4.0/).