Recovery of Rare Earth Element from Acid Mine Drainage Using Organo-Phosphorus Extractants and Ionic Liquids
Abstract
1. Introduction
- Strong magnetism,
- Fluorescent properties,
- Optical properties,
- Catalytic properties, and
- Glass polishing properties.
2. Materials and Methods
2.1. Material and Reagents
2.2. Ionic Liquids Synthesis
2.3. Preparation of AMD-Derived Pregnant Leach Solution
2.4. Extraction Procedure
2.5. Extraction Extent
3. Results
3.1. Extraction Extent
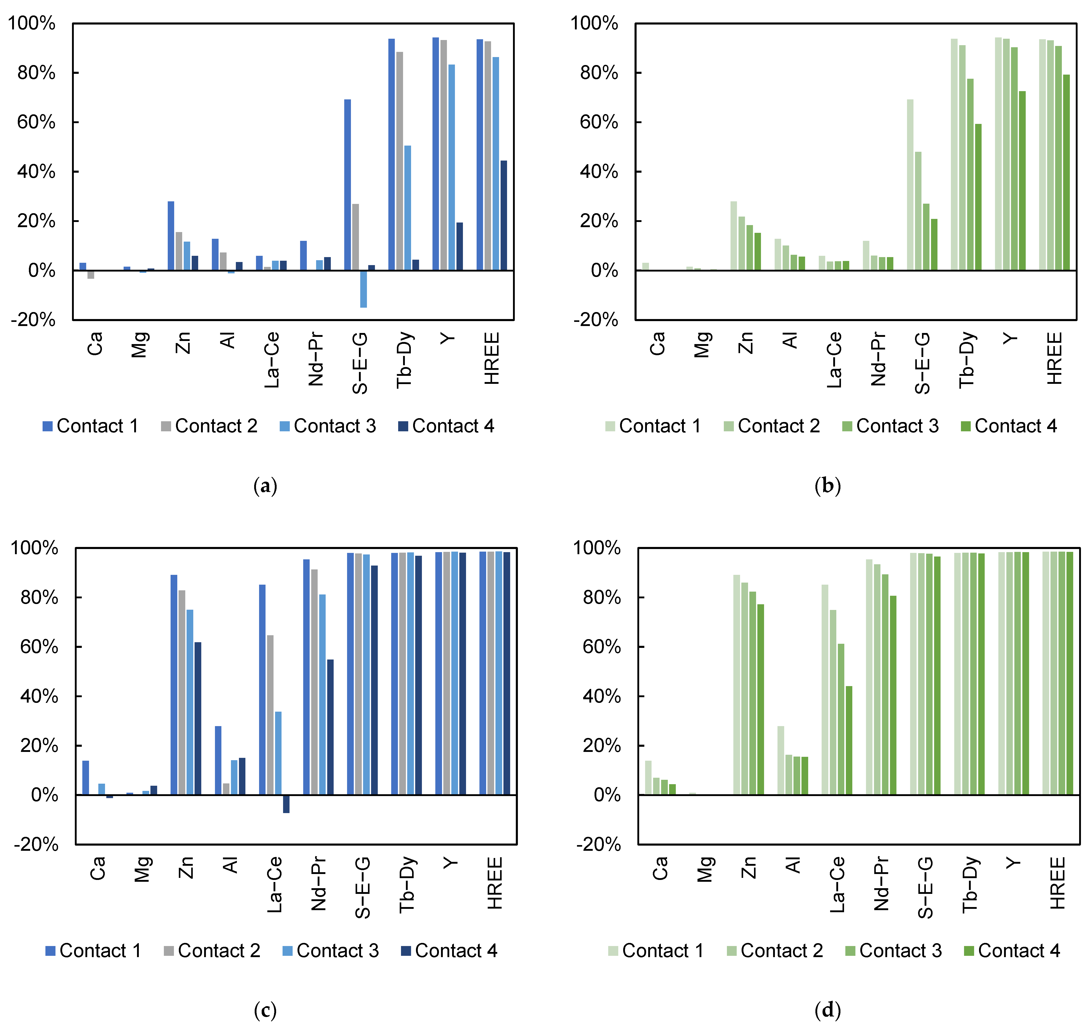
3.1.1. D2EHPA-TBP Extraction Data
3.1.2. EHEHPA Extraction Data
3.1.3. C572 Extraction Data
3.1.4. [c101][EHEHP] Extraction Data
3.1.5. [c101][D2EHP] Extraction Data
3.1.6. [c101][c572] Extraction Data
3.2. Distribution Ratio
3.3. Organic Loading
4. Discussion
5. Conclusions
Author Contributions
Funding
Disclaimer
Data Availability Statement
Conflicts of Interest
References
- U.S. Department of Energy. Critical Materials Strategy; U.S. Department of Energy: Washington, DC, USA, 2011.
- U.S. Department of Energy. Critical Minerals and Materials; U.S. Department of Energy: Washington, DC, USA, 2021. Available online: https://www.energy.gov/downloads/critical-minerals-and-materials (accessed on 2 May 2022).
- Blengini, G.A.; Mathieux, F.; Mancini, L.; Nyberg, M.; Viegas, H.M. Recovery of Critical and Other Raw Materials from Mining Waste and Landfills: State of Play on Existing Practices; Publications Office of the European Union: Luxembourg, 2019. [Google Scholar] [CrossRef]
- International Energy Agency (IEA). The Role of Critical Minerals in Clean Energy Transitions; International Energy Agency (IEA): Paris, France, 2021. [Google Scholar]
- Mudd, G.; Werner, T.; Weng, Z.-H.; Yellishetty, M.; Yuan, Y.; McAlpine, S.; Skirrow, R.; Czarnota, K. Critical Minerals in Australia: A Review of Opportunities and Research Needs; Geoscience Australia: Canberra, Australia, 2018. [Google Scholar] [CrossRef]
- Voncken, J.H.L. The Rare Earth Elements: An Introduction; Springer: Berlin/Heidelberg, Germany, 2016. [Google Scholar]
- Hu, Z.; Gao, S. Upper crustal abundances of trace elements: A revision and update. Chem. Geol. 2008, 253, 205–221. [Google Scholar] [CrossRef]
- Roskill. Rare Earths: Global Industry, Markets and Outlook to 2026; Roskill Information Services Ltd.: London, UK, 2016. [Google Scholar]
- Roskill. Rare Earths: Outlook to 2030; Roskill Information Services Ltd.: London, UK, 2021. [Google Scholar]
- Dold, B. Sourcing of critical elements and industrial minerals from mine waste—The final evolutionary step back to sustainability of humankind? J. Geochem. Explor. 2020, 219, 106638. [Google Scholar] [CrossRef]
- Peelman, S.; Sun, Z.H.I.; Sietsma, J.; Yang, Y. Hydrometallurgical Extraction of Rare Earth Elements from Low Grade Mine Tailings. Rare Met. Technol. 2016, 2016, 17–29. [Google Scholar] [CrossRef]
- Tunsu, C.; Menard, Y.; Eriksen, D.Ø.; Ekberg, C.; Petranikova, M. Recovery of critical materials from mine tailings: A comparative study of the solvent extraction of rare earths using acidic, solvating and mixed extractant systems. J. Clean. Prod. 2019, 218, 425–437. [Google Scholar] [CrossRef]
- Davris, P.; Balomenos, E.; Panias, D.; Paspaliaris, I. Leaching Rare Earth Elements from Bauxite Residue Using Brønsted Acidic Ionic Liquids; Elsevier Inc.: Amsterdam, The Netherlands, 2015. [Google Scholar]
- Bonomi, C.; Alexandri, A.; Vind, J.; Panagiotopoulou, A.; Tsakiridis, P.; Panias, D. Scandium and titanium recovery from bauxite residue by direct leaching with a Brønsted acidic ionic liquid. Metals 2018, 8, 834. [Google Scholar] [CrossRef]
- Zhang, X.; Zhou, K.; Wu, Y.; Lei, Q.; Peng, C.; Chen, W. Separation and recovery of iron and scandium from acid leaching solution of red mud using D201 resin. J. Rare Earths 2020. [Google Scholar] [CrossRef]
- Deshmane, V.G.; Islam, S.Z.; Bhave, R.R. Selective Recovery of Rare Earth Elements from a Wide Range of E-Waste and Process Scalability of Membrane Solvent Extraction. Environ. Sci. Technol. 2019, 54, 550–558. [Google Scholar] [CrossRef]
- Li, F.; Wang, Y.; Su, X.; Sun, X. Towards zero-consumption of acid and alkali recycling rare earths from scraps: A precipitation-stripping-saponification extraction strategy using CYANEX®572. J. Clean. Prod. 2019, 228, 692–702. [Google Scholar] [CrossRef]
- Wei, X.; Zhang, S.; Shimko, J.; Dengler, R.W. Mine drainage: Treatment technologies and rare earth elements. Water Environ. Res. 2019, 91, 1061–1068. [Google Scholar] [CrossRef]
- Grawunder, A.; Gärtner, S.; Merten, D. Adaptation of a Rare Earth Element Pre-concentration Method for Water Enriched in Al, Ca, Fe, and Mg. Mine Water Environ. 2017, 36, 363–370. [Google Scholar] [CrossRef]
- Zhang, W.; Noble, A.; Yang, X.; Honaker, R. A comprehensive review of rare earth elements recovery from coal-related materials. Minerals 2020, 10, 451. [Google Scholar] [CrossRef]
- Vass, C.R.; Noble, A.; Ziemkiewicz, P.F. The Occurrence and Concentration of Rare Earth Elements in Acid Mine Drainage and Treatment Byproducts. Part 2: Regional Survey of Northern and Central Appalachian Coal Basins. Mining Metall. Explor. 2019, 36, 917–929. [Google Scholar] [CrossRef]
- Vass, C.R.; Noble, A.; Ziemkiewicz, P.F. The occurrence and concentration of rare earth elements in acid mine drainage and treatment byproducts: Part 1—Initial survey of the northern Appalachian Coal Basin. Min. Eng. 2019, 71, 49–50. [Google Scholar] [CrossRef]
- Skousen, J.G. Acid mine drainage. Green Lands 1995, 25, 52–55. [Google Scholar]
- Ziemkiewicz, P.; Noble, A.; Vass, C. Systems and Processes for Recovery of High—Grade Rare Earth Concentrate from Acid Mine Drainage. U.S. Patent US 2021/0207241 A1, 8 July 2021. [Google Scholar]
- Larochelle, T.; Noble, A.; Ziemkiewicz, P.; Hoffman, D.; Constant, J. A fundamental economic assessment of recovering rare earth elements and critical minerals from acid mine drainage using a network sourcing strategy. Minerals 2021, 11, 1298. [Google Scholar] [CrossRef]
- Ziemkiewicz, P.F. Recovery of Rare Earth Elements (REEs) from Coal Mine Drainage Phase 2. Morgentown 2020. [Google Scholar] [CrossRef]
- Krishnamurthy, N.; Gupta, C.K. Extractive Metallurgy of Rare Earths, 2nd ed; CRC Press: Boca Raton, FL, USA, 2015. [Google Scholar]
- Su, W.; Chen, J.; Jing, Y. Aqueous Partition Mechanism of Organophosphorus Extractants in Rare Earths Extraction. Ind. Eng. Chem. Res. 2016, 55, 8424–8431. [Google Scholar] [CrossRef]
- Kumari, A.; Sinha, M.K.; Sahu, S.K.; Pandey, B.D. Solvent Extraction and Separation of Trivalent Lanthanides Using Cyphos IL 104, a Novel Phosphonium Ionic Liquid as Extractant. Solvent Extr. Ion Exch. 2016, 34, 469–484. [Google Scholar] [CrossRef]
- Mishra, B.B.; Devi, N. Solvent extraction and separation of europium (III) using a phosphonium ionic liquid and an organophosphorus extractant-A comparative study. J. Mol. Liq. 2018, 271, 389–396. [Google Scholar] [CrossRef]
- Ma, L.; Zhao, Z.; Dong, Y.; Sun, X. A synergistic extraction strategy by [N1888][SOPAA] and Cyphos IL 104 for heavy rare earth elements separation. Sep. Purif. Technol. 2017, 174, 474–481. [Google Scholar] [CrossRef]
- Devi, N.; Sukla, L.B. Studies on Liquid-Liquid Extraction of Yttrium and Separation from Other Rare Earth Elements Using Bifunctional Ionic Liquids. Miner. Process. Extr. Metall. Rev. 2019, 40, 46–55. [Google Scholar] [CrossRef]
- Sun, X.; Luo, H.; Dai, S. Solvent extraction of rare-earth ions based on functionalized ionic liquids. Talanta 2012, 90, 132–137. [Google Scholar] [CrossRef] [PubMed]
- Zhao, Z.; Baba, Y.; Kubota, F.; Kamiya, N.; Goto, M. Synergistic extraction of rare-earth metals and separation of scandium using 2-thenoyltrifluoroacetone and tri-n-octylphosphine oxide in an ionic liquid system. J. Chem. Eng. Japan 2014, 47, 656–662. [Google Scholar] [CrossRef]
- Fortuny, A.; Coll, M.T.; Sastre, A.M. Use of methyltrioctyl/decylammonium bis 2,4,4-(trimethylpentyl)phosphinate ionic liquid (ALiCY IL) on the boron extraction in chloride media. Sep. Purif. Technol. 2012, 97, 137–141. [Google Scholar] [CrossRef]
- Rane, M.V.; Sadanandam, R.; Bhattacharya, K.; Tangri, S.K.; Suri, A.K. Use of mixed-metals isotherm and log-log McCabe Thiele’s diagram in solvent extraction-A case study. Hydrometallurgy 2006, 81, 1–8. [Google Scholar] [CrossRef]
- Quinn, J.E.; Soldenhoff, K.H.; Stevens, G.W.; Lengkeek, N.A. Solvent extraction of rare earth elements using phosphonic/phosphinic acid mixtures. Hydrometallurgy 2015, 157, 298–305. [Google Scholar] [CrossRef]
- Banda, R.; Jeon, H.; Lee, M. Solvent extraction separation of Pr and Nd from chloride solution containing la using Cyanex 272 and its mixture with other extractants. Sep. Purif. Technol. 2012, 98, 481–487. [Google Scholar] [CrossRef]
- Cheremisina, O.; Sergeev, V.; Fedorov, A.; Alferova, D. Concentration and separation of heavy rare-earth metals at stripping stage. Metals 2019, 9, 1317. [Google Scholar] [CrossRef]
- Cytec. Cyanex 572 Solvent Extraction Reagent Product Data Sheet. J. Radioanal. Nucl. Chem. 2014, 295, 125–133. [Google Scholar]











| Element | Concentration (mg/L) |
|---|---|
| Fe | <1.0 |
| Ca | 76.2 |
| Mg | 458.4 |
| Al | 41.2 |
| Zn | 260.0 |
| Th | <0.1 |
| U | 0.2 |
| Sc | 0.02 |
| Y | 39.9 |
| La | 8.7 |
| Ce | 22.3 |
| Pr | 4.5 |
| Nd | 22.2 |
| Sm | 6.4 |
| Eu | 1.6 |
| Gd | 9.7 |
| Tb | 1.4 |
| Dy | 7.7 |
| Ho | 1.4 |
| Er | 3.5 |
| Tm | 0.4 |
| Yb | 2.0 |
| Lu | 0.3 |
| Element Pair | 0.1 mol/L EHEHPA | 0.1 mol/L [c101][EHEHP] | 0.1 mol/L D2EHPA | 0.1 mol/L [c101][c572] |
|---|---|---|---|---|
| Al/Pr | 1.38 | 4.26 | 2.24 | 1.81 |
| Zn/Pr | 3.89 | 3.67 | 0.55 | 1.81 |
| Ce/La | 2.04 | 1.10 | 1.28 | |
| Pr/Ce | 0.91 | 0.81 | 1.90 | 0.93 |
| Nd/Pr | 1.43 | 1.47 | 1.38 | 1.31 |
| Sm/Nd | 2.25 | 0.80 | 2.63 | 1.14 |
| Eu/Sm | 1.49 | 1.03 | 1.18 | 1.00 |
| Gd/Eu | 1.32 | 1.44 | 1.07 | 1.27 |
| Tb/Gd | 1.89 | 2.29 | 1.31 | 2.27 |
| Dy/Tb | 1.29 | 2.01 | 1.17 | 1.94 |
| Ho/Dy | 1.19 | 1.92 | 1.11 | 1.70 |
| Y/Ho | 1.17 | 1.70 | 1.15 | 1.50 |
| Element | TREE | Ca | Al | Zn | Total |
|---|---|---|---|---|---|
| D2EHPA | 4.64 | 0.21 | 1.06 | 5.31 | 9.99 |
| EHEHPA | 3.23 | 0.17 | 0.63 | 6.51 | 10.54 |
| C572 | 3.54 | 0 | 0.33 | 7.70 | 11.24 |
| [c101][D2EHP] | 2.11 | 0 | 0.91 | 1.03 | 3.14 |
| [c101][EHEHP] | 2.93 | 0 | 1.07 | 7.06 | 10.00 |
| [c101][c572] | 4.22 | 0.04 | 1.05 | 8.47 | 12.69 |
Publisher’s Note: MDPI stays neutral with regard to jurisdictional claims in published maps and institutional affiliations. |
© 2022 by the authors. Licensee MDPI, Basel, Switzerland. This article is an open access article distributed under the terms and conditions of the Creative Commons Attribution (CC BY) license (https://creativecommons.org/licenses/by/4.0/).
Share and Cite
Larochelle, T.; Noble, A.; Strickland, K.; Ahn, A.; Ziemkiewicz, P.; Constant, J.; Hoffman, D.; Glascock, C. Recovery of Rare Earth Element from Acid Mine Drainage Using Organo-Phosphorus Extractants and Ionic Liquids. Minerals 2022, 12, 1337. https://doi.org/10.3390/min12111337
Larochelle T, Noble A, Strickland K, Ahn A, Ziemkiewicz P, Constant J, Hoffman D, Glascock C. Recovery of Rare Earth Element from Acid Mine Drainage Using Organo-Phosphorus Extractants and Ionic Liquids. Minerals. 2022; 12(11):1337. https://doi.org/10.3390/min12111337
Chicago/Turabian StyleLarochelle, Tommee, Aaron Noble, Kris Strickland, Allie Ahn, Paul Ziemkiewicz, James Constant, David Hoffman, and Caitlin Glascock. 2022. "Recovery of Rare Earth Element from Acid Mine Drainage Using Organo-Phosphorus Extractants and Ionic Liquids" Minerals 12, no. 11: 1337. https://doi.org/10.3390/min12111337
APA StyleLarochelle, T., Noble, A., Strickland, K., Ahn, A., Ziemkiewicz, P., Constant, J., Hoffman, D., & Glascock, C. (2022). Recovery of Rare Earth Element from Acid Mine Drainage Using Organo-Phosphorus Extractants and Ionic Liquids. Minerals, 12(11), 1337. https://doi.org/10.3390/min12111337
