Petrographic, Rare Earth Elemental and Isotopic Constraints on the Dolomite Origin: A Case Study from the Middle-Upper Cambrian Xixiangchi Formation in Eastern Sichuan Basin, Southwest China
Abstract
:1. Introduction
2. Geological Setting
3. Samples and Methods
4. Results
4.1. Petrography
4.1.1. Very Fine to Fine Dolomite (D1)
4.1.2. Fine to Medium Crystalline Dolomite (D2)
4.1.3. Medium to Coarsely Crystalline Dolomite (D3)
4.1.4. Saddle Dolomite (SD)
4.2. Carbon and Oxygen Isotopes
4.3. Strontium Isotope
4.4. Rare Earth Elements (REEs)
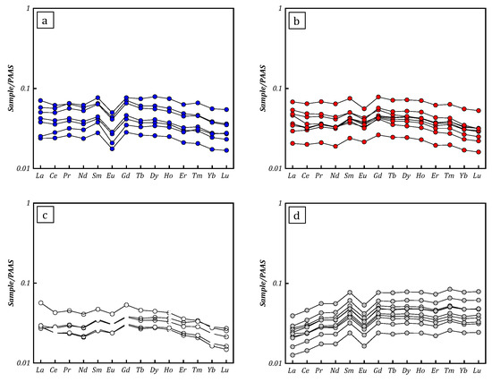
4.4.1. REEs in Dolomite D1
4.4.2. REEs in Dolomite D2
4.4.3. REEs in Dolomite D3
4.4.4. REEs in Dolomite SD
5. Discussion
5.1. Diagenetic Sequence
5.2. Assessing Sample Validity
5.3. Ce Anomaly
5.4. Eu Anomaly
5.5. Origins of Dolomitizing Fluids
5.6. Petrogenesis of Dolomites
5.6.1. Petrogenesis of D1 Dolomite
5.6.2. Petrogenesis of D2 Dolomite
5.6.3. Petrogenesis of D3 Dolomite
5.6.4. Petrogenesis of SD Dolomite
5.6.5. Implications for Hydrocarbon Exploration
6. Conclusions
- (1)
- D1 dolomite is composed by planar-s to planar-e crystals (< 30 μm), showing non to very weak luminescence. It is characterized by weakly negative Ce anomalies (Ce/Ce* = 0.84 ± 0.02), strongly negative Eu anomalies (Eu/Eu* = 0.65 ± 0.03), which is interpreted to be formed by penecontemporaneous dolomitization in the near-surface environment with seawater as the dolomitizing fluid. This agrees with its higher 87Sr/86Sr ratios (0.71062 ± 0.00122) with possible contamination from silicate minerals. This is supported by its δ13C (−1.5‰ ± 0.2‰) and δ18O (−9.7‰ ± 0.5‰) compositions, which are almost bracketed by range of the Middle- Upper Cambrian marine carbonates, even though the influx of fresh water may lead to its slightly negative shift of δ18O values as compared;
- (2)
- D2 dolomite, featured by planar-s crystals (30–100 μm) with dirty surfaces, exhibits mottled dull-red luminescence. D2 dolomite has similar Ce anomalies (Ce/Ce* = 0.87 ± 0.04) and higher Eu anomalies (Eu/Eu* = 0.85 ± 0.04) compared with D1, thus suggesting a relatively higher diagenetic temperature at burial. The lower 87Sr/86Sr ratios (0.70992 ± 0.00035) than D1 imply a decreased influence from terrigenous components with a deeper burial regime. Consequently, D2 is thought to be formed by the post-penecontemporaneous seepage-reflux dolomitization or be formed by recrystallization of D1 dolomite in a near-surface or a shallow burial environment. The dolomitizing fluids mainly come from seawater, which is confirmed by the δ18O excursion (−8.9‰ ± 0.7‰) within the range of the Middle-Upper Cambrian marine carbonates;
- (3)
- D3 dolomite is dominated by nonplanar to planar-s crystals (100–300 μm) with some cloudy core with clear rims, displaying relatively brighter mottled dull-red luminescence than D2. In contrast to D1 and D2 dolomites, the D3 dolomite has more negative δ18O compositions (−10.4‰ ± 0.4‰), similar Ce anomalies (Ce/Ce* = 0.88 ± 0.02) and slightly higher Eu anomalies (Eu/Eu* = 0.88 ± 0.02), implying a relatively higher diagenetic temperature at burial, which conforms to the lower 87Sr/86Sr ratios (0.70989 ± 0.00048). Consequently, D3 dolomite is regarded to be formed by the overgrowth or recrystallization of D1 and D2 dolomites in a shallow to moderate burial environment;
- (4)
- SD dolomite, occurred as fracture filling (0.3–4 mm) cements, exhibits undulatory extinctions and brighter red luminescence. Both of the negative δ13C values (−2.1‰ ± 0.1‰) and δ18O values (−11.1‰ ± 0.3‰) than the Middle- Upper Cambrian marine carbonates suggest diagenetic products. The lower negative Eu anomalies (Eu/Eu* = 0.70 ± 0.01), SD dolomite is interpreted to be formed by hydrothermal dolomitization with possible diagenetic fluids associated with the magma during the period of Emei taphrogenic movement. Moreover, the similar 87Sr/86Sr ratios (0.70941 ± 0.00003) as to those of coeval seawater and left-leaning REE partition patterns suggest a mixed origin of seawater as the dolomitizing fluid;
- (5)
- Variation of dolomitizing histories affects the possibility of different types of dolomite as potential reservoirs. Among the three types of the Xixiangchi matrix dolomites, the development of intercrystalline pores associated with D2 dolomite makes it more likely to be a potential reservoir.
Supplementary Materials
Author Contributions
Funding
Data Availability Statement
Acknowledgments
Conflicts of Interest
References
- Zenger, D.H.; Dunham, J.B.; Ethington, R.L. Concepts and models of dolomitization. Soc. Econ. Paleontol. Miner. Spec. Publ. 1980, 28, 1–298. [Google Scholar]
- Bai, G.P. Distribution patterns of giant carbonate fields in the world. J. Palaeogr. 2006, 8, 241–250, (In Chinese with English Abstract). [Google Scholar]
- Warren, J. Dolomite: Occurrence, evolution and economically important associations. Earth-Sci. Rev. 2000, 51, 1–81. [Google Scholar] [CrossRef]
- Machel, H. Investigations of burial diagenesis in carbonate hydrocarbon reservoir rocks. Geosci. Can. 2005, 32, 103–128. [Google Scholar]
- López-Horgue, M.A.; Iriarte, E.; Schröder, S.; Fernández-Mendiola, P.A.; Caline, B.; Corneyllie, H.; Frémont, J.; Sudrie, M.; Zerti, S. Structurally controlled hydrothermal dolomites in Albian carbonates of the Asón valley, Basque Cantabrian Basin, Northern Spain. Mar. Pet. Geol. 2010, 27, 1069–1092. [Google Scholar] [CrossRef]
- Hu, Y.J.; Cai, C.F.; Liu, D.W.; Pederson, C.L.; Jiang, L.; Shen, A.J.; Immenhauser, A. Formation, diagenesis and palaeoenvironmental significance of upper Ediacaran fibrous dolomite cements. Sedimentology 2019, 67, 1161–1187. [Google Scholar] [CrossRef]
- Badiozamani, K. The dorag dolomitization model, application to the middle Ordovician of Wisconsin. J. Sediment. Res. 1973, 43, 965–984. [Google Scholar]
- Melim, L.A.; Scholle, P.A. Dolomitization of the Capitan Formation forereef facies (Permian, west Texas and New Mexico): Seepage reflux revisited. Sedimentology 2002, 49, 1207–1227. [Google Scholar] [CrossRef]
- Davies, G.R.; Smith, L.B. Structurally controlled hydrothermal dolomite reservoir facies: An overview. AAPG Bull. 2006, 90, 1641–1690. [Google Scholar] [CrossRef]
- Vahrenkamp, V.C.; Swart, P.K. New distribution coefficient for the incorporation of strontium into dolomite and its implications for the formation of ancient dolomites. Geology 1990, 18, 387–391. [Google Scholar] [CrossRef]
- Kaufman, J.; Hanson, G.N.; Meyers, W.J. Dolomitization of the devonian swan hills formation, Rosevear field, Alberta, Canada. Sedimentology 1991, 38, 41–66. [Google Scholar] [CrossRef]
- Ronchi, P.; Jadoul, F.; Ceriani, A.; Di Giulio, A.; Scotti, P.; Ortenzi, A.; Previde Massara, E. Multistage dolomitization and distribution of dolomitized bodies in Early Jurassic carbonate platforms (Southern Alps, Italy). Sedimentology 2011, 58, 532–565. [Google Scholar] [CrossRef]
- Eren, M.; Kaplan, M.Y.; Kadir, S. Petrography, geochemistry and origin of Lower Liassic dolomites in the Aydıncık area, Mersin, southern Turkey. Turk. J. Earth Sci. 2007, 16, 339–362. [Google Scholar]
- Liu, C.; Xie, Q.B.; Wang, G.W.; He, W.G.; Song, Y.F.; Tang, Y.; Wang, Y.H. Rare earth element characteristics of the carboniferous Huanglong Formation dolomites in eastern Sichuan Basin, southwest China: Implications for origins of dolomitizing and diagenetic fluids. Mar. Pet. Geol. 2017, 81, 33–49. [Google Scholar] [CrossRef]
- Banner, J.L.; Hanson, G.N.; Meyers, W.J. Rare earth element and Nd isotopic variations in regionally extensive dolomites from the Burlington-Keokuk Formation (Mississippian); implications for REE mobility during carbonate diagenesis. J. Sediment. Res. 1988, 58, 415–432. [Google Scholar]
- Yang, X.Y.; Mei, Q.Y.; Wang, X.Z.; Dong, Z.X.; Li, Y.; Huo, F. Indication of rare earth element characteristics to dolomite petrogenesis—A case study of the fifth member of Ordovician Majiagou Formation in the Ordos Basin, central China. Mar. Pet. Geol. 2018, 92, 1028–1040. [Google Scholar] [CrossRef]
- Xiang, P.F.; Ji, H.C.; Shi, Y.Q.; Huang, Y.; Sun, Y.S.; Xu, X.R.; Zou, S.Q. Petrographic, rare earth elements and isotope constraints on the dolomite origin of Ordovician Majiagou Formation (Jizhong Depression, North China). Mar. Pet. Geol. 2020, 117, 104374. [Google Scholar] [CrossRef]
- Zhao, Y.Y.; Wei, W.; Li, S.Z.; Yang, T.; Zhang, R.X.; Somerville, I.; Santosh, M.; Wei, H.T.; Wu, J.Q.; Yang, J.; et al. Rare earth element geochemistry of carbonates as a proxy for deep-time environmental reconstruction. Paleogeogr. Paleoclimatol. Paleoecol. 2021, 574, 110443. [Google Scholar] [CrossRef]
- Webb, G.E.; Kamber, B.S. Rare earth elements in Holocene reefal microbialites: A new shallow seawater proxy. Geochim. Cosmochim. Acta 2000, 64, 1557–1565. [Google Scholar] [CrossRef]
- Nothdurft, L.D.; Webb, G.E.; Kamber, B.S. Rare earth element geochemistry of Late Devonian reefal carbonates, Canning Basin, Western Australia: Confirmation of a seawater REE proxy in ancient limestones. Geochim. Cosmochim. Acta 2004, 68, 263–283. [Google Scholar] [CrossRef]
- Banner, J.L.; Hanson, G.N. Calculation of simultaneous isotopic and trace element variations during water-rock interaction with applications to carbonate diagenesis. Geochim. Cosmochim. Acta 1990, 54, 3123–3137. [Google Scholar] [CrossRef]
- Hou, M.C.; Jiang, W.J.; Xing, F.C.; Xu, S.L.; Liu, X.C.; Xiao, C. Origin of dolomites in the Cambrian (upper 3rd-Furongian) formation, south-eastern Sichuan Basin, China. Geofluids 2016, 16, 856–876. [Google Scholar] [CrossRef]
- Jiang, W.J.; Hou, M.C.; Wang, C. Strontium isotopic compositions of Cambrian (Upper Miaolingian–Furongian Series) dolomites from south-eastern Sichuan Basin, China: Significance of sources of dolomitizing fluids and timing of dolomitization. Mar. Pet. Geol. 2019, 109, 408–418. [Google Scholar] [CrossRef]
- Yang, X.F.; Huang, Z.S.; Wang, X.Z.; Wang, Y.P.; Li, K.; Zeng, D.M. Origin of crystal dolomite and its reservoir formation mechanism in the Xixiangchi Formation, Upper Cambrian in Southeastern Sichuan basin. Carbonates Evaporites 2019, 34, 1537–1549. [Google Scholar] [CrossRef]
- Lei, H.J.; Li, G.R.; Gao, Y.W.; Zhou, J.L.; Feng, Y.Y.; Fu, H.; Li, H. Geochemical Characteristics and Generation Mechanism of Cambrian Dolomite in the South of Sichuan Basin. Mar. Orig. Pet. Geol. 2016, 21, 39–47, (In Chinese with English Abstract). [Google Scholar]
- Peng, B.; Li, G.R.; Li, Z.X.; Liu, C.L.; Zuo, Y.H.; Zhang, W.; Yuan, L.; Zhao, S.; Yao, C. Discussion of multiple formation mechanisms of saddle dolomites-Comparison of geochemical data of Proterozoic–Paleozoic dolomites. Energy Explor. Exploit 2018, 36, 66–96. [Google Scholar] [CrossRef]
- Yang, G.; Zhu, H.; Huang, D.; Li, G.H.; Yuan, B.G.; Ying, D.L. Characteristics and exploration potential of the super gas-rich Sichuan Basin. Nat. Gas Explor. Dev. 2020, 43, 1–7, (In Chinese with English Abstract). [Google Scholar]
- Liu, S.G.; Yang, Y.; Deng, B.; Zhong, Y.; Wen, L.; Sun, W.; Li, Z.W.; Jansa, L.; Li, J.X.; Song, J.M.; et al. Tectonic evolution of the Sichuan Basin, Southwest China. Earth-Sci. Rev. 2021, 213, 103470. [Google Scholar] [CrossRef]
- Pang, Y.M.; Zhang, X.H.; Xiao, G.L.; Wen, Z.H.; Guo, X.W.; Zhao, W.N. Comparative study of tectonic evolution and petroleum geological conditions of typical superimposed basins in upper and lower Yangtze Block. Mar. Geol. Quat. Geol. 2016, 36, 133–142, (In Chinese with English Abstract). [Google Scholar]
- Luo, Z.L. The influence of the fissure movement on the formation of petroleum and other minerals since the Neopaleozoic in southwestern China. J. Geol. Sichuan Prov. 1981, 1, 1–22, (In Chinese with English Abstract). [Google Scholar]
- Fan, R.; Lu, Y.Z.; Zhang, X.L.; Zhang, S.B.; Deng, S.H.; Li, X. Conodonts from the Cambrian–Ordovician boundary interval in the southeast margin of the Sichuan Basin, China. J. Asian Earth Sci. 2013, 64, 115–124. [Google Scholar] [CrossRef]
- Zhang, M.L.; Xie, Z.Y.; Li, X.Z.; Gu, J.R.; Yang, W.; Liu, M.C. Characteristics of Lithofacies Paleogeography of Cambrian in Sichuan Basin. Acta Sedimentlogica Sin. 2010, 28, 128–139, (In Chinese with English Abstract). [Google Scholar]
- Li, W.; Yu, H.Q.; Deng, H.B. Stratigraphic division and correlation and sedimentary characteristics of the Cambrian in central-southern Sichuan Basin. Pet. Explor. Dev. 2012, 39, 725–735, (In Chinese with English Abstract). [Google Scholar] [CrossRef]
- Li, J.; He, D.F. Palaeogeography and tectonic-depositional environment evolution of the Cambrian in Sichuan Basin and adjacent areas. J. Palaeogeogr. 2014, 16, 441–460, (In Chinese with English Abstract). [Google Scholar]
- Jia, P.; Huang, F.X.; Lin, S.G.; Song, T.; Gao, Y.; Lv, W.N.; Wang, S.Y.; Liu, C.; Fan, J.J.; Ouyang, J.L. Sedimentary Facies and Model Characteristics of Middle Upper Cambrian Xixiangchi Group in Sichuan Basin and Its Adjacent Areas. Geoscience 2021, 35, 807–818, (In Chinese with English Abstract). [Google Scholar]
- Wen, H.G.; Liang, J.T.; Zhou, G.; Qiu, Y.C.; Liu, S.B.; Li, K.Y.; He, Y.; Chen, H.R. Sequence-based lithofacies paleogeography and favorable natural gas exploration areas of Cambrian Xixiangchi Formation in Sichuan Basin and its periphery. Lithol. Reserv. 2022, 34, 1–16, (In Chinese with English Abstract). [Google Scholar]
- Xu, H.L.; Wei, G.Q.; Jia, C.Z.; Yang, W.; Zhou, T.W.; Xie, W.R.; Li, C.X.; Luo, B.W. Tectonic evolution of the Leshan-Longnüsi paleo-uplift and its control on gas accumulation in the Sinian strata, Sichuan Basin. Pet. Explor. Dev. 2012, 4, 406–416, (In Chinese with English Abstract). [Google Scholar]
- Gu, M.F.; Li, W.Z.; Zou, Q.; Zhou, G.; Zhang, J.Y.; Lu, X.J.; Yan, W.; Li, K.Y.; Luo, J. Lithofacies palaeogeography and reservoir characteristics of the Cambrian Xixiangchi Formation in Sichuan Basin. Mar. Orig. Pet. Geol. 2020, 25, 162–170, (In Chinese with English Abstract). [Google Scholar]
- Li, Y.Q.; Gao, J.; Li, S.J.; Hao, Y.Q.; Lin, J.H.; Sun, W.; Wu, C.Y.; Ma, Q.; Wang, L.L. Hydrocarbon accumulation model and exploration prospect of the Xixiangchi Group of Middle-Upper Cambrian in the Sichuan Basin. Nat. Gas Ind. 2022, 42, 29–40, (In Chinese with English Abstract). [Google Scholar]
- Su, A.; Chen, H.H.; Feng, Y.X.; Zhao, J.X.; Wang, Z.C.; Hu, M.Y.; Jiang, H.; Nguyen, A.D. In situ U-Pb dating and geochemical characterization of multi-stage dolomite cementation in the Ediacaran Dengying Formation, Central Sichuan Basin, China: Constraints on diagenetic, hydrothermal and paleo-oil filling events. Precambrian Res. 2022, 368, 106481. [Google Scholar] [CrossRef]
- Dickson, J.A.D. Carbonate identification and genesis as revealed by staining. J. Sediment. Res. 1966, 36, 491–505. [Google Scholar]
- Nier, A.O. The isotopic constitution of strontium, barium, bismuth, thallium and mercury. Phys. Rev. 1938, 54, 275. [Google Scholar] [CrossRef]
- Zeng, Y.F.; Xia, W.J. Sedimentary Petrology; Geology Publishing House: Beijing, China, 1986; pp. 277–289, (In Chinese with English Abstract). [Google Scholar]
- Sibley, D.F.; Gregg, J.M. Classification of dolomite rock textures. J. Sediment. Res. 1987, 57, 967–975. [Google Scholar]
- Liang, J.T.; Liu, S.B.; Li, L.P.; Dai, J.; Li, X.T.; Mou, C.L. Geochemical Constraints on the Hydrothermal Dolomitization of the Middle-Upper Cambrian Xixiangchi Formation in the Sichuan Basin, China. Front. Earth Sci. 2022, 10, 927066. [Google Scholar] [CrossRef]
- Veizer, J.; Ala, D.; Azmy, K.; Bruckschen, P.; Buhl, D.; Bruhn, F.; Carden, G.A.F.; Diener, A.; Ebneth, S.; Godderis, Y.; et al. 87Sr/86Sr, δ13C and δ18O evolution of Phanerozoic seawater. Chem. Geol. 1999, 161, 59–88. [Google Scholar] [CrossRef]
- Denison, R.E.; Koepnick, R.B.; Burke, W.H.; Hetherington, E.A. Construction of the Cambrian and Ordovician seawater 87Sr/86Sr curve. Chem. Geol. 1998, 152, 325–340. [Google Scholar] [CrossRef]
- McLennan, S.M. Rare earth element geochemistry and the “tetrad” effect. Geochim. Cosmochim. Acta 1994, 58, 2025–2033. [Google Scholar] [CrossRef]
- Dulski, P. Interferences of oxide, hydroxide and chloride analyte species in the determination of rare earth elements in geological samples by inductively coupled plasma-mass spectrometry. Fresenius J. Anal. Chem. 1994, 350, 194–203. [Google Scholar] [CrossRef]
- Lawrence, M.G.; Greig, A.; Collerson, K.D.; Kamber, B.S. Rare earth element and yttrium variability in South East Queensland waterways. Aquat. Geochem. 2006, 12, 39–72. [Google Scholar] [CrossRef]
- Alibo, D.S.; Nozaki, Y. Rare earth elements in seawater: Particle association, shale-normalization, and Ce oxidation. Geochim. Cosmochim. Acta 1999, 63, 363–372. [Google Scholar] [CrossRef]
- Bruckschen, P.; Bruhn, F.; Meijer, J.; Stephan, A.; Veizer, J. Diagenetic alteration of calcitic fossil shells: Proton microprobe (PIXE) as a trace element tool. Nucl. Instrum. Methods Phys. Res. Sect. B-Beam Interact. Mater. At. 1995, 104, 427–431. [Google Scholar] [CrossRef]
- Machel, H.G. Concepts and models of dolomitization: A critical reappraisal. Geo. Soc. Lond. Spec. Publ. 2004, 235, 7–63. [Google Scholar] [CrossRef]
- Dehghanzadeh, M.; Adabi, M.H. Petrography of carbonate rocks in the Asmari Formation, Zagros Basin, Dezful Embayment and Izeh Zone, SW Iran. Arab. J. Geosci. 2020, 13, 1–15. [Google Scholar] [CrossRef]
- Charreau, J.; Kent-Corson, M.L.; Barrier, L.; Augier, R.; Ritts, B.D.; Chen, Y.; FranceLannord, C.; Guilmette, C. A high resolution stable isotopic record from the Junggar Basin (NW China): Implications for the paleotopographic evolution of the Tianshan Mountains. Earth Planet. Sci. Lett. 2012, 341, 158–169. [Google Scholar] [CrossRef]
- Kaufman, A.J.; Knoll, A.H. Neoproterozoic variations in the C-isotopic composition of seawater: Stratigraphic and biogeochemical implications. Precambrian Res. 1995, 73, 27–49. [Google Scholar] [CrossRef]
- Derry, L.A.; Brasier, M.D.; Corfield, R.E.A.; Rozanov, A.Y.; Zhuravlev, A.Y. Sr and C isotopes in Lower Cambrian carbonates from the Siberian craton: A paleoenvironmental record during the ‘Cambrian explosion’. Earth Planet. Sci. Lett. 1994, 128, 671–681. [Google Scholar] [CrossRef]
- Zhang, P.Y.; Wang, Y.L.; Zhang, X.J.; Wei, Z.F.; Wang, G.; Zhang, T.; Ma, H.; Wei, J.Y.; He, W.; Ma, X.Y.; et al. Carbon, oxygen and strontium isotopic and elemental characteristics of the Cambrian Longwangmiao Formation in South China: Paleoenvironmental significance and implications for carbon isotope excursions. Gondwana Res. 2022, 106, 174–190. [Google Scholar] [CrossRef]
- Palmer, M.R. Rare earth elements in foraminifera tests. Earth Planet. Sci. Lett. 1985, 73, 285–298. [Google Scholar] [CrossRef]
- Frimmel, H.E. Trace element distribution in Neoproterozoic carbonates as palaeoenvironmental indicator. Chem. Geol. 2009, 258, 338–353. [Google Scholar] [CrossRef]
- Bayon, G.; German, C.R.; Burton, K.W.; Nesbitt, R.W.; Rogers, N. Sedimentary Fe–Mn oxyhydroxides as paleoceanographic archives and the role of aeolian flux in regulating oceanic dissolved REE. Earth Planet. Sci. Lett. 2004, 224, 477–492. [Google Scholar] [CrossRef]
- Elderfield, H.; Upstill-Goddard, R.; Sholkovitz, E.R. The rare earth elements in rivers, estuaries, and coastal seas and their significance to the composition of ocean waters. Geochim. Cosmochim. Acta 1990, 54, 971–991. [Google Scholar]
- Qing, H.R.; Mountjoy, E.W. Formation of coarsely crystalline, hydrothermal dolomite reservoirs in the Presqu’ile Barrier, Western Canada Sedimentary Basin. AAPG Bull. 1994, 78, 55–77. [Google Scholar]
- Zhao, M.Y.; Zheng, Y.F. Marine carbonate records of terrigenous input into Paleotethyan seawater: Geochemical constraints from Carboniferous limestones. Geochim. Cosmochim. Acta 2014, 141, 508–531. [Google Scholar] [CrossRef]
- Zhao, Y.Y.; Li, S.Z.; Li, D.; Guo, L.L.; Dai, L.M.; Tao, J.L. Rare Earth Element Geochemistry of Carbonate and its Paleoenvironmental Implications. Geotecton. Metallog. 2019, 43, 141–167, (In Chinese with English Abstract). [Google Scholar]
- Van Kranendonk, M.J.; Webb, G.E.; Kamber, B.S. Geological and trace element evidence for a marine sedimentary environment of deposition and biogenicity of 3.45 Ga stromatolitic carbonates in the Pilbara Craton, and support for a reducing Archaean ocean. Geobiology 2003, 1, 91–108. [Google Scholar] [CrossRef]
- Kamber, B.S.; Webb, G.E. The geochemistry of late Archaean microbial carbonate: Implications for ocean chemistry and continental erosion history. Geochim. Cosmochim. Acta 2001, 65, 2509–2525. [Google Scholar] [CrossRef]
- Bau, M.; Dulski, P. Distribution of yttrium and rare-earth elements in the Penge and Kuruman iron-formations, Transvaal Supergroup, South Africa. Precambrian Res. 1996, 79, 37–55. [Google Scholar] [CrossRef]
- Prakash, L.S.; Ray, D.; Paropkari, A.L.; Mudholkar, A.V.; Satyanarayanan, M.; Sreenivas, B.; Chandrasekharam, D.; Kota, D.; Raju, K.A.K.; Kaisary, S.; et al. Distribution of REEs and yttrium among major geochemical phases of marine Fe–Mn-oxides: Comparative study between hydrogenous and hydrothermal deposits. Chem. Geol. 2012, 312, 127–137. [Google Scholar] [CrossRef]
- Azmy, K.; Brand, U.; Sylvester, P.; Gleeson, S.A.; Logan, A.; Bitner, M.A. Biogenic and abiogenic low-Mg calcite (bLMC and aLMC): Evaluation of seawater-REE composition, water masses and carbonate diagenesis. Chem. Geol. 2011, 280, 180–190. [Google Scholar] [CrossRef]
- Byrne, R.H.; Sholkovitz, E.R. Marine chemistry and geochemistry of the lanthanides. In Handbook on the Physics and Chemistry of Rare Earths; Elsevier Science: Amsterdam, The Netherlands, 1996; Volume 23, pp. 497–593. [Google Scholar]
- Bau, M. Rare-earth element mobility during hydrothermal and metamorphic fluid-rock interaction and the significance of the oxidation state of europium. Chem. Geol. 1991, 93, 219–230. [Google Scholar]
- Parsapoor, A.; Khalili, M.; Mackizadeh, M.A. The behaviour of trace and rare earth elements (REE) during hydrothermal alteration in the Rangan area (Central Iran). J. Asian Earth Sci. 2009, 34, 123–134. [Google Scholar] [CrossRef]
- Bau, M.; Balan, S.; Schmidt, K.; Koschinsky, A. Rare earth elements in mussel shells of the Mytilidae family as tracers for hidden and fossil high-temperature hydrothermal systems. Earth Planet. Sci. Lett. 2010, 299, 310–316. [Google Scholar] [CrossRef]
- Shao, H.; Xu, Y.G.; He, B.; Huang, X.L.; Luo, Z.Y. Petrology and Geochemistry of the Late-Stage Acidic Volcanic Rocks of the Emeishan Large Igneous Province. Bull. Mineral. Petrol. Geochem. 2007, 26, 350–358, (In Chinese with English Abstract). [Google Scholar]
- Zhu, D.Y.; Jin, Z.J.; Hu, W.X. Hydrothermal recrystallization of the Lower Ordovician dolomite and its significance to reservoir in northern TarimBasin. Sci. Sin. Terrae 2010, 40, 156–170, (In Chinese with English Abstract). [Google Scholar]
- Elderfield, H.; Whitfield, M.; Burton, J.D.; Bacon, M.P.; Liss, P.S. The oceanic chemistry of the rare-earth elements [and discussion]. Phil. Trans. R. Soc. Lond. 1988, 325, 105–126. [Google Scholar]
- Anderson, T.F.; Arthur, M.A. Stable isotopes of oxygen and carbon and their application to sedimentologic and paleoenvironmental problems. Soc. Econ. Paleontol. Miner. Short Course Notes 1983, 10, 1–115. [Google Scholar]
- Glumac, B.; Spivak-Birndorf, M.L. Stable isotopes of carbon as an invaluable stratigraphic tool: An example from the Cambrian of the northern Appalachians, USA. Geology 2002, 30, 563–566. [Google Scholar] [CrossRef]
- Campbell, K.A. Hydrocarbon seep and hydrothermal vent paleoenvironments and paleontology: Past developments and future research directions. Paleogeogr. Paleoclimatol. Paleoecol. 2006, 232, 362–407. [Google Scholar] [CrossRef]
- Mountjoy, E.W.; Qing, H.R.; McNutt, R.H. Strontium isotopic composition of Devonian dolomites, Western Canada Sedimentary Basin: Significance of sources of dolomitizing fluids. Appl. Geochem. 1992, 7, 59–75. [Google Scholar] [CrossRef]
- Compton, J.; Harris, C.; Thompson, S. Pleistocene dolomite from the Namibian Shelf: High 87Sr/86Sr and δ18O values indicate an evaporative, mixed-water origin. J. Sediment. Res. 2001, 71, 800–808. [Google Scholar] [CrossRef]
- Li, P.P.; Zou, H.Y.; Yu, X.Y.; Hao, F.; Wang, G.W. Source of dolomitizing fluids and dolomitization model of the upper Permian Changxing and Lower Triassic Feixianguan formations, NE Sichuan Basin, China. Mar. Pet. Geol. 2021, 125, 104834. [Google Scholar] [CrossRef]
- Shinn, E.A.; Lloyd, R.M.; Ginsburg, R.N. Anatomy of a modern carbonate tidal-flat, Andros Island, Bahamas. J. Sediment. Res. 1969, 39, 1202–1228. [Google Scholar]
- Al-Aasm, I.S.; Packard, J.J. Stabilization of early-formed dolomite: A tale of divergence from two Mississippian dolomites. Sediment. Geol. 2000, 131, 97–108. [Google Scholar] [CrossRef]
- Lin, P.; Peng, J.; Zhang, L.J.; Lan, X.M.; Wang, J.J.; Xia, Q.S.; Xia, J.G. Characteristics of multiple dolomitizing fluids and the genetic mechanism of dolomite formation in the Permian Qixia Formation, NW Sichuan Basin. J. Pet. Sci. Eng. 2022, 208, 109749. [Google Scholar] [CrossRef]
- Azomani, E.; Azmy, K.; Blamey, N.; Brand, U.; Al-Aasm, I. Origin of Lower Ordovician dolomites in eastern Laurentia: Controls on porosity and implications from geochemistry. Mar. Pet. Geol. 2013, 40, 99–114. [Google Scholar]
- Huo, F.; Wang, X.Z.; Wen, H.G.; Xu, W.L.; Huang, H.W.; Jiang, H.C.; Li, Y.W.; Li, B. Genetic mechanism and pore evolution in high quality dolomite reservoirs of the Changxing-Feixianguan Formation in the northeastern Sichuan Basin, China. J. Pet. Sci. Eng. 2020, 194, 107511. [Google Scholar] [CrossRef]
- Azmy, K.; Lavoie, D.; Knight, I.; Chi, G. Dolomitization of the Lower Ordovician Aguathuna Formation carbonates, Port au Port Peninsula, western Newfoundland, Canada: Implications for a hydrocarbon reservoir. Can. J. Earth Sci. 2008, 45, 795–813. [Google Scholar] [CrossRef]
- Azmy, K.; Knight, I.; Lavoie, D.; Chi, G. Origin of dolomites in the Boat Harbour Formation, St. George Group, in western Newfoundland, Canada: Implications for porosity development. Bull. Can. Petrol. Geol. 2009, 57, 81–104. [Google Scholar] [CrossRef]
- Conliffe, J.; Azmy, K.; Greene, M. Dolomitization of the lower Ordovician Catoche formation: Implications for hydrocarbon exploration in western Newfoundland. Mar. Pet. Geol. 2012, 30, 161–173. [Google Scholar] [CrossRef]











| Phase a | δ13CPDB/‰ | δ18OPDB/‰ | 87Sr/86Sr | ΣLREE (μg/g) | ΣHREE (μg/g) | ΣREE (μg/g) | (Nb/Yb)SN | Eu/Eu* | Ce/Ce* | Mn (μg/g) | SiO2/% |
|---|---|---|---|---|---|---|---|---|---|---|---|
| D1 | |||||||||||
| n | 10 | 10 | 4 | 7 | 7 | 7 | 7 | 7 | 7 | 7 | 7 |
| Mean | −1.5 | −9.7 | 0.71062 | 7.2 | 0.8 | 8.0 | 1.3 | 0.65 | 0.84 | 121.4 | 3.4 |
| St.dv | 0.2 | 0.5 | 0.00122 | 2.3 | 0.3 | 2.6 | 0.1 | 0.03 | 0.02 | 61.5 | 1.6 |
| Min. | −2.0 | −10.3 | 0.70965 | 4.0 | 0.4 | 4.4 | 1.1 | 0.58 | 0.82 | 50.0 | 0.8 |
| Max. | −1.2 | −8.9 | 0.71270 | 10.5 | 1.2 | 11.5 | 1.5 | 0.69 | 0.87 | 260.0 | 6.3 |
| D2 | |||||||||||
| n | 12 | 12 | 6 | 9 | 9 | 9 | 9 | 9 | 9 | 9 | 9 |
| Mean | −1.4 | −8.9 | 0.70992 | 6.5 | 0.7 | 7.2 | 1.2 | 0.85 | 0.87 | 191 | 2.1 |
| St.dv | 0.4 | 0.7 | 0.00035 | 2.0 | 0.2 | 2.2 | 0.2 | 0.04 | 0.04 | 45 | 1.0 |
| Min. | −2.1 | −10.0 | 0.70949 | 3.4 | 0.4 | 3.8 | 0.9 | 0.76 | 0.81 | 140 | 0.7 |
| Max. | −0.9 | −7.5 | 0.71064 | 11.0 | 1.2 | 12.2 | 1.4 | 0.90 | 0.94 | 270 | 3.9 |
| D3 | |||||||||||
| n | 5 | 5 | 2 | 5 | 5 | 5 | 5 | 5 | 5 | 5 | 5 |
| Mean | −1.4 | −10.4 | 0.70989 | 5.1 | 0.6 | 5.6 | 1.2 | 0.88 | 0.88 | 208 | 1.7 |
| St.dv | 0.1 | 0.4 | 0.00048 | 1.3 | 0.1 | 1.4 | 0.2 | 0.02 | 0.02 | 88 | 0.8 |
| Min. | −1.6 | −11.0 | 0.70941 | 4.1 | 0.4 | 4.5 | 1.0 | 0.85 | 0.85 | 130 | 0.8 |
| Max. | −1.2 | −9.8 | 0.71037 | 7.7 | 0.7 | 8.4 | 1.5 | 0.92 | 0.91 | 380 | 3.2 |
| SD | |||||||||||
| n | 10 | 10 | 5 | 10 | 10 | 10 | 10 | 10 | 10 | 10 | 10 |
| Mean | −2.1 | −11.1 | 0.70941 | 4.8 | 0.8 | 5.6 | 0.8 | 0.70 | 0.83 | 272 | 1.3 |
| St.dv | 0.1 | 0.3 | 0.00003 | 1.4 | 0.3 | 1.7 | 0.0 | 0.01 | 0.01 | 55 | 0.7 |
| Min. | −2.3 | −11.6 | 0.70937 | 2.5 | 0.4 | 3.0 | 0.7 | 0.69 | 0.82 | 200 | 0.4 |
| Max. | −2.0 | −10.4 | 0.70945 | 8.0 | 1.4 | 9.4 | 0.9 | 0.72 | 0.85 | 340 | 2.8 |
Publisher’s Note: MDPI stays neutral with regard to jurisdictional claims in published maps and institutional affiliations. |
© 2022 by the authors. Licensee MDPI, Basel, Switzerland. This article is an open access article distributed under the terms and conditions of the Creative Commons Attribution (CC BY) license (https://creativecommons.org/licenses/by/4.0/).
Share and Cite
Li, L.; Wen, H.; Zhou, G.; Luo, B.; Liang, J.; Liu, S.; Li, K.; Guo, Y.; Hu, W. Petrographic, Rare Earth Elemental and Isotopic Constraints on the Dolomite Origin: A Case Study from the Middle-Upper Cambrian Xixiangchi Formation in Eastern Sichuan Basin, Southwest China. Minerals 2022, 12, 1224. https://doi.org/10.3390/min12101224
Li L, Wen H, Zhou G, Luo B, Liang J, Liu S, Li K, Guo Y, Hu W. Petrographic, Rare Earth Elemental and Isotopic Constraints on the Dolomite Origin: A Case Study from the Middle-Upper Cambrian Xixiangchi Formation in Eastern Sichuan Basin, Southwest China. Minerals. 2022; 12(10):1224. https://doi.org/10.3390/min12101224
Chicago/Turabian StyleLi, Luping, Huaguo Wen, Gang Zhou, Bing Luo, Jintong Liang, Sibing Liu, Kunyu Li, Yanbo Guo, and Wenwen Hu. 2022. "Petrographic, Rare Earth Elemental and Isotopic Constraints on the Dolomite Origin: A Case Study from the Middle-Upper Cambrian Xixiangchi Formation in Eastern Sichuan Basin, Southwest China" Minerals 12, no. 10: 1224. https://doi.org/10.3390/min12101224
APA StyleLi, L., Wen, H., Zhou, G., Luo, B., Liang, J., Liu, S., Li, K., Guo, Y., & Hu, W. (2022). Petrographic, Rare Earth Elemental and Isotopic Constraints on the Dolomite Origin: A Case Study from the Middle-Upper Cambrian Xixiangchi Formation in Eastern Sichuan Basin, Southwest China. Minerals, 12(10), 1224. https://doi.org/10.3390/min12101224
