A Method of Backfill Mining Crossing the Interchange Bridge and Application of a Ground Subsidence Prediction Model
Abstract
:1. Introduction
- -
- Propose a roof subsidence numerical simulation method and determine the structural backfill parameters;
- -
- Theoretical basis and application of a ground subsidence prediction model;
- -
- To develop an efficient structural backfill method through “three under” coal mining, to be combined with high-water materials filling barricades and pillars.
2. Geological Conditions and Structural Backfill Schemes
2.1. Geological Conditions of Working Face under Interchange Bridge
2.2. Mine Pressure Evolution of the Working Face around the Interchange Bridge
2.2.1. Mine Pressure Evolution Monitoring and Result of the 42,114 Working Face
2.2.2. General Situations of Backfill Strategies
3. Theoretical Model of Backfill Parameters and Finite Element Simulation of Roof Subsidence
3.1. The Ultimate Collapse Step Distance of the Main Roof of Underground Structural Backfill
3.1.1. Assessment of the Main Roof Load Using the Periodic Weighting Step Distance
3.1.2. Estimation of the Main Roof Fracture Step Distance Based on the Backfill Structure
3.1.3. The Procedure of Resolving Beam Load Problems
3.2. Subsidence Analysis of Main Roof and Immediate Roof Using Finite Element Model
3.3. Determine the Structure Backfill Mining Parameters
4. Prediction Model of Mining Deformation and Subsidence and Its Application
4.1. Basic Theory of Prediction Model
4.2. Input Parameters of the MSAS
4.3. Model Application and Result Analysis
5. Discussions
5.1. Feasibility of Structural Backfill Engineering
5.2. Measured Analysis of Support Resistance
5.3. Economic and Social Benefit Analysis
6. Conclusions
Author Contributions
Funding
Data Availability Statement
Acknowledgments
Conflicts of Interest
References
- Yang, Z.F.; Li, Z.W.; Zhu, J.J.; Yi, H.W.; Hu, J.; Feng, G.C. Deriving Dynamic Subsidence of Coal Mining Areas Using InSAR and Logistic Model. Remote Sens. 2017, 9, 125. [Google Scholar] [CrossRef] [Green Version]
- Zheng, M.N.; Deng, K.Z.; Fan, H.D.; Du, S. Monitoring and Analysis of Surface Deformation in Mining Area Based on InSAR and GRACE. Remote Sens. 2018, 10, 1392. [Google Scholar] [CrossRef] [Green Version]
- Benzaazoua, M.; Fall, M.; Belem, T. A contribution to understanding the hardening process of cemented pastefill. Miner. Eng. 2004, 17, 141–152. [Google Scholar] [CrossRef]
- Hassani, F.; Archibald, J. Mine Backfill; Canadian Institute of Mining, Metallurgy and Petroleum: Montreal, QC, Canada, 1998. [Google Scholar]
- Fall, M.; Celestin, J.C.; Pokharel, M.; Toure, M. A contribution to understanding the effects of curing temperature on the mechanical properties of mine cemented tailings backfill. Eng. Geol. 2010, 114, 397–413. [Google Scholar] [CrossRef]
- Qi, C.; Fourie, A. Cemented paste backfill for mineral tailings management: Review and future perspectives. Miner. Eng. 2019, 144, 106025. [Google Scholar] [CrossRef]
- Guo, S.J.; Zhang, J.X.; Li, M.; Zhou, N.; Song, W.J.; Wang, Z.J.; Qi, S.M. A preliminary study of solid-waste coal gangue based biomineralization as eco-friendly underground backfill material: Material preparation and macro-micro analyses. Sci. Total Environ. 2021, 770, 145241. [Google Scholar] [CrossRef] [PubMed]
- Qi, C.-C. Big data management in the mining industry. Int. J. Miner. Metall. Mater. 2020, 27, 131–139. [Google Scholar] [CrossRef]
- Tang, F.Q.; Lu, J.X.; Li, P.F. A prediction model for mining subsidence in loess-covered mountainous areas of western China. Curr. Sci. 2019, 116, 2036–2043. [Google Scholar] [CrossRef]
- Shi, M.Y.; Yang, H.L.; Wang, B.C.; Peng, J.H.; Gao, Z.Z.; Zhang, B. Improving Boundary Constraint of Probability Integral Method in SBAS-InSAR for Deformation Monitoring in Mining Areas. Remote Sens. 2021, 13, 1497. [Google Scholar] [CrossRef]
- Guo, G.L.; Zhu, X.J.; Zha, J.F.; Wang, Q. Subsidence prediction method based on equivalent mining height theory for solid backfilling mining. Trans. Nonferrous Met. Soc. China 2014, 24, 3302–3308. [Google Scholar] [CrossRef]
- Guo, K.K.; Guo, G.L.; Li, H.Z.; Wang, C.Y.; Gong, Y.Q. Strata movement and surface subsidence prediction model of deep backfilling mining. Energy Sources Part A Recover. Util. Environ. Eff. 2020, 1–15. [Google Scholar] [CrossRef]
- Zhu, X.J.; Guo, G.L.; Liu, H.; Yang, X.Y. Surface subsidence prediction method of backfill-strip mining in coal mining. Bull. Eng. Geol. Environ. 2019, 78, 6235–6248. [Google Scholar] [CrossRef]
- Vyazmensky, A.; Elmo, D.; Stead, D.; Rance, J.R. Combined finite-discrete element modelling of surface subsidence associated with block caving mining. In Proceedings of the 1st Canada—U.S. Rock Mechanics Symposium, Vancouver, BC, Canada, 27–31 May 2007; pp. 467–475. [Google Scholar]
- Hamdi, P.; Stead, D.; Elmo, D.; Toyra, J. Use of an integrated finite/discrete element method-discrete fracture network approach to characterize surface subsidence associated with sub-level caving. Int. J. Rock Mech. Min. Sci. 2018, 103, 55–67. [Google Scholar] [CrossRef]
- Li, Y.; Liu, L.M.; Li, Y.H.; Zhang, M.Y.; Wang, X.J. Quantitative Calculation Method Surface Subsidence Caused by Underground Mining Based on GIS. Geotech. Geol. Eng. 2020, 38, 61–69. [Google Scholar] [CrossRef]
- Shi, H.; Zhang, Y.B.; Tang, L. Physical test of fracture development in the overburden strata above the goaf and diffusion process of permeable grout slurry. Bull. Eng. Geol. Environ. 2021, 80, 4791–4802. [Google Scholar] [CrossRef]
- Lamich, D.; Marschalko, M.; Yilmaz, I.; Bednarova, P.; Niemiec, D.; Mikulenka, V.; Kubecka, K. Geodetic monitoring of roads as a tool for determination of hazard zones in areas influenced by deep coal mining. Bull. Eng. Geol. Environ. 2016, 75, 1033–1044. [Google Scholar] [CrossRef]
- Ju, Y.; Nie, X.D.; Zhu, Y.; Xie, H.P. In situ fluidized mining and conversion solution to alleviate geological damage and greenhouse gas emissions due to coal exploitation: A numerical analysis and evaluation. Energy Sci. Eng. 2021, 9, 40–57. [Google Scholar] [CrossRef]
- Huang, Q.X.; Cao, J. Research on Coal Pillar Malposition Distance Based on Coupling Control of Three-Field in Shallow Buried Closely Spaced Multi-Seam Mining, China. Energies 2019, 12, 462. [Google Scholar] [CrossRef] [Green Version]
- Hu, H.F.; Lian, X.G.; Chen, S.Y. Effects on Buildings of Surface Curvature Caused by Underground Coal Mining. J. Eng. Technol. Sci. 2016, 48, 254–275. [Google Scholar] [CrossRef]
- Guo, W.Y.; Hu, B.N.; Zhang, J.Y.; Chen, Q.T.; Jia, X.G.; Li, J.H. Research on the Settlement Regulation and Stability of Large Building Foundation over Gobs: A Case Study in the Xiangcheng Coal Mine, China. Shock Vib. 2021, 2021, 1–17. [Google Scholar]
- Guo, W.B.; Guo, M.J.; Tan, Y.; Bai, E.H.; Zhao, G.B. Sustainable Development of Resources and the Environment: Mining-Induced Eco-Geological Environmental Damage and Mitigation Measures-A Case Study in the Henan Coal Mining Area, China. Sustainability 2019, 11, 4366. [Google Scholar] [CrossRef] [Green Version]
- Liu, S.G.; Bai, J.B.; Wang, X.Y.; Wu, B.W.; Wu, W.D. Mechanisms of Floor Heave in Roadways Adjacent to a Goaf Caused by the Fracturing of a Competent Roof and Controlling Technology. Shock Vib. 2020, 2020, 1–17. [Google Scholar] [CrossRef]
- Dong, J.H.; Li, H.J.; Wang, Y.S.; Zhang, Y.H. Characteristics and monitoring-based analysis on deformation mechanism of Jianshanying landslide, Guizhou Province, southwestern China. Arab. J. Geosci. 2021, 14, 1–10. [Google Scholar] [CrossRef]
- Chen, D.D.; Wang, E.; Xie, S.R.; He, F.L.; Wang, L.; Zhang, Q.; Wu, X.Y.; Jiang, Z.S.; Li, Y.B.; Shi, S.H. Roadway Surrounding Rock under Multi-Coal-Seam Mining: Deviatoric Stress Evolution and Control Technology. Adv. Civ. Eng. 2020, 2020, 1–18. [Google Scholar]
- Cheben, V.; Drusa, M.; Kuba, M. Innovative Groundwater Table Monitoring Using TDR Technology. Int. J. Geomate 2015, 9, 1428–1433. [Google Scholar]
- Petlovanyi, M.V.; Ruskykh, V.V.; Zubko, S.A. Peculiarities of the underground mining of high-grade iron ores in anomalous geological conditions. J. Geol. Geogr. Geoecol. 2019, 28, 706–716. [Google Scholar] [CrossRef]
- Marschalko, M.; Yilmaz, I.; Kristkova, V.; Fuka, M.; Kubecka, K.; Bouchal, T. An indicative method for determination of the most hazardous changes in slopes of the subsidence basins in underground coal mining area in Ostrava (Czech Republic). Environ. Monit. Assess. 2013, 185, 509–522. [Google Scholar] [CrossRef] [PubMed]
- Dong, Y.; Huang, Y.C.; Du, J.F.; Zhao, F. Study on Overburden Stability and Development Height of Water Flowing Fractured Zone in Roadway Mining with Cemented Backfill. Shock Vib. 2021, 2021, 1–12. [Google Scholar]
- Li, H.J.; Li, J.H.; Li, L.; Xu, H.; Wei, J.J. Prevention of water and sand inrush during mining of extremely thick coal seams under unconsolidated Cenozoic alluvium. Bull. Eng. Geol. Environ. 2020, 79, 3271–3283. [Google Scholar] [CrossRef]
- Liu, W.R. Experimental and Numerical Study of Rock Stratum Movement Characteristics in Longwall Mining. Shock Vib. 2019, 2019, 1–15. [Google Scholar] [CrossRef]
- Liu, S.G.; Bai, J.B.; Wang, X.Y.; Wu, B.W.; Wang, G.H.; Li, Y.H.; Xu, J. Study on Dynamic Evolution of Roof Crack and Support Timing of Secondary Tunneling for Large Section Open-Off Cut in Deep Mines. Adv. Civ. Eng. 2021, 2021, 1–16. [Google Scholar]
- Akcin, H. A GIS-based building risk assessment for the subsidence due to undercity coal mining activities in Zonguldak, Turkey. Arab. J. Geosci. 2021, 14, 1–13. [Google Scholar] [CrossRef]
- Kong, D.Z.; Li, Q.; Wang, N.; Wu, G.Y. Analysis on the Breaking Law of Soft and Thick Roof of Fully Mechanized Top-Coal Caving Face. Geotech. Geol. Eng. 2020, 38, 5941–5953. [Google Scholar] [CrossRef]
- Ju, J.F.; Xu, J.L. Structural characteristics of key strata and strata behaviour of a fully mechanized longwall face with 7.0 m height chocks. Int. J. Rock Mech. Min. Sci. 2013, 58, 46–54. [Google Scholar] [CrossRef]
- Guo, J.; Feng, G.R.; Wang, P.F.; Qi, T.Y.; Zhang, X.R.; Yan, Y.G. Roof Strata Behavior and Support Resistance Determination for Ultra-Thick Longwall Top Coal Caving Panel: A Case Study of the Tashan Coal Mine. Energies 2018, 11, 1041. [Google Scholar] [CrossRef] [Green Version]
- Zhu, C.; Yuan, Y.; Yuan, C.F.; Liu, F.Q.; Chen, Z.S.; Wang, S.Z. Study on the structural forms of the key strata in the overburden of a stope during periodic weighting and the reasonable working resistance of the support. Energy Sci. Eng. 2020, 8, 2599–2620. [Google Scholar] [CrossRef] [Green Version]
- ABAQUS. Abaqus 2017 User’s Manual; SIMULIA: Providence, RI, USA, 2017. [Google Scholar]
- Xu, Z. A Concise Course of Elasticity, 5th ed.; Higher Education Press: Beijing, China, 2016. [Google Scholar]
- Liu, S.; Bai, J.; Wang, X.; Yan, S.; Zhao, J. Field and Numerical Study on Deformation and Failure Characteristics of Deep High-Stress Main Roadway in Dongpang Coal Mine. Sustainability 2021, 13, 8507. [Google Scholar] [CrossRef]
- Shen, W.L.; Wang, M.; Cao, Z.Z.; Su, F.Q.; Nan, H.; Li, X.L. Mining-Induced Failure Criteria of Interactional Hard Roof Structures: A Case Study. Energies 2019, 12, 3016. [Google Scholar] [CrossRef] [Green Version]
- GB50936-2014, Technical Code for Concrete Filled Steel Tubular Structures; China Architecture & Building Press: Beijing, China, 2014.
- GB50017-2017, Standard for Design of Steel Structures; China Architecture & Building: Beijing, China, 2017.
- Wang, Y.B.; Yin, D.W.; Chen, S.J.; Zhang, L.B.; Liu, D.Y.; Sun, Y.H. Experimental Study on Properties of Rock-Cemented Coal Gangue-Fly Ash Backfill Bimaterials with Different Coal Gangue Particle Sizes. Adv. Civ. Eng. 2020, 2020, 1–12. [Google Scholar] [CrossRef]
- Xu, W.; Zhang, Y.; Zuo, X.; Hong, M. Time-dependent rheological and mechanical properties of silica fume modified cemented tailings backfill in low temperature environment. Cem. Concr. Compos. 2020, 114, 103804. [Google Scholar] [CrossRef]
- Li, H.; Zhang, Y.; Xu, L.; Jia, X.; Gu, X. Examination of the treatment quality of filling mined-out voids using super-high-water material by the TEM technique. Environ. Earth Sci. 2017, 76, 115. [Google Scholar] [CrossRef]
- Zhang, Z.Z.; Deng, M.; Bai, J.B.; Yan, S.; Yu, X.Y. Stability control of gob-side entry retained under the gob with close distance coal seams. Int. J. Min. Sci. Technol. 2021, 31, 321–332. [Google Scholar] [CrossRef]
- Li, H.; Zhang, B.Y.; Bai, H.B.; Wu, J.J.; Meng, Q.B.; Xiao, N.; Li, F.; Wu, G.M. Surface Water Resource Protection in a Mining Process under Varying Strata ThicknessA Case Study of Buliangou Coal Mine, China. Sustainability 2018, 10, 4634. [Google Scholar] [CrossRef] [Green Version]
- Malinowska, A.; Hejmanowski, R.; Dai, H.Y. Ground movements modeling applying adjusted influence function. Int. J. Min. Sci. Technol. 2020, 30, 243–249. [Google Scholar] [CrossRef]
- Yan, W.T.; Dai, H.Y.; Chen, J.J. Surface crack and sand inrush disaster induced by high-strength mining: Example from the Shendong coal field, China. Geosci. J. 2018, 22, 347–357. [Google Scholar] [CrossRef]
- Lu, G.D.; Yang, X.G.; Qi, S.C.; Li, X.L.; Ding, P.P.; Zhou, J.W. A generic framework for overpressure generation in sedimentary sequences under thermal perturbations. Comput. Geotech. 2020, 124, 103636. [Google Scholar] [CrossRef]
- Liu, X.; Guo, G.; Li, H. Study on Damage of Shallow Foundation Building caused by Surface Curvature Deformation in Coal Mining Area. KSCE J. Civ. Eng. 2019, 23, 4601–4610. [Google Scholar] [CrossRef]
- Li, L.; Aubertin, M.; Belem, T. Formulation of a three dimensional analytical solution to evaluate stresses in backfilled vertical narrow openings. Can. Geotech. J. 2005, 42, 1705–1717. [Google Scholar] [CrossRef]
- Zhu, X.J.; Guo, G.L.; Wang, J.; Fang, Q.; Chen, T. Analysis of strata and ground subsidence in fully mechanized solid backfilling mining: A case study of Huayuan coal mine. Trans. Inst. Min. Metall. Sect. A Min. Technol. 2016, 125, 233–241. [Google Scholar] [CrossRef]
- Zhang, X.S.; Yu, H.C.; Dong, J.Y.; Liu, S.P.; Huang, Z.Q.; Wang, J.X.; Wong, H. A physical and numerical model-based research on the subsidence features of overlying strata caused by coal mining in Henan, China. Environ. Earth Sci. 2017, 76, 1–11. [Google Scholar] [CrossRef]
- Chen, Q.; Sun, S.; Liu, Y.; Qi, C.; Zhou, H.; Zhang, Q. Immobilization and leaching characteristics of fluoride from phosphogypsum-based cemented paste backfill. Int. J. Miner. Metall. Mater. 2021, 1–13. [Google Scholar] [CrossRef]
- Zhang, F.T.; Wang, X.Y.; Bai, J.B.; Wang, G.Y.; Wu, B.W. Post-peak mechanical characteristics of the high-water material for backfilling the gob-side entry retaining: From experiment to field application. Arab. J. Geosci. 2020, 13, 1–13. [Google Scholar] [CrossRef]
- Zhang, J.X.; Li, M.; Taheri, A.; Zhang, W.Q.; Wu, Z.Y.; Song, W.J. Properties and Application of Backfill Materials in Coal Mines in China. Minerals 2019, 9, 53. [Google Scholar] [CrossRef] [Green Version]
- Zhang, Z.Z.; Bai, J.B.; Han, Z.T.; Wang, X.Y.; Xu, Y.; Wang, M. Roof mechanics analysis and backfill technology for abandoned roadway. J. Min. Saf. Eng. 2013, 30, 194–198. [Google Scholar]
- Wang, E.; Xie, S.R.; Chen, D.D.; Sun, Y.H.; Qi, P.Y. Influence of different loading rates on the mechanics and failure characteristics of high-water-content material. Geomech. Geoengin. 2021, 1–12. [Google Scholar] [CrossRef]
- Li, E.; Zhou, J.; Shi, X.; Jahed Armaghani, D.; Yu, Z.; Chen, X.; Huang, P. Developing a hybrid model of salp swarm algorithm-based support vector machine to predict the strength of fiber-reinforced cemented paste backfill. Eng. Comput. 2020, 1–22. [Google Scholar] [CrossRef]
- Wu, J.Y.; Jing, H.W.; Meng, Q.B.; Yin, Q.; Yu, L.Y. Assessment of cemented waste rock backfill for recycling gangue and controlling strata: Creep experiments and models. Environ. Sci. Pollut. Res. 2021, 28, 35924–35940. [Google Scholar] [CrossRef] [PubMed]


















| Remark | HSn | MShsec/MPa | PPC/MPa | PPD/m | ||
|---|---|---|---|---|---|---|
| Upper area | 15# | 32.1 | 25.20 | 2.21 | 27.41 | 14.5, 19 |
| 20# | 33.0 | 25.14 | 2.10 | 27.24 | 14, 17 | |
| Middle area | 70# | 42.9 | 25.04 | 3.88 | 28.92 | 20 |
| 78# | 43.1 | 24.45 | 3.25 | 27.67 | 18.8 | |
| 115# | 41.2 | 25.11 | 3.51 | 28.62 | 20 | |
| 121# | 42.5 | 24.81 | 3.43 | 29.24 | 19.8 | |
| Lower area | 160# | 30.9 | 25.02 | 2.14 | 27.16 | 13, 17 |
| 168# | 33.7 | 24.52 | 2.50 | 27.02 | 15, 16 |
| Support Materials | Parameters | Requirements | Remarks |
|---|---|---|---|
| Rock bolts | Diameter/length | Φ 18 mm × L 1800 mm | Screw thread steel |
| Spacing and row spacing | 1000 mm, 800 mm | ||
| Tray | 140 mm × 250 mm × 10 mm W-shaped steel tray | ||
| Anchorage agent | MSCK 23/80 mm | ||
| Anchor cables | Diameter/length | Φ 15.24 × L 7500 mm | Mine anchor cables |
| Spacing and row spacing | 2000 mm, 1600 mm | ||
| Tray | 300 mm × 300 mm × 16 mm dished tray | ||
| Anchorage agent | MSCK23/60 mm + MSZ23/80 mm | ||
| Rhombic metal mesh | Specification | 8# | Two pieces lapped by 100 mm |
| Length | 2800 mm | ||
| Width | 1000 mm | ||
| Hydraulic support | Specification | ZY12000/20/40D | |
| Support height | 2000~4000 mm | ||
| Center distance | 1750 mm | ||
| Rated working resistance | 12,000 kN | ||
| Rated initial support force | 7917 kN | ||
| Backfill hydraulic support | Specification | ZZC10000/20/40 | |
| Support height | 2000~4000 mm | ||
| Center distance | 1500 mm | ||
| Rated working resistance | 10,000 kN | ||
| Rated initial support force | 8322 kN | ||
| Single hydraulic prop | Specification | DW31.5-300/100 | |
| Maximum support height | 3500 mm | ||
| Rated working resistance | 200 kN | ||
| Spacing | 1000 mm |
| Materials | Strength Grade | Diameter | Length | Ultimate Bearing Capacity | Spacing | Row Spacing |
|---|---|---|---|---|---|---|
| Concrete | C35 | 500 mm | 4000 mm | 10,200 kN | 4 | 4 |
| Materials | Strength Grade | Diameter (mm) | Length (mm) | Ultimate Bearing Capacity (kN) | Spacing (m) | Row Spacing (m) | Cost * (CNY) | Weight (kg/each) |
|---|---|---|---|---|---|---|---|---|
| Concrete | C60 | 800 | 4000 | 28,150 | 6.5 | 7 | 3900 | 4040 |
| Concrete | C40 | 800 | 4000 | 24,500 | 6 | 6.5 | 3860 | 4006 |
| Concrete | C35 | 800 | 4000 | 23,000 | 4 | 4 | 3830 | 4001 |
| Concrete | C60 | 500 | 4000 | 11,500 | 4 | 4.5 | 1880 | 1660 |
| Concrete | C40 | 500 | 4000 | 10,900 | 4 | 4.4 | 1870 | 1643 |
| Concrete | C35 | 500 | 4000 | 10,200 | 4 | 4 | 1850 | 1641 |
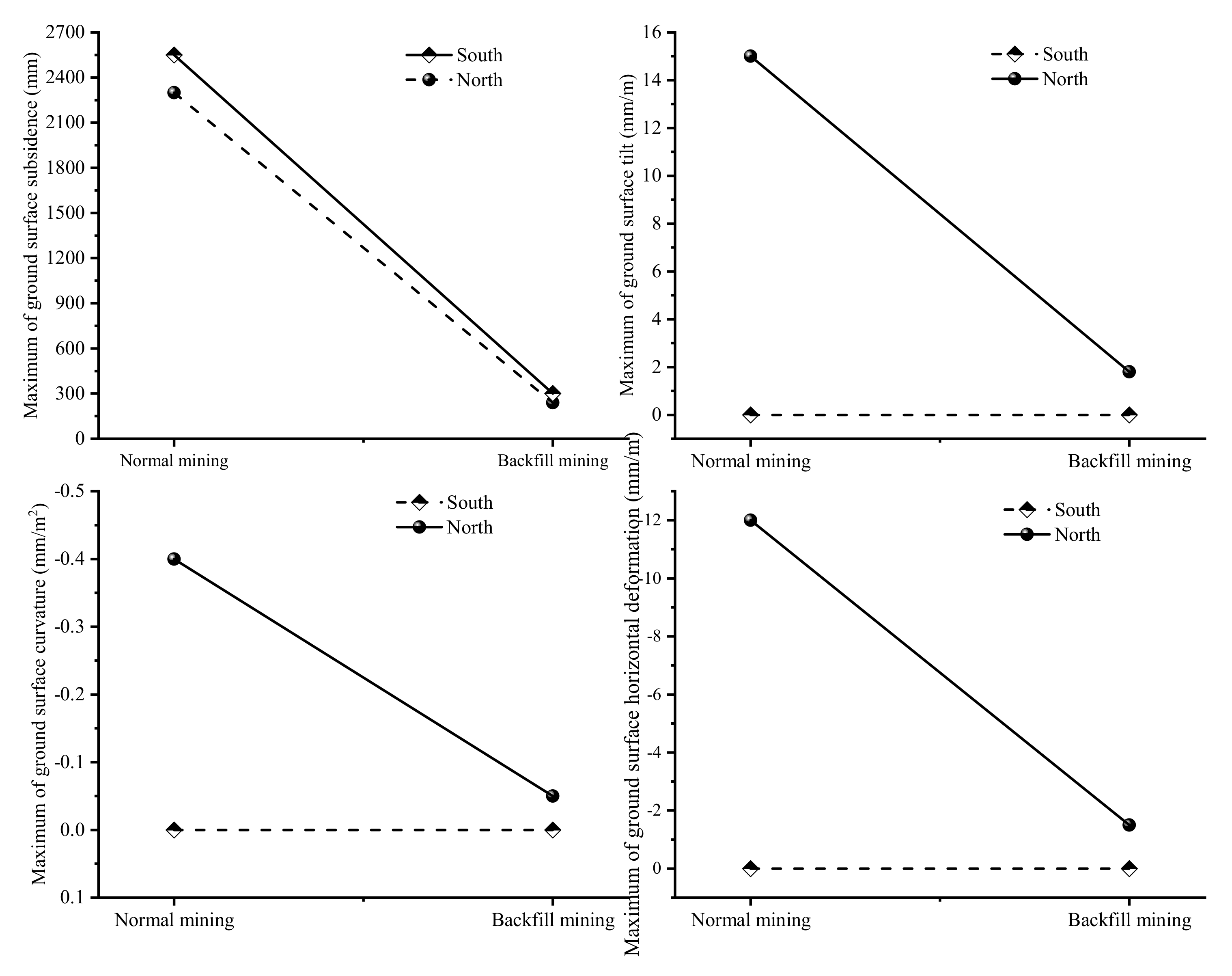
| Mining Method | Location | Tilt (mm/m) | Curvature (mm/m2) | Horizontal Deformation (mm/m) |
|---|---|---|---|---|
| Normal mining | South | 30 | −0.5~0.5 | −14~14 |
| North | 25 | −0.4~0.4 | −12~12 | |
| Backfill mining | South | 3.5 | −0.05~0.05 | −1.5~1.5 |
| North | 3.0 | −0.05~0.05 | −1.3~1.3 |
| Mineral Composition | 3CaO·3Al2O3·CaSO4 | 2CaO·SiO2 | 4CaO·Al2O3·Fe2O3 |
|---|---|---|---|
| Content/% | 3~13 | 30~48 | 1~3 |
| Item | Sum Number | Price | Cost/CNY | |
|---|---|---|---|---|
| Materials | Rock bolts | 2300 | 36 CNY/series * | 82,800 |
| Anchor cable | 500 | 135 CNY/series * | 67,500 | |
| Metal mesh | 2000 m2 | 17 CNY/m2 | 34,000 | |
| High-water materials | 2700 t | 2150 CNY/t | 5,805,000 | |
| Equipment | Backfill hydraulic support | 40 | 650,000 CNY/each | - |
| Hydraulic support | 40 | 486,000 CNY/each | - | |
| Difference between hydraulic support | - | 16,400 CNY/each | 65,600 | |
| Two-fluid grouting pump | 2 | 350,000 CNY/each | 700,000 | |
| Mixing drum | 4 | 25,000 CNY/each | 100,000 | |
| Pillars | Precast concrete column | 11,000 | 2100 CNY/each | 23,100,000 |
| Backfill working face | Worker | 1320 days | 300 CNY/day | 396,000 |
| High-water materials | 66,000 t | 2150 CNY/t | 141,900,000 | |
| Sum | 172,250,900 | |||
Publisher’s Note: MDPI stays neutral with regard to jurisdictional claims in published maps and institutional affiliations. |
© 2021 by the authors. Licensee MDPI, Basel, Switzerland. This article is an open access article distributed under the terms and conditions of the Creative Commons Attribution (CC BY) license (https://creativecommons.org/licenses/by/4.0/).
Share and Cite
Liu, S.; Bai, J.; Wang, G.; Wang, X.; Wu, B. A Method of Backfill Mining Crossing the Interchange Bridge and Application of a Ground Subsidence Prediction Model. Minerals 2021, 11, 945. https://doi.org/10.3390/min11090945
Liu S, Bai J, Wang G, Wang X, Wu B. A Method of Backfill Mining Crossing the Interchange Bridge and Application of a Ground Subsidence Prediction Model. Minerals. 2021; 11(9):945. https://doi.org/10.3390/min11090945
Chicago/Turabian StyleLiu, Shuaigang, Jianbiao Bai, Gongyuan Wang, Xiangyu Wang, and Bowen Wu. 2021. "A Method of Backfill Mining Crossing the Interchange Bridge and Application of a Ground Subsidence Prediction Model" Minerals 11, no. 9: 945. https://doi.org/10.3390/min11090945
APA StyleLiu, S., Bai, J., Wang, G., Wang, X., & Wu, B. (2021). A Method of Backfill Mining Crossing the Interchange Bridge and Application of a Ground Subsidence Prediction Model. Minerals, 11(9), 945. https://doi.org/10.3390/min11090945
