New Insights into Pre-to-Post Ediacaran Zircon Fingerprinting of the Mamfe PanAfrican Basement, SW Cameroon: A Possible Link with Rocks in SE Nigeria and the Borborema Province of NE Brazil
Abstract
:1. Introduction
2. Overview on the Geochronology of the PanAfrican Cameroon Mobile Belt, Borborema Province NE of Brazil and SE of Nigeria
2.1. The PanAfrican Cameroon Mobile Belt
2.2. The Borborema Province PanAfrican NE Brazil
2.3. The PanAfrican SE of Nigeria
3. Local Geological Setting
4. Materials and Methods
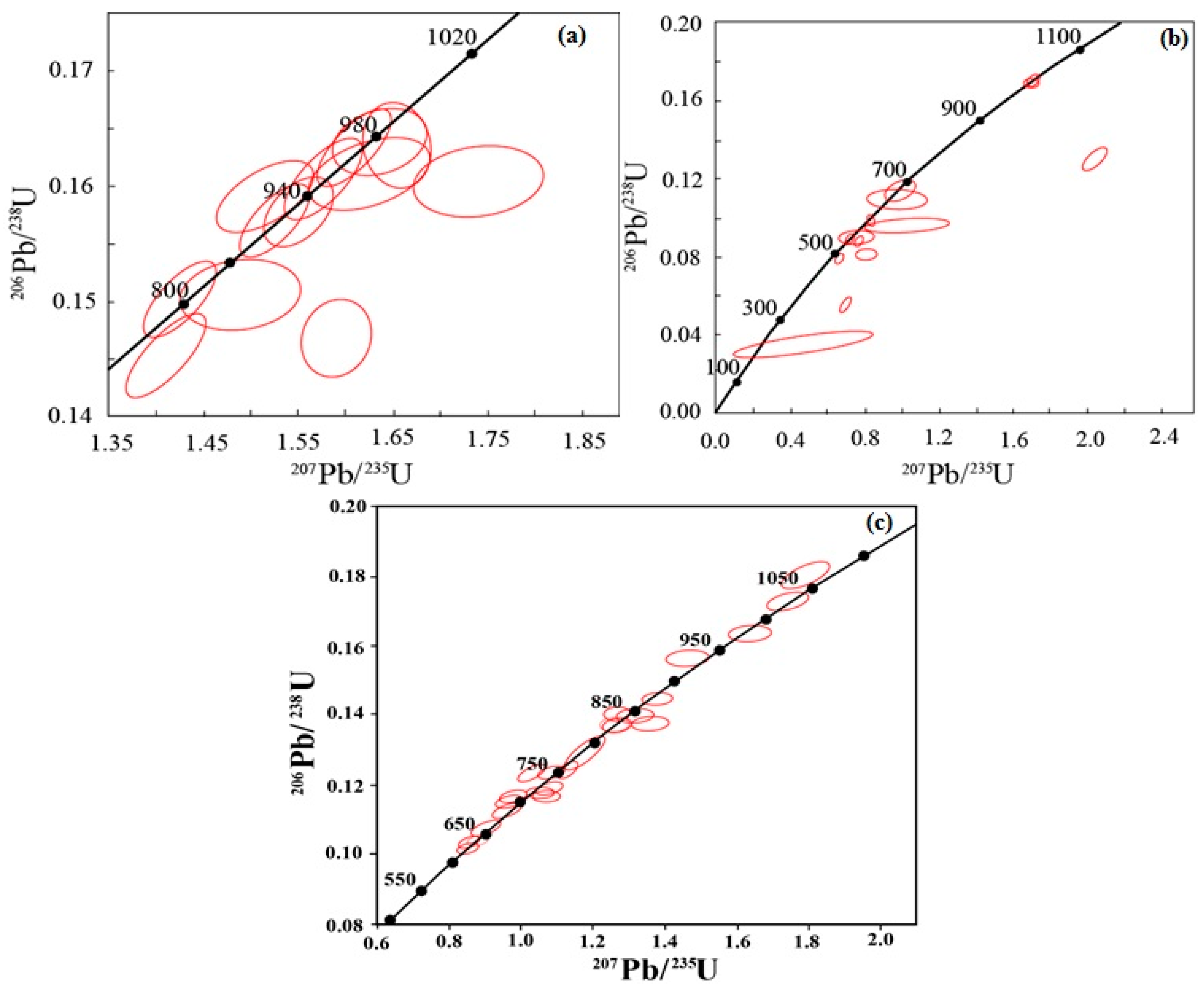
5. Results
5.1. Zircon Grain Size, Morphology, and Internal Texture for Araru Gneisses and Mbiofong Migmatite
5.1.1. Zircon Crystals from Black to Whitish Gneiss
5.1.2. Zircon Crystals from Whitish-Grey Gneiss
5.1.3. Zircon Crystals from Mboifong Migmatite
5.2. Zircon U-Th-Pb and U-Pb Age for Araru Gneisses and Mbiofong Migmatite
5.2.1. Zircon Crystals from Black to Whitish Gneiss
5.2.2. Zircon Crystals from Whitish-Grey Gneiss
5.2.3. Zircon Crystals from Mboifong Migmatite
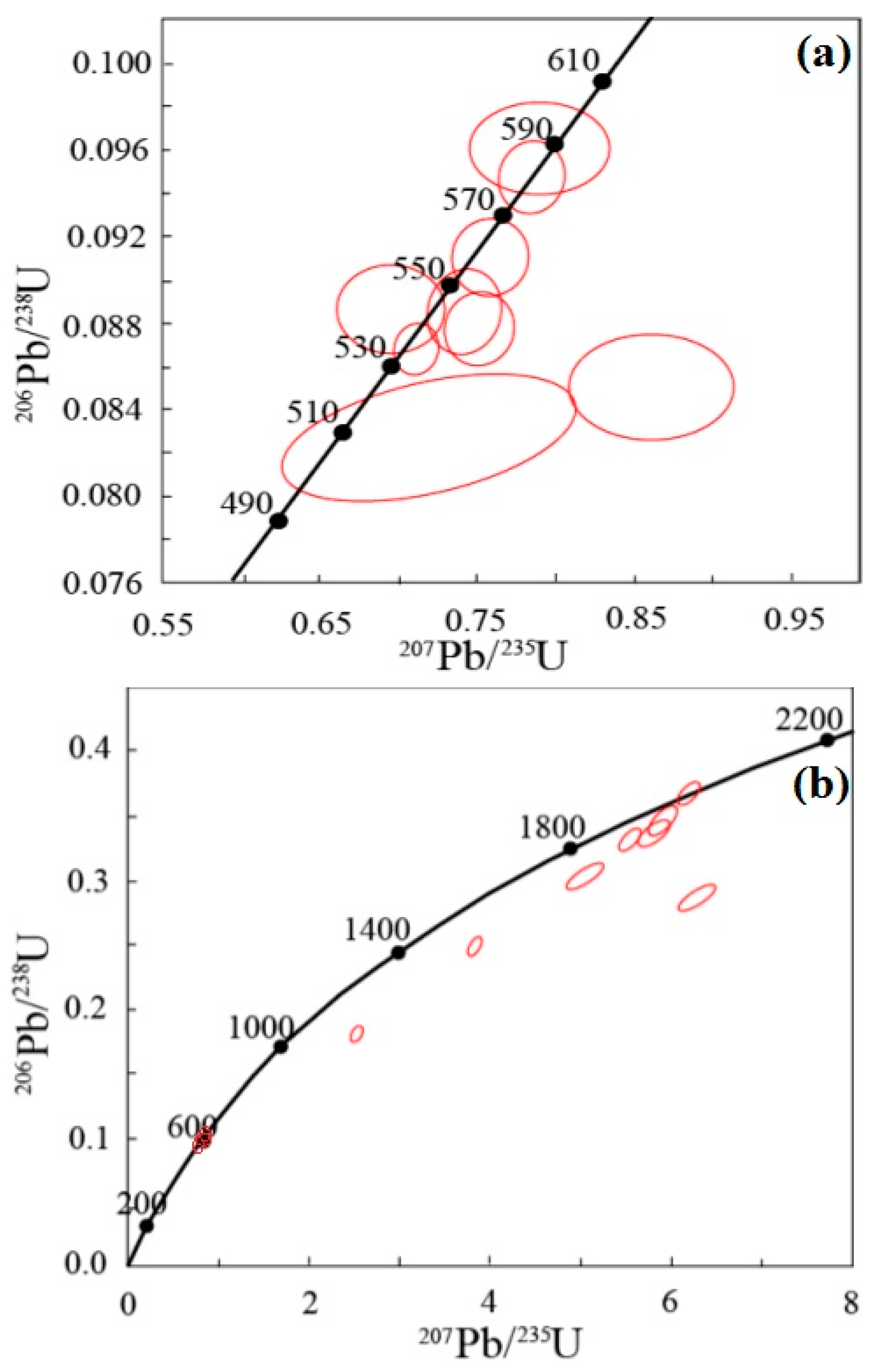
5.3. U-Pb Zircon Age for Otu Granitic Pegmatite
5.4. U-Pb Zircon Age for Babi Mica Schist
5.5. U-Pb Zircon Ages for Nkogho I-Type Anatectic Granite
6. Discussion
6.1. Characteristics and Crystallization History of the Zircons from the Araru Gneisses and Mboifong Migmatite
6.1.1. Zircon Crystals from Black to Whitish Gneiss
6.1.2. Zircon Crystals from Whitish-Grey Gneiss
6.1.3. Zircon Crystals from Mboifong Migmatite
6.2. Host Rocks Formation History and Registered Post-Emplacement Events with Local Correlations
6.2.1. Araru Black to Whitish Gneiss
6.2.2. Whitish-Grey Gneiss
6.2.3. Mboifong Migmatite
6.3. Regional Approach with the Cameroon Mobile Belt, SE of Nigeria and NE of Brazil
6.3.1. Rocks of the Cameroon Mobile Belt
6.3.2. Links with Rocks in the SE Nigeria
6.3.3. Links with Rocks in NE Brazil and Pre-Separation of the South American and African Plates
7. Conclusions
Author Contributions
Funding
Acknowledgments
Conflicts of Interest
References
- Paquette, L.J.; Menot, P.R.; Pin, C.; Orsini, B.J. Episodic and short-lived granitic pulses in a post-collisional setting: Evidence from precise U–Pb zircon dating through a crustal cross-section in Corsica. Chem. Geol. 2003, 198, 1–20. [Google Scholar] [CrossRef]
- Aguilar, C.; Liesa, M.; Castiñeiras, P.; Navida, M. Pb age zircon dating-Pyrenees revealed by U-Pb Late Variscan metamorphic and magmatic evolution in the eastern. J. Geol. Soc. 2013, 171, 181–192. [Google Scholar] [CrossRef] [Green Version]
- Kröner, A.; Wan, Y.; Liu, X.; Liu, D. Dating of zircon from high-grade rocks: Which is the most reliable method? Geosci. Front. 2014, 5, 515–523. [Google Scholar] [CrossRef] [Green Version]
- Dawaï, D.; Bouchez, J.L.; Paquette, J.L.; Tchameni, R. The Pan-Afrcan quartz-syenite of Guider (North-Cameroon): Magnetic fabric and U-Pb dating of a late-orogenic emplacement. Precambrian Res. 2013, 236, 132–144. [Google Scholar] [CrossRef]
- Kanouo, S.N.; Njonfang, E.; Kouské, P.A.; Yongue, F.R.; Ngueutchoua, G. U-Pb zircon age: Preliminary data evaluating the Earth history recorded by two basement rocks (granitic pegmatite and mica-schist) in Mamfe Basin (SW Cameroon, Central Africa). J. Geol. Geophys. 2017, 6, 1–9. [Google Scholar] [CrossRef]
- Kanouo, S.N.; Kouské, P.A.; Lentz, R.D.; She, Z.; Yongue, F.R. New insights into Neoproterozoic-Cretaceous events in the Mamfe Basin (SW Cameroon, Central Africa): Evidence from textural analyses, U-Th composition, and U-Pb zircon geochronology from granitic basement. J. Earth Sci. 2021. Accepted proof. [Google Scholar]
- Takashi, Y.; Kozue, I.; Shuhei, S.; Yokohama, T.; Itoh, D.; Ogita, Y.; Yagi, K.; Ohno, T. Simultaneous determination of zircon U-Pb age and titanium concentration using LA-ICP-MS for crystallization age and temperature. Lithos 2020, 372–373, 105682. [Google Scholar]
- Larson, A.S.; Berglund, J.A. Chronological subdivision of the Transscandinavian Igneous Belt—Three magmatic episodes? Geol. Föreningen i Stockh. Förhandlingar 1992. [Google Scholar] [CrossRef]
- Rubatto, D.; Gebauer, D.; Compagnoni, R. Dating of eclogite-facies zircons: The age of Alpine metamorphism in the Sesia-Lanzo Zone (Western Alps). Earth Planet. Sci. Lett. 1999, 167, 141–158. [Google Scholar] [CrossRef]
- Rubatto, D.; Williams, I.S.; Buick, I.S. Zircon and monazite response to prograde metamorphism in the Reynolds Range, Central Australia. Contrib. Min. Petrol. 2001, 140, 458–468. [Google Scholar] [CrossRef]
- Rubatto, D. Zircon trace element geochemistry: Partitioning with garnet and link between U-Pb ages and metamorphism. Chem. Geol. 2002, 184, 123–138. [Google Scholar] [CrossRef]
- Rubatto, D. Zircon: The metamorphic mineral. Rev. Miner. Geochem. 2017, 83, 10–34. [Google Scholar]
- Rubatto, D.; Hermann, J. Experimental zircon/melt and zircon/garnet trace element partitioning and implications for the geochronology of crustal rocks. Chem. Geol. 2007, 241, 62–87. [Google Scholar] [CrossRef]
- Xiao, L.L.; Chen, H.M. Metamorphic Age Comparison and Its Implications between the Zuoquan and Zanhuang Complexes in the Central North China Craton, Based on LA-ICP-MS Zircon U–Pb Dating. Minerals 2019, 9, 780. [Google Scholar] [CrossRef] [Green Version]
- Pelleter, E.; Cheilletz, A.; Gasquet, D.; Mouttaqi, A.; Annich, M.; El Hakour, A.; Deloule, E.; Féraud, G. Hydrothermal zircons: A tool for ion microprobe U–Pb dating of gold mineralization (Tamlalt–Menhouhou gold deposit Morocco). Chem. Geol. 2007, 245, 135–161. [Google Scholar] [CrossRef]
- Bao, Z.; Sun, W.; Li, C.; Zhao, Z. U-Pb dating of hydrothermal zircon from the Dongping gold deposit in North China: Constraints on the mineralization processes. Ore Geol. Rev. 2014, 61, 107–119. [Google Scholar] [CrossRef]
- Deng, X.D.; Li, J.W.; Wen, G. U-Pb geochronology of hydrothermal zircons from the Early Cretaceous iron skarn deposits in the Handan-Xingtai District, North China Craton. Econ. Geol. 2015, 110, 2159–2180. [Google Scholar] [CrossRef]
- Jiang, C.W.; Li, H.; Turner, S.; Zhu, D.P.; Wang, C. Timing and origin of multi-stage magmatism and related W–Mo–Pb–Zn–Fe–Cu mineralization in the Huangshaping deposit, South China: An integrated zircon study. Chem. Geol. 2020, 552, 119782. [Google Scholar] [CrossRef]
- Hoskin, P.W.O.; Schaltegger, U. The composition of zircon and igneous and metamorphic petrogenesis. In Reviews in Mineralogy and Geochemistry; Mineralogical Society of America: Washington, DC, USA, 2003; Volume 53, pp. 27–55. [Google Scholar]
- Xia, X.; Sun, M.; Zhao, G.; Luo, Y. LA-ICP-MS U-Pb geochronology of detrital zircons from the Jining Complex, North China Craton and its tectonic significance. Precambrian Res. 2006, 144, 199–212. [Google Scholar] [CrossRef] [Green Version]
- Kanouo, S.N.; Zaw, K.; Yongue, F.R.; Sutherland, L.F.; Meffre, S.; Njonfang, E.; Ma, C.; Tchouatcha, S.T. U-Pb zircon age constraining the source and provenance of gem-bearing Late Cenozoic detrital deposit, Mamfe Basin, SW Cameroon. Resour. Geol. 2012, 62, 316–324. [Google Scholar]
- Kanouo, S.N.; Yongue, F.R.; Ekomane, E.; Njonfang, E.; Ma, C.; Lentz, D.R.; She, Z.; Zaw, K.; Venkatesh, A.S. U-Pb ages for zircon grains from Nsanaragati Alluvial Gem Placers: Its correlation to the source rocks. Resour. Geol. 2015, 65, 103–121. [Google Scholar] [CrossRef]
- Kanouo, S.N.; Ngueutchoua, G.; Kouske, P.A.; Yongue, F.R.; Venkatesh, A.S. Trace element and U-Pb core age for zircons from western Meiganga gold placer, Cameroon: Their genesis and Archean-Proterozoic sources. Minerals 2018, 8, 194. [Google Scholar] [CrossRef] [Green Version]
- Kanouo, S.N.; Kouské, P.A.; Ngueutchoua, G.; Venkatesh, A.S.; Sahoo, R.P.; Basua, A.A.E. Eoarchean to Neoproterozoic detrital zircons from the south of Meiganga gold-bearing sediments (Adamawa, Cameroon): Their closeness with rocks of the PanAfrican Cameroon Mobile Belt and Congo Craton. Minerals 2021, 11, 77. [Google Scholar] [CrossRef]
- Caxito, F.A.; Dantas, E.L.; Stevenson, R.; Uhlein, A. Detrital zircon (U–Pb) and Sm-Nd isotope studies of the provenance and tectonic setting of basins to collisional orogens: The case of the Rio Preto fold belt on the northwest SãoFrancisco Craton margin, NE Brazil. Gondwana Res. 2014, 26, 741–754. [Google Scholar] [CrossRef]
- Cao, L.; Jiang, T.; Wang, Z.; Zhang, Y.; Sun, H. Provenance of Upper Miocene sediments in the Yinggehai and Qiongdongnan basins, northwestern South China Sea: Evidence from REE, heavy minerals and zircon U-Pb ages. Mar. Geol. 2015, 361, 136–146. [Google Scholar] [CrossRef]
- Mbih, P.K.; Meffre, S.; Yongue, F.R.; Kanouo, S.N.; Jay, T. Chemistry and origin of the Mayo Kila sapphires, NW region Cameroon (Central Africa): Their possible relationship with the Cameroon volcanic line. J. Afr. Earth Sci. 2016, 118, 263–273. [Google Scholar] [CrossRef]
- Andersen, T.; Kristoffersen, M.; Elburg, A.M. How far can we trust provenance and crustal evolution information from detrital zircons? A South African case study. Gondwana Res. 2016, 34, 129–148. [Google Scholar] [CrossRef]
- Neves, P.S. Comparative geological evolution of the Borborema Province and Sao Francisco Craton (eastern Brazil): Decratonization and crustal reworking during West Gondwana assembly and implications for paleogeographic reconstructions. Precambrian Res. 2021, 355, 106116. [Google Scholar]
- Schaltegger, U.; Fanning, M.C.; Gunther, D.; Maurin, C.J.; Schulmann, K.; Gauber, D. Growth, annealing and recrystallization of zircon and preservation of monazite in high-grade metamorphism: Conventional and in-situ U-Pb isotope, cathodoluminescence and microchemical evidence. Contrib. Miner. Petrol. 1999, 134, 186–201. [Google Scholar] [CrossRef]
- Corfu, F.; Hanchar, J.M.; Hoskin, P.W.O.; Kinny, P. Atlas of zircon texture. In Reviews in Mineralogy and Geochemistry; Mineralogical Society of America: Washington, DC, USA, 2003; Volume 53, pp. 469–500. [Google Scholar]
- Yakymchuk, C.; Kirkland, L.C.; Clark, C. Th/U ratios in metamorphic zircon. J. Metamor. Geol. 2018, 36, 715–737. [Google Scholar]
- Yakymchuk, C.; Brown, M. Divergent behaviour of Th and U during anatexis: Implications for the thermal evolution of orogenic crust. J. Metamor. Geol. 2019, 37, 899–916. [Google Scholar] [CrossRef]
- Belousova, A.E.; Griffin, L.W.; O’Reilly, Y.S.; Fisher, I.N. Igneous zircon: Trace element composition as an indicator of source rock type. J. Miner. Petrol. 2002, 143, 602–622. [Google Scholar] [CrossRef]
- Kirkland, C.L.; Smithies, R.H.; Taylor, R.J.M.; Evans, N.; McDonald, B. Zircon Th/U ratios in magmatic environs. Lithos 2015, 212–215, 397–414. [Google Scholar] [CrossRef]
- Wilson, D. Notes on the Geology of the Mamfe Division, Cameroon SW Province; Occasional Papers; Geologic Survey of Nigeria: Abuja, Nigeria, 1928. [Google Scholar]
- Dumort, J.C. Carte Géologique de Reconnaissance du Cameroun à L’échelle 1/500000 Feuille Douala-Ouest, Avec Notice Explicative; Imprimerie Nationale: Yaoundé, Cameroon, 1968; p. 69. [Google Scholar]
- Kanouo, S.N. Geology of the Western Mamfe Corundum Deposits, SW Region Cameroon: Petrography, Geochemistry, Geochronology, Genesis, and Origin. Ph.D. Thesis, University Yaoundé I, Yaoundé, Cameroon, 2014. [Google Scholar]
- Kröner, A.; Stern, J.R. Pan-African Orogeny North African Phanerozoic rift valley. Encycl. Geol. 2005, 1, 1–12. [Google Scholar]
- Kwékam, M.; Liégeois, J.P.; Njonfang, E.; Affaton, P.; Hartmann, G.; Tchoua, F. Nature, origin, and significance of the Fomopéa Pan-African highK calc-alkaline plutonic complex in the Central African fold belt (Cameroon). J. Afr. Earth Sci. 2010, 54, 79–95. [Google Scholar] [CrossRef]
- Lerouge, C.; Cocherie, A.; Toteu, F.S.; Penaye, J.; Mile, P.J.; Tchameni, R.; Nsifa, N.E.; Fanning, M.C.; Deloule, E. Shrimp U-Pb zircon age evidence for Paleoproterozoic sedimentation and 2.05 Ga syntectonic plutonism in the Nyong Group, South-Western Cameroon: Consequences for the Eburnean-Transamazonian belt of NE Brazil and Central Africa. J. Afr. Earth Sci. 2006, 44, 412–427. [Google Scholar] [CrossRef]
- Neves, S.P.; Bruguier, O.; Vauchez, A.; Bosch, D.; Da Silva, R.M.J.; Mariano, G. Timing of crust formation, deposition of supracrustal sequences, and Transamazonian and Brasiliano metamorphism in the East Pernambuco belt (Borborema Province, NE Brazil): Implications for western Gondwana assembly. Precambrian Res. 2006, 149, 197–216. [Google Scholar] [CrossRef]
- Okonkwo, T.C.; Ganev, Y.V. Geochemistry and geochronology of orthogneisses in Bode Saadu area, southwestern Nigeria and their implications for the Palaeoproterozoic evolution of the area. J. Afr. Earth Sci. 2015, 109, 131–142. [Google Scholar] [CrossRef]
- Toteu, S.F.; Penaye, J.; Poudjom-Djomani, Y. Geodynamic evolution of the Pan-African belt in central Africa with special reference to Cameroon. J. Afr. Earth Sci. 2004, 41, 73–85. [Google Scholar] [CrossRef]
- Abbelsalam, G.M.; Liégeois, P.J.; Stern, J.R. The Saharan Metacraton. J. Afr. Earth Sci. 2002, 34, 119–136. [Google Scholar] [CrossRef]
- Ngako, V.; Njonfang, E.; Affaton, P. Pan-African tectonics in northwestern Cameroon: Implication for the history of the western Gondwana. Gondwana Res. 2008, 14, 509–522. [Google Scholar] [CrossRef]
- Toteu, S.F.; Penaye, J.; Michard, A. New U-Pb and Sm-Nd data from North-Central Cameroon and its bearing on the pre-PanAfrican history of central Africa. Precambrian Res. 2001, 108, 45–73. [Google Scholar] [CrossRef]
- Bouyo, H.M.; Zhao, Y.; Penaye, J.; Zhang, H.S.; Njel, O.U. Neoproterozoic subduction-related metavolcanic and metasedimentary rocks from the Rey Bouba Greenstone Belt of north-central Cameroon in the Central African Fold Belt: New insights into a continental arc geodynamic setting. Precambrian Res. 2015, 261, 40–53. [Google Scholar] [CrossRef]
- Tchouankoué, P.J.; Tchaptchet, T.D.; Nyassa, M.L.; Njuinang, D.J.; Feudjou, M.C.; Tchato, F.C.; Ngambi, B.E.P.; Li, H.X. Evidence for a 2.06 Ga subduction at the western border of the Adamawa-Yade domain in Cameroon: Constraints from elemental geochemistry, zircon Hf isotopes and zircon U/Pb geochronology from Ititin metabasites. J. Afr. Earth Sci. 2020, 175, 104001. [Google Scholar] [CrossRef]
- Tchakounté, N.J.; Toteu, F.S.; Van Schmus, R.W.; Penaye, J.; Deloule, E.; Ondoua, M.J.; Houketchang, B.M.; Ganwa, A.A.; White, M.W. Evidence of ca 1.6 Ga detrital zircon in Bafia group (Cameroon): Implication for chronostratigraphy of the Pan-African Belt north of the Congo craton. Comptes Rendus Geosci. 2007, 339, 132–142. [Google Scholar] [CrossRef]
- Tchameni, R.; Sun, F.; Dawaï, D.; Danra, G.; Tékoum, L.; Nomo Negue, E.; Vanderhaeghe, O.; Nzolang, C.; Nguihdama Dagwaï, N. Zircon dating and mineralogy of the Mokong Pan African magmatic epidote bearing granite (North Cameroon). Int. J. Earth Sci. 2016, 105, 1811–1830. [Google Scholar] [CrossRef]
- Kwékam, M.; Talla, V.; Fozing, M.E.; Kouémo, J.T.; Dunkl, I.; Njonfang, E. The Pan-African high-K I-type granites from Batié Complex, West Cameroon: Age, origin, and tectonic implications. Front. Earth Sci. 2020, 8, 1–14. [Google Scholar] [CrossRef]
- Nzenti, J.P.; Barbey, P.; Macaudiere, J.; Soba, D. Origin and evolution of the Late Precambrian high-grade Yaoundé gneisses (Cameroon). Precambrian Res. 1988, 38, 91–109. [Google Scholar] [CrossRef]
- Njiosseu, T.L.E.; Nzenti, P.J.; Njanko, T.; Kapajika, B.; Nédélec, A. New U-Pb zircon ages from Tonga (Cameroon): Coexisting Eburnian-Transmazonian (2.1 Ga) and Pan-African (0.6 Ga) imprints. Comptes Rendus Geosci. 2005, 337, 551–562. [Google Scholar] [CrossRef]
- Fuh, C.G.; Nkoumbou, C.; Tchakounté, N.J.; Mukete, O.K.; Tchouankoué, P.J. Petrology, geochemistry, Ar-Ar isotopes of an arc related calk-alkaline pluton from Mamb (Pan-African Yaounde group, Cameroon): A testimony to the subduction of a hot oceanic crust. Lithos 2021, 384–385, 105973. [Google Scholar]
- Tagne-Kamga, G. Petrogenesis of the Neoproterozoic Ngondo igneous plutonic complex (Cameroon, west central Africa): A case of late collisional ferro-potassic magmatism. J. Afr. Earth Sci. 2003, 36, 149–171. [Google Scholar] [CrossRef]
- Kwékam, M.; Dunkl, I.; Fozing, M.E.; Hartmann, G.; Njanko, T.; Kouémo, J.T.; Njonfang, E. Syn-kinematic ferroan high-K I-type granites from Dschang in southwestern Cameroon: U-Pb age, geochemistry and implications for crustal growth in the late Pan-African orogeny. J. Geol. Soc. 2020, 502, 191–213. [Google Scholar] [CrossRef]
- Tetsopgang, S.; Suzuki, K.; Adachi, M. Preliminary CHIME dating of granites from Nkambe area, northwestern Cameroon. J. Earth Planet. Sci. Nagoya Univ. 1999, 46, 57–70. [Google Scholar]
- Tetsopgang, S.; Suzuki, K.; Njonfang, E. Petrology and CHIME geochronology of Pan-African high K and Sr/Y granitoids in the Nkambe area, Cameroon. Gondwana Res. 2008, 14, 686–699. [Google Scholar] [CrossRef]
- Ganade de Araújo, C.E.; Rubatto, D.; Hermann, J.; Cordani, G.U.; Caby, R.; Basei, A.S.M. Ediacaran 2500-km-long synchronous deep continental subduction in the West Gondwana Orogen. Nat. Commun. 2014, 5, 1–8. [Google Scholar] [CrossRef] [Green Version]
- Santos, E.J. Ensaio preliminar sobre terrenos e tectônica acrescionária na Província Borborema. In Congresso Brasileiro de Geologia; SBG Salvador: San Salvador, El Salvador, 1996; Volume 6, pp. 47–50. [Google Scholar]
- Dantas, E.L.; De Souza, Z.S.; Wernick, E.; Hackspacher, P.; Martin, H. Crustal growth in the 3.4–2.7 Ga São José de Campestre Massif, Borborema Province, NE Brazil. Precambrian Res. 2013, 227, 120156. [Google Scholar] [CrossRef]
- Ganade de Araújo, C.E.; Basei, M.; Grandjean, F.C.; Amstrong, R.; Brito, S.R. Contrasting Archaean (2.85–2.68 Ga) TTGs from the Tróia Massif (NE-Brazil) and their geodynamic implications for flat to steep subduction transition. Precambrian Res. 2017, 297, 1–18. [Google Scholar] [CrossRef]
- Pitarello, M.Z.; dos Santos, T.J.; Ancelmi, M.F. Syn-to post-depositional processes related to high grade metamorphic BIFs: Geochemical and geochronological evidences from a Paleo to Neoarchean (3.5–2.6 Ga) terrane in NE Brazil. J. S. Am. Earth Sci. 2019, 96, 102312. [Google Scholar] [CrossRef]
- Caxito, A.F.; Santos, L.M.C.L.; Ganade, E.C.; Bendaoud, A.; Bouyo, H.M. Toward an integrated model of geological evolution for NE Brazil–NW Africa: The Borborema Province and its connections to the Trans-Saharan (Benino-Nigerian and Tuareg shields) and Central African orogens. Braz. J. Geol. 2020, 50, e20190122. [Google Scholar] [CrossRef]
- Santos, F.G.; Neto, C.O.T.M.; Ferreira, V.P.; Bertotti, L.A. Eo to Paleoarchean metamafic-ultramafic rocks from the central portion of the Rio Grande do Norte Domain, Borborema Province, northeast Brazil: The oldest South American platform rock. J. S. Am. Earth Sci. 2020, 97, 102410. [Google Scholar] [CrossRef]
- Sá, J.M.; McReath, I.; Leterrier, J. Petrology, geochemistry and geodynamic setting of Proterozoic igneous suites of the Orós fold belt (Borborema Province, Northeast Brazil). J. S. Am. Earth Sci. 1995, 8, 299–314. [Google Scholar] [CrossRef]
- Sá, J.M.; Bertrand, J.M.; Leterrier, J.; Macedo, F.H.M. Geochemistry and geochronology of pre-Brasiliano rocks from the Transversal Zone, Borborema Province, Brazil. J. S. Am. Earth Sci. 2002, 14, 851–866. [Google Scholar] [CrossRef]
- Lages, G.A.; Santos, L.C.M.L.; Brasilino, R.G.; Rodrigues, B.J.; Dantas, L.E. Statherian-Calymmian (ca. 1.6 Ga) magmatism in the Alto Moxotó Terrane, Borborema Province, northeast Brazil: Implications for withinplateand coeval collisional tectonics in West Gondwana. J. S. Am. Earth Sci. 2019, 91, 116–130. [Google Scholar] [CrossRef]
- Oliveira, E.P.; Windley, B.F.; Araújo, M.N.C. The Neoproterozoic Sergipano orogenic belt, NE Brazil: A complete plate tectonic cycle in western Gondwana. Precambrian Res. 2010, 181, 64–84. [Google Scholar] [CrossRef]
- Santos, E.J.; Van Schmus, W.R.; Kozuch, M.; Neves, B.B. The Cariris Velhos tectonic event in northeast Brazil. J. S. Am. Earth Sci. 2010, 29, 61–76. [Google Scholar] [CrossRef]
- Caxito, F.A.; Uhlein, A.; Dantas, E.L. The Afeição augen-gneiss Suite and the record of the Cariris Velhos Orogeny (1000–960 Ma) within the Riacho do Pontal fold belt, NE Brazil. J. S. Am. Earth Sci. 2014, 51, 12–27. [Google Scholar] [CrossRef]
- Caxito, A.F.; Basto, F.C.; Santos, L.M.C.L.; Dantas, L.E.; De Medeiros, C.V.; Dias, G.T.; Barrote, V.; Hagemann, S.; Alkmim, R.A.; Lana, C. Neoproterozoic magmatic arc volcanism in the Borborema Province, NE Brazil: Possible flare-ups and lulls and implications for western Gondwana assembly. Gondwana Res. 2020, 92, 1–25. [Google Scholar] [CrossRef]
- Salgado, S.S.; Ferreira Filho, C.F.; Caxito, F.A.; Dantas, E.L.; Stevenson, R. The Ni-Cu-PGE mineralized Brejo Seco maficultramafic layered intrusion, RPO: Onset of Tonian (ca. 900 Ma) continental rifting in Northeast Brazil. J. S. Am. Earth Sci. 2016, 70, 324339. [Google Scholar] [CrossRef]
- Caxito, F.A.; Uhlein, A.; Dantas, E.L.; Stevenson, R.; Salgado, S.S.; Dussin, A.I.; Sial, A.N. A complete Wilson Cycle recorded within the Riacho do Pontal Orogen, NE Brazil: Implications for the Neoproterozoic evolution of the Borborema Province at the heart of West Gondwana. Precambrian Res. 2016, 282, 97–120. [Google Scholar] [CrossRef]
- Neves, S.P.; Lages, G.A.; Brasilino, R.G.; Miranda, A.W.A. Paleoproterozoic accretionary and collisional processes and the build-up of the Borborema Province (NE Brazil): Geochronological and geochemical evidence from the Central Domain. J. S. Am. Earth Sci. 2015, 58, 165–187. [Google Scholar] [CrossRef] [Green Version]
- Bueno, J.F.; Oliveira, E.P.; McNaughton, N.; Laux, H.J. U-Pb dating of granites in the Neoproterozoic Sergipano Belt, NE-Brazil: Implications for the timing and duration of continental collision and extrusion tectonics in the Borborema Province. Gondwana Res. 2009, 15, 86–97. [Google Scholar] [CrossRef]
- Van Schmus, W.R.; Kozuch, M.; Neves, B.B. Precambrian history of the Zona Transversal of the Borborema Province, NE Brazil: Insights from Sm-Nd and U-Pb geochronology. J. S. Am. Earth Sci. 2011, 31, 227–252. [Google Scholar] [CrossRef]
- Neves, S.P.; Vauchez, A.; Archanjo, C.J. Shear-zone controlled magma emplacement or magma-assisted nucleation of shear zones? Insights from Northeast Brazil. Tectonophysics 1996, 262, 349–365. [Google Scholar] [CrossRef]
- Weinberg, R.; Sial, A.N.; Mariano, G. Close spatial relationship between plutons and shear zones. Geol. J. 2004, 32, 377–380. [Google Scholar] [CrossRef]
- Viegas, L.G.F.; Archanjo, C.J.; Hollanda, M.H.B.M.; Vauchez, A. Microfabrics and zircon U-Pb (SHRIMP) chronology of mylonites from the Patos shear zone (Borborema Province, NE Brazil). Precambrian Res. 2014, 243, 1–17. [Google Scholar] [CrossRef]
- Miranda, S.T.; Neves, P.S.; Celestino, L.A.M.; Roberts, W.M.N. Structural evolution of the Cruzeiro do Nordeste shear zone (NE Brazil): Brasiliano-Pan-African- ductile-to-brittle transition and Cretaceous brittle reactivation. J. Struct. Geol. 2020, 141, 104203. [Google Scholar] [CrossRef]
- Amaral, W.S.; Kraus, R.K.; Dantas, E.L.; Fuck, A.R.; Pitombeira, A.P.J. Sinistral reactivation of the Transbrasiliano Lineament: Structural and geochronological evidences in the Cariré Granulite Zone, Borborema Province—NE Brazil. J. S. Am. Earth Sci. 2017, 79, 409–420. [Google Scholar] [CrossRef]
- Haruna, V.I. Review of the basement geology and mineral belts of Nigeria. IOSR J. Appl. Geol. Geophys. 2017, 5, 37–45. [Google Scholar]
- Haruna, V.I.; Mamman, D.Y. A brief review of some metallogenetic features of uranium mineralisation in the Upper Benue Trough, N.E. Nigeria. Technol. Dev. J. 2005, 9, 1–8. [Google Scholar]
- McCurry, P. Pan-African orogeny in Northern Nigeria. Geol. Soc. Am. Bull. 1971, 82, 3251–3261. [Google Scholar] [CrossRef]
- Benkhelil, J. Cretaceous deformation, magmatism, and metamorphism in the Lower Benue Trough, Nigeria. Geol. J. 1987, 22, 467–493. [Google Scholar] [CrossRef]
- Maluski, H.; Coulon, C.; Popoff, M.; Baudin, P. 40Ar/39Ar chronology, petrology and geodynamic setting of Mesozoic to early Cenozoic magmatisim from the Benue Trough, Nigeria. J. Geol. Soc. 1995, 152, 311–326. [Google Scholar] [CrossRef]
- Ero, A.F.; Ekwueme, B.N. Mineralization of pegmatites in parts of the Oban Massif, Southeastern Nigeria: A preliminary analysis. Chin. J. Geochem. 2009, 28, 146–153. [Google Scholar] [CrossRef]
- Ekwueme, B.N.; Schlag, C. Composition of monazites in pegmatites and related rocks of Oban Massif, SE Nigeria: Implications of Economic mineral exploration. IGCP Newsl. Bull. 1989, 2, 15–20. [Google Scholar]
- Ekwueme, B.N. Structural orientations and Precambrian deformational episodes of Uwet area, Oban Massif, SE Nigeria. Precambrian Res. 1987, 34, 269–289. [Google Scholar] [CrossRef]
- Ekwueme, B.N.; Caen-Vachette, M.; Onyeagocha, A.C. Rb-Sr geochronology of metasedimentary schists and gneisses in Uwet area, Oban massif, southeastern Nigeria. J. Min. Geol. 1988, 23, 119–124. [Google Scholar]
- Njoh, O.A.; Nforsi, M.B.; Datcheu, J.N. Aptian-Late Cenomanian Fluvio-Lacustrine Lithofacies and Palynomorphs from Mamfe Basin, Southwest Cameroon, West Africa. Int. J. Geosci. 2015, 6, 795–811. [Google Scholar] [CrossRef] [Green Version]
- Ajonina, N.H. Evolution of Cretaceous Sediments in the Mamfe Basin, SW Cameroon: Depositional Environments, Palynostratigraphy, and Paleogeography. Ph.D. Thesis, University of Hamburg, Hamburg, Germany, 2016. [Google Scholar]
- Martin, E.J.; Menken, F.E.; Djomeni, A.; Fowe, G.P.; Ntamak-Nida, J.M. Dinosaur trackways from the early Late Cretaceous of 1 western Cameroon. J. Afr. Earth Sci. 2017, 134, 213–221. [Google Scholar] [CrossRef]
- Reyment, R.A. Stratigraphy of the Southern Cameroon. Geol. For. Handl. Board 1954, 76, 661–683. [Google Scholar] [CrossRef]
- Ajonina, H.N.; Ajibola, O.A.; Bassey, E.C. The Mamfé Basin, SE Nigeria and SW Cameroon: A review of the Basin filling model and tectonic evolution. J. Geosci. Soc. Cam. 2001, 1, 24–25. [Google Scholar]
- Benkhelil, J. The origin and evolution of the Cretaceous Benue Trough (Nigeria). J. Afr. Earth Sci. 1989, 8, 251–282. [Google Scholar] [CrossRef]
- Coulon, C.; Vidal, P.; Dupuy, C.; Baudin, P.; Popoff, M.; Maluski, H.; Hermitte, D. The Mesozoic to Early Cenozoic Magmatism of the Benue Trough (Nigeria); Geochemical Evidence for the Involvement of the St Helena Plume. J. Petrol. 1996, 37, 1341–1358. [Google Scholar] [CrossRef] [Green Version]
- Ofoegbu, O.C.; Harcourt, P. A model for the tectonic evolution of the Benue Trough of Nigeria. Geol. Rundsch. 1984, 73, 1007–1018. [Google Scholar] [CrossRef]
- Owona, S. Archean-Eburnean and Pan-African Features and Relationships in Their Junction Zone in the South of Yaoundé (Cameroon). Ph.D. Thesis, University Douala, Douala, Cameroon, 2008. [Google Scholar]
- Olade, M.A. Evolution of Nigeria’s Benue Trough (Aulacogen): A tectonic model. Geol. Mag. 1975, 112, 573–583. [Google Scholar] [CrossRef]
- Ajonina, H.; Ajibola, O.A.; Bassey, C.E. A review of the sedimentology and reservoir quality of sandstones of the Mamfe Formation exposed in parts of southeastern Nigeria and southwestern Cameroon, Abstract. In 16th Annual International Conference and Exhibition; Nigerian Association Petroleum Exploration: Marina Lagos, Nigeria, 1998; p. 52. [Google Scholar]
- Eseme, E.; Agyingi, M.C.; Foba-Tendo, J. Geochemistry and genesis of brine emanations from cretaceous strata of the Mamfe basin, Cameroon. J. Afr. Earth Sci. 2002, 35, 467–476. [Google Scholar] [CrossRef]
- Ndougsa-Mbarga, T.; Manguelle-Dicoum, E.; Campos-Enriquez, J.O.; Yene Atangana, Q. Gravity anomalies, subsurface structures and oil and gas migration in Mamfe Cameron-Nigeria sedimentary basin. Geofisica Int. 2007, 46, 129–139. [Google Scholar]
- Regnoult, J.M. Synthèse Géologique du Cameroun; Direction des Mines et de Géologie: Yaoundé, Cameroun, 1986; p. 119. [Google Scholar]
- Ajonina, H.N.; Bassey, C.E. Stratigraphy and depositional environments of the Mamfe Formation and its implication on the tectono-sedimentary evolution of the Ikom-Mamfe embayment. In 15th Annual International Conference and Exhibition Book of Abstracts and Programme; Nigerian Association of the Petroleum Exploration (NAPE): Marina Lagos, Nigeria, 1997; 39p. [Google Scholar]
- Eseme, E.; Littke, R.; Agyingi, M.C. Geochemical characterization of Cretaceous black shale from the Mamfe Basin, Cameroon. Petrol. Geosci. 2006, 12, 69–74. [Google Scholar] [CrossRef]
- Eyong, T.J. Lithostratigraphy of the Mamfe Cretaceous Basin. South West Province of Cameroon-West Africa. Ph.D. Thesis, University of Leeds, Leeds, UK, 2003. [Google Scholar]
- Eyong, T.J.; Wignall, P.; Fantong, Y.W.; Best, J.; Hell, J.V. Paragenetic sequences of carbonate and sulphide minerals of the Mamfe Basin (Cameroon): Indicators of palaeo-fluids, palaeo-oxygene levels and diagenetic zones. J. Afr. Earth Sci. 2013, 86, 25–44. [Google Scholar] [CrossRef]
- Eyong, T.J.; Ngueutchoua, G.; Bessong, M.; Hell, J.V.; Bokanda, E.E.; Wignall, P.; Best, J. Sedimentologic and palaeoenvironmental evolution of the Mamfe Cretaceous Basin (SW Cameroon): Evidence from lithofacies analysis, tectonics and evaporite minerals suite. J. Afr. Earth Sci. 2019, 149, 19–41. [Google Scholar] [CrossRef]
- Bokanda, E.E.; Philip, F.; Ekomane, E.; Njilah, I.K.; Bisse, S.B.; Akono, D.F.; Bessa, E.Z.A. Geochemical characteristics of shales in the Mamfe Basin, South West Cameroon: Implication for depositional environments and oxidation conditions. J. Afr. Earth Sci. 2018, 149, 131–142. [Google Scholar] [CrossRef]
- Bokanda, E.E.; Ekomane, E.; Kenfack, N.G.R.; Njilah, I.K.; Ashukem, E.; Tematio, P.; Bisse, S.B.; Ngueutchoua, G.; Orock, N.S.; Belinga, B.C. Provenance, paleoclimate and diagenetic signatures of sandstones in the Mamfe Basin (West Africa). Heliyon 2018, 5, e01140. [Google Scholar] [CrossRef] [Green Version]
- Bokanda, E.E.; Ekomane, E.; Njilah, I.K.; Philip, F.; Bisse, S.B.; Ntoboh, C.T. Inorganic geochemistry and petroleum source evaluation of organic black shale in the Mamfe Basin (West Africa). Solid Earth Sci. 2019, 4, 166–177. [Google Scholar]
- Ngueutchoua, G.; Eyong, T.J.; Bessa, E.Z.A.; Agheenwi, A.B.Z.; Maschouer, A.E.; Kemteu, S.C.; Dzoti, L.Y.; Hamadou, T.; Baboule, O.M.B.; Nguem, K.R.G. Provenance and depositional history of Mesozoic sediments from the Mamfe basin and Douala sub-basin (SW Cameroon) unraveled by geochemical analysis. J. Afr. Earth Sci. 2019, 158, 103550. [Google Scholar] [CrossRef]
- Njoh, O.A.; Njie, S.M. Hydrocarbon source rock potential of the lacustrine black shale unit, Mamfe Basin, Cameroon, West Africa. Earth Sci. Res. 2016, 6, 217–230. [Google Scholar]
- Kanouo, S.N.; Zaw, K.; Yongue, F.R.; Sutherland, L.F.; Meffre, S.; Njonfang, E.; Ma, C. Detrital mineral morphology and geochemistry: Methods to characterize and constrain the origin of the Nsanaragati blue sapphires, south-western region of Cameroon. J. Afr. Earth Sci. 2012, 70, 18–23. [Google Scholar] [CrossRef]
- Kanouo, S.N.; Ekomane, E.; Yongue, F.R.; Njonfang, E.; Zaw, K.; Ma, C.; Ghogomu, R.T.; Lentz, D.R.; Venkatesh, A.S. Trace elements in corundum, chrysoberyl, and zircon: Application to mineral exploration and provenance study of the western Mamfe gem clastic deposits (SW Cameroon, Central Africa). J. Afr. Earth Sci. 2016, 113, 35–50. [Google Scholar] [CrossRef]
- Kanouo, S.N.; Yongue, F.R.; Ghogomu, R.T.; Njonfang, E.; Yomeun, B.S.; Basua, A.A.E. Petro-geochemistry, Genesis and Economic Aspects of Mafic Volcanic Rocks in the West and Southern Part of the Mamfe Basin (SW Cameroon, Central Africa). J. Geol. Geophys. 2017, 6, 298. [Google Scholar] [CrossRef] [Green Version]
- Njonfang, E.; Moreau, C. The Mineralogy and geochemistry of a subvolcanic alkaline complex from the Cameroon line, the Nda Ali massif, South-West Cameroon. J. Afr. Earth Sci. 1996, 22, 113–132. [Google Scholar] [CrossRef]
- Mcfarlane, M.R.C.; Luo, Y. U-Pb Geochronology using 193 nm Excimer LA-ICP-MS optimized for in situ accessory mineral dating in thin sections. Geosci. Can. 2012, 39, 158–172. [Google Scholar]
- Halicz, L.; Erel, Y.; Vernon, A. Lead isotope ratio measurements by ICP-MS: Accuracy, precision, and longterm drift. At. Spectrosc. 1996, 7, 186–189. [Google Scholar]
- Ludwig, K.R. Isoplot 3.00: A Geochronological Toolkit for Microsoft Excel. Berkeley Geochronol. Cent. Spec. Publ. 2003, 4, 70. [Google Scholar]
- Belousova, E.A.; Griffin, W.L.; Suzanne, Y.O. Zircon crystal morphology, trace element signatures and Hf isotopic composition as tool for petrogenetic modeling: Examples. J. Petrol. 2006, 47, 329–353. [Google Scholar] [CrossRef] [Green Version]
- Nemchin, A.A.; Pidgeon, R.T. Evolution of the Darling Range batholith, Yilgarn Craton, Western Australia: A SHRIMP zircon study. J. Petrol. 1997, 38, 625–649. [Google Scholar] [CrossRef]
- Schaltegger, U.; Gebauer, D.; Von Quadt, A. The mafic-ultramafic rock association of Loderio-Biasca (lower Pennine nappes, Ticino, Switzerland): Cambrian oceanic magmatism and its bearing on early Paleozoic paleogeography. Chem. Geol. 2002, 186, 265–279. [Google Scholar] [CrossRef]
- Belousova, A.E.; Griffin, L.W.; Pearson, J.N. Trace element composition and cathodoluminesence properties of southern African kimberlitic zircons. Miner. Mag. 1998, 62, 355–366. [Google Scholar] [CrossRef]
- Heaman, L.M.; Bowins, R.; Crocket, J. The chemical composition of igneous zircon suites: Implications for geochemical tracer studies. Geochem. Cosmochem. Acta 1990, 54, 1597–1607. [Google Scholar] [CrossRef]
- Ahrens, L.H.; Cherry, R.D.; Erlank, A.J. Observations on the Th-U relationship in zircons from granitic rocks and from kimberlites. Geochim. Cosmochim. Acta 1967, 31, 2379–2387. [Google Scholar] [CrossRef]
- Hoskin, P.W.O.; Black, L.P. Metamorphic zircon formation by solid-state recrystallization of protolith igneous zircon. J. Metamor. Geol. 2000, 18, 423–439. [Google Scholar] [CrossRef]
- Kröner, A.; Rojas-Agramonte, Y.; Kehelpannala, K.V.W.; Zack, T.; Hegner, E.; Geng, Y.H.; Wong, J.; Barth, M. Age, Nd-Hf isotopes, and geochemistry of the Vijayan Complex of eastern and southern Sri Lanka: A Grenville-age magmatic arc of unknown derivation. Precambrian Res. 2013, 234, 288–321. [Google Scholar] [CrossRef]
- Dada, S.S. Crust forming ages and Proterozoic crustal evolution in Nigeria: A reappraisal of current interpretations. Precambrian Res. 1998, 87, 65–74. [Google Scholar] [CrossRef]
- Toteu, S.F.; Van Schmus, W.R.; Penaye, J.; Nyobé, J.B. U-Pb and Sm-Nd evidence for Eburnean and Pan-African high-grade metamorphism in cratonic rocks of southern Cameroon. Precambrian Res. 1994, 108, 45–73. [Google Scholar] [CrossRef]
- Penaye, J.; Toteu, S.F.; Van Schmus, W.R.; Nzenti, P.J. U-Pb and Sm-Nd preliminary geochronologic data on the Yaoundé series, Cameroon: Reinterpretation of the granulitic rocks as the suture of a collision in the ‘‘Centrafrican belt”. Comptes Rendus Acad. Sci. Paris 1993, 317, 789–794. [Google Scholar]
- Nzenti, J.P. Prograde and retrograde garnet zoning at high pressure and temperature in metapelitic and grenatite rocks from Yaounde (Cameroon Pan-African north-equatorial fold belt). J. Afr. Earth Sci. 1992, 15, 73–79. [Google Scholar] [CrossRef]
- Turner, C.D. Upper Proterozoic schist belts in the Nigerian sector of the Pan-African province of West Africa. Precambian Res. 1983, 21, 55–79. [Google Scholar] [CrossRef]
- Rahaman, A.M.S.; Ekwere, S.J.; Azamatullah, M.; Ukpong, E.E. Petrology and geochemistry of granitic intrusive rocks from the western part of Oban Massif, SE Nigeria. J. Afr. Earth Sci. 1988, 7, 147–159. [Google Scholar]
- Kröner, A.; Ekwueme, N.B.; Pidgeon, T.R. The oldest rocks in West Africa: SHRIMP zircon age for Early Archean migmatitic orthogneiss at Kaduna, Northern Nigeria. J. Geol. 2001, 109, 399–406. [Google Scholar] [CrossRef]
- Grant, K.N. Geochronology of Precambrian basement rocks from Ibadan, southwestern Nigeria. Earth Plant. Sci. Lett. 1970, 10, 29–38. [Google Scholar] [CrossRef]
- Kusky, T.M.; Abdelsalam, M.; Stern, R.J.; Tucker, R.; Stern, B. Evolution of the East African and related orogens, and the assembly of Gondwana. Precambrian Res. 2003, 123, 82–85. [Google Scholar] [CrossRef]










| Paleoproterozoic (2118 to 1617 Ma) | Early to Mid Neoproterozoic (920 to 630 Ma) | Late Neoproterozoic (620 to 575 Ma) | Late Ediacaran to Early Cambrian Ages (569 to 510 Ma) |
|---|---|---|---|
| (1) 2.1 Ga garnet amphibolites and tonalitic to trondhjemitic gneisses [49] (2) 2.06 Ga Ititin metabasite found in the western border of the Adamawa-Yade domain [49] (3) 1617 ± 16 Ma Bafia Group metasediments [50] | (1)~830 to 700 Ma intrusions and low-to high-grade schists and gneisses of Poli-Maroua Group [51] (2) 668 ± 11 Ma Mokong granite [51] (3) 645–630 Ma Rey Bouba Greenstone Belt [48] (4) 630 to 547 high-K I-type granites in Batié [52] | (1) 620 ± 10 Ma granulite in Yaoundé [53] (2) 618 magmatic rock of Tonga [54] (3) 601 to 586 Ma Mamb meta-gabbros and meta-hornblendites [55] (4) 600 Ma Ngondo granites [56] and Bafia monzodiorite [50] (5) 578 Ma Dschang high-K I-type biotite granite [57] (6) 563 Ma Dschang high-K I-type magnetite granite [57] | 569 ± 12 to 558 ± 24 Ma and 533 ± 12 to 510 ± 25 Ma for Nkambe granitoids [58,59] |
| Crystal and Spot Number | Analysis No. | Ages (Ma) | Atomic Ratios (%) | Concentrations (ppm) | |||||||||||||
|---|---|---|---|---|---|---|---|---|---|---|---|---|---|---|---|---|---|
| 206Pb/238U Prop_2SE | 207Pb/235U Prop_2SE | 206Pb/238U Prop_2SE | 207Pb/235U Prop_2SE | 207Pb/206Pb Prop_2SE | 208Pb/232Th Prop_2SE | U | Th | Pb | Th/U | ||||||||
| AR1-7-C | Output_1_19 | 959 | 14 | 958 | 12 | 0.1611 | 0.0024 | 1.62 | 0.052 | 0.0725 | 0.002 | 0.051 | 0.0018 | 77.2 | 72.3 | 35.4 | 0.9365 |
| AR1-6-C | Output_1_17 | 951.3 | 14 | 935 | 16 | 0.1604 | 0.0025 | 1.739 | 0.056 | 0.0783 | 0.0026 | 0.055 | 0.0023 | 42.62 | 41.7 | 22.6 | 0.9784 |
| AR1-5-C | Output_1_16 | 941.7 | 14 | 939 | 11 | 0.1577 | 0.0023 | 1.542 | 0.032 | 0.0705 | 0.0014 | 0.048 | 0.0015 | 83.2 | 114 | 50.8 | 1.3701 |
| AR1-4-C | Output_1_15 | 968.7 | 13 | 983 | 10 | 0.1627 | 0.0023 | 1.654 | 0.026 | 0.0741 | 0.0012 | 0.049 | 0.0014 | 101.7 | 151 | 73.2 | 1.4847 |
| AR1-3-C | Output_1_14 | 875.6 | 15 | 891 | 15 | 0.147 | 0.0024 | 1.588 | 0.026 | 0.078 | 0.0013 | 0.046 | 0.0014 | 130.6 | 189 | 81.1 | 1.4471 |
| AR1-2-C | Output_1_13 | 975.7 | 15 | 971 | 13 | 0.1638 | 0.0024 | 1.638 | 0.039 | 0.0721 | 0.0017 | 0.048 | 0.0016 | 59.6 | 60.9 | 27.3 | 1.0218 |
| AR1-1-C | Output_1_12 | 901.4 | 14 | 901 | 13 | 0.1505 | 0.0025 | 1.489 | 0.045 | 0.0711 | 0.002 | 0.047 | 0.0018 | 43.71 | 42.79 | 19.27 | 0.9789 |
| Crystal and Spot Number | Analysis No. | Ages (Ma) | Atomic Ratios (%) | Concentrations (ppm) | |||||||||||||
|---|---|---|---|---|---|---|---|---|---|---|---|---|---|---|---|---|---|
| 206Pb/238U Prop_2SE | 207Pb/235U Prop_2SE | 206Pb/238U Prop_2SE | 207Pb/235U Prop_2SE | 207Pb/206Pb Prop_2SE | 208Pb/232Th Prop_2SE | U | Th | Pb | Th/U | ||||||||
| AR2-7-R | Output_1_34 | 740 | 20 | 685 | 25 | 0.131 | 0.0032 | 2.033 | 0.051 | 0.114 | 0.0027 | 0.053 | 0.002 | 134.2 | 289.8 | 134.2 | 2.1594 |
| AR2-6-R | Output_1_32 | 498.2 | 9.6 | 515.3 | 7.8 | 0.082 | 0.0017 | 0.806 | 0.028 | 0.072 | 0.0016 | 0.108 | 0.024 | 3210 | 96.9 | 86.2 | 0.0302 |
| AR2-6-C | Output_1_33 | 544 | 8.7 | 571 | 6.3 | 0.088 | 0.0014 | 0.776 | 0.013 | 0.064 | 0.0007 | 0.14 | 0.024 | 2610 | 26.4 | 30.1 | 0.0101 |
| AR2-5-C | Output_1_29 | 999.8 | 14 | 996 | 11 | 0.168 | 0.0023 | 1.708 | 0.027 | 0.074 | 0.0012 | 0.053 | 0.002 | 152.2 | 138 | 64.6 | 0.9067 |
| AR2-5-R1 | Output_1_31 | 1006 | 14 | 1005 | 9.1 | 0.169 | 0.0024 | 1.681 | 0.028 | 0.072 | 0.0011 | 0.053 | 0.002 | 119.3 | 102.7 | 49 | 0.8608 |
| AR2-5-R2 | Output_1_30 | 670 | 20 | 674 | 19 | 0.11 | 0.0035 | 0.967 | 0.12 | 0.065 | 0.0066 | 0.04 | 0.49 | 8.78 | 0.0044 | 0.063 | 0.005 |
| AR2-4-R1 | Output_1_26 | 553.8 | 9.8 | 547 | 10 | 0.09 | 0.0016 | 0.752 | 0.075 | 0.061 | 0.0045 | 0.028 | 0.001 | 79.5 | 120.3 | 33.9 | 1.5132 |
| AR2-4-C | Output_1_28 | 579 | 9.5 | 573 | 13 | 0.097 | 0.0024 | 1.005 | 0.19 | 0.075 | 0.011 | 0.034 | 0.003 | 91.6 | 80.7 | 23.9 | 0.881 |
| AR2-3-R | Output_1_24 | 212.8 | 11 | 213.6 | 14 | 0.035 | 0.0039 | 0.463 | 0.29 | 0.095 | 0.012 | 0.46 | 0.4 | 1690 | 11.79 | 56 | 0.007 |
| AR2-3-C | Output_1_25 | 333.5 | 9.6 | 334.2 | 8.8 | 0.056 | 0.0016 | 0.688 | 0.018 | 0.09 | 0.002 | 0.362 | 0.021 | 315.5 | 3.84 | 13.37 | 0.0122 |
| AR2-2-C | Output_1_22 | 615.1 | 8.4 | 616.6 | 5.1 | 0.1 | 0.0014 | 0.836 | 0.008 | 0.061 | 0.001 | 0.034 | 0.007 | 728 | 18.05 | 5.98 | 0.0248 |
| AR2-2-R | Output_1_23 | 605.9 | 8.3 | 611.4 | 6.1 | 0.099 | 0.0014 | 0.833 | 0.013 | 0.062 | 0.001 | 0.05 | 0.005 | 296 | 6.1 | 2.92 | 0.0206 |
| AR2-1C | Output_1_20 | 611 | 7.6 | 617.3 | 3.4 | 0.099 | 0.0013 | 0.839 | 0.006 | 0.061 | 0.0005 | 0.033 | 0.002 | 843 | 22.9 | 7.08 | 0.0272 |
| AR2-1R | Output_1_21 | 606.8 | 7.6 | 609.1 | 4.6 | 0.099 | 0.0013 | 0.824 | 0.008 | 0.06 | 0.0005 | 0.031 | 0.002 | 890 | 25.42 | 7.44 | 0.0286 |
| Crystal and Spot Number | Analysis No. | Ages (Ma) | Atomic Ratios (%) | Concentrations (ppm) | |||||||||||||
|---|---|---|---|---|---|---|---|---|---|---|---|---|---|---|---|---|---|
| 206Pb/238U | Prop_2SE | 207Pb/235U | Prop_2SE | 206Pb/238U | Prop_2SE | 207Pb/235U | Prop_2SE | 207Pb/206Pb | Prop_2SE | 208Pb/232Th | Prop_2SE | U | Th | Pb | Th/U | ||
| MBFR-1 | Output_1_48 | 673.1 | 5.7 | 670.2 | 11 | 0.110 | 0.0010 | 0.935 | 0.022 | 0.062 | 0.0013 | 0.034 | 0.0008 | 246.2 | 132.4 | 40.8 | 0.538 |
| MBF1-C | Output_1_32 | 747.6 | 9.3 | 742.3 | 13 | 0.123 | 0.0016 | 1.079 | 0.026 | 0.064 | 0.0013 | 0.037 | 0.0007 | 227.9 | 225.1 | 80.5 | 0.988 |
| MBF1-R1 | Output_1_33 | 741.8 | 7.6 | 750 | 13 | 0.122 | 0.0013 | 1.091 | 0.026 | 0.065 | 0.0014 | 0.037 | 0.0008 | 168.4 | 143.6 | 52.5 | 0.853 |
| MBF1-R2 | Output_1_31 | 712 | 8.8 | 735 | 16 | 0.117 | 0.0015 | 1.061 | 0.032 | 0.067 | 0.0019 | 0.035 | 0.001 | 138.7 | 103 | 36.9 | 0.743 |
| MBF2-C | Output_1_35 | 975.9 | 8.5 | 982 | 17 | 0.164 | 0.0015 | 1.631 | 0.043 | 0.073 | 0.0017 | 0.048 | 0.0015 | 117.3 | 82 | 38.6 | 0.699 |
| MBF2-C-2 | Output_1_36 | 1029.7 | 9.3 | 1022.5 | 15 | 0.173 | 0.0017 | 1.741 | 0.041 | 0.073 | 0.0015 | 0.049 | 0.0011 | 137.3 | 88.9 | 41.6 | 0.647 |
| MBF2-R1 | Output_1_34 | 1068 | 15 | 1040 | 18 | 0.180 | 0.0028 | 1.787 | 0.049 | 0.072 | 0.0017 | 0.056 | 0.0015 | 130.4 | 69.5 | 38.8 | 0.533 |
| MBF3-C | Output_1_37 | 721.4 | 5.7 | 732.4 | 12 | 0.118 | 0.0010 | 1.062 | 0.026 | 0.065 | 0.0014 | 0.037 | 0.0008 | 333 | 132.8 | 46.7 | 0.399 |
| MBF3-R1 | Output_1_39 | 718.9 | 7.9 | 724.6 | 12 | 0.118 | 0.0014 | 1.039 | 0.024 | 0.0641 | 0.0013 | 0.036 | 0.0008 | 385 | 172 | 61.3 | 0.447 |
| MBF3-R2 | Output_1_38 | 722.7 | 7.3 | 737.6 | 13 | 0.119 | 0.0013 | 1.074 | 0.029 | 0.066 | 0.0015 | 0.037 | 0.0012 | 394 | 173 | 59.1 | 0.439 |
| MBF4-C | Output_1_41 | 686.4 | 9.4 | 680 | 15 | 0.112 | 0.0016 | 0.946 | 0.029 | 0.061 | 0.0016 | 0.034 | 0.0012 | 106.4 | 86.7 | 25.8 | 0.815 |
| MBF4-R2 | Output_1_40 | 701.1 | 5.6 | 683.3 | 12 | 0.115 | 0.0010 | 0.96 | 0.023 | 0.061 | 0.0013 | 0.032 | 0.0006 | 365 | 229 | 68 | 0.627 |
| MBF4R1 | Output_1_43 | 636 | 8.1 | 629 | 14 | 0.104 | 0.0014 | 0.86 | 0.026 | 0.060 | 0.0016 | 0.030 | 0.0007 | 119.9 | 139.1 | 38.8 | 1.160 |
| MBF5-C | Output_1_44 | 748 | 13 | 716 | 15 | 0.123 | 0.0024 | 1.028 | 0.029 | 0.061 | 0.0011 | 0.035 | 0.0008 | 940 | 332 | 100.6 | 0.353 |
| MBF5R1 | Output_1_45 | 711 | 7.2 | 692.4 | 12 | 0.117 | 0.0012 | 0.976 | 0.023 | 0.062 | 0.0012 | 0.034 | 0.0008 | 235 | 143.3 | 45.9 | 0.610 |
| MBF5R2 | Output_1_46 | 654 | 15 | 642 | 14 | 0.107 | 0.0026 | 0.886 | 0.027 | 0.061 | 0.0012 | 0.047 | 0.0043 | 780 | 26.1 | 11.1 | 0.033 |
| MBF6-C | Output_1_47 | 659.5 | 4.3 | 656,5 | 11 | 0.108 | 0.0007 | 0.909 | 0.021 | 0.061 | 0.0012 | 0.033 | 0.0008 | 255 | 114.7 | 34.57 | 0.450 |
| MBF7-C | Output_1_49 | 632.1 | 10 | 625 | 12 | 0.103 | 0.0017 | 0.851 | 0.023 | 0.060 | 0.0013 | 0.049 | 0.0062 | 273.6 | 4.47 | 2.17 | 0.016 |
| MBF7-R1 | Output_1_51 | 685 | 12 | 677 | 18 | 0.112 | 0.002 | 0.955 | 0.035 | 0.061 | 0.0017 | 0.25 | 0.12 | 102.8 | 0.275 | 0.29 | 0.003 |
| MBF7-R2 | Output_1_50 | 843.8 | 10 | 842 | 21 | 0.140 | 0.0018 | 1.302 | 0.046 | 0.068 | 0.0021 | 0.040 | 0.0012 | 71.3 | 64.6 | 24.19 | 0.906 |
| MBF8-C | Output_1_52 | 672.5 | 5 | 661,3 | 10 | 0.110 | 0.0008 | 0.917 | 0.02 | 0.061 | 0.0012 | 0.032 | 0.0005 | 463 | 398 | 118.6 | 0.860 |
| MBF8-R1 | Output_1_53 | 661.4 | 4.6 | 660 | 11 | 0.108 | 0.0008 | 0.916 | 0.02 | 0.062 | 0.0012 | 0.032 | 0.0006 | 406 | 422 | 124.8 | 1.039 |
| MBF8-R2 | Output_1_54 | 623.5 | 5 | 624.6 | 9.7 | 0.102 | 0.0009 | 0.850 | 0.018 | 0.061 | 0.0011 | 0.031 | 0.0005 | 971 | 914 | 265.9 | 0.941 |
| MBF9-C | Output_1_55 | 871.7 | 6.3 | 877.4 | 14 | 0.145 | 0.0011 | 1.375 | 0.032 | 0.069 | 0.0014 | 0.044 | 0.0011 | 177.2 | 77.2 | 30.9 | 0.436 |
| MBF9-M | Output_1_56 | 936.7 | 9.9 | 915 | 16 | 0.156 | 0.0018 | 1.46 | 0.039 | 0.067 | 0.0018 | 0.048 | 0.0018 | 84.2 | 37.8 | 17.62 | 0.449 |
| MBF9-R | Output_1_57 | 781 | 23 | 787 | 20 | 0.129 | 0.004 | 1.17 | 0.043 | 0.066 | 0.0015 | 0.065 | 0.0085 | 225 | 27.2 | 13.37 | 0.121 |
| MBF10-C | Output_1_58 | 756.1 | 9.9 | 763.9 | 13 | 0.124 | 0.0017 | 1.124 | 0.027 | 0.066 | 0.0012 | 0.039 | 0.0007 | 652 | 274 | 95.6 | 0.420 |
| MBF10-R1 | Output_1_59 | 830.9 | 7.2 | 871 | 15 | 0.138 | 0.0013 | 1.359 | 0.035 | 0.072 | 0.0017 | 0.048 | 0.0012 | 255.8 | 124.6 | 54.8 | 0.487 |
| MBF10-R2 | Output_1_60 | 849.3 | 8.4 | 828.1 | 13 | 0.141 | 0.0015 | 1.263 | 0.03 | 0.066 | 0.0013 | 0.044 | 0.0009 | 322.8 | 252 | 103.1 | 0.781 |
| MBF11-C | Output_1_61 | 832.1 | 9.1 | 829.4 | 13 | 0.138 | 0.0017 | 1.263 | 0.03 | 0.067 | 0.0014 | 0.043 | 0.0009 | 241 | 151.2 | 60.3 | 0.627 |
| MBF11-R2 | Output_1_62 | 830.5 | 8.6 | 823.7 | 14 | 0.137 | 0.0015 | 1.252 | 0.031 | 0.066 | 0.0014 | 0.043 | 0.001 | 182.2 | 101 | 39.6 | 0.554 |
| MBF12-C | Output_1_63 | 667 | 6.7 | 663 | 14 | 0.109 | 0.0012 | 0.924 | 0.027 | 0.062 | 0.0016 | 0.034 | 0.0011 | 133.9 | 78.8 | 24.16 | 0.588 |
| MBF12-R | Output_1_64 | 637.4 | 5.5 | 639.4 | 11 | 0.104 | 0.0009 | 0.878 | 0.021 | 0.061 | 0.0013 | 0.032 | 0.0007 | 240 | 147.3 | 44.8 | 0.614 |
| Zircon U-Pb Ages for Araru Black to Whitish Gneiss | Zircon U-Pb Ages for Araru Whitish-Grey Gneiss | Mboifong Migmatite | Zircon U-Pb Ages for Nkogho I-Type Anatectic Granite [6] | Zircon U-Pb Ages for Babi Mica Schist [5] | Zircon U-Pb Ages for Otu Granitic Pegmatite [5] | Age of some PanAfrican Rocks, Cameroon | Corresponding Event in SE Nigeria | Corresponding Event in the Borborema Province, NE Brazil |
|---|---|---|---|---|---|---|---|---|
| Early Cretaceous (Aptian to Albian: ~108 to ~123 Ma) | Albian and Santonian tectono-magmatic- contact and regional metamorphism in the sedimentary rocks (e.g., [87,98] | |||||||
| Triassic (~214 Ma) | ||||||||
| Early Carboniferous (~334 Ma) | Early to Mid-Carboniferous (~308 to ~336 Ma) | |||||||
| Early to Late Devonian (~373 to ~404 Ma) | The 460 Ma felsic dykes cross-cut by faults parallel to the main trend of the Transbrasiliano shear zone [83] | |||||||
| Early to Late Ordovician (~449 to ~485 Ma) | ||||||||
| Cambrian (~485 to ~536 Ma) | ||||||||
| Late Ediacarian (~544 to ~554 Ma) | Late Ediacarian (~540 to ~570 Ma) | Late Ediacarian to Cambrian (~526 to ~544 Ma) | Late Ediacarian to Cambrian (~493 to ~562 Ma) | The 585 to 540 post-collisional evolution [46] | The 590 to 510 Ma extensive shear zoning and post-collisional granite intrusions [79,80,81] | |||
| Mid Ediacarian (~571 to ~573 Ma) | Mid Ediacarian (~571 to ~597 Ma) | Mid Ediacarian (~562 to ~589 Ma) | Mid Ediacarian (~574 to ~585 Ma) | The 640 to 580 Ma collision between the São Francisco–Congo and West African cratons and the Saharan metacraton with metamorphism and magmatism [45,46] | The PanAfrican tectonomagmatic-metamorphism(600 ± 150 Ma) [132] | The 620–590 Ma collisional phase of the Brasiliano orogeny with syn-collisional plutons [77,78,79] | ||
| Early Ediacarian (~605 to ~618 Ma) | Early Ediacarian (~623–~632 Ma) | Early Ediacarian (~602 to ~624 Ma) | Early Ediacarian (~615 to ~621 Ma) | |||||
| Mid to Late Cryogenian (~670 to ~740 Ma) | Mid to Late Cryogenian (637–787 Ma) | Mid to Late Cryogenian (~650 to ~789 Ma) | Mid Cryogenian (~639 to ~653 Ma) | The 820–650 Ma continental rift which followed the Early Tonian rifting and culminated with oceanic crust development [75] | ||||
| Early Cryogenian (~828–~849 Ma) | ||||||||
| Late Tonian (~875–~901 Ma) | Late Tonian (~871–~878 Ma) | The Kibarian tectono-magmatic-metamorphism (1100 ± 200 Ma) [133] | The Cariris Velhos orogeny with Early Tonian crustal rifting, magmatism and metamorphism (~1000–862 Ma) [61,74,77] | |||||
| Mid Tonian (~901–~951 Ma) | Mid Tonian (~915–~937 Ma) | |||||||
| Early Tonian (~951 to ~983 Ma) | Early Tonian (~996 to ~1006 Ma) | Early Tonian (975–982 Ma) | Early to Mid Tonian (~933 to ~989 Ma) | |||||
| Late Mesoproterozoic (~1006 Ma) | Late Mesoproterozoic (Stenian:~1022–~1068 Ma) | Late Mesoproterozoic (Stenian:~1050 Ma) | ||||||
| Early Mesoproterozoic to Late Paleoproterozoic (~1418 to ~1744 Ma) | Early Mesoproterozoic ages (~1.8 to 1.5 Ga) extensional (continental rift) settings and anorogenic magmatism [67,68,69] | |||||||
| Mid Paleoproterozoic (Orosirian: ~1810 to ~2019 Ma) | The Eburnean tectono-magmatic-metamorphism [133,134] | The Eburnean tectono-magmatic-metamorphism (2000 ± 200 Ma) [132] |
Publisher’s Note: MDPI stays neutral with regard to jurisdictional claims in published maps and institutional affiliations. |
© 2021 by the authors. Licensee MDPI, Basel, Switzerland. This article is an open access article distributed under the terms and conditions of the Creative Commons Attribution (CC BY) license (https://creativecommons.org/licenses/by/4.0/).
Share and Cite
Kanouo, N.S.; Lentz, D.R.; Zaw, K.; Makoundi, C.; Basua, E.A.A.; Yongué, R.F.; Njonfang, E. New Insights into Pre-to-Post Ediacaran Zircon Fingerprinting of the Mamfe PanAfrican Basement, SW Cameroon: A Possible Link with Rocks in SE Nigeria and the Borborema Province of NE Brazil. Minerals 2021, 11, 943. https://doi.org/10.3390/min11090943
Kanouo NS, Lentz DR, Zaw K, Makoundi C, Basua EAA, Yongué RF, Njonfang E. New Insights into Pre-to-Post Ediacaran Zircon Fingerprinting of the Mamfe PanAfrican Basement, SW Cameroon: A Possible Link with Rocks in SE Nigeria and the Borborema Province of NE Brazil. Minerals. 2021; 11(9):943. https://doi.org/10.3390/min11090943
Chicago/Turabian StyleKanouo, Nguo Sylvestre, David Richard Lentz, Khin Zaw, Charles Makoundi, Emmanuel Afanga Archelaus Basua, Rose Fouateu Yongué, and Emmanuel Njonfang. 2021. "New Insights into Pre-to-Post Ediacaran Zircon Fingerprinting of the Mamfe PanAfrican Basement, SW Cameroon: A Possible Link with Rocks in SE Nigeria and the Borborema Province of NE Brazil" Minerals 11, no. 9: 943. https://doi.org/10.3390/min11090943
APA StyleKanouo, N. S., Lentz, D. R., Zaw, K., Makoundi, C., Basua, E. A. A., Yongué, R. F., & Njonfang, E. (2021). New Insights into Pre-to-Post Ediacaran Zircon Fingerprinting of the Mamfe PanAfrican Basement, SW Cameroon: A Possible Link with Rocks in SE Nigeria and the Borborema Province of NE Brazil. Minerals, 11(9), 943. https://doi.org/10.3390/min11090943

