The Mechanisms Forming the Five–Floor Zonation of Quartz Veins: A Case Study in the Piaotang Tungsten–Tin Deposit, Southern China
Abstract
1. Introduction
2. Geological Setting of the Piaotang Deposit
3. Data and Analytical Methods
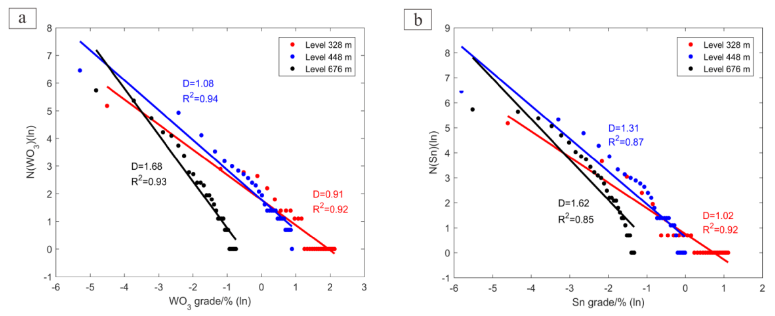
3.1. Power Law and Weibull Distributions of Vein Thickness and Ore Grade
3.2. SEM–CL Imaging and In Situ Trace Element Analysis of Quartz
4. Results
4.1. Vein Morphology in Piaotang
4.2. SEM–CL Imaging
4.3. In Situ Trace Element of Quartz
5. Discussion
5.1. Meso–Scale Morphological Zonation of Quartz Veins in Piaotang
5.2. Micro–Scale Textures of Quartz Veins
5.3. The Mechanisms Forming the Morphological Zonation of Quartz Veins in Piaotang
6. Conclusions
Author Contributions
Funding
Data Availability Statement
Acknowledgments
Conflicts of Interest
Appendix A
References
- Mao, J.W.; Ouyang, H.; Song, S.W.; Santosh, M. Geology and metallogeny of tungsten and tin deposits in China. Rev. Econ. Geol. 2019, 22, 411–482. [Google Scholar]
- Zhou, X.M.; Sun, T.; Shen, W.Z.; Shu, L.S.; Niu, Y.L. Petrogenesis of Mesozoic granitoids and volcanic rocks in south China: A response to tectonic evolution. Episodes 2006, 29, 26–33. [Google Scholar] [CrossRef] [PubMed]
- Mao, J.W.; Cheng, Y.B.; Chen, M.H.; Pirajno, F. Major types and time-space distribution of mesozoic ore deposits in south China and their geodynamic settings. Miner. Depos. 2013, 48, 267–294. [Google Scholar] [CrossRef]
- Gu, J.Y. Morphological zonation of tungsten deposits in south China. In Proceedings of Symposium on Tungsten Geology (Chinese Edition); Geological Publishing House: Nanchang, China, 1984; pp. 35–45. (In Chinese) [Google Scholar]
- Liu, Y.J.; Ma, D.S. Vein-type tungsten deposits of China and adjoining regions. Ore Geol. Rev. 1993, 8, 233–246. [Google Scholar]
- Li, Y.D. Poly-type model for tungsten deposits and vertical structural zoning model for vein-type tungsten deposits in south China. In Mineral Deposit Modeling; Kirkham, R.V., Sinclair, W.D., Thorpe, R.I., Duke, J.M., Eds.; Geological Association of Canada: St. John’s, NL, Canada, 1993; Volume 40, pp. 555–568. [Google Scholar]
- Clarke, M.C.G. Current Chinese thinking on the south China tungsten province. Trans. Inst. Min. Metall. Sect. B 1983, 92, 10–15. [Google Scholar]
- Li, W.S.; Ni, P.; Pan, J.Y.; Wang, G.G.; Chen, L.L.; Yang, Y.L.; Ding, J.Y. Fluid inclusion characteristics as an indicator for tungsten mineralization in the Mesozoic Yaogangxian tungsten deposit, central Nanling district, South China. J. Geochem. Explor. 2018, 192, 1–17. [Google Scholar] [CrossRef]
- Wang, J.C.; Wei, L.M.; Zhu, W.F.; Wan, F.L.; Mo, Z.M. Texture and tectonic style of five storeyed type for the tungsten deposits in the Nanling mountains, southern China. Acta Geol. Sin. 2008, 82, 894–899, (In Chinese with English Abstract). [Google Scholar]
- Li, J.M.; Li, Y.M.; Lou, F.S.; Hu, Z.H.; Zhong, Q.H.; Xie, M.M.; Tang, F.L.; Sha, M. A five-storey style quartz vein wolframite deposit in northern Jiangxi province: The discovery of the Dongping wolframite deposit and its geological significance. Acta Geosci. Sin. 2016, 37, 379–384, (In Chinese with English Abstract). [Google Scholar]
- Liu, X.C.; Xing, H.L.; Zhang, D.H. Fluid focusing and its link to vertical morphological zonation at the Dajishan vein-type tungsten deposit, South China. Ore Geol. Rev. 2014, 62, 245–258. [Google Scholar] [CrossRef]
- Chen, Y.C.; Pei, R.F.; Zhang, H.L.; Lin, X.D.; Li, C.Y.; Hu, Y.J.; Liu, H.Q.; Xian, B.Q. The Geology of Nonferrous and Rare Metal Deposits Related to Mesozoic Granitoids in Nanling Region, China; Geological Publishing Housing: Beijing, China, 1989; p. 507. [Google Scholar]
- Marshall, D.J. Cathodoluminescence of Geological Materials; Unwin Hyman: Boston, MA, USA, 1988; p. 146. [Google Scholar]
- Götze, J. Application of cathodoluminescence microscopy and spectroscopy in geosciences. Microsc. Microanal. 2012, 18, 1270–1284. [Google Scholar] [CrossRef]
- Götze, J.; Plotze, M.; Habermann, D. Origin, spectral characteristics and practical applications of the cathodoluminescence of quartz—A review. Mineral. Petrol. 2001, 71, 225–250. [Google Scholar] [CrossRef]
- Lehmann, K.; Berger, A.; Götte, T.; Ramseyer, K.; Wiedenbeck, M. Growth related zonations in authigenic and hydrothermal quartz characterized by SIMS-, EPMA-, SEM-CL-and SEM-CC-imaging. Mineral. Mag. 2009, 73, 633–643. [Google Scholar] [CrossRef]
- Mao, W.; Rusk, B.; Yang, F.; Zhang, M. Physical and chemical evolution of the Dabaoshan porphyry mo deposit, south China: Insights from fluid inclusions, cathodoluminescence, and trace elements in quartz. Econ. Geol. 2017, 112, 889–918. [Google Scholar] [CrossRef]
- Müller, A.; Herklotz, G.; Giegling, H. Chemistry of quartz related to the Zinnwald/Cínovec Sn-W-Li greisen-type deposit, Eastern Erzgebirge, Germany. J. Geochem. Explor. 2018, 190, 357–373. [Google Scholar] [CrossRef]
- Müller, A.; Seltmann, R.; Behr, H.J. Application of cathodoluminescence to magmatic quartz in a tin granite—Case study from the Schellerhau Granite Complex, Eastern Erzgebirge, Germany. Miner. Depos. 2000, 35, 169–189. [Google Scholar] [CrossRef]
- Monecke, T.; Kempe, U.; Götze, J. Genetic significance of the trace element content in metamorphic and hydrothermal quartz: A reconnaissance study. Earth Planet. Sci. Lett. 2002, 202, 709–724. [Google Scholar] [CrossRef]
- Rusk, B.; Reed, M. Scanning electron microscope–cathodoluminescence analysis of quartz reveals complex growth histories in veins from the Butte porphyry copper deposit, Montana. Geology 2002, 30, 727–730. [Google Scholar] [CrossRef]
- Rusk, B. Cathodoluminescent textures and trace elements in hydrothermal quartz. In Quartz: Deposits, Mineralogy and Analytics; Götze, J., Möckel, R., Eds.; Springer: Berlin/Heidelberg, Germany, 2012; pp. 307–329. [Google Scholar]
- Frelinger, S.N.; Ledvina, M.D.; Kyle, J.R.; Zhao, D. Scanning electron microscopy cathodoluminescence of quartz: Principles, techniques and applications in ore geology. Ore Geol. Rev. 2015, 65, 840–852. [Google Scholar] [CrossRef]
- Lander, R.H.; Laubach, S.E. Insights into rates of fracture growth and sealing from a model for quartz cementation in fractured sandstones. Geol. Soc. Am. Bull. 2015, 127, 516–538. [Google Scholar] [CrossRef]
- Becker, S.P.; Eichhubl, P.; Laubach, S.E.; Reed, R.M.; Lander, R.H.; Bodnar, R.J. A 48 m.y. history of fracture opening, temperature, and fluid pressure: Cretaceous travis peak formation, east Texas basin. Geol. Soc. Am. Bull. 2010, 122, 1081–1093. [Google Scholar] [CrossRef]
- Matthews, N.E.; Huber, C.; Pyle, D.M.; Smith, V.C. Timescales of magma recharge and reactivation of large silicic systems from Ti diffusion in quartz. J. Petrol. 2012, 53, 1385–1416. [Google Scholar] [CrossRef]
- Wilcock, J.; Goff, F.; Minarik, W.G.; Stix, J. Magmatic recharge during the formation and resurgence of the valles caldera, New Mexico, USA: Evidence from quartz compositional zoning and geothermometry. J. Petrol. 2013, 54, 635–664. [Google Scholar] [CrossRef]
- Audétat, A.; Miyajima, N.; Wiesner, D.; Audinot, J.-N. Confirmation of slow Ti diffusion in quartz by diffusion couple experiments and evidence from natural samples. Geology 2021, 49, 963–967. [Google Scholar] [CrossRef]
- Zhang, W.L.; Hua, R.M.; Wang, R.C.; Li, H.M.; Qu, W.J.; Ji, J.Q. New dating of the Piaotang granite and related tungsten mineralization in southern Jiangxi. Acta Prtrologica Sin. 2009, 83, 659–670, (In Chinese with English Abstract). [Google Scholar] [CrossRef]
- Yang, M.G.; Lu, D.Z. Structural characteristics and pattern in the vein-type tungsten deposits in Xihuasha-Piaotang region. In Symposium on Tungsten Geology; Geological Publishing House: Nanchang, China, 1984; pp. 293–303. [Google Scholar]
- Liu, X.C.; Zhang, D.H.; Zhao, B.; Liao, Z.Z.; Liu, C.P. Quantitative analysis of the five-floor vertical morphological zonation in the Piaotang tungsten deposit, South China. Geol. J. China Univ. 2017, 23, 408–416, (In Chinese with English Abstract). [Google Scholar]
- He, Z.; Xu, X.; Zou, H.; Wang, X.; Yu, Y. Geochronology, petrogenesis and metallogeny of Piaotang granitoids in the tungsten deposit region of south China. Geochem. J. 2010, 44, 299–313. [Google Scholar] [CrossRef][Green Version]
- Mu, Z.G.; Huang, F.S.; Chen, C.Y. Oxygen, hydrogen and carbon isotope studies of Piantang and Xihuasha quartz vein-type tungsten deposits, Jiangxi province. In Proceedings of Symposium on Tungsten Geology; Geological Publishing House: Nanchang, China, 1984; pp. 153–168. [Google Scholar]
- Bai, X.; Wang, M.; Jiang, Y.; Qiu, H. Direct dating of tin—Tungsten mineralization of the Piaotang tungsten deposit, south China, by 40Ar/39Ar progressive crushing. Geochim. Cosmochim. Acta 2013, 114, 1–12. [Google Scholar] [CrossRef]
- Liu, S.B.; Wang, D.H.; Chen, Y.C.; Li, J.; Ying, L.; Xu, J.; Zeng, Z. 40Ar/39Ar ages of muscovite from different types of tungsten-bearing quartz veins in the Chong-Yu-You concentrated mineral area in south Jiangxi and its geological significance. Acta Prtrologica Sin. 2008, 82, 932–940, (In Chinese with English Abstract). [Google Scholar]
- Deng, X.-D.; Luo, T.; Li, J.-W.; Hu, Z.-C. Direct dating of hydrothermal tungsten mineralization using in situ wolframite U-Pb chronology by laser ablation ICP-MS. Chem. Geol. 2019, 515, 94–104. [Google Scholar] [CrossRef]
- Zhang, R.Q.; Lu, J.J.; Lehmann, B.; Li, C.Y.; Li, G.L.; Zhang, L.P.; Guo, J.; Sun, W.D. Combined zircon and cassiterite U-Pb dating of the Piaotang granite-related tungsten-tin deposit, southern Jiangxi tungsten district, China. Ore Geol. Rev. 2017, 82, 268–284. [Google Scholar] [CrossRef]
- Zhang, L.G.; Zhuang, L.C.; Qian, Y.Q. Stable isotope geochemistry of granites and tungsten-tin deposits in Xihuashan-Piaotang, Jiangxi province. In Proceedings of Symposium on Tungsten Geology; Geological Publishing House: Nanchang, China, 1984; pp. 325–338. [Google Scholar]
- Yang, J.-H.; Kang, L.-F.; Liu, L.; Peng, J.-T.; Qi, Y.-Q. Tracing the origin of ore-forming fluids in the Piaotang tungsten deposit, south China: Constraints from In-Situ analyses of wolframite and individual fluid inclusion. Ore Geol. Rev. 2019, 111, 102939. [Google Scholar] [CrossRef]
- Wang, X.; Ni, P.; Jiang, S.; Zhao, K.; Wang, T. Origin of ore-forming fluid in the Piaotang tungsten deposit in Jiangxi province: Evidence from helium and argon isotopes. Chin. Sci. Bull. 2009, 55, 628–634. [Google Scholar] [CrossRef]
- Wang, X.D.; Ni, P.; Yuan, S.D.; Wu, S.H. Fluid inclusion studies on coexisting cassiterite and quartz from the Piaotang tungsten deposit, Jiangxi province, China. Acta Geol. Sin. 2013, 87, 850–859, (In Chinese with English Abstract). [Google Scholar]
- Ni, P.; Wang, X.D.; Wang, G.G.; Huang, J.B.; Pan, J.Y.; Wang, T.G. An infrared microthermometric study of fluid inclusions in coexisting quartz and wolframite from late Mesozoic tungsten deposits in the Gannan metallogenic belt, south China. Ore Geol. Rev. 2015, 65, 1062–1077. [Google Scholar] [CrossRef]
- Legros, H.; Richard, A.; Tarantola, A.; Kouzmanov, K.; Mercadier, J.; Vennemann, T.; Marignac, C.; Cuney, M.; Wang, R.C.; Charles, N.; et al. Multiple fluids involved in granite-related W-Sn deposits from the world-class Jiangxi province (China). Chem. Geol. 2019, 508, 92–115. [Google Scholar] [CrossRef]
- Li, Y.D.; Xie, B.C.; Lu, H.L. A Geological Survey Report of the Piaotang Tungsten-Tin Deposit, Dayun County, Jiangxi Province. 909 Team of Jiangxi Geological Bureau, Unpublished report. 1965. [Google Scholar]
- André-Mayer, A.S.; Sausse, J. Thickness and spatial distribution of veins in a porphyry copper deposit, Rosia Poieni, Romania. J. Struct. Geol. 2007, 29, 1695–1708. [Google Scholar] [CrossRef]
- Gillespie, P.A.; Johnston, J.D.; Loriga, M.A.; McCaffrey, K.J.W.; Walsh, J.J.; Watterson, J. Influence of layering on vein systematics in line samples. Geol. Soc. Lond. Spec. Publ. 1999, 155, 35–56. [Google Scholar] [CrossRef]
- Monecke, T.; Gemmell, J.B.; Monecke, J. Fractal distributions of veins in drill core from the Hellyer VHMS deposit, Australia: Constraints on the origin and evolution of the mineralising system. Miner. Depos. 2001, 36, 406–415. [Google Scholar] [CrossRef]
- Sanderson, D.J.; Roberts, S.; Gumiel, P.; Greenfield, C. Quantitative analysis of tin-and tungsten-bearing sheeted vein systems. Econ. Geol. 2008, 103, 1043–1056. [Google Scholar] [CrossRef]
- Roberts, S.; Sanderson, D.J.; Gumiel, P. Fractal analysis and percolation properties of veins. Geol. Soc. Lond. Spec. Publ. 1999, 155, 7–16. [Google Scholar] [CrossRef]
- McCaffrey, K.J.W.; Johnston, J.D. Fractal analysis of a mineralised vein deposit: Curraghinalt gold deposit, county Tyrone. Miner. Depos. 1996, 31, 52–58. [Google Scholar] [CrossRef]
- Gumiel, P.; Sanderson, D.; Arias, M.; Roberts, S.; Martín-Izard, A. Analysis of the fractal clustering of ore deposits in the Spanish Iberian Pyrite belt. Ore Geol. Rev. 2010, 38, 307–318. [Google Scholar] [CrossRef]
- Deng, B.; Liu, S.; Jansa, L.; Yong, S.; Zhang, Z. Fractal analysis of veins in Permian carbonate rocks in the Lingtanchang anticline, western China. Geofluids 2014, 14, 160–173. [Google Scholar] [CrossRef]
- Ledésert, B.; Dubois, J.; Velde, B.; Meunier, A.; Genter, A.; Badri, A. Geometrical and fractal analysis of a three-dimensional hydrothermal vein network in a fractured granite. J. Volcanol. Geotherm. Res. 1993, 56, 267–280. [Google Scholar] [CrossRef]
- Bonnet, E.; Bour, O.; Odling, N.E.; Davy, P.; Main, I.; Cowie, P.; Berkowitz, B. Scaling of fracture systems in geological media. Rev. Geophys. 2001, 39, 347. [Google Scholar] [CrossRef]
- Kruhl, J.H. Fractal-geometry techniques in the quantification of complex rock structures: A special view on scaling regimes, inhomogeneity and anisotropy. J. Struct. Geol. 2013, 46, 2–21. [Google Scholar] [CrossRef]
- Mandelbrot, B. How long is the coast of Britain? Statistical self-similarity and fractional dimension. Science 1967, 156, 636–638. [Google Scholar] [CrossRef] [PubMed]
- Turcotte, D.L. Fractals and Chaos in Geology and Geophysics; Cambridge University Press: Cambridge/London, UK, 1997; p. 216. [Google Scholar]
- Kruhl, J.H.; Renftel, L.-O. Fractals and Dynamic Systems in Geoscience; Springer: Berlin/Heidelberg, Germany, 1994; p. 421. [Google Scholar]
- Bak, P.; Chen, K. The physics of fractals. Phys. D Nonlinear Phenom. 1989, 38, 5–12. [Google Scholar] [CrossRef]
- Lahiri, S.; Rana, V.; Bhatt, S.; Mamtani, M.A. Paleostress and statistical analysis using quartz veins from mineralized and non-mineralized zones: Application for exploration targeting. J. Struct. Geol. 2020, 133, 104006. [Google Scholar] [CrossRef]
- Mazzarini, F.; Isola, I.; Ruggieri, G.; Boschi, C. Fluid circulation in the upper brittle crust: Thickness distribution, hydraulic transmissivity fluid inclusion and isotopic data of veins hosted in the oligocene sandstones of the macigno formation in southern Tuscany, Italy. Tectonophysics 2010, 493, 118–138. [Google Scholar] [CrossRef]
- Fagereng, Å. Fractal vein distributions within a fault-fracture mesh in an exhumed accretionary mélange, Chrystalls beach Complex, New Zealand. J. Struct. Geol. 2011, 33, 918–927. [Google Scholar] [CrossRef]
- Hooker, J.N.; Laubach, S.E.; Marrett, R. A universal power-law scaling exponent for fracture apertures in sandstones. GSA Bull. 2014, 126, 1340–1362. [Google Scholar] [CrossRef]
- Shen, W.; Zhao, P. Theoretical study of statistical fractal model with applications to mineral resource prediction. Comput. Geosci. 2002, 28, 369–376. [Google Scholar] [CrossRef]
- Weibull, W. A statistical distribution function of wide applicability. J. Appl. Mech. 1951, 18, 293–297. [Google Scholar] [CrossRef]
- Zhang, H.; Wang, Z.Z.; Ruan, B.T.; Li, Z.; Zhao, W.; Ranjith, P.G.; Wang, T. A brittleness evaluation method of rock constitutive relationship with Weibull distribution based on double-body system theory. Energy Sci. Eng. 2020, 8, 3333–3347. [Google Scholar] [CrossRef]
- Tang, C.A.; Liang, Z.Z.; Zhang, Y.B.; Chang, X.; Tao, X.; Wang, D.G.; Zhang, J.X.; Liu, J.S.; Zhu, W.C.; Elsworth, D. Fracture spacing in layered materials: A new explanation based on two-dimensional failure process modeling. Am. J. Sci. 2008, 308, 49–72. [Google Scholar] [CrossRef]
- Wong, T.-F.; Wong, R.H.C.; Chau, K.T.; Tang, C.A. Microcrack statistics, Weibull distribution and micromechanical modeling of compressive failure in rock. Mech. Mater. 2006, 38, 664–681. [Google Scholar] [CrossRef]
- Krumbholz, M.; Hieronymus, C.F.; Burchardt, S.; Troll, V.R.; Tanner, D.C.; Friese, N. Weibull-distributed dyke thickness reflects probabilistic character of host-rock strength. Nat. Commun. 2014, 5, 3272. [Google Scholar] [CrossRef] [PubMed]
- Jayatilaka, A.D.S.; Trustrum, K. Statistical approach to brittle fracture. J. Mater. Sci. 1977, 12, 1426–1430. [Google Scholar] [CrossRef]
- Sanderson, D.J.; Roberts, S.; Gumiel, P. A fractal relationship between vein thickness and gold grade in drill core from La Codosera, Spain. Econ. Geol. 1994, 89, 168–173. [Google Scholar] [CrossRef]
- Brathwaite, R.L.; Cargill, H.J.; Christie, A.B.; Swain, A. Lithological and spatial controls on the distribution of quartz veins in andesite-and rhyolite-hosted epithermal Au-Ag deposits of the Hauraki Goldfield, New Zealand. Miner. Depos. 2001, 36, 1–12. [Google Scholar] [CrossRef]
- Deng, J.; Wang, Q.F.; Wan, L.; Yang, L.; Gong, Q.; Zhao, J.; Liu, H. Self-similar fractal analysis of gold mineralization of Dayingezhuang disseminated-veinlet deposit in Jiaodong gold province, China. J. Geochem. Explor. 2009, 102, 95–102. [Google Scholar] [CrossRef]
- Ford, A.; Blenkinsop, T.G. An expanded de Wijs model for multifractal analysis of mineral production data. Miner. Depos. 2009, 44, 233–240. [Google Scholar] [CrossRef]
- Allegre, C.J.; Lewin, E. Scaling laws and geochemical distributions. Earth Planet. Sci. Lett. 1995, 132, 1–13. [Google Scholar] [CrossRef]
- Monecke, T.; Monecke, J.; Herzig, P.M.; Bruce Gemmell, J.; Mönch, W. Truncated fractal frequency distribution of element abundance data: A dynamic model for the metasomatic enrichment of base and precious metals. Earth Planet. Sci. Lett. 2005, 232, 363–378. [Google Scholar] [CrossRef]
- Nazarpour, A.; Sadeghi, B.; Sadeghi, M. Application of fractal models to characterization and evaluation of vertical distribution of geochemical data in Zarshuran gold deposit, NW Iran. J. Geochem. Explor. 2015, 148, 60–70. [Google Scholar] [CrossRef]
- Zuo, R.; Cheng, Q.; Xia, Q. Application of fractal models to characterization of vertical distribution of geochemical element concentration. J. Geochem. Explor. 2009, 102, 37–43. [Google Scholar] [CrossRef]
- Wang, Q.F.; Deng, J.; Liu, H.; Yang, L.; Wan, L.; Zhang, R. Fractal models for ore reserve estimation. Ore Geol. Rev. 2010, 37, 2–14. [Google Scholar] [CrossRef]
- Zuo, R.; Wang, J. Fractal/multifractal modeling of geochemical data: A review. J. Geochem. Explor. 2016, 164, 33–41. [Google Scholar] [CrossRef]
- Ahrens, L.H. The lognormal distribution of the elements (a fundamental law of geochemistry and its subsidiary). Geochim. Cosmochim. Acta 1954, 5, 49–73. [Google Scholar] [CrossRef]
- Hu, M.Y.; He, H.L.; Zhan, X.C.; Fan, X.T.; Wang, G.; Jia, Z.R. Matrix normalization for in-situ multi-element quantitative analysis of zircon in laser-ablation-inductively coupled plasma mass spectrometry. Chin. J. Anal. Chem. 2008, 36, 947–953, (In Chinese with English Abstract). [Google Scholar]
- Götze, J.; Plötze, M.; Graupner, T.; Hallbauer, D.K.; Bray, C.J. Trace element incorporation into quartz: A combined study by ICP-MS, electron spin resonance, cathodoluminescence, capillary ion analysis, and gas chromatography 1. Geochim. Cosmochim. Acta 2004, 68, 3741–3759. [Google Scholar] [CrossRef]
- Haddad-Martim, P.M.; Carranza, E.J.M.; de Souza Filho, C.R. The fractal nature of structural controls on ore formation: The case of the iron oxide copper-gold deposits in the Carajás mineral province, Brazilian amazon. Econ. Geol. 2018, 113, 1499–1524. [Google Scholar] [CrossRef]
- Das, R.; Zhang, Y.; Schaubs, P.; Cleary, P.W. Modelling rock fracturing caused by magma intrusion using the smoothed particle hydrodynamics method. Comput. Geosci. 2014, 18, 927–947. [Google Scholar] [CrossRef]
- Bergbauer, S.; Martel, S.J. Formation of joints in cooling plutons. J. Struct. Geol. 1999, 21, 821–835. [Google Scholar] [CrossRef]
- Zhang, Y.; Cheng, J.M.; Tian, J.; Pan, J.; Sun, S.Q.; Zhang, L.J.; Zhang, S.; Chu, G.; Zhao, Y.; Lai, C. Texture and trace element geochemistry of quartz in skarn system: Perspective from Jiguanzui Cu-Au skarn deposit, eastern China. Ore Geol. Rev. 2019, 109, 535–544. [Google Scholar] [CrossRef]
- Ni, P.; Pan, J.Y.; Wang, G.G.; Chi, Z.; Qin, H.; Ding, J.-Y.; Chen, H. A CO2-rich porphyry ore-forming fluid system constrained from a combined cathodoluminescence imaging and fluid inclusion studies of quartz veins from the Tongcun Mo deposit, south China. Ore Geol. Rev. 2017, 81, 856–870. [Google Scholar] [CrossRef]
- Launay, G.; Sizaret, S.; Lach, P.; Melleton, J.; Gloaguen, É.; Poujol, M. Genetic relationship between greisenization and Sn-W mineralizations in vein and greisen deposits: Insights from the Panasqueira deposit (Portugal). Bull. Soc. Geol. Fr. 2021, 192. [Google Scholar] [CrossRef]
- Peterková, T.; Dolejš, D. Magmatic-hydrothermal transition of Mo-W-mineralized granite-pegmatite-greisen system recorded by trace elements in quartz: Krupka district, Eastern Krušné hory/Erzgebirge. Chem. Geol. 2019, 523, 179–202. [Google Scholar] [CrossRef]
- Götze, J. Chemistry, textures and physical properties of quartz—geological interpretation and technical application. Mineral. Mag. 2009, 73, 645–671. [Google Scholar] [CrossRef]
- Mercer, C.N.; Reed, M.H.; Mercer, C.M. Time scales of porphyry Cu deposit formation: Insights from titanium diffusion in quartz. Econ. Geol. 2015, 110, 587–602. [Google Scholar] [CrossRef]
- Ma, Y. Characteristics of Catholuminescence and Fluid Inclusions of Quartz in the Piaotang Tungsten-Tin Deposit, Jiangxi Province; China University of Geosciences: Beijing, China, 2019; p. 75. [Google Scholar]
- Shan, F. The geological characteristics of the Piaotang tungsten-tin deposit. Acta Geol. Sin. Chin. Ed. 1976, 50, 1–16. [Google Scholar]
- Legros, H.; Marignac, C.; Tabary, T.; Mercadier, J.; Richard, A.; Cuney, M.; Wang, R.C.; Charles, N.; Lespinasse, M.Y. The ore-forming magmatic-hydrothermal system of the Piaotang W-Sn deposit (Jiangxi, China) as seen from Li-mica geochemistry. Am. Miner. 2018, 103, 39–54. [Google Scholar] [CrossRef]
- Bons, P.D.; Elburg, M.A.; Gomez-Rivas, E. A review of the formation of tectonic veins and their microstructures. J. Struct. Geol. 2012, 43, 33–62. [Google Scholar] [CrossRef]
- Oliver, N.H.S.; Bons, P.D. Mechanisms of fluid flow and fluid–rock interaction in fossil metamorphic hydrothermal systems inferred from vein-wallrock patterns, geometry and microstructure. Geofluids 2001, 1, 137–162. [Google Scholar] [CrossRef]
- Roberts, S.; Sanderson, D.J.; Gumiel, P. Fractal analysis of Sn-W mineralization from central Iberia: Insights into the role of fracture connectivity in the formation of an ore deposit. Econ. Geol. 1998, 93, 360–365. [Google Scholar] [CrossRef]
- Sanderson, D.J.; Zhang, X. Critical stress localization of flow associated with deformation of well-fractured rock masses, with implications for mineral deposits. Geol. Soc. Lond. Spec. Publ. 1999, 155, 69–81. [Google Scholar] [CrossRef]
- Cox, S.F. Structural and isotopic constraints on fluid flow regimes and fluid pathways during upper crustal deformation: An example from the Taemas area of the Lachlan Orogen, SE Australia. J. Geophys. Res. Solid Earth 2007, 112, B08208. [Google Scholar] [CrossRef]
- Barnhoorn, A.; Cox, S.F.; Robinson, D.J.; Senden, T. Stress-and fluid-driven failure during fracture array growth: Implications for coupled deformation and fluid flow in the crust. Geology 2010, 38, 779–782. [Google Scholar] [CrossRef]
- Xiong, Y.; Zuo, R.; Clarke, K.C.; Miller, S.A.; Wang, J. Modeling singular mineralization processes due to fluid pressure fluctuations. Chem. Geol. 2020, 535, 119458. [Google Scholar] [CrossRef]














| Level (m) | Average Vein Thickness (cm) | Average WO3 Grade (%) | Average Sn Grade (%) | |||||
|---|---|---|---|---|---|---|---|---|
| 676 | 3.09 | 2.30 | 0.034 | 1.29 | 0.05 | 1.68 | 0.04 | 1.62 |
| 448 | 5.32 | 1.87 | 0.035 | 0.69 | 0.09 | 1.08 | 0.05 | 1.31 |
| 328 | 9.31 | 1.44 | 0.063 | 0.65 | 0.23 | 0.91 | 0.11 | 1.02 |
| Level (m) | Sample ID | Sampling Locations | Images |
|---|---|---|---|
| 448 | PT17-7 | III vein set, 15th exploration line | 55 |
| PT17-12 | III vein set, 30 m west of 15th exploration line | 110 | |
| PT17-17 | III vein set, 19th exploration line | 45 | |
| PT17-23 | III vein set, 19th exploration line | 18 | |
| PT17-25 | III vein set, 19th exploration line | 16 | |
| PT17-26 | III vein set, 19thexploration line | 21 | |
| 328 | PT17-32 | III vein set, 15th exploration line | 18 |
| PT17-33 | III vein set, 13th exploration line | 15 | |
| 268 | PT17-3 | III vein set, 7 m west of 15th exploration line | 33 |
| PT17-4 | III vein set, 15 m west of 15th exploration line | 12 | |
| PT17-5 | III vein set, 1 m west of 15th exploration line | 9 | |
| PT17-6 | III vein set, 7 m east of 7th exploration line | 18 |
| Sample | PT17-23 | PT17-26 | |||||||||||||
| ppm | 1 | 2 | 3 | 4 | 5 | 1 | 2 | 3 | 4 | 5 | |||||
| Li | 13.93 | 10.24 | 4.55 | 2.68 | 20.93 | - | 9.63 | 1.37 | - | 1.34 | |||||
| B | - | - | 2.37 | 11.68 | 1.48 | - | 7.00 | 11.59 | 9.05 | - | |||||
| Na2O | 39.03 | 12.83 | 21.83 | 35.95 | 20.91 | - | 23.64 | - | 6.72 | 19.94 | |||||
| MgO | 2.29 | 1.47 | - | - | 6.10 | - | 6.71 | - | 26.39 | 9.34 | |||||
| Al2O3 | 211.30 | 96.34 | 83.19 | 168.20 | 459.00 | 19.59 | 83.31 | 80.06 | 71.12 | 82.26 | |||||
| P2O5 | 41.75 | 29.66 | 30.31 | 33.99 | 34.57 | 40.54 | 54.88 | 24.74 | 26.28 | 61.23 | |||||
| K2O | 7.31 | - | - | 20.77 | 21.19 | - | - | - | - | 0.14 | |||||
| Sc | 1.41 | 1.67 | 1.49 | 1.32 | 1.75 | 2.22 | 1.32 | 1.19 | 1.80 | 2.98 | |||||
| TiO2 | 3.93 | 8.28 | 4.22 | 6.65 | 5.79 | 2.23 | - | 2.96 | 2.89 | 3.48 | |||||
| Cr | 24.02 | 10.14 | 20.70 | 31.60 | 21.56 | 15.56 | 18.30 | 5.99 | 15.89 | 25.69 | |||||
| MnO | 1.09 | 0.38 | 0.88 | 0.47 | 2.66 | - | 2.72 | - | 1.15 | - | |||||
| FeO(t) | 5.40 | - | - | - | - | 5.50 | 31.78 | - | 33.11 | 59.03 | |||||
| Ni | 3.49 | 2.44 | 9.30 | 4.43 | 9.89 | 24.15 | - | 25.11 | - | 26.65 | |||||
| Ge | 4.16 | 3.56 | 3.64 | 2.13 | 5.04 | 4.50 | 2.78 | 0.51 | 2.67 | 3.50 | |||||
| As | 0.67 | 1.11 | 0.07 | 0.70 | 1.24 | 1.20 | 4.76 | - | - | 1.31 | |||||
| Sample | PT17-3 | PT17-6 | |||||||||||||
| ppm | 1 | 2 | 3 | 4 | 5 | 6 | 7 | 8 | 9 | 10 | 1 | 2 | 3 | 4 | 5 |
| Li | 45.38 | 14.04 | 24.02 | 23.06 | 41.50 | 10.91 | 18.14 | 29.39 | 11.43 | 21.74 | 6.54 | 25.43 | 27.57 | 37.43 | 13.67 |
| B | 0.98 | 2.31 | - | 5.54 | - | 0.44 | 0.88 | 0.39 | - | 0.75 | - | - | 2.82 | - | - |
| Na2O | - | 112.30 | - | 82.77 | 12.16 | 16.92 | 29.89 | 36.73 | 11.33 | - | 60.19 | 5.24 | 29.03 | - | - |
| MgO | 12.78 | 26.75 | 7.65 | - | 5.61 | - | 26.48 | - | 5.00 | 2.17 | 13.23 | 29.98 | 21.68 | - | 10.83 |
| Al2O3 | 593.90 | 161.00 | 307.40 | 288.00 | 298.60 | 178.30 | 247.70 | 246.50 | 220.10 | 364.20 | 193.90 | 229.10 | 299.60 | 262.90 | 171.40 |
| P2O5 | 79.35 | 22.42 | 4.12 | 55.66 | 38.43 | 75.12 | 68.08 | 76.25 | 37.63 | 37.55 | 30.75 | 59.21 | 38.93 | 65.61 | 83.77 |
| K2O | 1.08 | 2.65 | - | 27.17 | - | - | - | - | 0.72 | - | - | 4.19 | - | - | - |
| Sc | 2.63 | 2.80 | 1.50 | 2.92 | 2.04 | 2.19 | 2.39 | 2.26 | 2.20 | 1.93 | 1.26 | 0.98 | 1.31 | 2.44 | 1.06 |
| TiO2 | 7.04 | - | 8.32 | - | 11.68 | 1.96 | 2.89 | - | - | 5.41 | 7.47 | 3.94 | 2.45 | 9.03 | 3.04 |
| Cr | 13.86 | 0.58 | 3.95 | 13.34 | 14.18 | 11.48 | 12.62 | - | 19.28 | 16.88 | 0.30 | 27.52 | 23.27 | 30.07 | 2.20 |
| MnO | - | 0.54 | - | 1.16 | 1.32 | 1.32 | - | - | 0.66 | 0.04 | 0.23 | 2.45 | 0.74 | - | 0.51 |
| FeO(t) | - | 76.92 | 4.79 | - | - | - | - | 7.36 | - | - | 32.86 | - | - | - | - |
| Ni | 57.92 | 4.31 | - | 1.32 | 9.68 | 15.37 | 15.12 | - | 22.38 | 4.10 | 3.85 | - | 85.42 | 22.26 | - |
| Ge | 4.47 | 4.37 | 1.23 | 3.28 | 1.73 | 3.79 | 2.36 | 1.48 | 0.86 | 2.12 | 2.24 | 1.21 | 2.18 | 3.12 | 3.53 |
| As | - | 0.93 | - | 1.31 | - | 2.25 | - | - | - | 0.28 | - | 0.18 | - | 0.92 | 3.47 |
Publisher’s Note: MDPI stays neutral with regard to jurisdictional claims in published maps and institutional affiliations. |
© 2021 by the authors. Licensee MDPI, Basel, Switzerland. This article is an open access article distributed under the terms and conditions of the Creative Commons Attribution (CC BY) license (https://creativecommons.org/licenses/by/4.0/).
Share and Cite
Liu, X.; Wang, W.; Zhang, D. The Mechanisms Forming the Five–Floor Zonation of Quartz Veins: A Case Study in the Piaotang Tungsten–Tin Deposit, Southern China. Minerals 2021, 11, 883. https://doi.org/10.3390/min11080883
Liu X, Wang W, Zhang D. The Mechanisms Forming the Five–Floor Zonation of Quartz Veins: A Case Study in the Piaotang Tungsten–Tin Deposit, Southern China. Minerals. 2021; 11(8):883. https://doi.org/10.3390/min11080883
Chicago/Turabian StyleLiu, Xiangchong, Wenlei Wang, and Dehui Zhang. 2021. "The Mechanisms Forming the Five–Floor Zonation of Quartz Veins: A Case Study in the Piaotang Tungsten–Tin Deposit, Southern China" Minerals 11, no. 8: 883. https://doi.org/10.3390/min11080883
APA StyleLiu, X., Wang, W., & Zhang, D. (2021). The Mechanisms Forming the Five–Floor Zonation of Quartz Veins: A Case Study in the Piaotang Tungsten–Tin Deposit, Southern China. Minerals, 11(8), 883. https://doi.org/10.3390/min11080883

