The Effect of Mineral-Based Mixtures Containing Coal Fly Ash and Sewage Sludge on Chlorophyll Fluorescence and Selected Morphological Parameters of Deciduous and Coniferous Trees
Abstract
1. Introduction
2. Materials and Methods
2.1. Experimental Design
2.2. Phytotoxicity Test
2.3. Biometric Parameters
2.4. Moisture Content, Temperature and Salinity of Mixtures
2.5. Chlorophyll a Fluorescence
2.6. Statistical Analysis
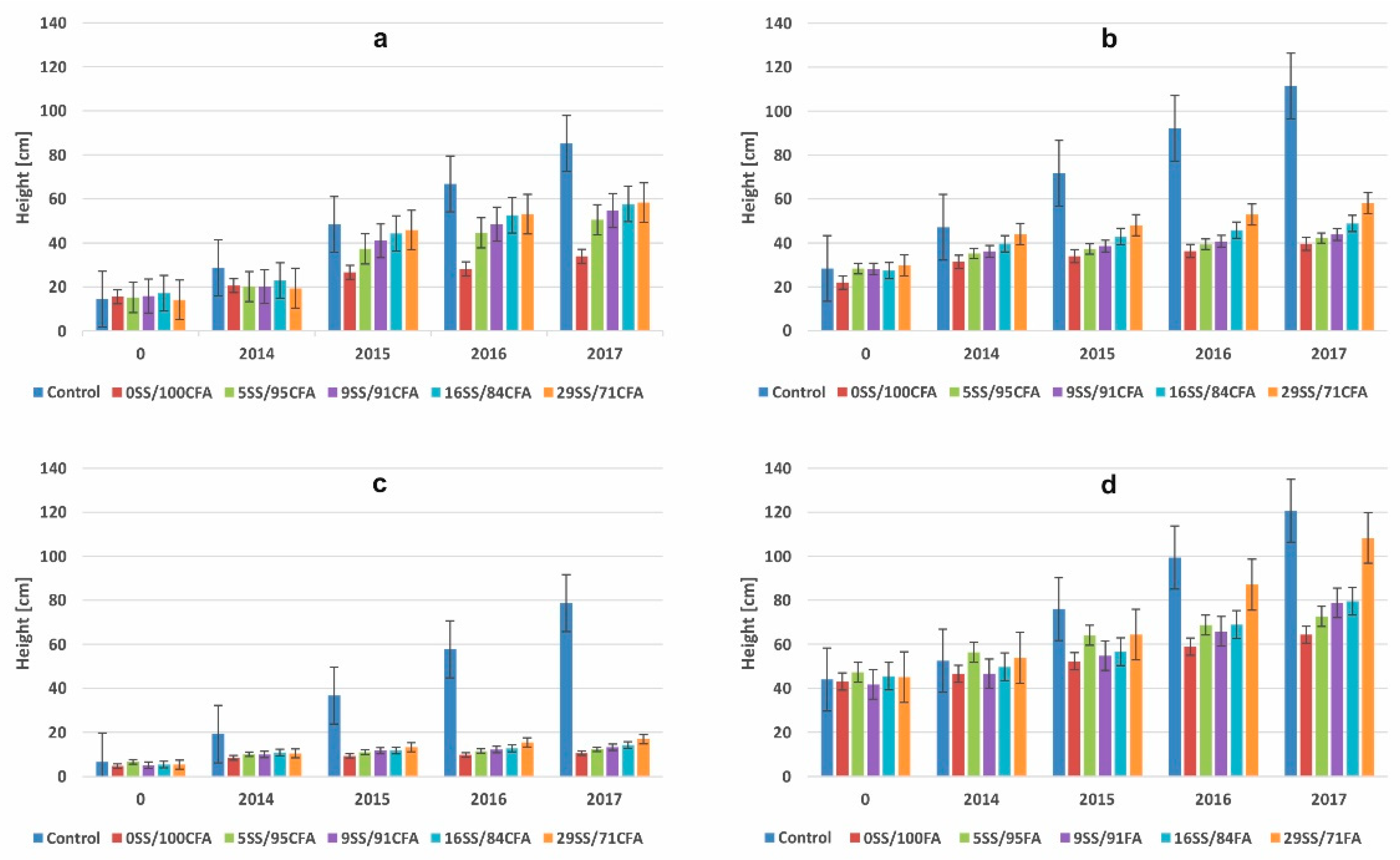
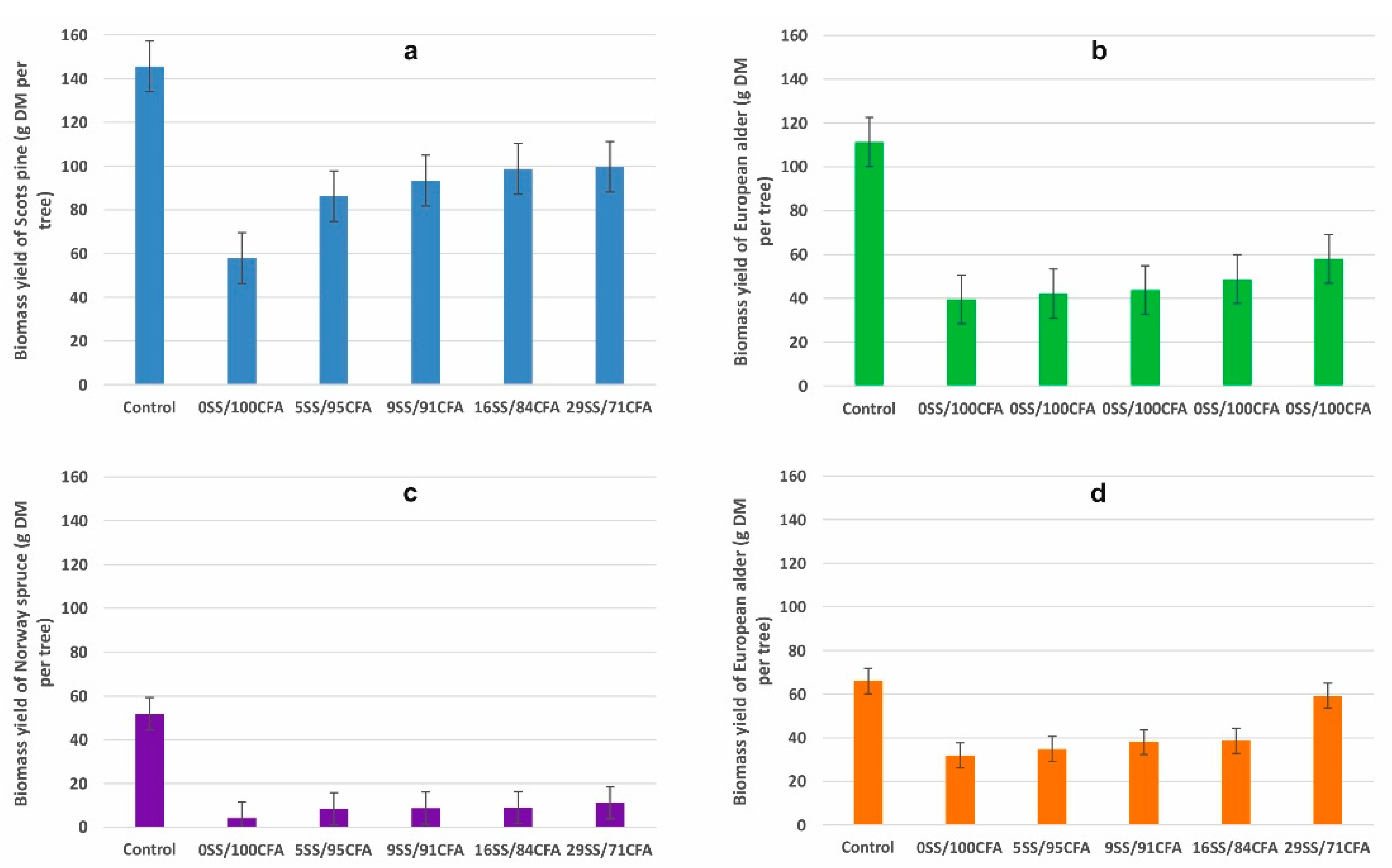
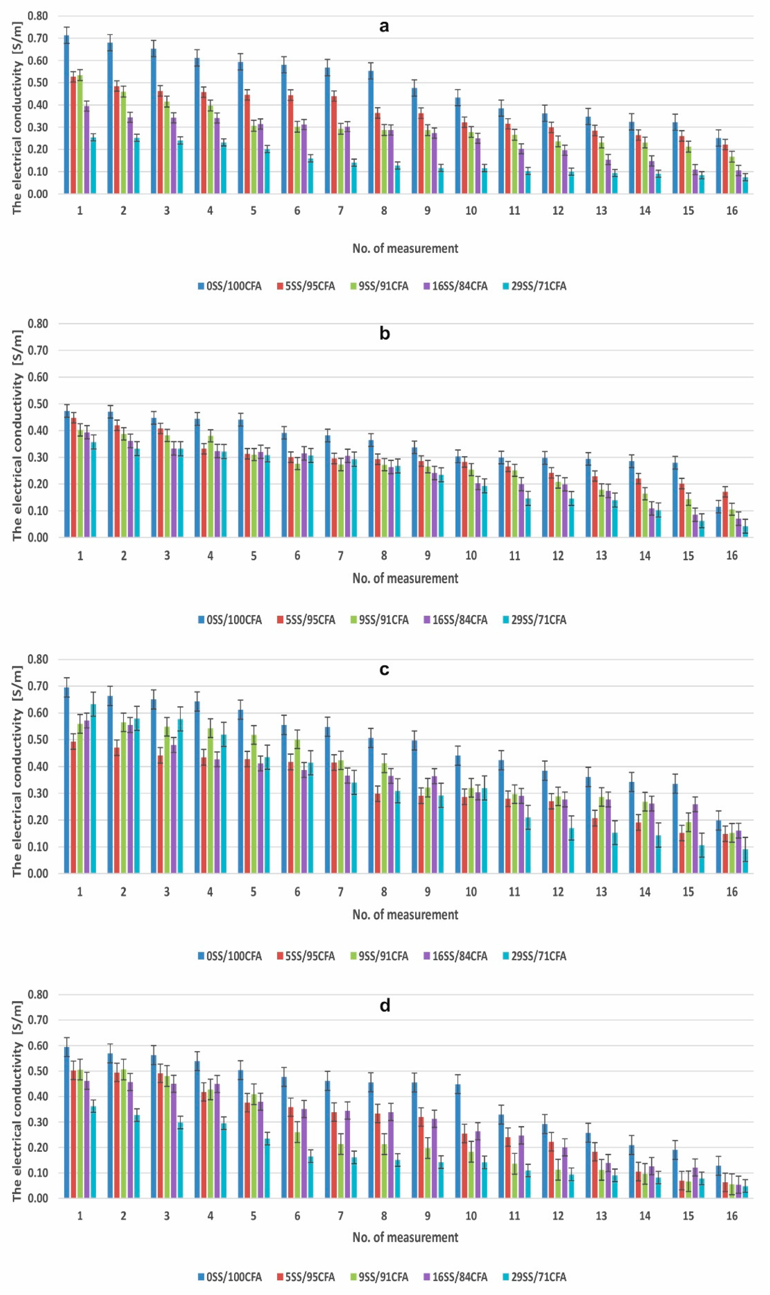
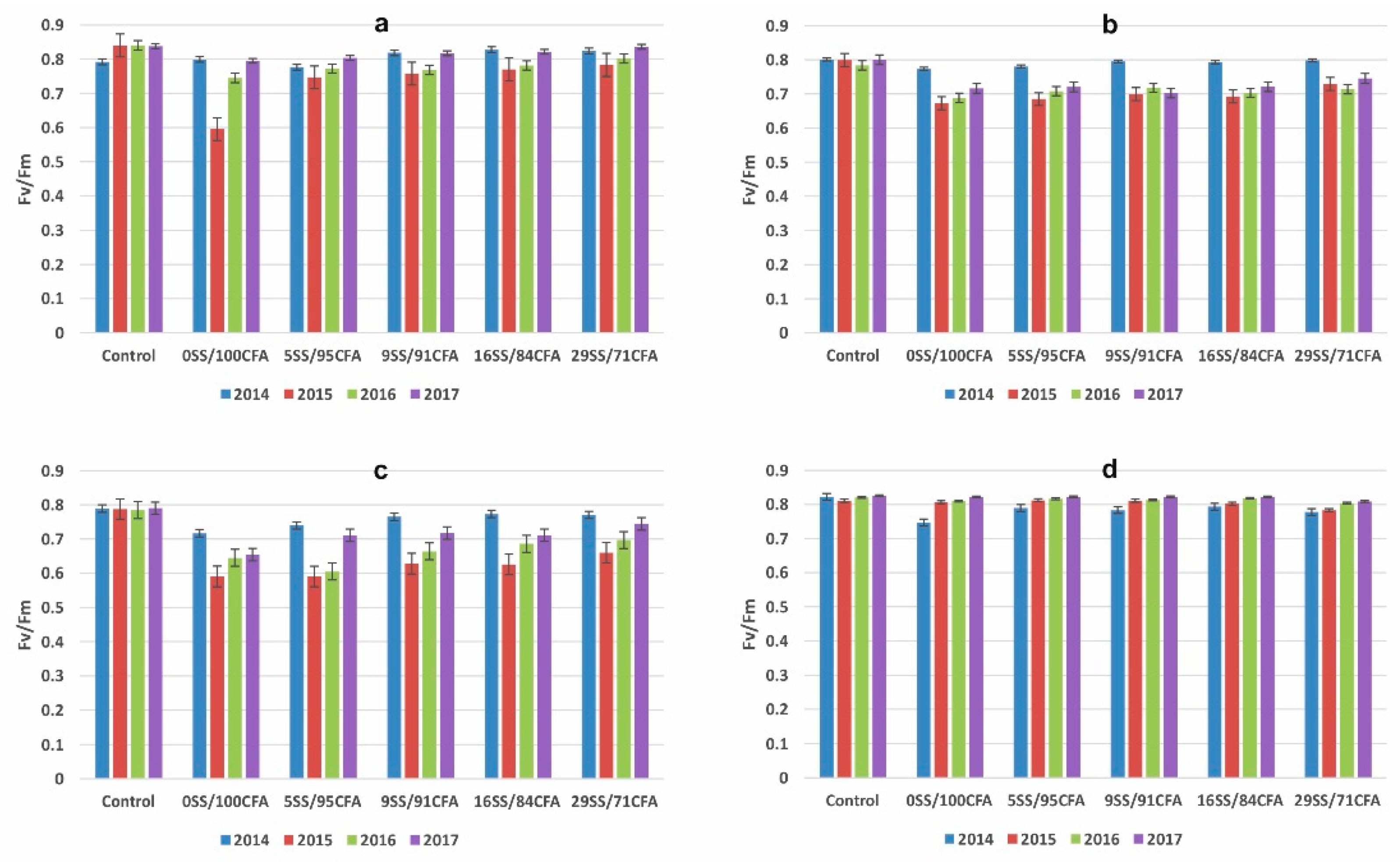
3. Results
3.1. Phytotoxicity Test
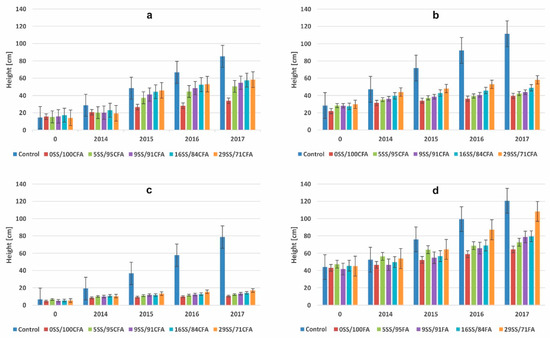
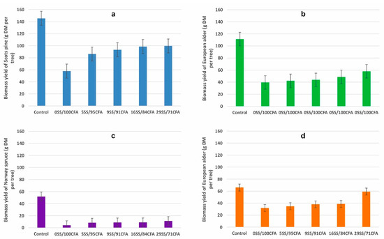
3.2. Biometric Properties and Biomass Yield
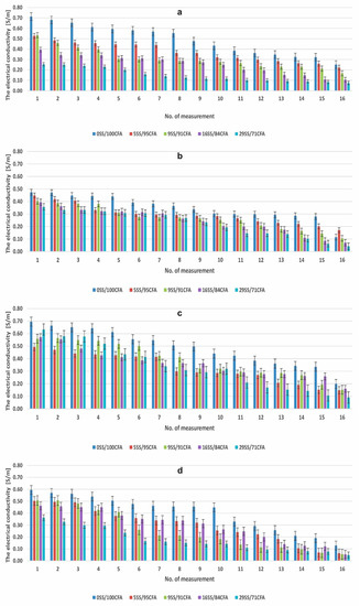
3.3. Salinity
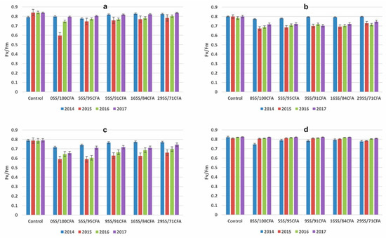
3.4. Chlorophyll a Fluorescence
4. Discussion
5. Conclusions
Author Contributions
Funding
Institutional Review Board Statement
Informed Consent Statement
Data Availability Statement
Acknowledgments
Conflicts of Interest
References
- Bęś, A.; Warmiński, K.; Adomas, B. Long-term responses of Scots pine (Pinus sylvestris L.) and European beech (Fagus sylvatica L.) to the contamination of light soils with diesel oil. Environ. Sci. Pollut. Res. 2019, 26, 10587–10608. [Google Scholar] [CrossRef]
- Antonkiewicz, J.; Kołodziej, B.; Bielińska, E.J.; Gleń-Karolczyk, K. The use of macroelements from municipal sewage sludge by the Multiflora rose and the Virginia fanpetals. J. Ecol. Eng. 2018, 19, 1–13. [Google Scholar] [CrossRef]
- Liu, Y.; Su, S.; Zhang, L.; Liu, Y.; Huang, Z.; He, D.; Kong, D. Effect of exogenous calcium on lotus adaptation to salt stress. Hortic. Sci. 2020, 32, 243–252. [Google Scholar]
- Statistical Yearbook of Forestry 2019; Statistics Poland: Warszawa, Poland, 2019; p. 39.
- Ram, L.C.; Masto, R.E. Fly ash for soil amelioration: A review on the influence of ash blending with inorganic and organic amendments. Earth Sci. Rev. 2014, 128, 52–74. [Google Scholar] [CrossRef]
- Wyszkowski, M.; Radziemska, M. The effect of chromium content in soil on the concentration of some mineral elements in plants. Fresenius Environ. Bull. 2009, 18, 1039–1045. [Google Scholar]
- Radziemska, M.; Mazur, Z.; Jeznach, J. Influence of applying halloysite and zeolite to soil contaminated with nickel on the content of selected elements in Maize (Zea mays L.). Chem. Eng. Trans. 2013, 32, 301–306. [Google Scholar]
- Mashau, A.; Gitari, W.; Akinyemi, S.A. Evaluation of the bioavailability and translocation of selected heavy metals by Brassica juncea and Spinacea oleracea L. for a South African power utility coal fly ash. Int. J. Environ. Res. Public Health 2018, 15, 2841. [Google Scholar] [CrossRef] [PubMed]
- Krzaklewski, W.; Pietrzykowski, M.; Woś, B. Survival and growth of alders (Alnus glutinosa (L.) Gaertn. and Alnus incana (L.) Moench) on fly ash technosols at different substrate improvement. Ecol. Eng. 2012, 49, 35–40. [Google Scholar] [CrossRef]
- Antonkiewicz, J.; Popławska, A.; Kołodziej, B.; Ciarkowska, K.; Gambus, F.; Bryk, M.; Babula, J. Application of ash and municipal sewage sludge as macronutrient sources in sustainable plant biomass production. J. Environ. Manag. 2020, 264, 110450. [Google Scholar] [CrossRef]
- Haynes, R.J. Reclamation and revegetation of fly ash disposal sites—Challenges and research needs. J. Environ. Manag. 2009, 90, 43–53. [Google Scholar] [CrossRef] [PubMed]
- Mandal, S.; Kunhikrishnan, A.; Bolan, N.; Wijesekara, H.; Naidu, R. Application of biochar produced from biowaste materials for environmental protection and sustainable agriculture production. Environ. Mater. Waste Resour. Recovery Pollut. Prev. 2016, 73–89. [Google Scholar] [CrossRef]
- Zhen, G.; Lu, X.; Kato, H.; Zhao, Y.; Li, Y.-Y. Overview of pretreatment strategies for enhancing sewage sludge disintegration and subsequent anaerobic digestion: Current advances, full-scale application and future perspectives. Renew. Sustain. Energy Rev. 2017, 69, 559–577. [Google Scholar] [CrossRef]
- Cieślik, B.M.; Namieśnik, J.; Konieczka, P. Review of sewage sludge management: Standards, regulations and analytical methods. J. Clean. Prod. 2015, 90, 1–15. [Google Scholar] [CrossRef]
- European Union Directive 2009/28/EC of the European Parliament and of the Council of 23 April 2009 on the promotion of the Use of Energy from Renewable Sources and Amending and Subsequently Repealing Directives 2001/77/EC and 2003/30/EC (Text with EEA Relevance). Off. J. Eur. Union. 2009, 5, 39–85.
- Šuňovská, A.; Horník, M.; Pipíška, M.; Lesný, J.; Augustín, J.; Hostin, S. Characterization of soil additive derived from sewage sludge. Nova Biotechnol. Chim. 2013, 12, 141–153. [Google Scholar] [CrossRef][Green Version]
- Wierzbowska, J.; Sienkiewicz, S.; Krzebietke, S.; Sternik, P. Sewage sludge as a source of nitrogen and phosphorus for Virginia fanpetals. Bulg. J. Agric. Sci. 2016, 22, 722–727. [Google Scholar]
- Gong, B.; Deng, Y.; Yang, Y.; Tan, S.N.; Liu, Q.; Yang, W. Solidification and biotoxicity assessment of thermally treated municipal solid waste incineration (MSWI) fly ash. Int. J. Environ. Res. Public Health 2017, 14, 626. [Google Scholar] [CrossRef]
- Schumann, A.W.; Sumner, M. Formulation of environmentally sound waste mixtures for land application. Water Air Soil Pollut. 2004, 152, 195–217. [Google Scholar] [CrossRef]
- Quant, B. Przeciwdziałanie negatywnemu oddziaływaniu składowisk odpadów paleniskowych na otoczenie z wykorzystaniem osadów ściekowych. Ekol. Tech. 2000, 8, 95–99. (In Polish) [Google Scholar]
- Rutkowska, B.; Szulc, W.; Łabętowicz, J. Ocena zagrożeń dla środowiska glebowego w warunkach wnoszenia metali ciężkich w komunalnym osadzie ściekowym. Rocz. Glebozn. 2004, 55, 203–208. (In Polish) [Google Scholar]
- Greinert, A.; Mrówczyńska, M.; Szefner, W. Study on the possibilities of natural use of ash granulate obtained from the combustion of pellets from plant biomass. Energies 2019, 12, 2569. [Google Scholar] [CrossRef]
- Kicińska, A.; Kosa-Burda, B.; Kozub, P. Utilization of a sewage sludge for rehabilitating the soils degraded by the metallurgical industry and a possible environmental risk involved. Hum. Ecol. Risk Assess. 2018, 24, 1990–2010. [Google Scholar] [CrossRef]
- Ukwattage, N.L.; Ranjith, P.G.; Bouazza, M. The use of coal combustion fly ash as a soil amendment in agricultural lands (with comments on its potential to improve food security and sequester carbon). Fuel 2013, 109, 400–408. [Google Scholar] [CrossRef]
- Pietrzykowski, M.; Krzaklewski, W.; Woś, B. Zawartość pierwiastków śladowych (Mn, Zn, Cu, Cd, Pb, Cr) w liściach olsz (Alnus sp.) Zastosowanych jako gatunki fitomelioracyjne na składowisku odpadów paleniskowych. Zeszyty Naukowe. Inżynieria Środowiska Uniwersytet Zielonogórski 2013, 151, 26–34. (In Polish) [Google Scholar]
- Leewis, M.C.; Reynolds, C.M.; Leigh, M.B. Long-term effects of nutrient addition and phytoremediation on diesel and crude oil contaminated soils in subarctic Alaska. Cold Reg. Sci. Technol. 2013, 96, 129–137. [Google Scholar] [CrossRef]
- Yuan, Y.; Zhao, Z.; Bai, Z.; Wang, H.; Wang, Y.; Niu, S. Reclamation patterns vary carbon sequestration by trees and soils in an opencast coal mine. Catena 2016, 147, 404–410. [Google Scholar] [CrossRef]
- Schaberg, P.G.; DeHayes, D.H.; Hawley, G.J.; Nijensohn, S.E. Anthropogenic alterations of genetic diversity within tree populations: Implications for forest ecosystem resilience. For. Ecol. Manag. 2008, 256, 855–862. [Google Scholar] [CrossRef]
- Bandyopadhyay, S.; Novo, L.A.B.; Pietrzykowski, M.; Maiti, S.K. Assessment of forest ecosystem development in coal mine degraded land by using integrated mine soil quality index (IMSQI): The evidence from India. Forests 2020, 11, 1310. [Google Scholar] [CrossRef]
- Mukhopadhyay, S.; Maiti, S.K.; Masto, R.E. Use of reclaimed mine soil index (RMSI) for screening of tree species for reclamation of coal mine degraded land. Ecol. Eng. 2013, 57, 133–142. [Google Scholar] [CrossRef]
- Muilu-Mäkelä, R.; Vuosku, J.; Läärä, E.; Saarinen, M.; Heiskanen, J.; Häggman, H.; Sarjala, T. Water availability influences morphology, mycorrhizal associations, PSII efficiency and polyamine metabolism at early growth phase of Scots pine seedlings. Plant. Physiol. Biochem. 2015, 88, 70–81. [Google Scholar] [CrossRef]
- Löf, M.; Bolte, A.; Welander, N.T. Interacting effects of irradiance and water stress on dry weight and biomass partitioning in Fagus sylvatica seedlings. Scand. J. For. Res. 2005, 20, 322–328. [Google Scholar] [CrossRef]
- Chakraborty, T.; Saha, S.; Matzarakis, A.; Reif, A. Influence of multiple biotic and abiotic factors on the crown die-back of European beech trees at their drought limit. Flora 2017, 229, 58–70. [Google Scholar] [CrossRef]
- Gazol, A.; Camarero, J.J.; Jiménez, J.J.; Moret-Fernández, D.; López, M.V.; Sangüesa-Barreda, G.; Igual, J.M. Beneath the canopy: Linking drought-induced forest die off and changes in soil properties. For. Ecol. Manag. 2018, 422, 294–302. [Google Scholar] [CrossRef]
- Derome, J.; Saarsalmi, A. The effect of liming and correction fertilisation on heavy metal and macronutrient concentrations in soil solution in heavy-metal polluted Scots pine stands. Environ. Pollut. 1999, 104, 249–259. [Google Scholar] [CrossRef]
- Grobelak, A.; Placek, A.; Grosser, A.; Singh, B.R.; Almås, Å.R.; Napora, A.; Kacprzak, M. Effects of single sewage sludge application on soil phytoremediation. J. Clean. Prod. 2017, 155, 189–197. [Google Scholar] [CrossRef]
- Pająk, M.; Halecki, W.; Gąsiorek, M. Accumulative response of Scots pine (Pinus sylvestris L.) and silver birch (Betula pendula Roth) to heavy metals enhanced by Pb-Zn ore mining and processing plants: Explicitly spatial considerations of ordinary kriging based on a GIS approach. Chemosphere 2017, 168, 851–859. [Google Scholar] [CrossRef] [PubMed]
- Stefanowicz, A.M.; Stanek, M.; Woch, M.W. High concentrations of heavy metals in beech forest understory plants growing on waste heaps left by Zn-Pb ore mining. J. Geochem. Explor. 2016, 169, 157–162. [Google Scholar] [CrossRef]
- Gruba, P. The influence of trees on spatial variability of pH in top horizons of forest soil. Sylwan 2009, 153, 332–337. [Google Scholar]
- Horodecki, P.; Jagodziński, A.M. Tree species effects on litter decomposition in pure stands on afforested post-mining sites. For. Ecol. Manag. 2017, 406, 1–11. [Google Scholar] [CrossRef]
- Krzaklewski, W. Podstawy Rekultywacji Leśnej; Wydawnictwo Uniwersytetu Rolniczego w Krakowie: Kraków, Poland, 2017; pp. 111–125. (In Polish) [Google Scholar]
- Jaworski, A. Charakterystyka Hodowlana Drzew i Krzewów Leśnych; Powszechne Wydawnictwo Rolnicze i Leśne: Warszawa, Poland, 2011; pp. 37–365. (In Polish) [Google Scholar]
- Pietrzykowski, M.; Woś, B.; Pająk, M.; Wanic, T.; Krzaklewski, W.; Chodak, M. The impact of alders (Alnus spp.) on the physico-chemical properties of technosols on a lignite combustion waste disposal site. Ecol. Eng. 2018, 120, 180–186. [Google Scholar] [CrossRef]
- Eckenwalder, J.E. Conifers of the World: The Complete Reference; Timber Press: Portland, OR, USA, 2009; pp. 90–111. [Google Scholar]
- Chodak, M. Near-infrared spectroscopy for rapid estimation of microbial properties in reclaimed mine soils. J. Plant. Nutr. Soil Sci. 2011, 174, 702–709. [Google Scholar] [CrossRef]
- Knoche, D.; Ertele, C. Infection of Scots pine afforestation (Pinus sylvestris L.) by annosum root rot (Heterobasidion annosum (Fr.) Bref.) in the eastern german lignite district. Civ. Environ. Eng. Rep. 2010, 4, 35–45. [Google Scholar]
- Pietrzykowski, M. (Red.) Analiza i Optymalizacja Metod Klasyfikacji Siedlisk i Kryteriów oceny Rekultywacji leśnej na Wybranych Terenach Pogórniczych w Polsce; Wydawnictwo Uniwersytetu Rolniczego: Kraków, Poland, 2010; Volume 1, p. 214. (In Polish) [Google Scholar]
- Mauer, O.; Mauerová, P. The effect of planting stock growing technology on the development of mycorrhiza. Sylwan 2009, 153, 117–124. [Google Scholar]
- Di Carlo, E.; Boullemant, A.; Courtney, R. Ecotoxicological risk assessment of revegetated bauxite residue: Implications for future rehabilitation programmes. Sci. Total Environ. 2020, 698, 134344. [Google Scholar] [CrossRef]
- Papadimitriou, C.A.; Haritou, I.; Samaras, P.; Zouboulis, A.I. Evaluation of leaching and ecotoxicological properties of sewage sludge–fly ash mixtures. Environ. Res. 2008, 106, 340–348. [Google Scholar] [CrossRef] [PubMed]
- Selivanovskaya, S.Y.; Latypova, V.Z. Effects of composted sewage sludge on microbial biomass, activity and pine. J. Waste Manag. 2006, 26, 1253–1258. [Google Scholar] [CrossRef] [PubMed]
- Oleszczuk, P. The toxicity of composts from sewage sludges evaluated by the direct contact tests phytotoxkit and ostracodtoxkit. J. Waste Manag. 2008, 28, 1645–1653. [Google Scholar] [CrossRef] [PubMed]
- Oleszczuk, P. Phytotoxicity of municipal sewage sludge composts related to physico-chemical properties, PAHs and heavy metals. Ecotoxicol. Environ. Saf. 2008, 69, 496–505. [Google Scholar] [CrossRef]
- Stefaniuk, M.; Oleszczuk, P. Addition of biochar to sewage sludge decreases freely dissolved PAHs content and toxicity of sewage sludge-amended soil. Environ. Pollut. 2016, 218, 242–251. [Google Scholar] [CrossRef]
- Romanowska-Duda, Z.; Janas, R.; Grzesik, M. Application of Phytotoxkit in the quick assessment of ashes suitability as fertilizers in sorghum crops. Int. Agrophys. 2019, 33, 145–152. [Google Scholar] [CrossRef]
- Samaras, P.; Papadimitriou, C.A.; Haritou, I.; Zouboulis, A.I. Investigation of sewage sludge stabilization potential by the addition of fly ash and lime. J. Hazard. Mater. 2008, 154, 1052–1059. [Google Scholar] [CrossRef]
- Walter, I.; Martinez, F.; Cala, V. Heavy metal speciation and phytotoxic effects of three representative sewage sludges for agricultural uses. Environ. Pollut. 2006, 139, 507–514. [Google Scholar] [CrossRef]
- Jarosz-Krzemińska, E.; Poluszyńska, J. Repurposing fly ash derived from biomass combustion in fluidized bed boilers in large energy power plants as a mineral soil amendment. Energies 2020, 13, 4805. [Google Scholar] [CrossRef]
- Mosquera-Losada, M.R.; Fernández-Núñez, E.; Rigueiro-Rodríguez, A. Pasture, tree and soil evolution in silvopastoral systems of Atlantic Europe. For. Ecol. Manag. 2006, 232, 135–145. [Google Scholar] [CrossRef][Green Version]
- Nichols, C.G. US forestry uses of municipal sewage sludge. In Alternative Uses for Sewage Sludge Proceedings of a Conference Organised by WRc Medmenham and Held at the University of York, UK on 5–7 September 1989; Pergamon: York, UK, 1991; pp. 155–165. [Google Scholar]
- Bramryd, T. Effects of liquid and dewatered sewage sludge applied to a Scots pine stand (Pinus sylvestris L.) in Central Sweden. For. Ecol. Manag. 2001, 147, 197–216. [Google Scholar] [CrossRef]
- Siebielec, G.; Siebielec, S.; Lipski, D. Long-term impact of sewage sludge, digestate and mineral fertilizers on plant yield and soil biological activity. J. Clean. Prod. 2018, 187, 372–379. [Google Scholar] [CrossRef]
- Belay, A.; Claassens, A.; Wehner, F. Effect of direct nitrogen and potassium and residual phosphorus fertilizers on soil chemical properties, microbial components and maize yield under long-term crop rotation. Biol. Fertil. Soils. 2002, 35, 420–427. [Google Scholar]
- Pietrzykowski, M.; Woś, B.; Pająk, M.; Wanic, T.; Krzaklewski, W.; Chodak, M. Reclamation of a lignite combustion waste disposal site with alders (Alnus sp.): Assessment of tree growth and nutrient status within 10 years of the experiment. Environ. Sci. Pollut. Res. 2018, 25, 17091–17099. [Google Scholar] [CrossRef] [PubMed]
- Yu, C.-L.; Deng, Q.; Jian, S.; Li, J.; Dzantor, E.K.; Hui, D. Effects of fly ash application on plant biomass and element accumulations: A meta-analysis. Environ. Pollut. 2019, 250, 137–142. [Google Scholar] [CrossRef]
- Kenneth, S.; Sajwan, W.; Ornes, H.; Youngblood, T. The effect of fly ash/sewage sludge mixtures and application rates on biomass production. J. Environ. Sci. Health A 1995, 30, 1327–1337. [Google Scholar]
- Ma, B.; Liu, L.; Zhao, Y.; Zhang, C.; Hu, Z.; Leng, P. Evaluation of the environmental and plant growth effectiveness of a new substrate consisting of municipal sludge and fly ash. J. Waste Manag. 2019, 99, 163–171. [Google Scholar] [CrossRef]
- Kirchmann, H.; Börjesson, G.; Kätterer, T.; Cohen, Y. From agricultural use of sewage sludge to nutrient extraction: A soil science outlook. Ambio 2016, 46, 143–154. [Google Scholar] [CrossRef] [PubMed]
- Radziemska, M.; Bęś, A.; Gusiatin, Z.M.; Cerda, A.; Mazur, Z.; Jeznach, J.; Kowal, P.; Brtnický, M. The combined effect of phytostabilization and different amendments on remediation of soils from post-military areas. Sci. Total Environ. 2019, 688, 37–45. [Google Scholar] [CrossRef]
- Dąbrowski, P.; Baczewska, A.H.; Pawluśkiewicz, B.; Paunov, M.; Alexantrov, V.; Goltsev, V.; Kalaji, M.H. Prompt chlorophyll a fluorescence as a rapid tool for diagnostic changes in PSII structure inhibited by salt stress in Perennial ryegrass. J. Photochem. Photobiol. B Biol. 2016, 157, 22–31. [Google Scholar] [CrossRef] [PubMed]
- Kalaji, H.M.; Račková, L.; Paganová, V.; Swoczyna, T.; Rusinowski, S.; Sitko, K. Can chlorophyll- a fluorescence parameters be used as bio-indicators to distinguish between drought and salinity stress in Tilia cordata Mill. Environ. Exp. Bot. 2018, 152, 149–157. [Google Scholar] [CrossRef]
- Baker, N.R.; Oxborough, K.; Lawson, T.; Morison, J.I.L. High resolution imaging of photosynthetic activities of tissues, cells and chloroplasts in leaves. J. Exp. Bot. 2001, 52, 615–621. [Google Scholar] [CrossRef] [PubMed]
- Lawson, T.; Oxborough, K.; Morison, J.I.L.; Baker, N.R. Responses of photosynthetic electron transport in stomatal guard cells and mesophyll cells in intact leaves to light, CO2, and humidity. Plant. Physiol. 2002, 128, 52–62. [Google Scholar] [CrossRef]
- Sikorski, Ł.; Baciak, M.; Bęś, A.; Adomas, B. The effects of glyphosate-based herbicide formulations on Lemna minor, a non-target species. Aquat. Toxicol. 2019, 209, 70–80. [Google Scholar] [CrossRef]
- Banks, J.M. Chlorophyll fluorescence as a tool to identify drought stress in Acer genotypes. Environ. Exp. Bot. 2018, 155, 118–127. [Google Scholar] [CrossRef]
- Percival, G.C.; Keary, I.P.; AL-Habsi, S. An assessment of the drought tolerance of Fraxinus genotypes for urban landscape plantings. Urban. For. Urban. Green. 2006, 5, 17–27. [Google Scholar] [CrossRef]
- Sakugawa, H.; Cape, J.N. Harmful effects of atmospheric nitrous acid on the physiological status of Scots pine trees. Environ. Pollut. 2007, 147, 532–534. [Google Scholar] [CrossRef][Green Version]
- Pšidová, E.; Živčák, M.; Stojnić, S.; Orlović, S.; Gömöry, D.; Kučerová, J.; Ditmarová, Ľ.; Střelcová, K.; Brestič, M.; Kalaji, H.M. Altitude of origin influences the responses of PSII photochemistry to heat waves in European beech (Fagus sylvatica L.). Environ. Exp. Bot. 2018, 152, 97–106. [Google Scholar] [CrossRef]
- Romanowska-Duda, Z.; Grzesik, M.; Jansa, R. Maximal efficiency of PSII as a marker of sorghum development fertilized with waste from a biomass biodigestion to methane. Front. Plant. Sci. 2019, 9, 1920. [Google Scholar] [CrossRef]
- Kayama, M.; Quoreshi, A.M.; Kitaoka, S.; Kitahashi, Y.; Sakamoto, Y.; Maruyama, Y.; Kitao, M.; Koike, T. Effects of deicing salt on the vitality and health of two spruce species, Picea abies Karst., and Picea glehnii Masters planted along roadsides in Northern Japan. Environ. Pollut. 2003, 124, 127–137. [Google Scholar] [CrossRef]
- Salmela, M.J.; Cavers, S.; Cottrell, J.E.; Iason, G.R.; Ennos, R.A. Seasonal patterns of photochemical capacity and spring phenology reveal genetic differentiation among native Scots pine (Pinus sylvestris L.) populations in Scotland. For. Ecol. Manag. 2011, 262, 1020–1029. [Google Scholar] [CrossRef]
- Pearson, M.; Saarinen, M.; Nummelin, L.; Heiskanen, J.; Roitto, M.; Sarjala, T.; Laine, J. Tolerance of peat-grown Scots pine seedlings to waterlogging and drought: Morphological, physiological, and metabolic responses to stress. For. Ecol. Manag. 2013, 307, 43–53. [Google Scholar] [CrossRef]
- Gajić, G.; Djurdjević, L.; Kostić, O.; Jarić, S.; Stevanović, B.; Mitrović, M.; Pavlović, P. Phytoremediation potential, photosynthetic and antioxidant response to arsenic-induced stress of Dactylis glomerata L. sown on fly ash deposits. Plants 2020, 9, 657. [Google Scholar] [CrossRef]
- Pavlović, P.; Mitrović, M.; Djurdjević, L. An ecophysiological study of plants growing on the fly ash deposits from the “Nikola Tesla—A” thermal power station in Serbia. Environ. Manag. 2004, 33, 654–663. [Google Scholar] [CrossRef] [PubMed]
- Mitrović, M.; Pavlović, P.; Lakušić, D.; Stevanović, B.; Djurdjević, L.; Kostić, O.; Gajić, G. The potential of Festuca rubra and Calamagrostis epigejos for the revegetation on fly ash deposits. Sci. Total Environ. 2008, 72, 1090–1101. [Google Scholar] [CrossRef] [PubMed]
- Gajić, G.; Pavlović, P.; Kostić, O.; Jarić, S.; Djurdjević, L.; Pavlović, D.; Mitrović, M. Ecophysiological and biochemical traits of three herbaceous plants growing of the disposed coal combustion fly ash of different weathering stage. Arch. Biol. Sci. 2013, 65, 1651–1667. [Google Scholar] [CrossRef]
- Gajić, G.; Djurdjević, L.; Kostić, O.; Jarić, S.; Mitrović, M.; Stevanović, B.; Pavlović, P. Assessment of the phytoremediation potential and an adaptive response of Festuca rubra L. sown on fly ash deposits: Native grass has a pivotal role in ecorestoration management. Ecol. Eng. 2016, 93, 250–261. [Google Scholar] [CrossRef]
- Żołnierz, L.; Weber, J.; Gilewska, M.; Strączyńska, S.; Pruchniewicz, D. The spontaneous development of understory vegetation on reclaimed and afforested post-mine excavation filled with fly ash. Catena 2016, 136, 84–90. [Google Scholar] [CrossRef]
- Burducea, M.; Lobiuc, A.; Asandulesa, M.; Zaltariov, M.-F.; Burducea, I.; Popescu, S.M.; Zheljazkov, V.D. Effects of sewage sludge amendments on the growth and physiology of sweet basil. Agronomy 2019, 9, 548. [Google Scholar] [CrossRef]
- Pengcheng, G.; Xinbao, T.; Yanan, T.; Yingxu, C. Application of sewage sludge compost on highway embankments. J. Waste Manag. 2008, 28, 1630–1636. [Google Scholar] [CrossRef] [PubMed]
- Mazen, A.; Faheed, F.A.; Ahmed, A.F. Study of potential impacts of using sewage sludge in the amendment of desert reclaimed soil on wheat and jews mallow plants. Braz. Arch. Biol. Technol. 2010, 53, 917–930. [Google Scholar] [CrossRef]
- Zhang, X.; Huang, G.; Bian, X.; Zhao, Q. Effects of root interaction and nitrogen fertilization on the chlorophyll content, root activity, photosynthetic characteristics of intercropped soybean and microbial quantity in the rhizosphere. Plant. Soil Environ. 2013, 59, 80–88. [Google Scholar] [CrossRef]
- Martinez, L.J.; Ramos, M.A. Estimation of chlorophyll concentration in maize using spectral reflectance. Int. Arch. Photog. Remote Sens. Spat. Inf. Sci. 2015, 40, 65–71. [Google Scholar] [CrossRef]
- Herrmann, I.; Karnieli, A.; Bonfil, D.J.; Cohen, Y.; Alchanatis, V. SWIR-based spectral indices for assessing nitrogen content in potato fields. Int. J. Remote Sens. 2010, 31, 5127–5143. [Google Scholar] [CrossRef]
- Homolová, L.; Malenovský, Z.; Clevers, J.G.P.W.; García-Santos, G.; Schaepman, M.E. Review of optical-based remote sensing for plant trait mapping. Ecol. Complex. 2013, 15, 1–16. [Google Scholar] [CrossRef]
- Camino, C.; González-Dugo, V.; Hernández, P.; Sillero, J.C.; Zarco-Tejada, P.J. Improved nitrogen retrievals with airborne-derived fluorescence and plant traits quantified from VNIR-SWIR hyperspectral imagery in the context of precision agriculture. Int. J. Appl. Earth Obs. Geoinf. 2018, 70, 105–117. [Google Scholar] [CrossRef]
- Corp, L.A.; McMurtrey, J.E.; Middleton, E.M.; Mulchi, C.L.; Chappelle, E.W.; Daughtry, C.S.T. Fluorescence sensing systems: In vivo detection of biophysical variations in field corn due to nitrogen supply. Remote Sens. Environ. 2003, 86, 470–479. [Google Scholar] [CrossRef]
- Schächtl, J.; Huber, G.; Maidl, F.-X.; Sticksel, E.; Schulz, J.; Haschberger, P. Laser induced chlorophyll fluorescence measurements for detecting the nitrogen status of wheat (Triticum aestivum L.) canopies. Precis. Agric. 2005, 6, 143–156. [Google Scholar] [CrossRef]
- Cendrero-Mateo, M.P.; Moran, M.S.; Papuga, S.A.; Thorp, K.R.; Alonso, L.; Moreno, J.; Campos, G.P.; Rascher, U.; Wang, G. Plant chlorophyll fluorescence: Active and passive measurements at canopy and leaf scales with different nitrogen treatments. J. Exp. Bot. 2016, 67, 275–286. [Google Scholar] [CrossRef] [PubMed]
- Shool, A.; Shamshiri, M.H. Effect of arbuscular mycorrhizal fungi and Pseudomonas fluorescence on chlorophyll fluorescence and photosynthetic pigments of pistachio seedlings (Pistacia vera cv. Qazvini) under four water regimes. Eur. J. Exp. Biol. 2014, 4, 246–252. [Google Scholar]
- Jastrzębska, M.; Kostrzewska, M.K. Using an environment-friendly fertiliser from sewage sludge ash with the addition of Bacillus megaterium. Minerals 2019, 9, 423. [Google Scholar] [CrossRef]
- Kalaji, M.H.; Schanskser, G.; Ladle, R.J.; Goltsev, V.; Bosak, K.; Allakhverdiev, S.I.; Brestic, M.; Bussotti, F.; Calatayud, A.; Dąbrowski, P.; et al. Frequently asked questions about chlorophyll fluorescence: Practical issues. Photosynth. Res. 2014, 122, 121–158. [Google Scholar] [CrossRef] [PubMed]
- Tan, L.P.; He, J.; Lee, S.K. Physiological responses of certain ornamental plants to sludge and artificial topsoils derived from flyash, sludge, and rengam series subsoil. J. Plant. Nutr. 1999, 22, 987–999. [Google Scholar] [CrossRef]
- Badek, B.; Romanowska-Duda, Z.; Grzesik, M.; Kuras, A. Physiological markers for assessing germinability of Lycopersicon esculentum seeds primed by environment-friendly methods. Pol. J. Environ. Stud. 2016, 25, 1831–1838. [Google Scholar] [CrossRef]
- Badek, B.; Romanowska-Duda, Z.; Grzesik, M.; van Dujin, B. Rapid evaluation of germinability of primed china aster (Callistephus chinensis Ness.) seeds with physiological and biochemical markers. J. Hort. Res. 2014, 22, 5–18. [Google Scholar] [CrossRef]
- Romanowska-Duda, Z.; Grzesik, M.; Kalaji, H.M. Phytotoxkit test in growth assessment of corn as an energy plant fertilized with sewage sludge. Environ. Prot. Eng. 2010, 36, 73–81. [Google Scholar]






| Parameter | Measured Value | ||
|---|---|---|---|
| Sewage Sludge (SS) | Coal Fly Ash (CFA) | Control Soil | |
| pH H2O | 7.21 | 9.97 | 7.72 |
| Mn (mg/kg) | 310.00 | 274.00 | 69.32 |
| Zn (mg/kg) | 516.00 | 52.7 | 8.85 |
| Cu (mg/kg) | 114.0 | 25.00 | 1.54 |
| Cd (mg/kg) | 3.40 | 0.40 | 0.08 |
| Pb (mg/kg) | 34.7 | 19.1 | 4.97 |
| Cr (mg/kg) | 18.6 | 21.1 | 14.22 |
| Electrical conductivity (S/m) | 0.23 | 0.714 | 0.02 |
| N-total (%) | 4.91 | 0.11 | 0.141 |
| C (%) | 42.74 | 10.19 | 1.84 |
| Granulometric composition (% fraction content) | |||
| 2–0.05 mm | - | - | 72.21 |
| 0.05–0.02 mm | - | - | 15.13 |
| 0.02–0.002 mm | - | - | 11.30 |
| <0.002 mm | - | - | 1.36 |
| No of Mixture | Sewage Sludge (SS) [%] | Coal Fly Ash (CFA) [%] |
|---|---|---|
| Control—soil (Control) | 0 | 0 |
| 1 (0SS/100CFA) | 0 | 100 |
| 2 (5SS/95FCA) | 5 | 95 |
| 3 (9SS/91CFA) | 9 | 91 |
| 4 (16SS/84CFA) | 16 | 84 |
| 5 (29SS/71CFA) | 29 | 71 |
Publisher’s Note: MDPI stays neutral with regard to jurisdictional claims in published maps and institutional affiliations. |
© 2021 by the authors. Licensee MDPI, Basel, Switzerland. This article is an open access article distributed under the terms and conditions of the Creative Commons Attribution (CC BY) license (https://creativecommons.org/licenses/by/4.0/).
Share and Cite
Bęś, A.; Sikorski, Ł.; Szreder, K. The Effect of Mineral-Based Mixtures Containing Coal Fly Ash and Sewage Sludge on Chlorophyll Fluorescence and Selected Morphological Parameters of Deciduous and Coniferous Trees. Minerals 2021, 11, 778. https://doi.org/10.3390/min11070778
Bęś A, Sikorski Ł, Szreder K. The Effect of Mineral-Based Mixtures Containing Coal Fly Ash and Sewage Sludge on Chlorophyll Fluorescence and Selected Morphological Parameters of Deciduous and Coniferous Trees. Minerals. 2021; 11(7):778. https://doi.org/10.3390/min11070778
Chicago/Turabian StyleBęś, Agnieszka, Łukasz Sikorski, and Krzysztof Szreder. 2021. "The Effect of Mineral-Based Mixtures Containing Coal Fly Ash and Sewage Sludge on Chlorophyll Fluorescence and Selected Morphological Parameters of Deciduous and Coniferous Trees" Minerals 11, no. 7: 778. https://doi.org/10.3390/min11070778
APA StyleBęś, A., Sikorski, Ł., & Szreder, K. (2021). The Effect of Mineral-Based Mixtures Containing Coal Fly Ash and Sewage Sludge on Chlorophyll Fluorescence and Selected Morphological Parameters of Deciduous and Coniferous Trees. Minerals, 11(7), 778. https://doi.org/10.3390/min11070778

