Low Molecular Weight Organic Acids Increase Cd Accumulation in Sunflowers through Increasing Cd Bioavailability and Reducing Cd Toxicity to Plants
Abstract
1. Introduction
2. Methods and Materials
2.1. Soil Preparation
2.2. Experimental Design and Sampling
2.3. Measurement
2.3.1. Plant Height, Biomass, and Nonprotein Sulfhydryl (NPT)
2.3.2. Soil Index
2.3.3. Cadmium in the Plant Tissues and Soil
2.4. Statistical Analysis
3. Results
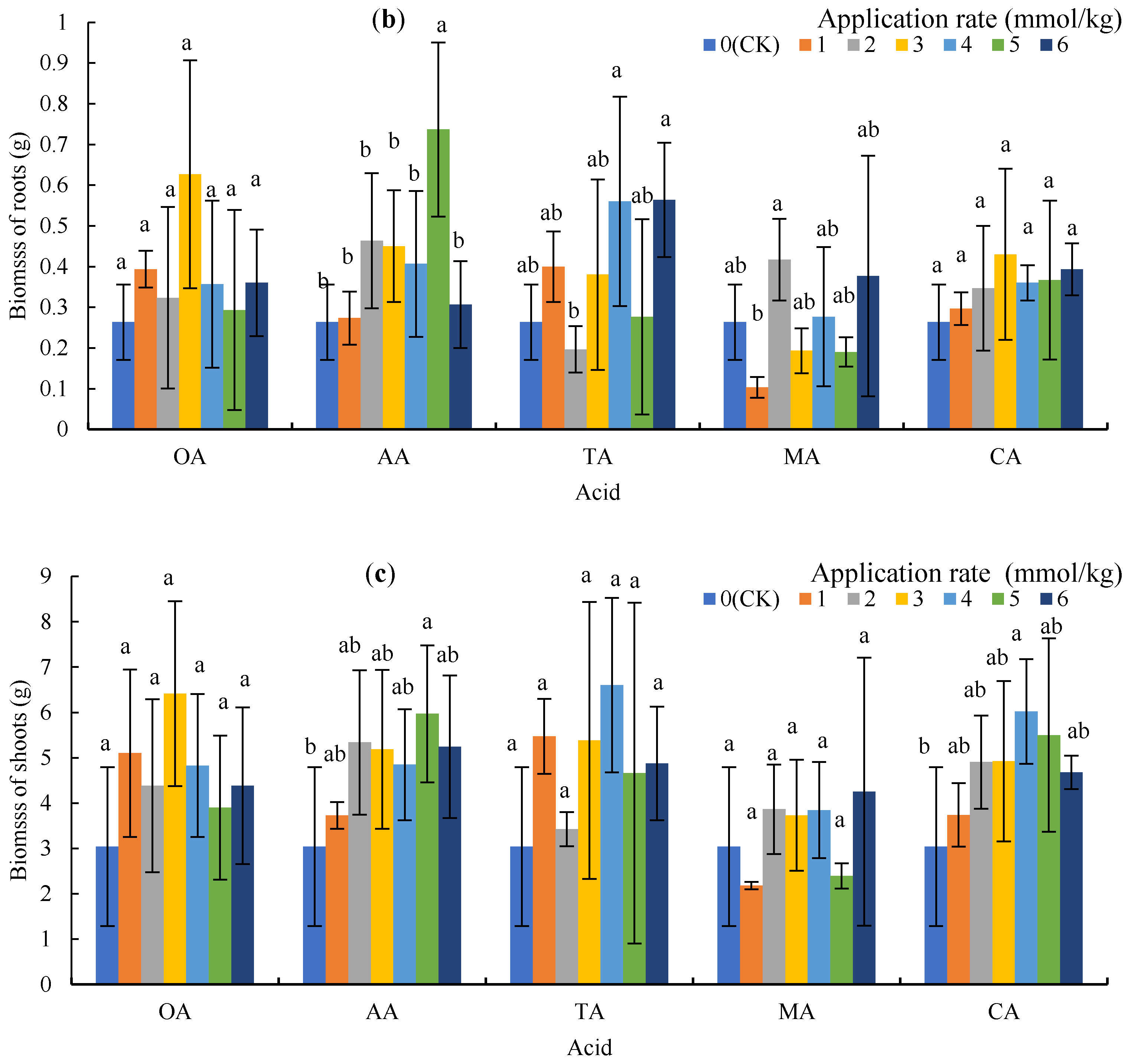
3.1. Plant Height and Biomass
3.2. Cd Form in Soil
3.3. Nonprotein Sulfhydryl (NPT) in Plant Tissues
3.4. The Relationship between Soil Cd, Soil NPK, and Plant Cd
4. Discussion
4.1. The Effect of Organic Acid on Plant Growth and Soil TN and TP
4.2. The Effects of Organic Acids on Soil Cd
4.3. Organic Acids Are Beneficial to the Cd Detoxification of Plants
5. Conclusions
Supplementary Materials
Author Contributions
Funding
Institutional Review Board Statement
Informed Consent Statement
Data Availability Statement
Acknowledgments
Conflicts of Interest
References
- Sowana, A.; Shrestha, R.P.; Parkpian, P.; Pongquan, S. Influence of coastal land use on soil heavy-metal contamination in pattani bay, thailand. J. Coast. Res. 2011, 27, 252–262. [Google Scholar] [CrossRef]
- Nikolic, N.; Nikolic, M. Gradient analysis reveals a copper paradox on floodplain soils under long-term pollution by mining waste. Sci. Total Environ. 2012, 425, 146–154. [Google Scholar] [CrossRef]
- Savic, R.; Ondrasek, G.; Josimov-Dundjerski, J. Heavy metals in agricultural landscapes as hazards to human and ecosystem health: A case study on zinc and cadmium in drainage channel sediments. J. Sci. Food Agric. 2015, 95, 466–470. [Google Scholar] [CrossRef] [PubMed]
- Awofolu, O.R.; Mbolekwa, Z.; Mtshemla, V.; Fatoki, O.S. Levels of trace metals in water and sediment from tyume river and its effects on an irrigated farmland. Water 2005, 31, 87–94. [Google Scholar] [CrossRef]
- Zhuang, S.K.; Lu, X.W. Environmental risk evaluation and source identification of heavy metal(loid)s in agricultural soil of shangdan valley, northwest china. Sustainability 2020, 12, 5806. [Google Scholar] [CrossRef]
- Chen, Q.W.; Dong, J.W.; Yi, Q.T.; Liu, X.L.; Zhang, J.Y.; Zeng, Z.X. Proper mode of using rice straw biochar to treat cd-contaminated irrigation water in mining regions based on a multiyear in situ experiment. ACS Sustain. Chem. Eng. 2019, 7, 9928–9936. [Google Scholar] [CrossRef]
- Ahmad, K.; Wajid, K.; Khan, Z.I.; Ugulu, I.; Memoona, H.; Sana, M.; Nawaz, K.; Malik, I.S.; Bashir, H.; Sher, M. Evaluation of potential toxic metals accumulation in wheat irrigated with wastewater. Bull. Environ. Contam. Toxicol. 2019, 102, 822–828. [Google Scholar] [CrossRef] [PubMed]
- Haroon, B.; Ping, A.; Pervez, A.; Faridullah, F.; Irshad, M. Characterization of heavy metal in soils as affected by long-term irrigation with industrial wastewater. J. Water Reuse Desalin. 2019, 9, 47–56. [Google Scholar] [CrossRef]
- Anyanwu, E.D.; Nwachukwu, E.D. Heavy metal content and health risk assessment of a south-eastern nigeria river. Appl. Water Sci. 2020, 10, 1–9. [Google Scholar] [CrossRef]
- Shang, D.; Geissler, B.; Mew, M.; Satalkina, L.; Zenk, L.; Tulsidas, H.; Barker, L.; El-Yahyaoui, A.; Hussein, A.; Taha, M.; et al. Unconventional uranium in china’s phosphate rock: Review and outlook. Renew. Sustain. Energy Rev. 2021, 140, 110740. [Google Scholar] [CrossRef]
- Lin, H.; Liu, C.; Li, B.; Dong, Y. Trifolium repens l. Regulated phytoremediation of heavy metal contaminated soil by promoting soil enzyme activities and beneficial rhizosphere associated microorganisms. J. Hazard. Mater. 2021, 402, 123829. [Google Scholar] [CrossRef] [PubMed]
- Zine, H.; Elgadi, S.; Hakkou, R.; Papazoglou, E.; Midhat, L.; Ahmed, O. Wild plants for the phytostabilization of phosphate mine waste in semi-arid environments: A field experiment. Minerals 2020, 11, 42. [Google Scholar] [CrossRef]
- Zhang, X.; Zhang, Y.; Liu, X.; Zhang, C.; Dong, S.; Liu, Q.; Deng, M. Cd uptake by phytolacca americana l. Promoted by cornstalk biochar amendments in cd-contaminated soil. Int. J. Phytoremediation 2020, 22, 251–258. [Google Scholar] [CrossRef] [PubMed]
- Parzentny, H.R.; Róg, L. Distribution and mode of occurrence of co, ni, cu, zn, as, ag, cd, sb, pb in the feed coal, fly ash, slag, in the topsoil and in the roots of trees and undergrowth downwind of three power stations in poland. Minerals 2021, 11, 133. [Google Scholar] [CrossRef]
- Yu, G.; Liu, J.; Long, Y.; Chen, Z.; Sunahara, G.I.; Jiang, P.; You, S.; Lin, H.; Xiao, H. Phytoextraction of cadmium-contaminated soils: Comparison of plant species and low molecular weight organic acids. Int. J. Phytoremed. 2020, 22, 383–391. [Google Scholar] [CrossRef]
- Wang, Z.W.; Wang, W.Z.; Wang, Z.L.; Liu, Y.M.; Ma, M.H.; Wu, J. Impact of a long-term cultivation on low molecular weight organic acids in greenhouse soil and their influence on vegetable uptake heavy metals. Soil Sediment Contam. 2021, 30, 1–11. [Google Scholar] [CrossRef]
- Zalesny, R.S.; Bauer, E.O. Evaluation of populus and salix continuously irrigated with landfill leachate ii. Soils and early tree development. Int. J. Phytoremed. 2007, 9, 307–323. [Google Scholar] [CrossRef][Green Version]
- da Silva, M.; de Andrade, S.A.L.; De-Campos, A.B. Phytoremediation potential of jack bean plant for multi-element contaminated soils from ribeira valley, brazil. Clean-Soil Air Water 2018, 46, 1700321. [Google Scholar] [CrossRef]
- Rezapour, S.; Atashpaz, B.; Moghaddam, S.S.; Damalas, C.A. Heavy metal bioavailability and accumulation in winter wheat (triticum aestivum l.) irrigated with treated wastewater in calcareous soils. Sci. Total Environ. 2019, 656, 261–269. [Google Scholar] [CrossRef]
- Raza, A.; Habib, M.; Kakavand, S.N.; Zahid, Z.; Zahra, N.; Sharif, R.; Hasanuzzaman, M. Phytoremediation of cadmium: Physiological, biochemical, and molecular mechanisms. Biology 2020, 9, 177. [Google Scholar] [CrossRef] [PubMed]
- Yan, X.; Wang, J.Q.; Song, H.C.; Peng, Y.J.; Zuo, S.H.; Gao, T.C.; Duan, X.X.; Qin, D.; Dong, J.Y. Evaluation of the phytoremediation potential of dominant plant species growing in a chromium salt-producing factory wasteland, china. Environ. Sci. Pollut. Res. 2020, 27, 7657–7671. [Google Scholar] [CrossRef] [PubMed]
- Singh, G.; Pankaj, U.; Ajayakumar, P.V.; Verma, R.K. Phytoremediation of sewage sludge by cymbopogon martinii (roxb.) wats. Var. Motia burk. Grown under soil amended with varying levels of sewage sludge. Int. J. Phytoremed. 2020, 22, 540–550. [Google Scholar] [CrossRef] [PubMed]
- Agnello, A.C.; Huguenot, D.; Van Hullebusch, E.D.; Esposito, G. Enhanced phytoremediation: A review of low molecular weight organic acids and surfactants used as amendments. Crit. Rev. Environ. Sci. Technol. 2014, 44, 2531–2576. [Google Scholar] [CrossRef]
- Huang, R.; Dong, M.L.; Mao, P.; Zhuang, P.; Paz-Ferreiro, J.; Li, Y.X.; Li, Y.W.; Hu, X.Y.; Netherway, P.; Li, Z.A. Evaluation of phytoremediation potential of five cd (hyper)accumulators in two cd contaminated soils. Sci. Total Environ. 2020, 721, 137581. [Google Scholar] [CrossRef] [PubMed]
- Duarte, B.; Freitas, J.; Caçador, I. The role of organic acids in assisted phytoremediation processes of salt marsh sediments. Hydrobiologia 2011, 674, 169–177. [Google Scholar] [CrossRef]
- Zhang, H.J.; Lu, T.T.; Shang, Z.B.; Li, Y.X.; He, J.Y.; Liu, S.H.; Li, D.L.; Zhou, Y.M.; Qi, Z.C. Transport of cd2+ through saturated porous media: Insight into the effects of low-molecular-weight organic acids. Water Res. 2020, 168, 115182. [Google Scholar] [CrossRef]
- Suherman; Rachmanda, A.M.; Roto; Morita, K. Effect of low molecular weight organic acid (lmwoa) on the zn2+ desorption from the soil of illegal land fill in yogyakarta-indonesia. In Proceedings of the 14th Joint Conference on Chemistry 2019, Surakarta, Indonesia, 10–11 September 2019; Rahmawati, F., Saraswati, T.E., Nugrahaningtyas, K.D., Marliyana, S.D., Kusumaningsih, T., Eds.; AIP Publishing LLC.: Melville, NY, USA, 2020; Volume 2237. [Google Scholar]
- Geng, H.H.; Wang, F.; Yan, C.C.; Tian, Z.J.; Chen, H.L.; Zhou, B.H.; Yuan, R.F.; Yao, J. Leaching behavior of metals from iron tailings under varying ph and low-molecular-weight organic acids. J. Hazard. Mater. 2020, 383, 121136. [Google Scholar] [CrossRef] [PubMed]
- Ghasemi-Fasaei, R.; Paridar, Z.; Ronaghi, A. The role of low molecular weight organic acids in release kinetics of zinc and cadmium in polluted calcareous soil in the presence of fish scales derivatives. Chem. Ecol. 2020, 1–4. [Google Scholar] [CrossRef]
- Mahimairaja, N.S.B.R.N.; Baskaran, S. Influence of low-molecular-weight organic acids on the solubilization of phosphates. Biol. Fertil. Soils 1994, 18, 311–319. [Google Scholar]
- Song, W.-Y.; Mendoza Cozatl, D.; Lee, Y.; Schroeder, J.; Ahn, S.-N.; Lee, H.-S.; Wicker, T.; Martinoia, E. Phytochelatin–metal(loid) transport into vacuoles shows different substrate preferences in barley and arabidopsis. Plant Cell Environ. 2013, 37, 1192–1201. [Google Scholar] [CrossRef] [PubMed]
- Wei, Z.; Wong, J.W.; Chen, D. Speciation of heavy metal binding non-protein thiols in agropyron elongatum by size-exclusion hplc–icp-ms. Microchem. J. 2003, 74, 207–213. [Google Scholar] [CrossRef]
- Sangman, L.; Jae, S.M.; Tae-Seok, K.; David, P.; Goldsbrough, P.B.; Schuyler, S.K. Overexpression of arabidopsis phytochelatin synthase paradoxically leads to hypersensitivity to cadmium stress. Plant Physiol. 2003, 131, 656–663. [Google Scholar]
- Alloway, B. Heavy Metals in Soils: Trace Metals and Metalloids in Soils and Their Bioavailability; Springer: Dordrecht, The Netherlands, 2013. [Google Scholar]
- Oral, A.; Uygur, V. Effects of low-molecular-mass organic acids on p nutrition and some plant properties of hordeum vulgare. J. Plant Nutr. 2018, 41, 1482–1490. [Google Scholar] [CrossRef]
- Johansen, S.L.; Sivasothy, A.; Dowd, M.K.; Reilly, P.J.; Hammond, E.G. Low-molecular weight organic compositions of acid waters from vegetable oil soapstocks. J. Am. Oil Chem. Soc. 1996, 73, 1275–1286. [Google Scholar] [CrossRef]
- Goksoy, A.T.; Demir, A.O.; Turan, Z.M.; Dagustu, N. Responses of sunflower (helianthus annus l.) to full and limited irrigation at different growth stages. Field Crop. Res. 2004, 87, 167–178. [Google Scholar] [CrossRef]
- Zehra, A.; Sahito, Z.A.; Tong, W.B.; Tang, L.; Hamid, Y.; Wang, Q.; Cao, X.R.; Khan, M.B.; Hussain, B.; Jatoi, S.A.; et al. Identification of high cadmium-accumulating oilseed sunflower (helianthus annuus) cultivars for phytoremediation of an oxisol and an inceptisol. Ecotoxicol. Environ. Saf. 2020, 187, 109857. [Google Scholar] [CrossRef] [PubMed]
- Zhou, J.; Chen, L.H.; Peng, L.; Luo, S.; Zeng, Q.R. Phytoremediation of heavy metals under an oil crop rotation and treatment of biochar from contaminated biomass for safe use. Chemosphere 2020, 247, 125856. [Google Scholar] [CrossRef]
- Benavides, B.J.; Drohan, P.J.; Spargo, J.T.; Maximova, S.N.; Guiltinan, M.J.; Miller, D.A. Cadmium phytoextraction by helianthus annuus (sunflower), brassica napus cv wichita (rapeseed), and chyrsopogon zizanioides (vetiver). Chemosphere 2021, 265, 129086. [Google Scholar] [CrossRef]
- Chen, L.; Hu, W.-F.; Long, C.; Wang, D. Exogenous plant growth regulator alleviate the adverse effects of u and cd stress in sunflower (helianthus annuus l.) and improve the efficacy of u and cd remediation. Chemosphere 2021, 262, 127809. [Google Scholar] [CrossRef] [PubMed]
- Jiang, Y.; Ruan, X.; Ma, J. Heavy metal pollution and classification management of sewage irrigation farmland around a battery factory in xinxiang, henan province. Acta Sci. Circumstantiae 2020, 40, 645–654. [Google Scholar]
- Qiao, D.; Lu, H.; Zhang, X. Change in phytoextraction of cd by rapeseed (brassica napus l.) with application rate of organic acids and the impact of cd migration from bulk soil to the rhizosphere. Environ. Pollut. 2020, 267, 115452. [Google Scholar] [CrossRef]
- Ma, H.; Li, X.; Hou, S.; Peng, D.; Wang, Y.; Xu, F.; Xu, H. The activation and extraction systems using organic acids and lentinus edodes to remediate cadmium contaminated soil. Environ. Pollut. 2019, 255, 113252. [Google Scholar] [CrossRef] [PubMed]
- Rama Devi, S.; Prasad, M.N.V. Copper toxicity in ceratophyllum demersum l. (coontail), a free floating macrophyte: Response of antioxidant enzymes and antioxidants. Plant Sci. 1998, 138, 157–165. [Google Scholar] [CrossRef]
- He, Q.; Wu, Y.; Bing, H.; Zhou, J.; Wang, J. Vegetation type rather than climate modulates the variation in soil enzyme activities and stoichiometry in subalpine forests in the eastern tibetan plateau. Geoderma 2020, 374, 114424. [Google Scholar] [CrossRef]
- Xu, Y.; Wang, X.; Bai, J.; Wang, D.; Wang, W.; Guan, Y. Estimating the spatial distribution of soil total nitrogen and available potassium in coastal wetland soils in the yellow river delta by incorporating multi-source data. Ecol. Indic. 2020, 111, 106002. [Google Scholar] [CrossRef]
- Tessier, A.; Campbell, P.G.; Bisson, M. Sequential extraction procedure for the speciation of particulate trace metals. Anal. Chem. 1979, 51, 844–851. [Google Scholar] [CrossRef]
- Metanat, K.; Ghasemi-Fasaei, R.; Ronaghi, A.; Yasrebi, J. Lead phytostabilization and cationic micronutrient uptake by maize as influenced by pb levels and application of low molecular weight organic acids. Commun. Soil Sci. Plant Anal. 2019, 50, 1887–1896. [Google Scholar] [CrossRef]
- Lu, H.; Qiao, D.; Qi, X.; Hu, C.; Zhao, Z.; Bai, F.; Zhao, Y.; Han, Y. Effects of exogenous organic acids on soil ph, enzyme activity, and cadmium migration and transformation. J. Agro-Environ. Sci. 2020, 39, 542–553. [Google Scholar]
- Kumar, V.; Ghosh, B.C.; Bhat, R.; Karmakar, S. Effect of irrigation and fertilizer on yield, water-use efficiency and nutrient uptake of summer groundnut (arachis hypogaea). Indian J. Agron. 2000, 45, 756–760. [Google Scholar]
- Pietola, L.; Salo, T. Response of p, k, mg and no3-n contents of carrots to irrigation, soil compaction, and nitrogen fertilisation. Agric. Food Sci. Finl. 2000, 9, 319–331. [Google Scholar] [CrossRef]
- Guo, A.; Zhao, Z.; Zhang, P.; Yang, Q.; Li, Y.; Wang, G. Linkage between soil nutrient and microbial characteristic in an opencast mine, china. Sci. Total Environ. 2019, 671, 905–913. [Google Scholar] [CrossRef] [PubMed]
- Azam, H.M.; Alam, S.T.; Hasan, M.; Yameogo, D.D.S.; Kannan, A.D.; Rahman, A.; Kwon, M.J. Phosphorous in the environment: Characteristics with distribution and effects, removal mechanisms, treatment technologies, and factors affecting recovery as minerals in natural and engineered systems. Environ. Sci. Pollut. Res. 2019, 26, 20183–20207. [Google Scholar] [CrossRef]
- Qiu, Q.; Li, J.; Wang, J.; Wang, N.; Sun, K.; He, Q.; Su, Y.; Pan, X. Microbes, enzyme activities and nutrient characteristics of rhizosphere and nonrhizosphere soils under four shrubs in xining nanshan, prefecture, china. Acta Ecol. Sin. 2014, 34, 7411–7420. [Google Scholar]
- Huang, G.; You, J.; Zhou, X.; Ren, C.; Islam, M.S.; Hu, H. Effects of low molecular weight organic acids on cu accumulation by castor bean and soil enzyme activities. Ecotoxicol. Environ. Saf. 2020, 203, 110983. [Google Scholar] [CrossRef] [PubMed]
- Hu, T.; Sørensen, P.; Olesen, J. Soil carbon varies between different organic and conventional management schemes in arable agriculture. Eur. J. Agron. 2018, 94, 79–88. [Google Scholar] [CrossRef]
- Bai, J.; Tan, C.; Cao, X.; Zhou, Q.; Huang, S.; Peng, X.; Deng, Y.; Sun, L. Effect of three organic acids on the remediation efficiency of sedum plumbizincicola and soil microbial quantity. J. Soil Water Conserv. 2020, 34, 318–324. [Google Scholar]
- Hu, H.; Cheng, Y.; Ma, Y.; Yu, X.; Xiang, J. Decomposition characteristics of returned rapeseed straw in soil and effects on soil fertility. Chin. J. Eco-Agric. 2012, 20, 297–302. [Google Scholar] [CrossRef]
- Gyaneshwar, P.; Kumar, G.; Parekh, L.; Poole, P. Role of soil microorganisms in improving p nutrition of plants. Plant Soil 2002, 245, 83–93. [Google Scholar] [CrossRef]
- Hawrylak-Nowak, B.; Dresler, S.; Matraszek, R. Exogenous malic and acetic acids reduce cadmium phytotoxicity and enhance cadmium accumulation in roots of sunflower plants. Plant Physiol. Biochem. 2015, 94, 225–234. [Google Scholar] [CrossRef] [PubMed]
- Ma, H.; Li, X.; Wei, M.; Zeng, G.; Hou, S.; Li, D.; Xu, H. Elucidation of the mechanisms into effects of organic acids on soil fertility, cadmium speciation and ecotoxicity in contaminated soil. Chemosphere 2020, 239, 124706. [Google Scholar] [CrossRef] [PubMed]
- Zhao, P.; Chen, X.; Yang, X.; Qi, S.; Wang, E. Relationship between enzyme activities and nutrients of black soil subjected to low molecular organic acid. J. Nanjing For. Univ. (Nat. Sci. Ed.) 2018, 42, 105–112. [Google Scholar]
- Perring, M.; Hedin, L.; Levin, S.; McGroddy, M.; de Mazancourt, C. Increased plant growth from nitrogen addition should conserve phosphorus in terrestrial ecosystems. Proc. Natl. Acad. Sci. USA 2008, 105, 1971–1976. [Google Scholar] [CrossRef] [PubMed]
- Latasa, M.; Berdalet, E. Effect of nitrogen or phosphorus starvation on pigment composition of cultured heterocapsa sp. J. Plankton Res. 1994, 16, 83–94. [Google Scholar] [CrossRef]
- Earl, K.; Syers, J.; Mclaughlin, J. Origin of the effects of citrate, tartrate, and acetate on phosphate sorption by soils and synthetic gels1. Soil Sci. Soc. Am. J. 1979, 43, 674–678. [Google Scholar] [CrossRef]
- Qin, J.; Enya, O.; Lin, C. Dynamics of fe, mn, and al liberated from contaminated soil by low-molecular-weight organic acids and their effects on the release of soil-borne trace elements. Appl. Sci. 2018, 8, 2444. [Google Scholar] [CrossRef]
- Nworie, O.; Qin, J.; Lin, C. Differential effects of low-molecular-weight organic acids on the mobilization of soil-borne arsenic and trace metals. Toxics 2017, 5, 18. [Google Scholar] [CrossRef] [PubMed]
- Passatore, L.; Rossetti, S.; Juwarkar, A.A.; Massacci, A. Phytoremediation and bioremediation of polychlorinated biphenyls (pcbs): State of knowledge and research perspectives. J. Hazard. Mater. 2014, 278, 189–202. [Google Scholar] [CrossRef] [PubMed]
- Rees, F.; Sterckeman, T.; Morel, J.L. Root development of non-accumulating and hyperaccumulating plants in metal-contaminated soils amended with biochar. Chemosphere 2016, 142, 48–55. [Google Scholar] [CrossRef]
- Liao, M.; Huang, C. Effects of organic acids on the toxicity of cadmium during ryegrass growth. Chin. J. Appl. Ecol. 2002, 13, 109–112. [Google Scholar]
- Domínguez-Solís, J.; López-Martín, M.; Ager, F.J.; Ynsa, M.; Romero, L.; Gotor, C. Increased cysteine availability is essential for cadmium tolerance and accumulation in arabidopsis thaliana. Plant Biotechnol. J. 2004, 2, 469–476. [Google Scholar] [CrossRef] [PubMed]
- Sun, Q.; Ye, Z.H.; Wang, X.R.; Wong, M.H. Increase of glutathione in mine population of sedum alfredii: A zn hyperaccumulator and pb accumulator. Phytochemistry 2005, 66, 2549–2556. [Google Scholar] [CrossRef] [PubMed]
- Pomponi, M.; Censi, V.; Di Girolamo, V.; De Paolis, A.; di Toppi, L.S.; Aromolo, R.; Costantino, P.; Cardarelli, M. Overexpression of arabidopsis phytochelatin synthase in tobacco plants enhances cd2+ tolerance and accumulation but not translocation to the shoot. Planta 2006, 223, 180–190. [Google Scholar] [CrossRef]
- Maserti, B.E.; Ferrillo, V.; Avdis, O.; Nesti, U.; Garbo, A.D.; Catsiki, A.; Maestrini, P.L. Relationship of non-protein thiol pools and accumulated cd or hg in the marine macrophyte posidonia oceanica (l.) delile. Aquat. Toxicol. 2005, 75, 288–292. [Google Scholar] [CrossRef]
- Hou, M.; Huo, Y.; Zhang, Z.; Wei, M. Effects of exogenous vanadium stress on vanadium accumulation and subcellular distribution, and non-protein thiol content in maize (zea mays l.) crops. J. Agro-Environ. Sci. 2020, 39, 964–972. [Google Scholar]
- Zeng, X.-W.; Ma, L.Q.; Qiu, R.-L.; Tang, Y.-T. Effects of zn on plant tolerance and non-protein thiol accumulation in zn hyperaccumulator arabis paniculata franch. Environ. Exp. Bot. 2011, 70, 227–232. [Google Scholar] [CrossRef]
- Pal, R.; Kaur, R.; Rajwar, D.; Narayan Rai, J.P. Induction of non-protein thiols and phytochelatins by cadmium in eichhornia crassipes. Int. J. Phytoremed. 2019, 21, 790–798. [Google Scholar] [CrossRef] [PubMed]
- Yuan, H.; Huang, G.; Tong, H.; Huang, S. The change of non-protein thiol content in roots and leaves of irislactea var. Chinensis under cd stress. Ecol. Environ. Sci. 2013, 22, 1214–1219. [Google Scholar]
- Nishikawa, K.; Onodera, A.; Tominaga, N. Phytochelatins do not correlate with the level of cd accumulation in chlamydomonas spp. Chemosphere 2006, 63, 1553–1559. [Google Scholar] [CrossRef] [PubMed]
- Gullner, G.; Uotila, M.; Kmives, T. Responses of glutathione and glutathione s-transferase to cadmium and mercury exposure in pedunculate oak (quercus robur) leaf discs. Bot. Acta 1998, 111, 62–65. [Google Scholar] [CrossRef]
- Wang, S.; Chen, Y.; Wang, S.; Lei, J.; Cai, S. Analysis of effects and enrichment of cd stress on thiol peptide protein content of 15 wild vegetables. Southeast Hortic. 2016, 3, 1–7. [Google Scholar]
- Wei, Z.G.; Wong, J.W.C.; Zhao, H.Y.; Zhang, H.J.; Li, H.X.; Hu, F. Separation and determination of heavy metals associated with low molecular weight chelators in xylem saps of indian mustard (brassica juncea) by size exclusion chromatography and atomic absorption spectrometry. Biol. Trace Elem. Res. 2007, 118, 146–158. [Google Scholar] [CrossRef]
- Couselo Bandin, J.L.; Navarro-Aviñó, J.; Ballester, A. Expression of the phytochelatin synthase tapcs1 in transgenic aspen, insight into the problems and qualities in phytoremediation of pb. Int. J. Phytoremed. 2010, 12, 358–370. [Google Scholar] [CrossRef]
- Begum, N.; Afzal, S.; Zhao, H.; Lou, L.; Cai, Q. Shoot endophytic plant growth-promoting bacteria reduce cadmium toxicity and enhance switchgrass (panicum virgatum l.) biomass. Acta Physiol. Plant. 2018, 40, 170. [Google Scholar] [CrossRef]
- Lewandowski, I.; Schmidt, U.; Londo, M.; Faaij, A. The economic value of the phytoremediation function—Assessed by the example of cadmium remediation by willow (salix ssp). Agric. Syst. 2006, 89, 68–89. [Google Scholar] [CrossRef]
- LaCoste, C.; Robinson, B.; Brooks, R. Uptake of thallium by vegetables: Its significance for human health, phytoremediation, and phytomining. J. Plant Nutr. 2001, 24, 1205–1215. [Google Scholar] [CrossRef]
- Mikhailenko, A.V.; Ruban, D.A.; Ermolaev, V.A.; van Loon, A.J. Cadmium pollution in the tourism environment: A literature review. Geosciences 2020, 10, 242. [Google Scholar] [CrossRef]
- Nagatada, T. Rural revitalization with sunflowers as amenity crops in a japanese countryside. Geogr. Rev. Jpn. Ser. B 2010, 82, 78–88. [Google Scholar] [CrossRef]
- Fernandez, M.A.; Soulages, O.E.; Acebal, S.G.; Rueda, E.H.; Sanchez, R.M.T. Sorption of zn(ii) and cu(ii) by four argentinean soils as affected by ph, oxides, organic matter and clay content. Environ. Earth Sci. 2015, 74, 4201–4214. [Google Scholar] [CrossRef]
- Najafi, S.; Jalali, M. Effects of organic acids on cadmium and copper sorption and desorption by two calcareous soils. Environ. Monit. Assess. 2015, 187, 585. [Google Scholar] [CrossRef] [PubMed]
- Yao, W.-Q.; Lei, Y.-K.; Yang, P.; Li, Q.-S.; Wang, L.-L.; He, B.-Y.; Xu, Z.-M.; Zhou, C.; Ye, H.-J. Exogenous glycinebetaine promotes soil cadmium uptake by edible amaranth grown during subtropical hot season. Int. J. Environ. Res. Public Health 2018, 15, 1794. [Google Scholar] [CrossRef]









| Acid | Abbreviation | Concentration (%) |
|---|---|---|
| Glacial acetic acid | AA | 99.8 |
| Oxalic acid | OA | 99.99 |
| Citric acid monohydrate | CA | 99.99 |
| DL-malic acid | MA | 99.99 |
| DL-tartaric acid | TA | 99.99 |
| Indexes | Root Cd | Stem Cd | Leaf Cd | Bud Cd | Exchangeable Cd | Carbonate Cd | Fe-Mn Oxide Cd | Organic Cd | Residue Cd | Soil Total cd | TN | TP | AK |
|---|---|---|---|---|---|---|---|---|---|---|---|---|---|
| Root Cd | 1.0000 | ||||||||||||
| Stem Cd | −0.340 ** | 1.0000 | |||||||||||
| Leaf Cd | 0.0530 | 0.0490 | 1.0000 | ||||||||||
| Bud Cd | −0.219 * | 0.648 ** | 0.291 ** | 1.0000 | |||||||||
| Exchangeable Cd | 0.0200 | 0.0210 | 0.302 ** | 0.0250 | 1.0000 | ||||||||
| Carbonate Cd | −0.0540 | −0.1030 | −0.0510 | −0.0800 | −0.414 ** | 1.0000 | |||||||
| Fe-Mn oxide Cd | −0.1830 | 0.306 ** | −0.1560 | 0.319 ** | −0.1520 | 0.0040 | 1.0000 | ||||||
| Organic Cd | 0.0560 | 0.1150 | −0.0230 | 0.239 * | −0.0730 | 0.0960 | 0.628 ** | 1.0000 | |||||
| Residue Cd | 0.0280 | 0.0140 | 0.1360 | 0.0210 | 0.0880 | −0.403 ** | −0.348 ** | −0.370 ** | 1.0000 | ||||
| Soil total Cd | −0.1360 | 0.1210 | 0.1960 | 0.1620 | 0.373 ** | 0.397 ** | 0.282 ** | 0.1940 | 0.1410 | 1.0000 | |||
| TN | 0.0210 | 0.208 * | 0.1540 | 0.1550 | 0.0240 | 0.0000 | −0.0540 | 0.0740 | −0.0310 | −0.0330 | 1.0000 | ||
| TP | 0.345 ** | −0.208 * | 0.0140 | −0.1910 | 0.255 * | −0.219 * | −0.215 * | −0.0770 | −0.0100 | −0.1570 | 0.1840 | 1.0000 | |
| AK | −0.0520 | 0.1110 | −0.1540 | 0.0040 | −0.0220 | 0.0080 | 0.0480 | −0.0510 | 0.0580 | 0.0600 | −0.0360 | 0.1100 | 1.0000 |
| Indexes | Root | Stem | Leaf | Bud | Shoot | Total Biomass |
|---|---|---|---|---|---|---|
| TN | 0.135 | 0.082 | 0.069 | 0.007 | 0.073 | 0.081 |
| TP | 0.185 | 0.236 * | 0.235 * | 0.113 | 0.250 * | 0.250 * |
| AK | 0.002 | −0.044 | −0.014 | −0.06 | −0.045 | −0.042 |
Publisher’s Note: MDPI stays neutral with regard to jurisdictional claims in published maps and institutional affiliations. |
© 2021 by the authors. Licensee MDPI, Basel, Switzerland. This article is an open access article distributed under the terms and conditions of the Creative Commons Attribution (CC BY) license (http://creativecommons.org/licenses/by/4.0/).
Share and Cite
Lu, H.; Qiao, D.; Han, Y.; Zhao, Y.; Bai, F.; Wang, Y. Low Molecular Weight Organic Acids Increase Cd Accumulation in Sunflowers through Increasing Cd Bioavailability and Reducing Cd Toxicity to Plants. Minerals 2021, 11, 243. https://doi.org/10.3390/min11030243
Lu H, Qiao D, Han Y, Zhao Y, Bai F, Wang Y. Low Molecular Weight Organic Acids Increase Cd Accumulation in Sunflowers through Increasing Cd Bioavailability and Reducing Cd Toxicity to Plants. Minerals. 2021; 11(3):243. https://doi.org/10.3390/min11030243
Chicago/Turabian StyleLu, Hongfei, Dongmei Qiao, Yang Han, Yulong Zhao, Fangfang Bai, and Yadan Wang. 2021. "Low Molecular Weight Organic Acids Increase Cd Accumulation in Sunflowers through Increasing Cd Bioavailability and Reducing Cd Toxicity to Plants" Minerals 11, no. 3: 243. https://doi.org/10.3390/min11030243
APA StyleLu, H., Qiao, D., Han, Y., Zhao, Y., Bai, F., & Wang, Y. (2021). Low Molecular Weight Organic Acids Increase Cd Accumulation in Sunflowers through Increasing Cd Bioavailability and Reducing Cd Toxicity to Plants. Minerals, 11(3), 243. https://doi.org/10.3390/min11030243

