REEs in the North Africa P-Bearing Deposits, Paleoenvironments, and Economic Perspectives: A Review
Abstract
1. Introduction
2. Geology of the North African Phosphorite Deposits
- Tunisian deposits
- Algerian deposits
- Morocco deposits
3. Materials and Methods
3.1. Whole Rock Analyses
3.2. Separate Particle Analyses
4. Results
4.1. Mineralogy
4.2. Major Elements
4.3. Rare Earth Elements
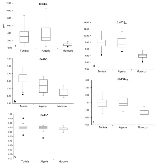
4.3.1. Rare Earth Elements Based on Country Localities.
4.3.2. Rare Earth Elements Fractionation and Deposition Age
- Late Cretaceous deposits
- Paleocene deposits
- Paleocene–Eocene deposits
- Eocene deposits
5. Discussion
5.1. REEs Signatures, Depositional Environment, and Paleoclimate Conditions
5.1.1. The Ce Anomalies and Paleoredox Insights
5.1.2. The Eu Anomalies and Paleoenvironment
5.1.3. LREE–MREE–HREE Fractionations and Diagenesis
5.2. The North African Phosphogenesis during the Paleocene–Eocene Span Time
5.3. Economic Perspective of the North Africa REEs-Bearing Phosphorites
6. Conclusions
Supplementary Materials
Author Contributions
Funding
Institutional Review Board Statement
Informed Consent Statement
Data Availability Statement
Acknowledgments
Conflicts of Interest
References
- Humphries, M. Rare Earth Elements: The Global Supply Chain; CRS Report for Congress; Congressional Research Service: The Library: Washington, DC, USA, December 2013; p. 27. [Google Scholar]
- Long, K.R.; Van Gosen, B.S.; Foley, N.K.; Cordier, D. The Principal Rare Earth Elements Deposits of the United States A Summary of Domestic Deposits and a Global Perspective; U.S. Geological Survey Scientific Investigations Report 5220; Springer: Heidelberg, Germany, 2010; pp. 1–104. [Google Scholar]
- Service, R.F. Nations Move to Head off Shortages of Rare Earths. Science 2010, 327, 1596–1597. [Google Scholar] [CrossRef]
- U.S. Geological Survey. Mineral Commodity Summaries. 2020. Available online: https://doi.org/10.3133/mcs2020 (accessed on 7 February 2020).
- Kato, Y.; Fujinaga, K.; Nakamura, K.; Takaya, Y.; Kitamura, K.; Ohta, J.; Toda, R.; Nakashima, T.; Iwamori, H. Deep-sea mud in the Pacific Ocean as a potential resource for rare-earth elements. Nat. Geosci. 2011, 4, 535–539. [Google Scholar] [CrossRef]
- Emsbo, P.; McLaughlin, P.I.; Breit, G.N.; du Bray, E.A.; Koenig, A.E. Rare earth elements in sedimentary phosphate deposits: Solution to the global REE crisis? Gondwana Res. 2015, 27, 776–785. [Google Scholar] [CrossRef]
- Kechiched, R.; Laouar, R.; Bruguier, O.; Salmi-Laouar, S.; Kocsis, L.; Bosch, D.; Foufou, A.; Ameur-Zaimeche, O.; Larit, H. Glauconite-Bearing Sedimentary Phosphorites from the Tébessa Region (Eastern Algeria): Evidence of REE En-richment and Geochemical Constraints on Their Origin. J. Afr. Earth Sci. 2018, 145, 190–200. [Google Scholar] [CrossRef]
- Kidder, D.; Krishnaswamy, P.; Mapes, P. Elemental mobility in phosphatic shales during concretion growth and implications for provenance analysis. Chem. Geol. 2003, 198, 335–353. [Google Scholar] [CrossRef]
- Ounis, A.; Kocsis, L.; Chaabani, F.; Pfeifer, H.-R. Rare earth elements and stable isotope geochemistry (δ13C and δ18O) of phosphorite deposits in the Gafsa Basin, Tunisia. Palaeogeogr. Palaeoclim. Palaeoecol. 2008, 268, 1–18. [Google Scholar] [CrossRef]
- Garnit, H.; Bouhlel, S.; Barca, D.; Chtara, C. Application of LA-ICP-MS to sedimentary phosphatic particles from Tunisian phosphorite deposits: Insights from trace elements and REE into paleo-depositional environments. Geochemestry 2012, 72, 127–139. [Google Scholar] [CrossRef]
- Kocsis, L.; Gheerbrant, E.; Mouflih, M.; Cappetta, H.; Ulianov, A.; Chiaradia, M.; Bardet, N. Gradual changes in upwelled seawater conditions (redox, pH) from the late Cretaceous through early Paleogene at the northwest coast of Africa: Negative Ce anomaly trend recorded in fossil bio-apatite. Chem. Geol. 2016, 421, 44–54. [Google Scholar] [CrossRef]
- Garnit, H.; Bouhlel, S.; Jarvis, I. Geochemistry and depositional environments of Paleocene–Eocene phosphorites: Metlaoui Group, Tunisia. J. Afr. Earth Sci. 2017, 134, 704–736. [Google Scholar] [CrossRef]
- Kechiched, R.; Laouar, R.; Bruguier, O.; Kocsis, L.; Salmi-Laouar, S.; Bosch, D.; Ameur-Zaimeche, O.; Foufou, A.; Larit, H. Comprehensive REE + Y and sensitive redox trace elements of Algerian phosphorites (Tébessa, eastern Algeria): A geochemical study and depositional environments tracking. J. Geochem. Explor. 2020, 208, 106396. [Google Scholar] [CrossRef]
- Wu, S.; Wang, L.; Zhang, P.; El-Shall, H.; Moudgil, B.; Huang, X.; Zhao, L.; Zhang, L.; Feng, Z. Simultaneous recovery of rare earths and uranium from wet process phosphoric acid using solvent extraction with D2EHPA. Hydrometallurgy 2018, 175, 109–116. [Google Scholar] [CrossRef]
- Baturin, G.N.; Kochenov, A.V. Uranium in Phosphorites. Lithol. Miner. Resour. 2001, 36, 303–321. [Google Scholar] [CrossRef]
- Ewing, R.C.; Wang, L. Phosphates as Nuclear Waste Forms. Rev. Miner. Geochem. 2002, 48, 673–699. [Google Scholar] [CrossRef]
- Tzifas, I.T.; Glasmacher, U.A.; Misaelides, P.; Godelitsas, A.; Gamaletsos, P.; Goettlicher, J.; de Godoy, F. Urani-um-bearing francolites present in organic-rich limestones of NW Greece: A preliminary study using synchrotron radia-tion and fission track techniques. J. Radioanal. Nucl. Chem. 2017, 311, 465–472. [Google Scholar] [CrossRef]
- Reynard, B.; Lécuyer, C.; Grandjean, P. Crystal-chemical controls on rare-earth element concentrations in fossil biogenic apatites and implications for paleoenvironmental reconstructions. Chem. Geol. 1999, 155, 233–241. [Google Scholar] [CrossRef]
- Morad, S.; Felitsyn, S. Identification of primary Ce-anomaly signatures in fossil biogenic apatite: Implication for the Cambrian oceanic anoxia and phosphogenesis. Sediment. Geol. 2001, 143, 259–264. [Google Scholar] [CrossRef]
- Felitsyn, S.; Morad, S. REE patterns in latest Neoproterozoic–early Cambrian phosphate concretions and associat-ed organic matter. Chem. Geol. 2002, 187, 257–265. [Google Scholar] [CrossRef]
- Lécuyer, C.; Reynard, B.; Grandjean, P. Rare earth element evolution of Phanerozoic seawater recorded in biogen-ic apatites. Chem. Geol. 2004, 204, 63–102. [Google Scholar] [CrossRef]
- Auer, G.; Markus, R.; Christoph, A.H.; Werner, E.P. The impact of transport processes on rare earth element pat-terns in marine authigenic and biogenic phosphates. Geochem. Cosmochim. Acta 2017, 203, 140–156. [Google Scholar] [CrossRef]
- McLennan, S.M.; Taylor, S.R.; Hemming, S.R. Composition, differentiation, and evolution of continental crust: Constraints from sedimentary rocks and heat flow. In Evolution and Differentiation of the Continental Crust; Brown, M., Rushmer, T., Eds.; Cambridge University Press: Cambridge, UK, 2006; pp. 92–134. [Google Scholar]
- Taylor, S.R.; McLennan, S.M. The Continental Crust: Its Composition and Evolution; Blackwell Scientific: Oxford, UK, 1985; 311p. [Google Scholar]
- Al-Bassam, K.; Magna, T.; Vodrážka, R.; Čech, S. Mineralogy and geochemistry of marine glauconitic siliciclasts and phosphates in selected Cenomanian–Turonian units, Bohemian Cretaceous Basin, Czech Republic: Implications for provenance and depositional environment. Geochemestry 2019, 79, 347–368. [Google Scholar] [CrossRef]
- Shields, G.; Stille, P. Diagenetic constraints on the use of cerium anomalies as palaeoseawater redox proxies: An isotopic and REE study of Cambrian phosphorites. Chem. Geol. 2001, 175, 29–48. [Google Scholar] [CrossRef]
- Haley, B.; Klinkhammer, G.P.; McManus, J. Rare earth elements in pore waters of marine sediments. Geochim. Cosmochim. Acta 2004, 68, 1265–1279. [Google Scholar] [CrossRef]
- Alibo, D.S.; Nozaki, Y. Rare earth elements in seawater: Particle association, shale-normalization, and Ce oxidation. Geochim. Cosmochim. Acta 1999, 63, 363–372. [Google Scholar] [CrossRef]
- Mongelli, G.; Boni, M.; Buccione, R.; Sinisi, R. Geochemistry of the Apulian karst bauxites (southern Italy): Chemical fractionation and parental affinities. Ore Geol. Rev. 2014, 63, 9–21. [Google Scholar] [CrossRef]
- Kocsis, L.; Gheerbrant, E.; Mouflih, M.; Cappetta, H.; Yans, J.; Amaghzaz, M. Comprehensive stable isotope inves-tigation of marine biogenic apatite from the late Cretaceous–early Eocene phosphate beds of Morocco. Palaeogeogr. Palaeoclimatol. Palaeoecol. 2014, 394, 74–88. [Google Scholar] [CrossRef]
- Sheldon, R.P. Association of phosphatic and siliceous marine sedimentary deposits. In Siliceous Sedimentary Rock-Hosted Ores and Petroleum; Hein, J.R., Ed.; Van Norstrand Reinhold Co.: New York, NY, USA, 1987; pp. 58–80. [Google Scholar]
- Notholt, A.J.G.; Sheldon, R.P.; Davidson, D.F. Phosphate Deposits of the World 2: Phosphate Rock Resources; Cambridge University Press: Cambridge, UK, 1989; 566p. [Google Scholar]
- Zaïer, A.; Béji-Sassi, A.; Sassi, S.; Moody, R.T.J. Basin evolution and deposition during the early Paleocene in Tuni-sia. In Petroleum Geology of North Africa; Macgregor, D.S., Moody, R.T.J., Clark-Lowes, D.D., Eds.; Geological Society London Special Publications: London, UK, 1998; Volume 132, pp. 375–393. [Google Scholar]
- Ben Haj Ali, M.; Jedoui, Y.; Dali, T.; Ben Salem, H.; Memmi, L. Carte Géologique al’échelle 1:500000 de la Tunisie; Service Géologique, Tunisie: Tunis, Tunisia, 1985. [Google Scholar]
- Chaabani, F. Dynamique de la Partie Orientale du Bassin de Gafsa au Cretace et au Paleogene: Etude Mineralogique et Geochimique de la serie Phosphatee Eocene, Tunisie Meridionale. Ph.D. Thesis, Universite de Tunis II, Tunis, Tunisia, 1995. [Google Scholar]
- Béji-Sassi, A. Les Phosphates dans les Basins Paléogènes de la Partie Mérid- Ionale de l’axe Nord-Sud (Tunisie). Ph.D. Thesis, Universite de Tunis II, Tunis, Tunisia, 1999. [Google Scholar]
- Zaïer, A. Evolution Tectno-Sédimentaire du Bassin Phosphate du Centre-Ouest de la Tunisie Minéralogie, Pétrogra-Phie, Géochimie et Genèse des Phosphorites. Ph.D. Thesis, Universite de Tunis II, Tunis, Tunisia, 1999. [Google Scholar]
- Chabou-Mostefai, S. Étude de la série Phosphatée Tertiaire du Djebel Onk, Algérie, Stratigraphie, Pétrographie, Minéralogie et Analyse Statistique. Ph.D. Thesis, Université de Droit, d’Économie et des Sciences, d’Aix-Marseille, France, 1987; p. 376. [Google Scholar]
- Office Chérifien des Phosphates. The phosphate deposits of Morocco. In Phosphate Deposits of the World, Phosphate Rock Resources; Notholt, A.J.G., Sheldon, R.P., Davidson, D.F., Eds.; Cambridge University Press: Cambridge, UK, 1989; Volume 2, pp. 301–311. [Google Scholar]
- Balaram, V. Rare earth elements: A review of applications, occurrence, exploration, analysis, recycling, and environmental impact. Geosci. Front. 2019, 10, 1285–1303. [Google Scholar] [CrossRef]
- Bosch, D.; Hammor, D.; Mechati, M.; Fernandez, L.; Bruguier, O.; Caby, R.; Verdoux, P. Geochemical study (major, trace elements and Pb–Sr–Nd isotopes) of mantle material obducted onto the North African margin (Edough Massif, North Eastern Algeria): Tethys fragments or lost remnants of the Liguro–Provençal basin? Tectonophysics 2014, 626, 53–68. [Google Scholar] [CrossRef]
- Fernandez, F.; Bosch, D.; Bruguier, O.; Hammor, D.; Caby, R.; Monié, P.; Arnaud, N.; Toubal, A.; Galland, B.; Douchet, C. Permo-Carboniferous and early Miocene geological evolution of the internal zones of the Maghrebides - new in-sights on the western Mediterranean evolution. J. Geodyn. 2016, 96, 146–173. [Google Scholar] [CrossRef]
- Günther, D.; Frischknecht, R.; Heinrich, C.A.; Kahlert, H.J. Capabilities of an Argon Fluoride 193 nm excimer laser for laser ablation inductively coupled plasma mass spectrometry microanalysis of geological materials. J. Anal. At. Spectrom. 1997, 12, 939–944. [Google Scholar] [CrossRef]
- Felhi, M.; Tlili, A.; Montacer, M. Geochemistry, Petrography and Spectroscopy of Organic Matter of Clay-Associated Kerogen of Ypresian Series: Gafsa-Metlaoui Phosphatic Basin, Tunisia. Resour. Geol. 2008, 58, 428–436. [Google Scholar] [CrossRef]
- Ben Hassen, A.; Trichet, J.; Disnar, J.-R.; Belayouni, H. Petrographie et geochimie comparees des pellets phos-phates et de leur gangue dans le gisement phosphate de Ras-Draa (Tunisie). Implications sur la genese des pellets phos-phates. Swiss. J. Geosci. 2010, 103, 457–473. [Google Scholar] [CrossRef]
- Galfati, I.; Sassi, A.B.; Zaier, A.; Bouchardon, J.L.; Bilal, E.; Joron, J.L.; Sassi, S. Geochemistry and mineralogy of Paleocene–Eocene Oum El Khecheb phosphorites (Gafsa-Metlaoui Basin) Tunisia. Geochem. J. 2010, 44, 189–210. [Google Scholar] [CrossRef]
- Galai, H.; Sliman, F. Mineral characterization of the Oum El Khacheb phosphorites (Gafsa-Metlaoui basin;) S Tunisia. Arab. J. Chem. 2019, 12, 1607–1614. [Google Scholar] [CrossRef]
- Ahmed, A.H.; Tlili, A.; Zalat, A.A.; Jeddoui, Y. Fossil diatoms from endogangue of the Ypresian phosphatic pellets of the Gafsa-Metlaoui basin: Implication on the origin of biogenic silica and depositional environment. Arab. J. Geosci. 2014, 8, 1077–1087. [Google Scholar] [CrossRef]
- Jarvis, I.; Burnett, W.C.; Nathan, Y.; Almbaydin, F.S.M.; Attia, A.K.M.; Castro, L.N.; Flicoteaux, R.; Hilmy, M.E.; Husain, V.; Qutawnah, A.A.; et al. Phosphorite geochemistry: State-of-the-art and environmental con-cerns. Eclogae Geol. Helv. 1994, 87, 643–700. [Google Scholar]
- Bolle, M.P.; Adatte, T.; Keller, G.; Von Salis, K.; Burns, S. The Paleocene-Eocene transition in the southern Tethys (Tunisia): Climatic and environmental fluctuations. Bull. Soc. Geol. Franc. 1999, 170, 661–680. [Google Scholar]
- Tlili, A.; Felhi, M.; Montacer, M. Origin and Depositional Environment of Palygorskite and Sepiolite from the Ypresian Phosphatic Series, Southwestern Tunisia. Clays Clay Miner. 2010, 58, 573–584. [Google Scholar] [CrossRef]
- McClellan, G.H. Mineralogy of carbonate fluorapatites. J. Geol. Soc. 1980, 137, 675–681. [Google Scholar] [CrossRef]
- McArthur, J. Francolite geochemistry—Compositional controls during formation, diagenesis, metamorphism and weathering. Geochim. Cosmochim. Acta 1985, 49, 23–35. [Google Scholar] [CrossRef]
- McArthur, J. Systematic variations in the contents of Na, Sr, CO3 and SO4 in marine carbonate—Fluorapatite and their relation to weathering. Chem. Geol. 1978, 21, 89–112. [Google Scholar] [CrossRef]
- Gulbrandsen, R. Chemical composition of phosphorites of the Phosphoria Formation. Geochim. Cosmochim. Acta 1966, 30, 769–778. [Google Scholar] [CrossRef]
- Altschuler, Z.S. The geochemistry of trace elements in marine phosphorites. Part I: Characteristic abundances and enrichment. In Marine Phosphorites; Bentor, Y.K., Ed.; SEPM Special Publications: Broken Arrow, OK, USA, 1980; Volume 29, pp. 19–30. [Google Scholar]
- Prevot, L. Geochemistry, petrography, genesis of Cretaceous Eocene phosphorites. Mem. Soc. Geol. Franc. 1990, 158, 232. [Google Scholar]
- Tostevin, R.; Shields, G.A.; Tarbuck, G.M.; He, T.; Clarkson, M.O.; Wood, R.A. Effective use of cerium anomalies as a redox proxy in carbonate-dominated marine settings. Chem. Geol. 2016, 438, 146–162. [Google Scholar] [CrossRef]
- Deng, Y.; Ren, J.; Guo, Q.; Cao, J.; Wang, H.; Liu, C. Rare earth element geochemistry characteristics of seawater and porewater from deep sea in western Pacific. Sci. Rep. 2017, 7, 1–13. [Google Scholar] [CrossRef]
- Hein, J.R.; Koschinsky, A.; Mikesell, M.; Mizell, K.; Glenn, C.R.; Wood, R. Marine Phosphorites as Potential Re-sources for Heavy Rare Earth Elements and Yttrium. Minerals 2016, 6, 88. [Google Scholar] [CrossRef]
- Chen, C.; Deng, W.; Xu, X.; He, J.; Wang, S.; Jiao, L.; Zhang, Y. Phosphorus adsorption and release characteristics of surface sediments in Dianchi Lake, China. Environ. Earth Sci. 2015, 74, 3689–3700. [Google Scholar] [CrossRef]
- Mongelli, G.; Sinisi, R.; Paternoster, M.; Perri, F. REEs and U distribution in P-rich nodules from Gelasian Apulian Tethyan carbonate: A genetic record. J. Geochem. Explor. 2018, 194, 19–28. [Google Scholar] [CrossRef]
- German, C.R.; Elderfield, H. Application of the Ce anomaly as a paleoredox indicator: The ground rules. Paleoceanography 1990, 5, 823–833. [Google Scholar] [CrossRef]
- Sinisi, R. Mineralogical and Geochemical Features of Cretaceous Bauxite from San Giovanni Rotondo (Apulia, Southern Italy): A Provenance Tool. Minerals 2018, 8, 567. [Google Scholar] [CrossRef]
- Carmichael, M.J.; Inglis, G.N.; Badger, M.P.; Naafs, B.D.A.; Behrooz, L.; Remmelzwaal, S.; Monteiro, F.M.; Rohrssen, M.; Farnsworth, A.; Buss, H.L.; et al. Hydrological and associated biogeo-chemical consequences of rapid global warming during the Paleocene–Eocene Thermal Maximum. Glob. Planet. Chang. 2017, 157, 114–138. [Google Scholar] [CrossRef]
- Johnsson, M.J.; Basu, A.; McLennan, S.M.; Hemming, S.; McDaniel, D.K.; Hanson, G.N.; Marsaglia, K.M.; Ridgway, K.D.; DeCelles, P.G.; Devaney, K.A.; et al. Processes Controlling the Composition of Clastic Sediments. Geol. Soc. Am. Spec. Pap. 1993, 284, 21–40. [Google Scholar] [CrossRef]
- Cullers, R.L.; Podkovyrov, V.N. Geochemistry of the Mesoproterozoic Lakhanda shales in southeastern Yakutia, Russia: Implications for mineralogical and provenance control, and recycling. Precamb. Res. 2000, 104, 77–93. [Google Scholar] [CrossRef]
- Condie, K.C.; Des Marais, D.J.; Abbott, D. Precambrian superplumes and supercontinents: A record in black shales, carbon isotopes, and paleoclimates? Precamb. Res. 2001, 106, 239–260. [Google Scholar] [CrossRef]
- Sinisi, R.; Mongelli, G.; Mameli, P.; Oggiano, G. Did the Variscan relief influence the Permian climate of Mesoeurope? Insights from geochemical and mineralogical proxies from Sardinia (Italy). Palaeogeogr. Palaeoclim. Palaeoecol. 2014, 396, 132–154. [Google Scholar] [CrossRef]
- Ismael, I.S. Rare earth elements in Egyptian phosphorites. Chin. J. Geochem. 2002, 21, 19–28. [Google Scholar] [CrossRef]
- Banerjee, S.; Choudhury, T.R.; Saraswati, P.K.; Khanolkar, S. The formation of authigenic deposits during Paleogene warm climatic intervals: A review. J. Palaeogeogr. 2020, 9, 1–27. [Google Scholar] [CrossRef]
- Shemesh, A.; Kolodny, Y.; Luz, B. Oxygen isotope variation in phosphate of biogenic apatites, II. Phosphorite rocks. Earth Planet. Sci. Lett. 1983, 64, 405–416. [Google Scholar] [CrossRef]
- Sadaqah, M.R.; Abed, M.A.; Grimm, A.K.; Pufahl, K.P. Oxygen and carbon isotopes in Jordanian phosphorites and associated fossils. J. Asian Earth Sci. 2007, 29, 803–812. [Google Scholar] [CrossRef]
- Compton, J.S.; Hodell, D.A.; Garrido, J.R.; Mallinson, D.J. Origin and age of phosphorite from the south-central Florida Platform; relation of phosphogenesis to sea level fluctuations and δ13C excursions. Geochim. Cosmochim. 1993, 57, 131–146. [Google Scholar] [CrossRef]
- Hessler, A.M.; Zhang, J.; Covault, J.; Ambrose, W. Continental weathering coupled to Paleogene climate changes in North America. Geology 2017, 45, 911–914. [Google Scholar] [CrossRef]
- Bolle, M.-P.; Adatte, T. Palaeocene- early Eocene climatic evolution in the Tethyan realm: Clay mineral evidence. Clay Miner. 2001, 36, 249–261. [Google Scholar] [CrossRef]
- Chamley, H. Clay Sedimentology; Springer Science and Business Media LLC: Heidelberg, Germany, 1989; p. 623. [Google Scholar]
- Robert, C.; Chamley, H. Development of early Eocene warm climates, as inferred from clay mineral variations in oceanic sediments. Palaeogeogr. Palaeoclim. Palaeoecol. 1991, 89, 315–331. [Google Scholar] [CrossRef]
- Jones, B.F.; Conko, K.M. Environmental Influences on the Occurrences of Sepiolite and Palygorskite: A Brief Re-view. Dev. Clay Sci. 2011, 3, 69–83. [Google Scholar]
- Zachos, J.C.; Röhl, U.; Schellenberg, S.A.; Sluijs, A.; Hodell, D.A.; Kelly, D.C.; Thomas, E.; Nicolo, M.; Raffi, I.; Lourens, L.J.; et al. Rapid Acidification of the Ocean During the Paleocene-Eocene Thermal Maximum. Science 2005, 308, 1611–1615. [Google Scholar] [CrossRef]
- Penman, D.E.; Hönisch, B.; Zeebe, R.E.; Thomas, E.; Zachos, J.C. Rapid and sustained surface ocean acidification during the Paleocene-Eocene Thermal Maximum. Paleoceanography 2014, 29, 357–369. [Google Scholar] [CrossRef]
- De Baar, H.J.; German, C.R.; Elderfield, H.; Van Gaans, P. Rare earth element distributions in anoxic waters of the Cariaco Trench. Geochim. Cosmochim. Acta 1988, 52, 1203–1219. [Google Scholar] [CrossRef]
- Liu, Y.-G.; Miah, M.; Schmitt, R. Cerium: A chemical tracer for paleo-oceanic redox conditions. Geochim. Cosmochim. Acta 1988, 52, 1361–1371. [Google Scholar] [CrossRef]
- Wu, S.; Wang, L.; Zhao, L.; Zhang, P.; El-Shall, H.; Moudgil, B.; Huang, X.; Zhang, L. Recovery of rare earth elements from phosphate rock by hydrometallurgical processes—A critical review. Chem. Eng. J. 2018, 335, 774–800. [Google Scholar] [CrossRef]
- Peiravi, M.; Dehghani, F.; Ackah, L.; Baharlouei, A.; Godbold, J.; Liu, J.; Mohanty, M.; Ghosh, T. A Review of Rare-Earth Elements Extraction with Emphasis on Non-conventional Sources: Coal and Coal Byproducts, Iron Ore Tailings, Apatite, and Phosphate Byproducts. Min. Met. Explor. 2021, 38, 1–26. [Google Scholar] [CrossRef]
- Li, Y.H. A Compendium of Geochemistry: From Solar Nebula to the Human Brain; Princeton University Press: Princeton, NJ, USA, 2000. [Google Scholar]
- Christmann, P. A Forward Look into Rare Earth Supply and Demand: A Role for Sedimentary Phosphate Depos-its? Procedia Eng. 2014, 83, 19–26. [Google Scholar] [CrossRef]
- Khan, K.; Dar, S.A.; Khan, S.A. Geochemistry of phosphate bearing sedimentary rocks in parts of Sonrai block, Lalitpur District, Uttar Pradesh, India. Geochemistry 2012, 72, 117–125. [Google Scholar] [CrossRef]
- Ilyin, A.V. Rare-earth geochemistry of ‘old’ phosphorites and probability of syngenetic precipitation and accumulation of phosphate. Chem. Geol. 1998, 144, 243–256. [Google Scholar] [CrossRef]
- Murthy, R.; Kidder, D.; Mapes, R.; Hannigan, R. Rare-earth element chemistry of Mississippian–age phosphate nodules in the Fayetteville Shale of Oklahoma and Arkansas. Environ. Geosci. 2004, 11, 99–111. [Google Scholar] [CrossRef]
- Kidder, D.L.; Eddy Dilek, C.A. Rare-earth element variation in phosphate nodules from Midcontinent Pennsylva-nian cyclothems. J. Sedim. Res. 1994, 64, 584–592. [Google Scholar]
- Baioumy, H. Rare earth elements and sulfur and strontium isotopes of upper Cretaceous phosphorites in Egypt. Cretac. Res. 2011, 32, 368–377. [Google Scholar] [CrossRef]
- McArthur, J.; Walsh, J. Rare-earth geochemistry of phosphorites. Chem. Geol. 1984, 47, 191–220. [Google Scholar] [CrossRef]
- Seredin, V.V. A new method for primary evaluation of the outlook for rare earth element ores. Geol. Ore Depos. 2010, 52, 428–433. [Google Scholar] [CrossRef]
- Seredin, V.V.; Dai, S. Coal deposits as potential alternative sources for lanthanides and yttrium. Int. J. Coal Geol. 2012, 94, 67–93. [Google Scholar] [CrossRef]
- Zhang, S.-H.; Zhao, Y.; Liu, Y. A precise zircon Th-Pb age of carbonatite sills from the world’s largest Bayan Obo deposit: Implications for timing and genesis of REE-Nb mineralization. Precambrian Res. 2017, 291, 202–219. [Google Scholar] [CrossRef]
- Hou, X.-Z.; Yang, Z.-F.; Wang, Z.-J. The occurrence characteristics and recovery potential of middle-heavy rare earth elements in the Bayan Obo deposit, Northern China. Ore Geol. Rev. 2020, 126, 103737. [Google Scholar] [CrossRef]













| Locality/Deposit | Samples | SiO2 | TiO2 | Al2O3 | Fe2O3 | MnO | MgO | CaO | Na2O | K2O | P2O5 | SO3 | LOI | Total |
|---|---|---|---|---|---|---|---|---|---|---|---|---|---|---|
| TUNISIA 1 | ||||||||||||||
| Sra Ouertana | SRO1 | 21.37 | 0.17 | 3.41 | 1.06 | 0.011 | 0.64 | 38.93 | 0.54 | 0.91 | 7.74 | 0.69 | 25.09 | 100.57 |
| SRO2 | 13.22 | 0.129 | 1.7 | 0.44 | 0.009 | 0.57 | 44.25 | 0.23 | 0.37 | 10.5 | 0.89 | 27.11 | 99.42 | |
| SRO3 | 8.35 | 0.062 | 1.36 | 0.7 | 0.008 | 1.38 | 46.57 | 0.3 | 0.39 | 10.44 | 2.37 | 27.69 | 99.62 | |
| SRO4 | 9.18 | 0.081 | 1.63 | 0.66 | 0.011 | 2.07 | 45.56 | 0.24 | 0.39 | 4.66 | 0.64 | 34.04 | 99.16 | |
| SRO5 | 7.42 | 0.089 | 1.9 | 0.82 | 0.007 | 0.89 | 48.23 | 0.13 | 0.32 | 5.81 | 0.23 | 33.9 | 99.75 | |
| SRO6 | 10.86 | 0.078 | 1.9 | 0.68 | 0.005 | 1.09 | 45.74 | 0.41 | 0.58 | 8.81 | 0.36 | 29.03 | 99.55 | |
| SRO7 | 13.26 | 0.159 | 2.63 | 0.86 | 0.005 | 0.75 | 44.55 | 0.15 | 0.49 | 3.78 | 0.2 | 33.73 | 100.57 | |
| SRO8 | 8.23 | 0.039 | 0.68 | 0.46 | 0.002 | 0.24 | 48.6 | 0.52 | 0.2 | 26.12 | 0.89 | 13.13 | 99.11 | |
| SRO9 | 9.46 | 0.035 | 0.48 | 0.42 | 0.008 | 0.23 | 48.33 | 0.45 | 0.11 | 21.94 | 0.97 | 17.69 | 100.12 | |
| Sekarna | SEK1 | 18.2 | 0.041 | 1.22 | 2.17 | 0.025 | 3.88 | 38.76 | 0.41 | 0.5 | 19.73 | 0.92 | 13.74 | 99.6 |
| SEK3 | 22.45 | 0.05 | 1.21 | 1.99 | 0.015 | 2.43 | 38.18 | 0.48 | 0.45 | 23.77 | 1.35 | 9.06 | 101.44 | |
| SEK4 | 9.31 | 0.036 | 0.88 | 1.69 | 0.023 | 5.12 | 42.35 | 0.42 | 0.39 | 19.14 | 3 | 19.02 | 101.38 | |
| Jebel Jebs | JBS4 | 31.47 | 0.145 | 2.11 | 0.69 | 0.006 | 7.88 | 24.79 | 0.7 | 1.47 | 8.83 | nd | 19.64 | 97.73 |
| JBS5 | 29.01 | 0.064 | 1.09 | 0.45 | 0.005 | 5.47 | 30.8 | 0.87 | 0.72 | 14.32 | 2.41 | 16.17 | 101.38 | |
| JBS10 | 12.13 | 0.098 | 0.98 | 0.41 | 0.006 | 12.08 | 32.72 | 0.68 | 0.64 | 9.17 | nd | 28.87 | 97.78 | |
| JBS7 | 15.5 | 0.128 | 1.72 | 0.46 | 0.007 | 12.63 | 30.1 | 0.53 | 1.2 | 6.7 | 1.75 | 29.48 | 100.2 | |
| JBS14 | 15.72 | 0.037 | 0.7 | 0.53 | 0.003 | 0.45 | 42.7 | 1.45 | 0.33 | 27.86 | 3.55 | 9.97 | 103.3 | |
| JBS18 | 7.26 | 0.064 | 1.33 | 0.67 | 0.003 | 0.77 | 44.84 | 1.72 | 0.37 | 29.44 | 4.74 | 10.8 | 102.01 | |
| JBS19 | 6.52 | 0.082 | 1.81 | 0.87 | 0.004 | 1.05 | 44.91 | 1.68 | 0.68 | 28.8 | 4.47 | 11.19 | 102.07 | |
| Naguess | NAGI | 9.23 | 0.065 | 1.62 | 0.59 | 0.003 | 0.5 | 44.53 | 1.29 | 0.69 | 26.76 | 3 | 11.41 | 99.68 |
| NAGIIa | 3.98 | 0.032 | 0.74 | 0.29 | 0.004 | 0.47 | 48.49 | 1.3 | 0.17 | 27.72 | 3.1 | 11.74 | 98.03 | |
| NAGIIb | 7.4 | 0.046 | 1.09 | 0.45 | 0.004 | 0.65 | 45.56 | 1.27 | 0.18 | 26.1 | 4.09 | 13.28 | 100.12 | |
| NAGIII | 5.44 | 0.04 | 0.91 | 0.4 | 0.004 | 0.6 | 46.95 | 1.36 | 0.13 | 28.05 | 3.75 | 12.11 | 99.74 | |
| NAGIV | 14.56 | 0.029 | 0.7 | 0.16 | 0.003 | 0.48 | 43.59 | 1.35 | 0.08 | 26.76 | 2.65 | 11.6 | 101.96 | |
| NAGV | 21.96 | 0.021 | 0.43 | 0.21 | 0.002 | 0.39 | 39.04 | 1.22 | 0.06 | 23.93 | 2.13 | 11.07 | 100.47 | |
| NAGVI | 5.79 | 0.033 | 0.76 | 0.34 | 0.003 | 0.6 | 47.31 | 1.44 | 0.11 | 28.9 | 3.5 | 11.69 | 100.47 | |
| NAGVII | 3.35 | 0.03 | 0.67 | 0.31 | 0.002 | 0.63 | 49.22 | 1.39 | 0.12 | 28.99 | 4.42 | 11.44 | 100.57 | |
| Central Kef Eddour | KECI | 6.97 | 0.053 | 1.28 | 0.56 | 0.003 | 0.62 | 45.88 | 1.42 | 0.32 | 27.81 | 3.9 | 11.9 | 100.71 |
| KECII | 6.11 | 0.04 | 0.92 | 0.44 | 0.003 | 0.67 | 46.78 | 1.47 | 0.15 | 28.83 | 4.99 | 12.03 | 102.44 | |
| KECIII | 12.6 | 0.058 | 1.58 | 0.65 | 0.005 | 0.78 | 42.44 | 1.38 | 0.2 | 25.38 | 3.72 | 13.01 | 101.8 | |
| KECIV | 14.01 | 0.041 | 1.13 | 0.45 | 0.005 | 0.6 | 42.61 | 1.35 | 0.15 | 25.93 | 3.57 | 12.6 | 102.45 | |
| KECV | 12.02 | 0.051 | 1.27 | 0.56 | 0.005 | 0.72 | 42.67 | 1.42 | 0.16 | 25.94 | nd | 12.56 | 97.38 | |
| KECVI | 7.65 | 0.051 | 1.19 | 0.56 | 0.007 | 0.81 | 44.64 | 1.37 | 0.14 | 27.02 | nd | 13.45 | 96.89 | |
| KECVII | 6.2 | 0.044 | 0.92 | 0.38 | 0.004 | 0.81 | 45.34 | 1.3 | 0.14 | 25.64 | 6.72 | 12.98 | 100.47 | |
| KECVIII | 6.7 | 0.042 | 0.99 | 0.43 | 0.003 | 0.76 | 45.27 | 1.39 | 0.18 | 25.65 | 5.22 | 13.39 | 100.02 | |
| Table Metlaoui | TMI | 7.91 | 0.061 | 1.38 | 0.55 | 0.005 | 0.53 | 43.53 | 1.46 | 0.45 | 26.4 | nd | 12.01 | 94.29 |
| TMII | 8.02 | 0.062 | 1.45 | 0.56 | 0.006 | 0.53 | 44 | 1.47 | 0.45 | 26.62 | 5.87 | 12.24 | 101.28 | |
| TMIII | 13.3 | 0.047 | 1.21 | 0.56 | 0.007 | 0.67 | 42.07 | 1.39 | 0.15 | 25.91 | 3.77 | 12.36 | 101.44 | |
| TMIV | 14.51 | 0.052 | 1.24 | 0.59 | 0.007 | 0.74 | 40.91 | 1.36 | 0.14 | 24.87 | 3.62 | 12.75 | 100.79 | |
| TMV | 6.23 | 0.048 | 0.98 | 0.52 | 0.005 | 0.65 | 45.3 | 1.5 | 0.13 | 28.3 | 6.12 | 11.64 | 101.42 | |
| TMVI | 10.13 | 0.077 | 1.71 | 0.81 | 0.005 | 0.98 | 44.01 | 1.48 | 0.19 | 26.58 | 3.77 | 12.2 | 101.94 | |
| TMVIIa | 8.15 | 0.069 | 1.31 | 0.54 | 0.004 | 1.17 | 44.47 | 1.33 | 0.17 | 24.14 | 5.72 | 15.06 | 102.13 | |
| TMVIII | 5.9 | 0.042 | 0.99 | 0.49 | 0.004 | 0.74 | 46.63 | 1.49 | 0.21 | 27.12 | nd | 12.12 | 95.74 | |
| Mzinda | MZ0 | 29.98 | 0.146 | 3.67 | 1.24 | 0.007 | 5.17 | 26.78 | 1.11 | 0.74 | 11.56 | 1.46 | 17.98 | 99.85 |
| MZI> | 18.3 | 0.06 | 1.33 | 0.54 | 0.005 | 1.44 | 39.74 | 1.24 | 0.29 | 20.81 | 2.67 | 14.1 | 100.53 | |
| MZI< | 5.2 | 0.049 | 1.09 | 0.51 | 0.004 | 1.45 | 46.61 | 1.48 | 0.13 | 27.61 | 6.84 | 12.64 | 103.61 | |
| MZH1 | 11.64 | 0.1 | 2.07 | 0.91 | 0.007 | 1.3 | 41.98 | 1.37 | 0.24 | 23.83 | 3.7 | 14.85 | 101.99 | |
| MZH2 | 9.53 | 0.029 | 0.58 | 0.32 | 0.003 | 0.5 | 45.92 | 1.39 | 0.1 | 27.43 | 4.49 | 12.64 | 102.94 | |
| MZII> | 7.86 | 0.082 | 1.89 | 0.79 | 0.005 | 1.22 | 44.05 | 1.54 | 0.19 | 27 | 4.14 | 13.7 | 102.47 | |
| MZII< | 4.27 | 0.041 | 0.83 | 0.34 | 0.003 | 0.84 | 46.44 | 1.55 | 0.11 | 28.46 | 2.37 | 12.05 | 97.31 | |
| MZIII | 4.41 | 0.039 | 0.84 | 0.31 | 0.004 | 0.67 | 48 | 1.5 | 0.16 | 24.15 | 5.22 | 14.8 | 100.1 | |
| Jellabia | JLA0 | 35.6 | 0.072 | 1.94 | 0.61 | 0.007 | 3.08 | 28.5 | 0.88 | 0.59 | 14.38 | 1.54 | 12.71 | 99.91 |
| JLAI | 4.17 | 0.04 | 0.86 | 0.38 | 0.005 | 3.17 | 45.59 | 1.25 | 0.11 | 25.93 | 3.22 | 14.48 | 99.21 | |
| JLAH1 | 6.88 | 0.054 | 1.12 | 0.53 | 0.004 | 1.97 | 45.34 | 1.37 | 0.12 | 26.5 | 2.65 | 13.29 | 99.82 | |
| JLAH2 | 10.21 | 0.038 | 0.75 | 0.25 | 0.003 | 0.53 | 45.03 | 1.46 | 0.1 | 28.54 | 2.95 | 11.71 | 101.57 | |
| JLAII> | 4.44 | 0.05 | 1.08 | 0.44 | 0.003 | 0.76 | 47.77 | 1.51 | 0.14 | 29.35 | 4.52 | 10.38 | 100.44 | |
| JLII< | 2.64 | 0.031 | 0.57 | 0.26 | 0.002 | 0.62 | 48.47 | 1.53 | 0.08 | 30.32 | 3.95 | 9.98 | 98.45 | |
| JLAIII | 5.32 | 0.048 | 1.06 | 0.41 | 0.003 | 0.76 | 47.46 | 1.26 | 0.32 | 26.79 | 2.7 | 12.86 | 98.99 | |
| ALGERIA 2 | ||||||||||||||
| Djebel El Kouif | ra#14 | 16.85 | 0.06 | 1.82 | 11.19 | - | 1.67 | 33.02 | 0.51 | 2.57 | 22.78 | 0.94 | - | 94.65 |
| ra#20 | 11.62 | 0 | 1.31 | 3.37 | - | 1.43 | 42.22 | 0.54 | 1.94 | 27.09 | 1.06 | - | 95.14 | |
| ra#21 | 10.14 | 0 | 1.34 | 2.53 | - | 1.18 | 42.77 | 0.5 | 1.57 | 27.98 | 1.02 | - | 93.69 | |
| ra#11 | 2.06 | 0.03 | 0.59 | 0.32 | - | 0.45 | 48.98 | 1.08 | 0.09 | 31.23 | 1.93 | - | 92.06 | |
| ra#12 | 0.48 | 0 | 0.07 | 0.03 | - | 0.24 | 50.43 | 1.41 | 0.05 | 31.83 | 2.49 | - | 92.37 | |
| Kef Essenoun | rc#5 | 17.69 | 0 | 2.65 | 5.81 | - | 1.76 | 34.78 | 0.46 | 3.02 | 23.03 | 1.54 | - | 94.65 |
| rc#6 | 13.17 | 0 | 1.68 | 5.1 | - | 1.28 | 39.36 | 0.57 | 2.42 | 26.93 | 1.67 | - | 96.64 | |
| rc#4 | 1.82 | 0.02 | 0.45 | 0.23 | - | 0.53 | 49.12 | 1.16 | 0.07 | 30.94 | 1.99 | - | 91.37 | |
| rc#2 | 0.79 | 0.02 | 0.21 | 0.28 | - | 0.57 | 49.41 | 1.06 | 0.03 | 31.95 | 2.05 | - | 91.22 | |
| Djebel Dyr | D_1 | - | 0.032 | 0.58 | 0.31 | - | 1.21 | 46.8 | - | 0.15 | 23.78 | - | - | - |
| D_2 | - | 0.131 | 2.38 | 1.09 | - | 1.36 | 37.96 | - | 0.4 | 6.52 | - | - | - | |
| D_3 | - | 0.04 | 0.75 | 0.54 | - | 0.65 | 32.5 | - | 0.16 | 22.26 | - | - | - | |
| D_4 | - | 0.086 | 1.35 | 0.55 | - | 1.27 | 35.06 | - | 0.34 | 15.98 | - | - | - | |
| D_5 | - | 0.137 | 2.29 | 0.93 | - | 2.65 | 29.76 | - | 0.53 | 13.31 | - | - | - | |
| D_6 | - | 0.06 | 0.95 | 0.4 | - | 1.66 | 41.84 | - | 0.18 | 23.02 | - | - | - | |
| D_7 | - | 0.033 | 0.5 | 0.21 | - | 0.67 | 48.86 | - | 0.14 | 18.03 | - | - | - | |
| D_8 | - | 0.107 | 1.34 | 0.65 | - | 0.65 | 30.16 | - | 0.25 | 10.24 | - | - | - | |
| D_9 | - | 0.015 | 0.18 | 0.23 | - | 0.37 | 45.61 | - | 0.06 | 30.33 | - | - | - | |
| D_10 | - | 0.015 | 0.32 | 0.16 | - | 0.47 | 37.15 | - | 0.07 | 21.32 | - | - | - | |
| Djebel Tazbant | T_1 | - | 0.016 | 0.23 | 0.12 | - | 0.9 | 47.97 | - | 0.05 | 21.84 | - | - | - |
| T_2 | - | 0.01 | 0.36 | 0.08 | - | 0.28 | 30.04 | - | 0.08 | 19.26 | - | - | - | |
| T_3 | - | 0.022 | 0.45 | 0.31 | - | 0.53 | 21.91 | - | 0.12 | 13.32 | - | - | - | |
| T_4 | - | 0.011 | 0.53 | 0.09 | - | 0.28 | 28.06 | - | 0.1 | 18.23 | - | - | - | |
| Locality/Deposit | Samples | La | Ce | Pr | Nd | Sm | Eu | Gd | Tb | Dy | Ho | Er | Tm | Yb | Lu | ΣREEs |
|---|---|---|---|---|---|---|---|---|---|---|---|---|---|---|---|---|
| TUNISIA 1 | ||||||||||||||||
| Sra Ouertana | SRO1 | 59.2 | 57.8 | 11.3 | 46.8 | 9.4 | 2.5 | 10.3 | 1.6 | 9.7 | 2.2 | 6.2 | 0.9 | 5.4 | 0.8 | 224.1 |
| SRO2 | 76.6 | 48.7 | 13.2 | 56.1 | 11.5 | 3.0 | 14.0 | 2.2 | 13.8 | 3.3 | 9.5 | 1.3 | 8.5 | 1.4 | 263.0 | |
| SRO3 | 69.0 | 75.8 | 14.1 | 59.1 | 12.1 | 2.9 | 12.7 | 2.0 | 11.4 | 2.5 | 7.3 | 1.0 | 6.2 | 1.0 | 277.1 | |
| SRO4 | 31.4 | 31.2 | 6.1 | 25.5 | 5.1 | 1.3 | 5.6 | 0.9 | 5.2 | 1.2 | 3.3 | 0.5 | 2.9 | 0.5 | 120.6 | |
| SRO5 | 71.4 | 106.0 | 17.0 | 70.8 | 14.5 | 3.4 | 13.9 | 2.1 | 11.8 | 2.5 | 6.9 | 0.9 | 5.9 | 0.9 | 328.0 | |
| SRO6 | 82.0 | 93.5 | 17.3 | 71.8 | 14.8 | 3.6 | 15.1 | 2.3 | 13.6 | 3.0 | 8.4 | 1.1 | 7.2 | 1.1 | 334.8 | |
| SRO7 | 31.8 | 23.5 | 5.5 | 23.0 | 4.7 | 1.2 | 5.5 | 0.9 | 5.4 | 1.3 | 3.6 | 0.5 | 3.4 | 0.5 | 110.9 | |
| SRO8 | 213.0 | 114.0 | 34.1 | 147.0 | 29.8 | 7.7 | 37.7 | 5.9 | 36.8 | 8.8 | 25.7 | 3.6 | 22.7 | 3.7 | 690.4 | |
| SRO9 | 128.0 | 68.5 | 19.3 | 82.0 | 16.1 | 4.1 | 20.7 | 3.2 | 20.6 | 5.0 | 15.1 | 2.1 | 13.8 | 2.3 | 400.9 | |
| P-SR1 | 175.0 | 91.7 | 28.5 | 116.9 | 21.8 | 6.2 | 31.0 | 4.3 | 32.6 | 7.2 | 21.5 | 3.0 | 19.4 | 3.1 | 562.2 | |
| P-SR2 | 178.9 | 185.3 | 36.1 | 149.1 | 29.1 | 7.2 | 32.8 | 4.4 | 29.9 | 6.2 | 19.0 | 2.5 | 15.5 | 2.6 | 698.4 | |
| P-SR3 | 191.0 | 135.6 | 32.1 | 129.4 | 25.8 | 6.5 | 31.2 | 4.2 | 30.5 | 6.7 | 20.8 | 2.7 | 17.0 | 2.7 | 636.2 | |
| P-SR4 | 209.7 | 99.8 | 31.0 | 135.5 | 26.6 | 6.9 | 39.7 | 5.2 | 38.8 | 9.0 | 27.3 | 3.9 | 27.4 | 4.5 | 665.4 | |
| P-SR5 | 164.9 | 85.6 | 25.1 | 105.7 | 20.1 | 5.5 | 27.3 | 3.9 | 28.2 | 6.9 | 20.5 | 3.0 | 18.8 | 3.1 | 518.6 | |
| CC-SR1 | 249.1 | 93.3 | 34.8 | 143.1 | 26.5 | 7.3 | 35.6 | 5.8 | 43.3 | 10.5 | 29.2 | 4.4 | 31.0 | 4.8 | 718.5 | |
| CR-SR1 | 289.3 | 116.1 | 44.5 | 181.0 | 36.7 | 10.1 | 47.3 | 7.1 | 55.4 | 12.3 | 38.5 | 5.5 | 35.5 | 5.8 | 885.2 | |
| CC-SR2 | 99.0 | 83.4 | 15.3 | 62.2 | 10.8 | 2.9 | 13.6 | 2.0 | 13.1 | 2.7 | 8.4 | 1.2 | 8.1 | 1.3 | 323.8 | |
| CR-SR2 | 130.6 | 119.5 | 22.7 | 91.2 | 16.8 | 4.0 | 21.4 | 2.5 | 19.0 | 4.6 | 12.3 | 1.9 | 12.9 | 2.2 | 461.4 | |
| CC-SR3 | 140.3 | 64.8 | 17.9 | 68.7 | 13.3 | 3.8 | 15.7 | 2.6 | 18.8 | 4.9 | 14.4 | 2.3 | 15.2 | 2.4 | 385.1 | |
| CR-SR3 | 162.8 | 79.0 | 22.0 | 84.3 | 15.8 | 4.5 | 20.7 | 3.0 | 23.7 | 6.1 | 16.9 | 2.4 | 19.7 | 2.6 | 463.3 | |
| CC-SR4 | 305.4 | 108.0 | 38.9 | 173.4 | 34.9 | 8.9 | 56.2 | 7.4 | 54.7 | 12.1 | 37.8 | 5.5 | 40.5 | 6.9 | 890.4 | |
| CR-SR4 | 311.9 | 113.0 | 42.9 | 185.2 | 39.3 | 9.5 | 62.8 | 8.1 | 61.0 | 13.3 | 41.5 | 6.5 | 46.8 | 7.4 | 949.1 | |
| CC-SR5 | 59.2 | 32.8 | 7.6 | 32.0 | 6.8 | 1.5 | 9.1 | 1.2 | 8.5 | 2.0 | 5.7 | 0.9 | 6.9 | 1.2 | 175.3 | |
| CR-SR5 | 82.1 | 38.6 | 9.3 | 40.4 | 8.1 | 2.0 | 11.3 | 1.4 | 10.7 | 2.3 | 8.2 | 1.1 | 8.8 | 1.5 | 225.7 | |
| Sekarna | SEK1 | 184.0 | 195.0 | 38.9 | 167.0 | 34.7 | 8.3 | 37.0 | 5.6 | 32.5 | 7.1 | 19.6 | 2.6 | 15.8 | 2.4 | 750.4 |
| SEK3 | 186.0 | 213.0 | 41.9 | 182.0 | 37.6 | 9.0 | 40.1 | 6.0 | 34.5 | 7.5 | 20.8 | 2.7 | 16.1 | 2.5 | 799.6 | |
| SEK4 | 155.0 | 152.0 | 30.5 | 130.0 | 26.2 | 6.4 | 29.0 | 4.4 | 25.5 | 5.7 | 15.9 | 2.1 | 12.8 | 2.0 | 597.5 | |
| Jebel Jebs | JBS4 | 57.2 | 76.7 | 11.8 | 49.2 | 9.8 | 2.4 | 9.8 | 1.5 | 8.6 | 1.9 | 5.3 | 0.7 | 4.6 | 0.7 | 240.2 |
| JBS5 | 87.5 | 116.0 | 18.2 | 75.9 | 14.8 | 3.5 | 14.7 | 2.2 | 12.9 | 2.8 | 7.8 | 1.0 | 6.5 | 1.0 | 364.8 | |
| JBS10 | 65.8 | 96.7 | 14.6 | 60.0 | 11.6 | 2.7 | 11.0 | 1.7 | 9.4 | 2.0 | 5.6 | 0.8 | 4.7 | 0.7 | 287.3 | |
| JBS7 | 51.3 | 76.6 | 11.4 | 47.4 | 9.3 | 2.2 | 8.9 | 1.4 | 7.7 | 1.6 | 4.4 | 0.6 | 3.8 | 0.6 | 227.2 | |
| JBS14 | 221.0 | 354.0 | 52.4 | 215.0 | 43.0 | 9.8 | 39.2 | 5.9 | 32.6 | 6.8 | 18.5 | 2.5 | 15.4 | 2.3 | 1018.3 | |
| JBS18 | 213.0 | 335.0 | 49.3 | 204.0 | 40.2 | 9.2 | 36.9 | 5.6 | 31.1 | 6.4 | 17.8 | 2.4 | 15.2 | 2.3 | 968.4 | |
| JBS19 | 203.0 | 331.0 | 47.7 | 198.0 | 38.7 | 8.8 | 34.6 | 5.2 | 28.6 | 5.9 | 16.0 | 2.1 | 13.1 | 2.0 | 934.7 | |
| P-JBS1 | 111.2 | 155.7 | 22.0 | 82.4 | 14.4 | 3.6 | 14.7 | 2.2 | 14.0 | 2.8 | 8.7 | 1.2 | 7.1 | 1.2 | 441.0 | |
| P-JBS2 | 121.4 | 148.7 | 24.2 | 99.0 | 19.7 | 4.7 | 19.0 | 2.8 | 17.5 | 3.8 | 10.9 | 1.5 | 10.1 | 1.5 | 484.6 | |
| P-JBS3 | 137.4 | 197.0 | 29.2 | 118.6 | 22.2 | 5.6 | 20.2 | 3.1 | 21.2 | 4.3 | 12.1 | 1.8 | 10.8 | 1.8 | 585.2 | |
| P-JBS4 | 186.0 | 216.3 | 34.6 | 138.7 | 21.4 | 5.4 | 27.7 | 3.4 | 25.2 | 6.8 | 15.6 | 2.5 | 14.8 | 2.6 | 701.2 | |
| P-JBS5 | 155.4 | 230.3 | 37.4 | 151.2 | 28.6 | 6.8 | 28.1 | 3.7 | 24.4 | 4.6 | 15.9 | 2.0 | 12.6 | 2.0 | 702.9 | |
| CC-JBS1 | 94.8 | 134.8 | 20.2 | 87.6 | 17.2 | 3.1 | 14.1 | 2.1 | 14.1 | 3.0 | 8.2 | 1.1 | 6.8 | 0.8 | 407.8 | |
| CR-JBS1 | 102.8 | 144.0 | 22.0 | 85.4 | 18.6 | 3.5 | 16.7 | 2.4 | 15.6 | 3.1 | 8.2 | 1.1 | 6.8 | 1.2 | 431.3 | |
| CC-JBS2 | 177.3 | 169.2 | 28.8 | 109.0 | 20.3 | 4.5 | 22.8 | 3.6 | 21.4 | 4.7 | 15.7 | 2.1 | 14.4 | 2.2 | 595.7 | |
| CR-JBS2 | 227.9 | 272.5 | 40.5 | 170.6 | 30.7 | 7.1 | 33.1 | 4.4 | 28.8 | 6.1 | 19.2 | 2.4 | 15.3 | 2.4 | 861.0 | |
| CC-JBS4 | 119.4 | 162.1 | 23.0 | 93.2 | 18.2 | 3.8 | 18.2 | 2.2 | 16.2 | 3.2 | 8.9 | 1.5 | 7.9 | 1.3 | 479.0 | |
| CR-JBS4 | 137.5 | 189.5 | 27.8 | 110.9 | 22.0 | 5.1 | 21.9 | 3.1 | 18.4 | 3.9 | 10.8 | 1.5 | 9.1 | 1.6 | 562.9 | |
| CC-JBS5 | 105.0 | 129.7 | 19.0 | 69.3 | 12.4 | 3.0 | 11.3 | 1.7 | 11.8 | 2.5 | 7.0 | 1.2 | 6.1 | 1.0 | 380.8 | |
| CR-JBS5 | 122.3 | 154.1 | 26.9 | 98.3 | 19.2 | 4.4 | 18.0 | 2.6 | 16.3 | 3.4 | 9.5 | 1.3 | 10.3 | 1.6 | 488.0 | |
| Naguess | NAGI | 111.0 | 180.0 | 24.9 | 103.0 | 20.3 | 4.6 | 19.2 | 2.9 | 16.6 | 3.6 | 10.1 | 1.4 | 9.1 | 1.5 | 508.1 |
| NAGIIa | 86.6 | 120.0 | 18.0 | 74.1 | 14.8 | 3.4 | 14.7 | 2.3 | 13.3 | 3.0 | 8.5 | 1.2 | 8.0 | 1.3 | 369.1 | |
| NAGIIb | 93.6 | 122.0 | 19.2 | 79.3 | 16.0 | 3.7 | 16.2 | 2.5 | 14.9 | 3.4 | 9.7 | 1.4 | 8.9 | 1.5 | 392.2 | |
| NAGIII | 110.0 | 168.0 | 24.4 | 101.0 | 20.5 | 4.7 | 19.8 | 3.1 | 17.6 | 3.8 | 10.9 | 1.5 | 9.9 | 1.6 | 496.7 | |
| NAGIV | 75.9 | 108.0 | 15.7 | 64.3 | 12.6 | 2.9 | 12.3 | 1.9 | 11.2 | 2.5 | 7.4 | 1.0 | 6.9 | 1.1 | 323.7 | |
| NAGV | 55.1 | 59.3 | 9.8 | 39.2 | 7.5 | 1.7 | 8.2 | 1.3 | 7.9 | 1.9 | 5.6 | 0.8 | 5.4 | 0.9 | 204.6 | |
| NAGVI | 60.6 | 82.3 | 12.0 | 49.4 | 9.8 | 2.2 | 9.9 | 1.5 | 9.2 | 2.1 | 6.1 | 0.9 | 5.8 | 0.9 | 252.8 | |
| NAGVII | 52.5 | 65.5 | 10.0 | 41.6 | 8.4 | 2.0 | 9.0 | 1.4 | 8.9 | 2.1 | 6.3 | 0.9 | 6.0 | 1.0 | 215.5 | |
| Central Kef Eddour | KECI | 108.0 | 164.0 | 23.5 | 96.5 | 18.9 | 4.3 | 18.4 | 2.8 | 16.1 | 3.5 | 10.1 | 1.4 | 9.2 | 1.5 | 478.2 |
| KECII | 91.8 | 133.0 | 19.4 | 80.2 | 15.8 | 3.7 | 15.7 | 2.4 | 14.0 | 3.1 | 8.9 | 1.3 | 8.3 | 1.3 | 398.9 | |
| KECIII | 80.3 | 130.0 | 17.9 | 73.5 | 14.4 | 3.3 | 13.5 | 2.1 | 11.8 | 2.5 | 7.3 | 1.0 | 6.7 | 1.0 | 365.3 | |
| KECIV | 76.4 | 108.0 | 15.4 | 63.2 | 11.9 | 2.7 | 11.6 | 1.8 | 10.4 | 2.3 | 6.7 | 1.0 | 6.4 | 1.0 | 318.8 | |
| KECV | 68.8 | 92.1 | 13.9 | 56.4 | 11.1 | 2.6 | 11.1 | 1.8 | 10.4 | 2.3 | 6.9 | 1.0 | 6.7 | 1.1 | 286.1 | |
| KECVI | 79.9 | 117.0 | 17.0 | 69.5 | 13.9 | 3.2 | 14.0 | 2.2 | 12.8 | 2.8 | 8.2 | 1.2 | 7.8 | 1.2 | 350.7 | |
| KECVII | 50.4 | 60.5 | 8.8 | 35.6 | 6.7 | 1.6 | 7.4 | 1.2 | 7.4 | 1.8 | 5.7 | 0.8 | 5.7 | 1.0 | 194.6 | |
| KECVIII | 45.1 | 49.3 | 7.8 | 32.0 | 6.2 | 1.5 | 6.8 | 1.1 | 6.9 | 1.7 | 5.3 | 0.8 | 5.2 | 0.9 | 170.5 | |
| Table Metlaoui | TMI | 118.0 | 197.0 | 27.2 | 112.0 | 22.2 | 5.0 | 20.5 | 3.1 | 17.4 | 3.7 | 10.3 | 1.4 | 9.3 | 1.5 | 548.6 |
| TMII | 86.5 | 124.0 | 18.5 | 76.3 | 14.8 | 3.5 | 14.4 | 2.2 | 13.0 | 2.8 | 8.2 | 1.1 | 7.5 | 1.2 | 374.0 | |
| TMIII | 79.8 | 129.0 | 17.9 | 73.5 | 14.5 | 3.3 | 13.5 | 2.0 | 11.7 | 2.5 | 7.1 | 1.0 | 6.6 | 1.0 | 363.4 | |
| TMIV | 67.9 | 96.4 | 13.7 | 55.8 | 10.7 | 2.4 | 10.3 | 1.6 | 9.3 | 2.0 | 5.9 | 0.8 | 5.6 | 0.9 | 283.3 | |
| TMV | 76.4 | 97.1 | 15.0 | 61.3 | 12.1 | 2.7 | 12.0 | 1.9 | 11.3 | 2.6 | 7.6 | 1.1 | 7.3 | 1.2 | 309.6 | |
| TMVI | 83.0 | 125.0 | 18.3 | 74.7 | 15.3 | 3.5 | 14.8 | 2.3 | 13.4 | 2.9 | 8.3 | 1.2 | 7.8 | 1.2 | 371.6 | |
| TMVIIa | 49.7 | 50.6 | 8.0 | 32.6 | 6.1 | 1.5 | 7.0 | 1.1 | 7.2 | 1.8 | 5.7 | 0.8 | 5.6 | 0.9 | 178.7 | |
| TMVIII | 46.1 | 51.2 | 7.9 | 32.8 | 6.3 | 1.5 | 6.9 | 1.1 | 7.0 | 1.7 | 5.3 | 0.8 | 5.2 | 0.9 | 174.7 | |
| Mzinda | MZ0 | 55.2 | 95.4 | 12.4 | 49.4 | 9.4 | 2.2 | 8.4 | 1.3 | 7.0 | 1.5 | 4.1 | 0.6 | 3.6 | 0.5 | 251.0 |
| MZI> | 73.7 | 118.0 | 16.2 | 65.6 | 12.5 | 2.9 | 11.6 | 1.7 | 9.8 | 2.1 | 5.8 | 0.8 | 5.1 | 0.8 | 326.6 | |
| MZI< | 78.0 | 120.0 | 16.8 | 68.6 | 13.0 | 3.0 | 12.1 | 1.8 | 10.4 | 2.2 | 6.3 | 0.9 | 5.8 | 0.9 | 339.7 | |
| MZH1 | 78.6 | 122.0 | 16.5 | 67.4 | 12.8 | 2.9 | 11.8 | 1.8 | 10.3 | 2.2 | 6.3 | 0.9 | 5.7 | 0.9 | 340.0 | |
| MZH2 | 78.5 | 113.0 | 15.5 | 62.7 | 11.7 | 2.7 | 11.4 | 1.7 | 10.0 | 2.2 | 6.4 | 0.9 | 5.9 | 0.9 | 323.5 | |
| MZII> | 78.4 | 117.0 | 16.5 | 66.2 | 12.8 | 2.9 | 12.2 | 1.9 | 10.8 | 2.3 | 6.7 | 0.9 | 6.2 | 1.0 | 335.8 | |
| MZII< | 65.6 | 80.1 | 12.0 | 48.5 | 9.4 | 2.2 | 10.1 | 1.6 | 9.7 | 2.3 | 6.9 | 1.0 | 6.6 | 1.1 | 257.1 | |
| MZIII | 40.1 | 46.1 | 7.0 | 28.5 | 5.2 | 1.3 | 5.6 | 0.9 | 5.5 | 1.3 | 4.1 | 0.6 | 3.9 | 0.7 | 150.7 | |
| Jellabia | JLA0 | 66.3 | 116.0 | 15.6 | 63.3 | 12.2 | 2.8 | 10.8 | 1.6 | 8.9 | 1.8 | 5.1 | 0.7 | 4.4 | 0.7 | 310.1 |
| JLAI | 74.5 | 115.0 | 16.5 | 66.7 | 12.8 | 2.9 | 11.9 | 1.8 | 10.3 | 2.2 | 6.3 | 0.9 | 5.7 | 0.9 | 328.4 | |
| JLAH1 | 78.3 | 126.0 | 16.5 | 66.4 | 12.5 | 2.8 | 11.4 | 1.7 | 9.8 | 2.1 | 5.8 | 0.8 | 5.4 | 0.8 | 340.3 | |
| JLAH2 | 104.0 | 158.0 | 21.7 | 87.2 | 16.6 | 3.8 | 15.6 | 2.4 | 13.4 | 2.8 | 8.2 | 1.2 | 7.4 | 1.1 | 443.4 | |
| JLAII> | 100.0 | 153.0 | 21.4 | 85.8 | 16.3 | 3.7 | 15.5 | 2.4 | 13.6 | 2.9 | 8.4 | 1.2 | 7.8 | 1.2 | 433.2 | |
| JLII< | 73.5 | 94.1 | 13.8 | 55.1 | 10.6 | 2.5 | 11.0 | 1.7 | 10.5 | 2.4 | 7.3 | 1.1 | 7.0 | 1.1 | 291.6 | |
| JLAIII | 46.3 | 55.0 | 8.2 | 32.7 | 6.1 | 1.5 | 6.5 | 1.0 | 6.2 | 1.5 | 4.5 | 0.7 | 4.3 | 0.7 | 175.1 | |
| Gafsa Metlaoui | P-MZ2 SUP | 61.5 | 87.6 | 12.2 | 51.0 | 9.9 | 2.0 | 9.0 | 1.2 | 8.5 | 1.6 | 5.3 | 0.7 | 4.6 | 0.8 | 256.0 |
| P-MZ2 INF | 28.1 | 32.2 | 4.7 | 18.5 | 3.6 | 0.7 | 3.6 | 0.6 | 3.7 | 0.8 | 3.0 | 0.4 | 2.8 | 0.5 | 103.1 | |
| P-KEC3 | 72.0 | 94.2 | 13.0 | 53.8 | 9.4 | 2.1 | 9.3 | 1.3 | 8.9 | 2.0 | 5.9 | 0.8 | 6.3 | 1.0 | 279.9 | |
| P-NAG4 | 56.2 | 88.3 | 11.6 | 48.5 | 8.0 | 1.9 | 7.7 | 1.1 | 7.0 | 1.5 | 4.2 | 0.6 | 4.2 | 0.7 | 241.4 | |
| P-NAG5 | 38.6 | 37.8 | 6.5 | 25.7 | 4.6 | 1.2 | 4.8 | 0.8 | 4.8 | 1.3 | 4.3 | 0.5 | 3.3 | 0.6 | 134.8 | |
| P-MZ3 | 77.4 | 104.9 | 15.8 | 63.4 | 11.9 | 2.6 | 12.4 | 1.6 | 10.6 | 2.3 | 7.4 | 1.1 | 6.6 | 1.1 | 319.0 | |
| CC-KEC3 | 51.9 | 45.8 | 7.1 | 31.0 | 4.8 | 1.3 | 5.6 | 0.8 | 5.5 | 1.4 | 4.1 | 0.7 | 4.4 | 0.7 | 165.2 | |
| CR-KEC3 | 65.8 | 61.2 | 10.1 | 40.1 | 6.1 | 1.6 | 8.6 | 1.2 | 8.1 | 1.8 | 6.3 | 1.0 | 6.0 | 1.1 | 219.0 | |
| CC-NAG5 | 14.5 | 15.6 | 2.2 | 8.1 | 1.6 | 0.4 | 1.5 | 0.2 | 2.4 | 0.4 | 1.4 | 0.2 | 1.4 | 0.3 | 50.4 | |
| CR-NAG5 | 16.0 | 16.8 | 2.6 | 9.3 | 2.1 | 0.4 | 2.0 | 0.2 | 2.0 | 0.6 | 1.5 | 0.3 | 1.3 | 0.3 | 55.1 | |
| CC-MZ3 | 19.1 | 16.3 | 2.7 | 11.2 | 1.7 | 0.5 | 1.9 | 0.3 | 2.9 | 0.6 | 1.9 | 0.2 | 1.7 | 0.3 | 61.1 | |
| CR-MZ3 | 16.5 | 20.0 | 2.7 | 11.8 | 2.2 | 0.6 | 2.2 | 0.3 | 2.5 | 0.5 | 1.7 | 0.2 | 1.5 | 0.3 | 62.8 | |
| P-ME1 (1) | 91.1 | 132.4 | 18.2 | 76.7 | 15.7 | 3.0 | 13.5 | 1.9 | 13.1 | 2.3 | 8.2 | 1.0 | 6.4 | 1.0 | 384.5 | |
| P-ME1 (2) | 94.1 | 147.4 | 13.7 | 72.6 | 10.2 | 2.4 | 13.0 | 1.6 | 8.8 | 1.8 | 5.5 | 0.7 | 4.8 | 0.7 | 377.1 | |
| P-ME2 (1) | 31.6 | 29.5 | 4.8 | 18.4 | 3.9 | 0.7 | 3.9 | 0.7 | 4.7 | 1.1 | 4.2 | 0.5 | 3.8 | 0.6 | 108.1 | |
| P-ME2 (2) | 18.5 | 23.1 | 3.5 | 14.3 | 2.6 | 0.6 | 3.5 | 0.4 | 2.7 | 0.6 | 1.9 | 0.3 | 1.8 | 0.3 | 74.3 | |
| P-ME3 (1) | 33.7 | 31.8 | 5.5 | 21.6 | 3.6 | 0.8 | 3.3 | 0.6 | 3.9 | 1.2 | 3.9 | 0.4 | 3.6 | 0.5 | 114.1 | |
| P-ME3 (2) | 37.5 | 42.2 | 6.5 | 26.7 | 4.7 | 1.2 | 6.7 | 0.9 | 5.1 | 1.2 | 3.9 | 0.6 | 3.6 | 0.6 | 141.4 | |
| C-ME1 (1) | 20.6 | 27.4 | 3.7 | 15.2 | 2.8 | 0.7 | 2.8 | 0.4 | 3.1 | 0.5 | 1.8 | 0.2 | 1.6 | 0.3 | 81.0 | |
| C-ME1 (2) | 18.8 | 29.7 | 4.0 | 16.1 | 2.9 | 0.8 | 3.8 | 0.5 | 2.6 | 0.5 | 1.6 | 0.2 | 1.5 | 0.2 | 83.2 | |
| C-ME2 (1) | 16.3 | 17.6 | 2.4 | 9.1 | 1.8 | 0.5 | 1.7 | 0.3 | 1.6 | 0.5 | 1.6 | 0.3 | 1.6 | 0.3 | 55.5 | |
| C-ME2 (2) | 15.0 | 18.4 | 2.6 | 10.7 | 1.9 | 0.5 | 2.6 | 0.3 | 2.0 | 0.5 | 1.4 | 0.2 | 1.3 | 0.2 | 57.7 | |
| C-ME3 (1) | 11.9 | 12.5 | 1.9 | 6.9 | 1.6 | 0.3 | 1.5 | 0.2 | 1.5 | 0.4 | 1.1 | 0.2 | 1.0 | 0.2 | 41.1 | |
| C-ME3 (2) | 11.8 | 15.1 | 2.1 | 8.5 | 1.5 | 0.4 | 2.0 | 0.3 | 1.5 | 0.4 | 1.1 | 0.2 | 1.0 | 0.2 | 45.9 | |
| Alima Mount | ZT-2c | 43.7 | 63.8 | 9.0 | 38.4 | 7.2 | 1.9 | 7.0 | 1.0 | 6.3 | 1.3 | 3.8 | 0.5 | 3.5 | 0.5 | 187.8 |
| ZT-2s | 21.0 | 27.4 | 3.3 | 13.2 | 2.1 | 0.6 | 2.8 | 0.4 | 2.5 | 0.6 | 1.8 | 0.3 | 1.7 | 0.3 | 77.9 | |
| ZT-3c | 37.0 | 60.0 | 7.6 | 31.4 | 5.7 | 1.5 | 5.7 | 0.8 | 5.0 | 1.0 | 2.9 | 0.4 | 2.6 | 0.4 | 162.0 | |
| ZT-4s | 20.8 | 29.0 | 3.9 | 15.8 | 2.8 | 0.7 | 3.0 | 0.4 | 2.8 | 0.6 | 1.9 | 0.3 | 1.9 | 0.3 | 84.3 | |
| ZT-6s | 24.6 | 38.8 | 5.1 | 19.3 | 3.5 | 1.0 | 3.4 | 0.5 | 3.3 | 0.7 | 2.0 | 0.3 | 2.1 | 0.3 | 104.8 | |
| ZT-7c | 29.3 | 49.0 | 6.0 | 23.7 | 4.3 | 1.2 | 4.4 | 0.6 | 3.9 | 0.9 | 2.6 | 0.4 | 2.5 | 0.4 | 129.0 | |
| ZT-10c | 22.1 | 32.0 | 4.3 | 18.4 | 3.3 | 0.9 | 3.6 | 0.5 | 3.3 | 0.7 | 2.2 | 0.3 | 2.1 | 0.3 | 94.1 | |
| ZT-11c | 15.0 | 18.2 | 2.4 | 10.2 | 1.8 | 0.5 | 2.0 | 0.3 | 2.0 | 0.5 | 1.6 | 0.2 | 1.5 | 0.3 | 56.4 | |
| Chouabine Formation | CAC-4s | 7.9 | 9.1 | 1.2 | 4.5 | 0.8 | 0.2 | 0.9 | 0.1 | 0.8 | 0.2 | 0.6 | 0.1 | 0.6 | 0.1 | 26.9 |
| CAC-5s | 13.3 | 18.6 | 2.4 | 9.6 | 1.7 | 0.4 | 1.7 | 0.3 | 1.7 | 0.4 | 1.1 | 0.2 | 1.1 | 0.2 | 52.5 | |
| CAC-6 s | 7.8 | 12.4 | 1.4 | 6.0 | 1.0 | 0.3 | 1.0 | 0.1 | 0.9 | 0.2 | 0.6 | 0.1 | 0.6 | 0.1 | 32.4 | |
| CAC-7c | 15.1 | 24.4 | 2.9 | 11.0 | 2.0 | 0.5 | 2.1 | 0.3 | 1.8 | 0.4 | 1.1 | 0.2 | 1.2 | 0.2 | 63.1 | |
| CAC-8As | 35.4 | 48.1 | 5.2 | 19.2 | 3.0 | 0.8 | 3.2 | 0.5 | 3.1 | 0.7 | 2.2 | 0.3 | 2.1 | 0.3 | 124.1 | |
| CAC-9c | 21.8 | 27.7 | 3.4 | 12.7 | 2.4 | 0.6 | 2.2 | 0.3 | 2.2 | 0.5 | 1.6 | 0.2 | 1.6 | 0.3 | 77.5 | |
| CAC-13 s | 30.7 | 39.5 | 4.2 | 15.7 | 2.4 | 0.8 | 2.8 | 0.4 | 2.5 | 0.5 | 1.6 | 0.2 | 1.5 | 0.2 | 103.0 | |
| ALGERIA 2 | ||||||||||||||||
| Djebel El Kouif | K_1 | 127.4 | 123.8 | 22.2 | 96.3 | 18.3 | 4.8 | 21.7 | 3.1 | 20.9 | 4.7 | 14.3 | 2.0 | 11.0 | 2.1 | 472.4 |
| K_2 | 113.8 | 112.5 | 20.1 | 88.1 | 16.7 | 4.3 | 19.7 | 2.8 | 19.1 | 4.2 | 12.9 | 1.8 | 9.8 | 1.9 | 427.9 | |
| K_3 | 115.9 | 104.3 | 19.7 | 86.5 | 16.5 | 4.3 | 19.9 | 2.8 | 19.4 | 4.3 | 13.4 | 1.9 | 10.5 | 2.0 | 421.3 | |
| K_4 | 88.8 | 72.7 | 14.4 | 62.9 | 11.8 | 3.1 | 14.9 | 2.1 | 14.7 | 3.3 | 10.3 | 1.4 | 8.0 | 1.6 | 310.0 | |
| K_5 | 21.1 | 14.7 | 3.3 | 13.3 | 2.5 | 0.7 | 3.2 | 0.5 | 3.2 | 0.8 | 2.2 | 0.3 | 2.2 | 0.4 | 68.4 | |
| K_6 | 95.1 | 40.0 | 12.5 | 55.7 | 10.5 | 2.9 | 15.1 | 2.2 | 16.0 | 3.8 | 12.4 | 1.8 | 10.1 | 2.0 | 280.1 | |
| K_7 | 150.9 | 61.8 | 21.6 | 93.0 | 18.1 | 5.0 | 26.1 | 3.7 | 27.0 | 6.4 | 20.5 | 2.9 | 16.2 | 3.2 | 456.5 | |
| K_8 | 74.3 | 32.5 | 9.1 | 40.7 | 7.6 | 2.1 | 11.6 | 1.7 | 12.6 | 3.1 | 10.1 | 1.4 | 8.2 | 1.7 | 216.5 | |
| K_9 | 58.2 | 24.0 | 7.0 | 31.1 | 5.9 | 1.6 | 8.9 | 1.2 | 9.1 | 2.2 | 7.2 | 1.0 | 5.4 | 1.1 | 163.7 | |
| K_10a | 100.2 | 40.8 | 13.5 | 57.8 | 10.5 | 3.1 | 16.6 | 2.4 | 17.2 | 4.4 | 12.9 | 1.8 | 12.1 | 2.0 | 295.2 | |
| ra_20 | 164.0 | 163.0 | 28.6 | 121.0 | 21.2 | 5.3 | 25.9 | 3.3 | 21.4 | 4.8 | 13.7 | 1.8 | 11.3 | 1.8 | 587.1 | |
| ra_21 | 177.0 | 170.0 | 30.0 | 127.0 | 22.5 | 5.5 | 28.2 | 3.5 | 23.4 | 5.1 | 14.4 | 2.1 | 12.6 | 1.9 | 623.1 | |
| ra_14 | 138.0 | 164.0 | 26.7 | 113.0 | 21.0 | 5.0 | 22.9 | 3.0 | 19.5 | 4.2 | 11.9 | 1.6 | 10.1 | 1.5 | 542.5 | |
| rc_5 | 184.0 | 186.0 | 32.4 | 136.0 | 23.9 | 6.1 | 26.6 | 3.4 | 22.8 | 4.9 | 13.1 | 1.8 | 11.0 | 1.6 | 653.7 | |
| rc_16 | 389.0 | 555.0 | 92.1 | 391.0 | 75.9 | 18.1 | 80.4 | 10.5 | 64.4 | 13.1 | 33.7 | 4.5 | 28.0 | 3.8 | 1759.4 | |
| rc_26 | 235.0 | 329.0 | 52.6 | 226.0 | 42.6 | 10.3 | 45.8 | 5.6 | 33.5 | 7.0 | 18.5 | 2.3 | 14.5 | 2.0 | 1024.7 | |
| Djebel Dyr | D_1 | 62.6 | 62.4 | 9.5 | 40.6 | 7.4 | 1.9 | 9.0 | 1.3 | 8.8 | 2.0 | 6.3 | 0.9 | 5.1 | 1.0 | 218.6 |
| D_2 | 42.1 | 55.4 | 8.3 | 35.8 | 6.9 | 1.7 | 7.4 | 1.1 | 6.9 | 1.5 | 4.3 | 0.6 | 3.3 | 0.6 | 175.8 | |
| D_3 | 45.8 | 42.4 | 6.8 | 29.0 | 5.3 | 1.4 | 6.3 | 0.9 | 6.1 | 1.4 | 4.5 | 0.6 | 3.7 | 0.7 | 154.9 | |
| D_4 | 60.5 | 49.7 | 9.7 | 42.3 | 8.1 | 2.1 | 10.1 | 1.4 | 10.0 | 2.3 | 7.2 | 1.0 | 5.7 | 1.1 | 211.2 | |
| D_5 | 82.6 | 67.1 | 13.7 | 60.3 | 11.7 | 3.2 | 14.6 | 2.1 | 14.3 | 3.2 | 10.0 | 1.4 | 7.7 | 1.5 | 293.4 | |
| D_6 | 95.0 | 45.6 | 13.4 | 59.7 | 11.5 | 3.1 | 15.9 | 2.3 | 16.4 | 3.8 | 12.2 | 1.7 | 9.9 | 2.0 | 292.5 | |
| D_7 | 66.1 | 32.5 | 9.2 | 41.0 | 7.7 | 2.1 | 10.8 | 1.5 | 11.0 | 2.6 | 8.3 | 1.2 | 6.7 | 1.3 | 202.1 | |
| D_8 | 65.3 | 36.1 | 10.6 | 45.8 | 8.6 | 2.5 | 12.6 | 1.8 | 12.5 | 3.0 | 8.6 | 1.2 | 8.0 | 1.3 | 218.1 | |
| D_9 | 100.8 | 42.6 | 12.6 | 56.9 | 10.7 | 2.9 | 15.9 | 2.2 | 16.1 | 3.8 | 12.2 | 1.6 | 9.2 | 1.8 | 289.2 | |
| D_10 | 46.1 | 17.2 | 5.5 | 24.2 | 4.4 | 1.2 | 6.7 | 0.9 | 6.8 | 1.6 | 5.2 | 0.7 | 4.0 | 0.8 | 125.4 | |
| Djebel Tazbant | T_1 | 82.2 | 35.8 | 10.8 | 48.3 | 9.2 | 2.5 | 13.1 | 1.8 | 13.5 | 3.2 | 10.2 | 1.4 | 8.2 | 1.6 | 241.8 |
| T_2 | 71.0 | 24.4 | 9.6 | 42.8 | 8.2 | 2.3 | 12.2 | 1.7 | 12.4 | 2.9 | 9.2 | 1.3 | 7.1 | 1.4 | 206.4 | |
| T_3 | 51.3 | 23.6 | 6.9 | 30.8 | 5.9 | 1.6 | 8.5 | 1.2 | 8.3 | 1.9 | 6.0 | 0.8 | 4.3 | 0.9 | 151.8 | |
| T_4 | 79.2 | 28.2 | 11.3 | 49.3 | 9.3 | 2.7 | 14.4 | 2.1 | 14.6 | 3.6 | 10.3 | 1.4 | 9.3 | 1.5 | 237.2 | |
| Djebel Onk | S_1 | 156.7 | 223.8 | 36.5 | 157.2 | 26.4 | 6.5 | 27.3 | 3.7 | 23.6 | 4.9 | 14.4 | 1.9 | 10.3 | 1.9 | 695.0 |
| S_2 | 199.2 | 295.0 | 47.9 | 207.3 | 35.0 | 8.6 | 35.4 | 4.9 | 30.7 | 6.3 | 18.2 | 2.4 | 13.1 | 2.4 | 906.4 | |
| S _3 | 165.4 | 238.6 | 39.1 | 169.5 | 28.3 | 7.0 | 29.2 | 4.0 | 25.3 | 5.2 | 15.1 | 2.0 | 10.8 | 2.0 | 741.4 | |
| S _4 | 133.8 | 191.1 | 31.0 | 118.4 | 22.5 | 5.5 | 23.0 | 3.2 | 19.8 | 4.1 | 11.9 | 1.6 | 8.4 | 1.6 | 575.6 | |
| S _5 | 145.7 | 208.5 | 33.9 | 146.3 | 24.4 | 6.0 | 25.3 | 3.5 | 21.6 | 4.5 | 13.0 | 1.7 | 9.3 | 1.7 | 645.2 | |
| S _6 | 64.6 | 21.6 | 7.5 | 33.3 | 6.1 | 1.7 | 9.5 | 1.3 | 9.9 | 2.5 | 7.9 | 1.1 | 6.2 | 1.2 | 174.4 | |
| Kef Essenoun | ra_12 | 75.6 | 43.9 | 9.0 | 37.1 | 6.2 | 1.6 | 8.7 | 1.2 | 9.5 | 2.3 | 7.1 | 1.1 | 7.7 | 1.3 | 212.3 |
| rc_24 | 106.0 | 136.0 | 20.1 | 83.5 | 15.8 | 3.6 | 16.4 | 2.1 | 14.8 | 3.1 | 9.1 | 1.4 | 9.4 | 1.4 | 422.7 | |
| rc_2 | 31.2 | 40.1 | 6.1 | 25.1 | 5.0 | 1.1 | 4.7 | 0.7 | 4.3 | 0.9 | 2.5 | 0.4 | 2.5 | 0.4 | 125.0 | |
| rd_7 | 12.2 | 8.8 | 1.7 | 6.7 | 1.2 | 0.2 | 1.9 | 0.3 | 1.5 | 0.5 | 1.6 | 0.3 | 1.4 | 0.3 | 38.6 | |
| rd_6 | 28.7 | 24.0 | 5.1 | 21.3 | 4.7 | 1.1 | 5.6 | 0.7 | 4.9 | 1.1 | 3.2 | 0.5 | 2.9 | 0.4 | 104.1 | |
| MOROCCO 3 | ||||||||||||||||
| Sidi Chennane | SC-1a | 25.4 | 8.9 | 2.9 | 12.5 | 2.4 | 0.7 | 3.9 | 0.5 | 4.4 | 1.2 | 3.8 | 0.6 | 4.3 | 0.7 | 72.2 |
| SC-1b | 26.5 | 9.2 | 3.0 | 12.0 | 2.1 | 0.7 | 3.5 | 0.5 | 4.5 | 1.2 | 4.1 | 0.6 | 4.2 | 0.7 | 72.9 | |
| SC-2a | 20.7 | 6.7 | 2.2 | 10.0 | 1.7 | 0.5 | 2.9 | 0.4 | 3.5 | 1.0 | 3.1 | 0.5 | 3.7 | 0.7 | 57.6 | |
| SC-2b | 27.8 | 9.7 | 3.5 | 15.4 | 2.8 | 0.8 | 4.5 | 0.6 | 5.0 | 1.4 | 4.4 | 0.7 | 5.2 | 0.9 | 82.7 | |
| SC-3a | 39.6 | 10.0 | 4.9 | 21.6 | 4.1 | 1.2 | 6.2 | 0.9 | 7.3 | 2.0 | 6.3 | 1.0 | 7.1 | 1.2 | 113.3 | |
| SC-3b | 37.4 | 9.1 | 4.4 | 18.8 | 3.6 | 1.0 | 5.7 | 0.8 | 6.9 | 1.8 | 6.2 | 1.0 | 7.1 | 1.2 | 105.0 | |
| SC-6a | 25.2 | 5.7 | 2.8 | 11.7 | 2.2 | 0.6 | 3.6 | 0.5 | 4.4 | 1.2 | 4.1 | 0.6 | 4.8 | 0.8 | 68.2 | |
| SC-6b | 25.0 | 6.0 | 3.0 | 12.6 | 2.3 | 0.7 | 3.8 | 0.5 | 4.5 | 1.2 | 4.1 | 0.6 | 4.9 | 0.8 | 70.0 | |
| SC-6c | 29.6 | 7.3 | 3.6 | 14.9 | 2.8 | 0.9 | 4.5 | 0.6 | 5.2 | 1.4 | 4.6 | 0.7 | 5.1 | 0.9 | 82.2 | |
| SC-8a | 37.9 | 10.4 | 4.8 | 20.5 | 3.8 | 1.1 | 6.4 | 0.9 | 7.3 | 1.9 | 6.4 | 1.0 | 7.7 | 1.3 | 111.2 | |
| SC-8b | 61.3 | 16.7 | 7.8 | 33.7 | 6.5 | 1.8 | 10.5 | 1.4 | 11.4 | 2.9 | 9.8 | 1.4 | 10.5 | 1.8 | 177.6 | |
| SC-8c | 33.1 | 9.5 | 4.3 | 18.6 | 3.6 | 1.0 | 5.7 | 0.8 | 6.6 | 1.7 | 5.8 | 0.9 | 6.5 | 1.1 | 99.3 | |
| SC-9a | 28.6 | 9.3 | 3.8 | 16.6 | 3.0 | 0.9 | 5.0 | 0.7 | 5.4 | 1.4 | 4.6 | 0.7 | 5.6 | 0.0 | 85.6 | |
| SC-9b | 27.9 | 9.0 | 3.6 | 15.7 | 3.0 | 0.8 | 4.8 | 0.7 | 5.2 | 1.4 | 4.6 | 0.7 | 5.3 | 1.0 | 83.6 | |
| SC-9c | 32.8 | 10.0 | 4.3 | 18.8 | 3.5 | 1.0 | 5.6 | 0.8 | 6.3 | 1.6 | 5.4 | 0.8 | 5.9 | 1.0 | 97.9 | |
| SC-9d | 31.1 | 8.8 | 3.6 | 15.1 | 2.9 | 0.8 | 4.8 | 0.7 | 5.6 | 1.5 | 5.3 | 0.8 | 6.3 | 1.1 | 88.3 | |
| SC-13 | 32.5 | 13.8 | 4.1 | 17.6 | 3.3 | 0.9 | 5.3 | 0.7 | 5.6 | 1.4 | 4.9 | 0.8 | 5.5 | 1.0 | 97.4 | |
| SC-24 | 20.9 | 6.9 | 2.7 | 11.5 | 2.2 | 0.6 | 3.5 | 0.5 | 3.7 | 1.0 | 3.1 | 0.5 | 3.4 | 0.6 | 61.1 | |
| SC-16b | 55.4 | 18.2 | 7.7 | 33.6 | 6.5 | 1.7 | 9.7 | 1.4 | 10.3 | 2.6 | 8.2 | 1.2 | 8.6 | 1.4 | 166.5 | |
| SC-16c | 55.0 | 18.0 | 7.9 | 33.3 | 6.5 | 1.7 | 9.2 | 1.3 | 10.0 | 2.5 | 8.0 | 1.2 | 8.8 | 1.5 | 164.7 | |
| SC-16a | 47.7 | 15.7 | 6.7 | 28.2 | 5.3 | 1.5 | 7.9 | 1.1 | 8.6 | 2.2 | 7.1 | 1.1 | 7.7 | 1.4 | 142.3 | |
| SC-17a | 31.5 | 14.2 | 4.5 | 18.7 | 3.6 | 1.0 | 5.6 | 0.8 | 6.0 | 1.5 | 5.0 | 0.7 | 5.4 | 0.9 | 99.4 | |
| SC-17c | 38.0 | 19.4 | 6.4 | 28.0 | 5.5 | 1.5 | 8.1 | 1.0 | 7.7 | 1.8 | 5.8 | 0.9 | 5.8 | 1.0 | 131.0 | |
| SC-17b | 32.1 | 16.3 | 5.1 | 21.7 | 4.2 | 1.1 | 6.1 | 0.9 | 6.1 | 1.5 | 4.7 | 0.7 | 5.0 | 0.8 | 106.3 | |
| SC-19a | 24.9 | 13.5 | 4.1 | 17.3 | 3.3 | 0.8 | 4.7 | 0.7 | 4.7 | 1.1 | 3.6 | 0.5 | 3.8 | 0.6 | 83.6 | |
| SC-19c | 22.3 | 10.0 | 2.8 | 12.0 | 2.4 | 0.7 | 3.9 | 0.6 | 4.6 | 1.2 | 4.0 | 0.6 | 4.3 | 0.7 | 70.0 | |
| SC-21b | 21.3 | 13.6 | 3.1 | 13.2 | 2.7 | 0.8 | 4.2 | 0.6 | 4.8 | 1.3 | 4.5 | 0.7 | 4.9 | 0.8 | 76.5 | |
| SC-21a | 21.7 | 13.0 | 3.0 | 12.9 | 2.7 | 0.7 | 4.2 | 0.6 | 5.0 | 1.3 | 4.5 | 0.7 | 5.0 | 0.9 | 76.1 | |
| SC-21c | 24.0 | 14.0 | 3.4 | 14.2 | 3.0 | 0.8 | 4.4 | 0.7 | 5.3 | 1.4 | 4.7 | 0.7 | 5.1 | 0.9 | 82.5 | |
| SC-21d | 19.8 | 13.4 | 3.0 | 12.9 | 2.8 | 0.7 | 4.0 | 0.5 | 4.2 | 1.1 | 3.6 | 0.6 | 4.2 | 0.7 | 71.5 | |
| SC-22a | 10.8 | 6.7 | 1.5 | 6.3 | 1.3 | 0.4 | 2.2 | 0.3 | 2.6 | 0.7 | 2.4 | 0.4 | 3.0 | 0.5 | 39.2 | |
| SC-22b | 12.6 | 8.5 | 1.9 | 8.2 | 1.7 | 0.5 | 2.6 | 0.4 | 2.8 | 0.7 | 2.4 | 0.4 | 3.1 | 0.5 | 46.2 | |
| SC-22c | 14.9 | 10.0 | 2.2 | 9.5 | 2.0 | 0.5 | 2.9 | 0.4 | 3.3 | 0.9 | 2.8 | 0.4 | 3.2 | 0.6 | 53.8 | |
| SC-27a | 45.6 | 15.6 | 6.5 | 28.4 | 5.6 | 1.4 | 8.1 | 1.1 | 8.6 | 2.1 | 6.8 | 1.0 | 7.3 | 1.2 | 139.4 | |
| SC-27b | 48.8 | 17.2 | 7.2 | 31.8 | 6.3 | 1.7 | 9.0 | 1.3 | 9.3 | 2.3 | 7.2 | 1.1 | 7.4 | 1.3 | 151.8 | |
| SC-29a | 19.6 | 11.8 | 3.0 | 13.0 | 2.6 | 0.0 | 3.5 | 0.5 | 3.4 | 0.8 | 2.6 | 0.4 | 2.6 | 0.4 | 64.2 | |
| SC-29b | 66.0 | 34.4 | 8.6 | 36.7 | 6.7 | 1.7 | 9.5 | 1.3 | 10.1 | 2.5 | 7.9 | 1.1 | 7.5 | 1.3 | 195.4 | |
| SC-29c | 18.2 | 12.0 | 2.9 | 12.1 | 2.4 | 0.6 | 3.3 | 0.5 | 3.4 | 0.8 | 2.5 | 0.4 | 2.6 | 0.4 | 62.0 | |
| SC-29d | 15.8 | 10.2 | 2.5 | 10.4 | 2.1 | 0.6 | 2.9 | 0.4 | 2.7 | 0.7 | 2.1 | 0.3 | 2.0 | 0.4 | 52.8 | |
| SC-29e | 20.4 | 12.9 | 3.5 | 14.8 | 3.0 | 0.7 | 3.9 | 0.5 | 3.6 | 0.9 | 2.6 | 0.4 | 2.6 | 0.4 | 70.2 | |
| SC-20d | 24.1 | 13.2 | 3.5 | 14.8 | 3.0 | 0.8 | 4.7 | 0.6 | 5.0 | 1.2 | 4.0 | 0.6 | 4.4 | 0.8 | 80.7 | |
| SC-20b | 20.0 | 10.3 | 2.6 | 10.9 | 2.1 | 0.6 | 3.5 | 0.5 | 3.9 | 1.1 | 3.7 | 0.6 | 4.3 | 0.8 | 64.9 | |
| SC-20c | 19.3 | 10.1 | 2.4 | 9.8 | 1.9 | 0.6 | 3.4 | 0.4 | 3.4 | 0.9 | 3.1 | 0.5 | 3.6 | 0.7 | 60.0 | |
| SC-20a | 23.4 | 12.4 | 3.1 | 13.5 | 2.7 | 0.8 | 4.2 | 0.6 | 4.9 | 1.3 | 4.2 | 0.7 | 4.7 | 0.8 | 77.3 | |
| SC-19b | 46.1 | 18.7 | 5.3 | 21.7 | 3.8 | 1.0 | 6.0 | 0.9 | 6.7 | 1.7 | 5.5 | 0.8 | 5.6 | 1.0 | 124.8 | |
| SC-30a | 26.1 | 21.5 | 4.5 | 19.4 | 4.0 | 1.1 | 5.2 | 0.7 | 5.4 | 1.3 | 3.9 | 0.6 | 4.0 | 0.6 | 98.3 | |
| SC-30c | 26.9 | 22.3 | 4.7 | 19.6 | 4.2 | 1.1 | 5.3 | 0.7 | 5.2 | 1.3 | 3.9 | 0.6 | 4.1 | 0.7 | 100.6 | |
| SC-30b | 26.1 | 20.0 | 4.0 | 16.7 | 3.3 | 1.0 | 4.8 | 0.7 | 5.3 | 1.3 | 4.1 | 0.6 | 4.2 | 0.7 | 92.8 | |
| SC-31d | 29.6 | 25.0 | 5.0 | 21.5 | 4.3 | 1.2 | 5.8 | 0.8 | 6.1 | 1.4 | 4.3 | 0.6 | 4.2 | 0.6 | 110.5 | |
| SC-31c | 38.2 | 34.7 | 7.2 | 31.1 | 6.3 | 1.6 | 7.4 | 1.0 | 7.3 | 1.6 | 5.1 | 0.7 | 4.9 | 0.8 | 148.0 | |
| SC-31b | 20.7 | 16.2 | 3.1 | 12.9 | 2.4 | 0.7 | 3.6 | 0.5 | 4.1 | 1.0 | 3.3 | 0.5 | 3.5 | 0.6 | 73.2 | |
| SC-31a | 20.1 | 15.1 | 2.7 | 11.0 | 2.1 | 0.6 | 3.0 | 0.4 | 3.4 | 0.8 | 2.7 | 0.4 | 2.8 | 0.5 | 65.6 | |
| SC-32a | 17.3 | 12.7 | 2.4 | 9.9 | 1.9 | 0.6 | 2.7 | 0.4 | 3.2 | 0.8 | 2.7 | 0.4 | 2.8 | 0.5 | 58.1 | |
| Ben Guerir | BG-L0-C4 | 29.2 | 11.6 | 3.5 | 14.6 | 2.7 | 0.8 | 4.4 | 0.7 | 5.2 | 1.4 | 4.4 | 0.7 | 4.7 | 0.8 | 84.6 |
| BG-L0-C5 | 38.5 | 16.5 | 5.1 | 21.9 | 4.1 | 1.1 | 6.3 | 0.9 | 6.9 | 1.7 | 5.7 | 0.9 | 5.9 | 1.0 | 116.5 | |
| BG-L0-C6 | 44.6 | 21.3 | 6.8 | 30.1 | 5.7 | 1.5 | 8.2 | 1.2 | 8.7 | 2.2 | 6.8 | 1.0 | 6.8 | 1.1 | 145.8 | |
Publisher’s Note: MDPI stays neutral with regard to jurisdictional claims in published maps and institutional affiliations. |
© 2021 by the authors. Licensee MDPI, Basel, Switzerland. This article is an open access article distributed under the terms and conditions of the Creative Commons Attribution (CC BY) license (http://creativecommons.org/licenses/by/4.0/).
Share and Cite
Buccione, R.; Kechiched, R.; Mongelli, G.; Sinisi, R. REEs in the North Africa P-Bearing Deposits, Paleoenvironments, and Economic Perspectives: A Review. Minerals 2021, 11, 214. https://doi.org/10.3390/min11020214
Buccione R, Kechiched R, Mongelli G, Sinisi R. REEs in the North Africa P-Bearing Deposits, Paleoenvironments, and Economic Perspectives: A Review. Minerals. 2021; 11(2):214. https://doi.org/10.3390/min11020214
Chicago/Turabian StyleBuccione, Roberto, Rabah Kechiched, Giovanni Mongelli, and Rosa Sinisi. 2021. "REEs in the North Africa P-Bearing Deposits, Paleoenvironments, and Economic Perspectives: A Review" Minerals 11, no. 2: 214. https://doi.org/10.3390/min11020214
APA StyleBuccione, R., Kechiched, R., Mongelli, G., & Sinisi, R. (2021). REEs in the North Africa P-Bearing Deposits, Paleoenvironments, and Economic Perspectives: A Review. Minerals, 11(2), 214. https://doi.org/10.3390/min11020214

