Abstract
Separation of coal ash into magnetic and non-magnetic fractions facilitates their utilization when processed separately. Due to desulphurization additives added to coal during the fluidised-bed combustion, non-magnetic fractions often contain elevated CaO levels (while magnetic concentrates are typically rich in Fe2O3). Both CaO and Fe2O3 are known for their ability to bind As during the combustion, whose distribution is a crucial parameter in terms of proper utilization of these fractions. Therefore, the study deals with the As partitioning within magnetic and non-magnetic fractions of fluidized-bed coal combustion ashes. Two different (successive) procedures of dry magnetic separation were used to separate each ash into strongly magnetic, less magnetic, and a non-magnetic fraction. Due to their optimal utilization, the concentrations of As and other target elements in these fractions were evaluated and compared. Magnetic concentrates from the first separation step (in vibrofluidized state) contained 60–70% Fe2O3, magnetic concentrates separated manually out of the residues after the first separation contained 26–41% Fe2O3, and the non-magnetic residues contained 2.4–3.5% Fe2O3. Arsenic levels were the highest in the non-magnetic residues and gradually decreased with the increasing Fe2O3 content in the magnetic fractions. The dominant As association in the studied samples was to CaO (r = +0.909) and with SO3 (r = +0.906) whereas its joint occurrence with Fe2O3 was improbable (r = −0.834).
1. Introduction
Coal has long been a reliable energy source and currently, it is also intensively studied as the source of critical elements, such as REE and Y [,]; Ge and Ga [,,]; Li []; Nb [,]; U, Se, and Re []; or Ta, Zr, and Hf []. However, due to the presence of minor and trace elements, it can be responsible for serious pollution problems [,,,]. In general, during coal combustion, minor and trace elements are redistributed among bottom ash (BA) or slag, fly ash (FA), and emissions. Redistribution among these coal combustion products is determined by the operational conditions [,], coal characteristics [,], co-combustion of coal with wastes [,,], or addition of desulphurization additives [,].
Coal combustion is still the main anthropogenic source of As, a toxic and volatile element with potential carcinogenic properties and bioaccumulation tendency in the environment []. The average concentration of As in world lignite and bituminous coal is 7.4 and 9.0 ppm, respectively []. The shares of As in bottom ash, fly ash, and emissions vary considerably depending on the total ash distribution, combustion temperature, amount and type of desulphurization additive, overall composition of the ashes, and flue gas and type (and working temperature) of the particulate control device. However, since As is quite volatile, its share in emissions is not generally negligible.
The release of As into the environment relates not only to emissions (in the finest fly ash particles or emitted in gaseous form) [], but is also connected with its presence in coal combustion ashes. Namely, in fly ash, arsenic could be highly enriched []. Power stations produce a vast amount of solid wastes annually; therefore, the reuse of these wastes not only produces valuable components but also facilitates mitigation of the problems with waste storage/disposal [].
Magnetic separation is widely used for ash separation into two basic components: magnetic and non-magnetic fractions [,] (the latter can be even further classified by chemical methods []), thereby facilitating utilization of these fractions if processed separately (e.g., non-magnetic fraction as a concrete component [] and the magnetic one as a substitution of natural magnetite in dense medium (coal) cleaning applications) [,].
Typical components of non-magnetic fractions of fluidized-bed combustion ashes are Ca-bearing minerals (in addition to aluminosilicates and quartz), while in the magnetic fractions, Fe2O3 typically prevails. Since both CaO [,,,] and Fe2O3 [,,,] can bind (and accumulate) As [,,,,,] during coal combustion, its distribution within these two fractions is crucial in terms of ecological utilization of magnetic concentrates and the non-magnetic residues.
Circulating fluidized-bed combustion is a modern technology. In comparison to PCC, it is advantageous due to its high combustion efficiency and low NO2 and SO2 emissions [,,,]. It is worth mentioning in this context that the presence of Ca-bearing additives (preferentially used for desulphurization) is also beneficial for the retention of As, thereby decreasing its emissions []. However, even if the levels of Fe-bearing minerals in fluidized-bed combustion ashes are typically lower (than those of CaO), they can also accumulate As [].
Therefore, this study deals with the As partitioning within magnetic and non-magnetic fractions of fluidized-bed coal combustion ashes. For detailed elucidation, two different (successive) procedures of dry magnetic separation were used to separate each sample into strongly magnetic, less magnetic, and non-magnetic fractions. With the view of their optimal utilization, the concentrations of As and other target elements in these fractions were evaluated and compared in order to reveal As associations.
2. Materials and Methods
Bottom ash (BA) was collected at an atmospheric circulating fluidized-bed power station, where bituminous coal was combusted with dry desulphurization additive at an approximate temperature of 850 °C. Ash samples were collected at regular time intervals and after mixing, ca. 3–5 kg samples were set apart for laboratory study by quartering. From these bulk ash samples, 3 particle-size fractions were prepared on sieves (when dry): <0.2, 0.2–0.4, and >0.4 mm.
In order to simulate industrial separation into highly magnetic, less magnetic, and non-magnetic fractions, magnetic fractions were separated by a two-step procedure from these 3 particle-size fractions: (i) first, in a vibrofluidized state and then (from the residue after the first separation), (ii) manually using a hand-held magnet. Separation in the vibrofluidized state removed highly magnetic particles while the separation with the hand-held magnet removed less magnetic grains (that was not retained during vibrofluidized separation). Both separations were conducted from the dry sample to avoid leaching of the studied elements.
The concentrations of the target elements in the aforementioned samples were determined by a wavelength-dispersive X-ray fluorescence spectrometer ARL PERFORM’ X with 4200 W X-ray tube (Thermo Fisher Scientific, Ecublens, Switzerland) using 12 certified reference materials from China, the USA, and the EU. Mineral phases were identified by means of a Rigaku SmartLab X-ray diffractometer (with a CoKα X-ray tube) (Rigaku, Tokyo, Japan).
Correlation coefficients (and their statistical significance) were calculated using QC. Expert 3.3.0.7. program (TriloByte Ltd., Pardubice, Czech Republic).
3. Results and Discussion
3.1. Composition of Ashes and Their Magnetic/Non-Magnetic Fractions
3.1.1. Chemical Composition of the Studied Fractions
Two-step (dry) magnetic separation of BA was conducted to differentiate between Ca- and Fe-associated As. The results of the chemical analysis of the three particle-size fractions of the studied BA and their magnetic concentrates and non-magnetic residues are summarized in Table 1 as well as the percentage yields of these fractions. The concentrations of As, CaO, and Fe2O3 are plotted (for easier evaluation) in Figure 1.

Table 1.
Concentrations of the studied elements in magnetic concentrates and non-magnetic residues prepared from three particle-size fractions of BA (MVS = magnetic vibrofluidized state, MM = magnetic manually, NM = non-magnetic).

Figure 1.
Distribution of As (ppm), CaO (wt.%), and Fe2O3 (wt.%) in the particle-size fraction of BA.
Magnetic separation in the vibrofluidized state provides the highest Fe2O3 contents (60–70% in all magnetic concentrates); the manual separation applied on the residue after the first separation provided a concentrate with lower purity (26–41% Fe2O3) because the particles with a higher Fe content were already removed during the first separation step. The non-magnetic residues contained only 2.4–3.5% Fe2O3 after these two separation steps.
Figure 1 (and Table 1) clearly documents the lowest levels of As in the coarsest BA fraction, which is a similar distribution to CaO. In contrast, the levels of Fe2O3 increase with increasing particle size, which is also the case of Si. This trend corresponds with the finely ground desulphurization additive (for efficient interaction with gaseous SO2/SO3) and quite large grains with a high SiO2 content (e.g., quartz particles).
The concentrates originating from the first magnetic separation (in the vibrofluidized state) contain the lowest As and CaO contents while the Fe2O3 percentage is the highest in the case of all particle-size fractions. The second magnetic separation (applied to the residue after the first one) provides the magnetic concentrate with a somewhat lower Fe level, which contains moderately higher concentrations of As and CaO. After magnetic separation, the residues (dominantly composed of CaO and SO3) are enriched in As.
3.1.2. Mineral Composition of the Studied Fractions
Minerals identified in the studied samples are listed (according to their abundance) in Table 2. X-ray diffraction patters of the magnetic vibrofluidized state, magnetic manual, and non-magnetic fractions of the finest (<0.2 mm) and the coarsest (>0.4 mm) ash samples are depicted in Figure 2 and Figure 3, respectively.

Table 2.
Mineral phases identified in the studied magnetic and non-magnetic fractions (MVS = magnetic vibrofluidized state, MM = magnetic manually, NM = non-magnetic).

Figure 2.
XRD patterns of the magnetic vibrofluid state, magnetic manual, and nonmagnetic fractions of the finest < 0.2 mm (A = Anhydride, B = Bilinite, C = Calcite, CH = Calcium Hydroxide, G = Gehlenite, H = Hematite, L = Lime, Mg = Maghemite, Mf = Magnesioferrite, Q = Quartz, Qa = Quartz alpha, R = Rutile).

Figure 3.
XRD patterns of the magnetic vibrofluid state, magnetic manual, and nonmagnetic fractions of the coarsest > 0.4 mm (A = Anhydride, B = Bilinite, C = Calcite, CH = Calcium Hydroxide, G = Gehlenite, H = Hematite, L = Lime, Mg = Maghemite, Mf = Magnesioferrite, Q = Quartz, Qa = Quartz alpha, R = Rutile).
The minerals in Table 2, ordered according to their relevance, suggest similar (nearly the same) mineral compositions in all three magnetic vibrofluidized state fractions, which contain hematite, magnesioferrite, and maghemite (with some admixture of quartz, anhydrite, or gehlenite). Such a composition also corresponds with ca 60–70% Fe2O3 in these fractions.
Magnetic fractions separated manually from the residue after the first magnetic separation contain a lower percentage of Fe2O3 (26–41%), which is in line with the lower occurrence of Fe-bearing minerals (hematite and magnesioferrite) and greater abundance of other minerals (quartz, anhydrite, gehlenite, rutile, monticellite, and kaolinite). All the residues after the magnetic separations exhibited almost the same mineral composition as well. Since the Fe2O3 levels are very low (only a few %), the dominant minerals are those of Ca, Si, or Al (or Ti): portlandite, anhydrite, quartz, calcium oxide, gehlenite, rutile, and calcite.
3.2. Distribution of As and Target Elements within Magnetic and Non-Magnetic Fractions
3.2.1. Enrichment Factor
For easier evaluation of the overall distribution trends of As and other target elements (expressed in the form of oxides), the Enrichment factor (EF) in the magnetic fractions related to the corresponding non-magnetic residues was calculated according to the formula:
where the wi is the weight fractions of the i-th element (or its oxide) in the magnetic or non-magnetic ash fraction. The EF values (rounded to two decimals) are summarized in Table 3.

Table 3.
Enrichment factors of the studied elements in magnetic fractions (vs. non-magnetic residues).
Enrichment factors (calculated according to Equation (1)) are plotted for As, CaO, and S in Figure 4a and Fe2O3 in Figure 4b. The same concentrations of the studied element are shown in the magnetic and non-magnetic fractions. Figure 4 suggests that As and CaO (and S) are strongly depleted in all magnetic concentrates, which is even more pronounced in the first (vibrofluidized) separation. As expected, the Fe2O3 content is always strongly enriched in the first magnetic concentrates and its enrichment in the concentrate originating from the second separation step is somewhat lower.

Figure 4.
Enrichment factors of As, CaO, S (a), and Fe2O3 (b) in magnetic fractions (vs. non-magnetic residues).
3.2.2. Correlations between the Concentrations of the Target Elements
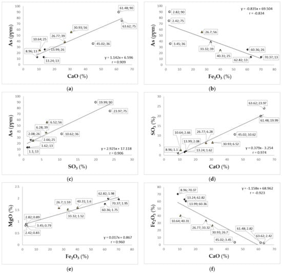
The correlation calculations are used frequently when predicting the content and distribution of elements in coals or combustion residues and for the assessment of their environmental toxicity [,]. In order to gain insight into elemental relationships and to evaluate As associations, a correlation matrix was calculated (Table 4). The only statistically significant relationships of As are those with CaO and SO3 (r = 0.909 and 0.906). The correlation coefficient between the contents of As and Fe2O3 is negative (r = −0.834), revealing a strong inverse relationship. It is interesting in this context that Fe2O3 exhibits a strong positive relationship with MgO (r = + 0.960). The association of As to Al2O3 is improbable as well because r (As−Al2O3) = −0.362. The critical value of the correlation coefficient in this case (for 9 measured values, α = 0.05, and two-tailed probability) is r = 0.666.

Table 4.
Correlation matrix calculated from the concentrations of the target elements in 9 fractions (statistically significant values are highlighted in bold).
The most interesting relationships are plotted in Figure 5. They are As–CaO, As–Fe2O3, As–SO3, S–CaO, MgO–Fe2O3, and Fe2O3–CaO. The data listed in Table 1 and Table 3 and plotted in Figure 5 indicate a similar distribution of As, CaO, and SO3 while the distribution of Fe2O3 seems to be substantially different (and similar to that of MgO). The aforementioned direct/inverse relationships are in agreement with the mineral analysis results (Section 3.1.2.) documenting an abundant joint occurrence of CaO–SO3 in anhydrite and MgO–Fe2O3 in magnesioferrite. Joint occurrence of CaO–Fe2O3 minerals was not identified by X-ray diffraction, which is in line with the inverse relationship.

Figure 5.
Relationships between the concentrations of (a) As–CaO, (b) As–Fe2O3, (c) As–SO3, (d) SO3–CaO, (e) MgO–Fe2O3, and (f) Fe2O3–CaO (black squares are used for highly magnetic fractions, yellow triangles for less magnetic ones, and circles for non-magnetic residues).
Arsenic association with calcareous minerals is in agreement with other fluidized-bed coal combustion results [,,,,,]. Most researchers reported efficient As retention using CaO [,,]; however, CaSO4 can also capture As [,]. Since the correlation coefficient r(As–SO3) is very high as well (r = +0.906), the association of As to calcareous sulphates can be expected.
The samples evaluated in this study originated from the coal combustion at ca. 850 °C. According to Zhang et al. [], ferrospheres separated from coal ash exhibited the best As retention efficiency at 600 °C (ca. 0.55 mg As/g) while at 800 °C, it was only ca. 0.20 mg As/g (i.e., nearly one third) []. In the case of CaO, there is still no exact consensus in the literature; nevertheless, higher temperatures seem to promote As retention on Ca-bearing minerals. Li et al. [] observed an increasing retention efficiency within the temperature range of 400–1000 °C while Chen et al. [] concluded that the most effective As retention on CaO was at 750 °C. Sterling and Helble [] reported maximum As capture on CaO at 1000 °C. However, CaSO4 can also retain As [] and when CaSO4 was tested for As retention [], the retention efficiency increased with an increasing temperature from 750 to 1050 °C. Therefore, high temperatures in the fluidized bed (850 °C) might be more favorable for As capture on CaO and notably on CaSO4 (while the efficiency of Fe-minerals is lower at higher temperatures). Moreover, the SO3 concentration in non-magnetic residues is higher (10–24%) than that in magnetic fractions (1–2% in the first-step concentrate and 3–7% in manually separated concentrate).
4. Conclusions
Magnetic separation is a widely accepted method used to separate coal ash into two basic components: magnetic and non-magnetic fractions, thereby facilitating their utilization when processed separately. Due to the desulphurization additives added to coal during the fluidized-bed combustion, non-magnetic fractions often contain elevated CaO contents while magnetic concentrates are rich in Fe2O3. Both these components are known for their ability to bind As during combustion, whose distribution is a crucial parameter in terms of the utilization of both these fractions. Therefore, this study investigated the As partitioning within magnetic and non-magnetic fractions of fluidized-bed coal combustion ashes.
For a detailed elucidation, two different (successive) procedures of dry magnetic separation were used to separate each sample into strongly magnetic, less magnetic, and non-magnetic fractions. Magnetic concentrates originating from the first separation step (in the vibrofluidized state) contained 60–70% Fe2O3, magnetic concentrates separated manually from the residues after the first separation contained 26–41% Fe2O3, and the non-magnetic residues contained 2.4–3.5% Fe2O3.
Arsenic levels were the highest in the non-magnetic residues (and gradually decreased with an increasing Fe2O3 content in the magnetic fractions). The dominant arsenic association in the studied samples was to CaO (r = +0.909) and with SO3 (r = +0.906), which is in line with the abundant occurrence of anhydrite identified by XRD analysis. The distribution of Fe2O3 and CaO was substantially different (r = −0.923), which agrees with the absence of the joint mineral of Fe2O3 and CaO by XRD. Instead, the association of Fe2O3 and MgO was documented both by a high correlation coefficient (r = +0.960) and by identification of magnesioferrite.
Magnetic separation of the ashes is usually conducted with the aim to facilitate the utilization of magnetic and non-magnetic fractions separately. In the case of the samples studied herein, As was depleted in magnetic fractions in relation to non-magnetic ones. It means that if strongly magnetic concentrates are separated from such ash, their As concentrations are decreased to one-third of the As levels in the non-magnetic fractions. Less magnetic fractions contain As contents that are two-thirds of the levels in non-magnetic fractions, which enhances their potential for further technological use.
Author Contributions
Conceptualization and resources, L.B.; investigation and data curation, L.B. and F.K.; writing and editing, L.B. and F.K.; visualization, F.K. All authors have read and agreed to the published version of the manuscript.
Funding
This work was supported by the Doctoral grant competition VSB—Technical University of Ostrava, reg. no. CZ.02.2.69/0.0/0.0/19_073/0016945 within the Operational Programme Research, Development and Education under project DGS/TEAM/2020-014 “ Material and energy recovery of waste”; by Ministry of Education, Youth and Sports of the Czech Republic by project “Research on the management of waste, materials and other products from metallurgical and related sectors“ (CZ.02.1.01/0.0/0.0/17_049/0008426) and by project No. SP2021/41. Results were also accomplished using Infrastructure ENREGAT under project No. LM2018098.
Data Availability Statement
The data evaluated in this study are available in the article.
Conflicts of Interest
The authors declare no conflict of interest.
References
- Dai, S.; Graham, I.T.; Ward, C.R. A review of anomalous rare earth elements and yttrium in coal. Int. J. Coal Geol. 2016, 159, 82–95. [Google Scholar] [CrossRef]
- Bartoňová, L.; Serenčíšová, J.; Čech, B. Yttrium partitioning and associations in coal-combustion ashes prior to and after their leaching in HCL. Fuel Process. Technol. 2018, 173, 205–215. [Google Scholar] [CrossRef]
- Dai, S.; Seredin, V.V.; Ward, C.R.; Jiang, J.; Hower, J.C.; Song, X.; Jiang, Y.; Wang, X.; Gornostaeva, T.; Li, X.; et al. Composition and modes of occurrence of minerals and elements in coal combustion products derived from high-Ge coals. Int. J. Coal Geol. 2014, 121, 79–97. [Google Scholar] [CrossRef]
- Dai, S.; Jiang, Y.; Ward, C.R.; Gu, L.; Seredin, V.V.; Liu, H.; Zhou, D.; Wang, X.; Sun, Y.; Zou, J.; et al. Mineralogical and geochemical compositions of the coal in the Guanbanwusu mine, inner Mongolia, China: Further evidence for the existence of an al (Ga and REE) ore deposit in the Jungar Coalfield. Int. J. Coal Geol. 2012, 98, 10–40. [Google Scholar] [CrossRef]
- Dai, S.; Xie, P.; Ward, C.R.; Yan, X.; Guo, W.; French, D.; Graham, I.T. Anomalies of rare metals in Lopingian super-high-organic-sulfur coals from the Yishan Coalfield, Guangxi, China. Ore Geol. Rev. 2017, 88, 235–250. [Google Scholar] [CrossRef]
- Zhao, L.; Dai, S.; Nechaev, V.P.; Nechaeva, E.V.; Graham, I.T.; French, D. Enrichment origin of critical elements (li and rare earth elements) and a Mo-U-Se-Re assemblage in Pennsylvanian anthracite from the Jincheng Coalfield, southeastern Qinshui Basin, northern China. Ore Geol. Rev. 2019, 115, 103184. [Google Scholar] [CrossRef]
- Dai, S.; Liu, J.; Ward, C.R.; Hower, J.C.; French, D.; Jia, S.; Hood, M.M.; Garrison, T.M. Mineralogical and geochemical compositions of late Permian coals and host rocks from the Guxu Coalfield, Sichuan province, China, with emphasis on enrichment of rare metals. Int. J. Coal Geol. 2016, 166, 71–95. [Google Scholar] [CrossRef]
- Glushkov, D.O.; Paushkina, K.K.; Shabardin, D.P. Co-combustion of coal processing waste, oil refining waste and municipal solid waste: Mechanism, characteristics, emissions. Chemosphere 2020, 240, 124892. [Google Scholar] [CrossRef] [PubMed]
- Wagner, N.J.; Hlatshwayo, B. The occurrence of potentially hazardous trace elements in five highveld coals, South Africa. Int. J. Coal Geol. 2005, 63, 228–246. [Google Scholar] [CrossRef]
- Bartoňová, L.; Raclavská, H.; Čech, B.; Kucbel, M. Behavior of Cd during coal combustion: An overview. Processes 2020, 8, 1237. [Google Scholar] [CrossRef]
- Raclavská, H.; Kantor, P.; Růžičková, J.; Kucbel, M.; Švédová, B.; Slamová, K.; Flodrová, Š.; Juchelková, D. An influence of the fuel type on element behaviour in domestic boilers with respect to the circular economy. Appl. Sci. 2021, 11, 4980. [Google Scholar] [CrossRef]
- Liu, H.; Pan, W.-P.; Wang, C.; Zhang, Y. Volatilization of arsenic during coal combustion based on isothermal thermogravimetric analysis at 600–1500 °C. Energy Fuels 2016, 30, 6790–6798. [Google Scholar] [CrossRef]
- Low, F.; Zhang, L. Arsenic emissions and speciation in the oxy-fuel fly ash collected from lab-scale drop-tube furnace. Proc. Combust. Inst. 2013, 34, 2877–2884. [Google Scholar] [CrossRef]
- Wagner, N.J.; Tlotleng, M.T. Distribution of selected trace elements in density fractionated Waterberg coals from South Africa. Int. J. Coal Geol. 2012, 94, 225–237. [Google Scholar] [CrossRef]
- Wagner, N.J.; Matiane, A. Rare earth elements in select Main Karoo Basin (South Africa) coal and coal ash samples. Int. J. Coal Geol. 2018, 196, 82–92. [Google Scholar] [CrossRef]
- Tun, M.M.; Juchelková, D.; Raclavská, H.; Sassmanová, V. Utilization of biodegradable wastes as a clean energy source in the developing countries: A case study in Myanmar. Energies 2018, 11, 3183. [Google Scholar] [CrossRef] [Green Version]
- Raclavska, H.; Juchelkova, D.; Roubicek, V.; Matysek, D. Energy utilisation of biowaste—Sunflower-seed hulls for co-firing with coal. Fuel Process. Technol. 2011, 92, 13–20. [Google Scholar] [CrossRef]
- Hower, J.C.; Robertson, J.D. Chemistry and petrology of fly ash derived from the co-combustion of western United States coal and tire-derived fuel. Fuel Process. Technol. 2004, 85, 359–377. [Google Scholar] [CrossRef]
- Raclavska, H.; Matysek, D.; Raclavsky, K.; Juchelkova, D. Geochemistry of fly ash from desulphurisation process performed by sodium bicarbonate. Fuel Process. Technol. 2010, 91, 150–157. [Google Scholar] [CrossRef]
- Scala, F.; Chirone, R.; Meloni, P.; Carcangiu, G.; Manca, M.; Mulas, G.; Mulas, A. Fluidized bed desulfurization using lime obtained after slow calcination of limestone particles. Fuel 2013, 114, 99–105. [Google Scholar] [CrossRef]
- Wang, C.; Liu, H.; Zhang, Y.; Zou, C.; Anthony, E.J. Review of arsenic behavior during coal combustion: Volatilization, transformation, emission and removal technologies. Prog. Energy Combust. Sci. 2018, 68, 1–28. [Google Scholar] [CrossRef] [Green Version]
- Yudovich, Y.E.; Ketris, M.P. Arsenic in coal: A review. Int. J. Coal Geol. 2005, 61, 141–196. [Google Scholar] [CrossRef]
- Badenhorst, C.; Santos, C.; Lázaro-Martínez, J.; Białecka, B.; Cruceru, M.; Guedes, A.; Guimarães, R.; Moreira, K.; Predeanu, G.; Suárez-Ruíz, I.; et al. Assessment of graphitized coal ash char concentrates as a potential synthetic graphite source. Minerals 2020, 10, 986. [Google Scholar] [CrossRef]
- Valeev, D.; Kunilova, I.; Alpatov, A.; Varnavskaya, A.; Ju, D. Magnetite and carbon extraction from coal fly ash using magnetic separation and flotation methods. Minerals 2019, 9, 320. [Google Scholar] [CrossRef] [Green Version]
- Vassilev, S.V.; Menendez, R.; Borrego, A.G.; Diaz-Somoano, M.; Rosa Martinez-Tarazona, M. Phase-mineral and chemical composition of coal fly ashes as a basis for their multicomponent utilization. 3. Characterization of magnetic and char concentrates. Fuel 2004, 83, 1563–1583. [Google Scholar] [CrossRef]
- Dai, S.; Zhao, L.; Peng, S.; Chou, C.-L.; Wang, X.; Zhang, Y.; Li, D.; Sun, Y. Abundances and distribution of minerals and elements in high-alumina coal fly ash from the Jungar power plant, inner Mongolia, China. Int. J. Coal Geol. 2010, 81, 320–332. [Google Scholar] [CrossRef]
- Savadogo, N.; Messan, A.; Hannawi, K.; Prince Agbodjan, W.; Tsobnang, F. Durability of mortar containing coal bottom ash as a partial cementitious resource. Sustainability 2020, 12, 8089. [Google Scholar] [CrossRef]
- Gajda, D.; Lutynski, M.; Kujawska, M. Substitution of magnetite in dense medium separation by zinc-lead waste. IOP Conf. Ser. Mater. Sci. Eng. 2018, 427, 012036. [Google Scholar] [CrossRef]
- Zheng, C.; Deng, J.; Hong, Z.; Wang, G. Prediction model of suspension density in the dense medium separation system based on LSTM. Processes 2020, 8, 976. [Google Scholar] [CrossRef]
- Jadhav, R.A.; Fan, L.-S. Capture of gas-phase arsenic oxide by lime: Kinetic and mechanistic studies. Environ. Sci. Technol. 2001, 35, 794–799. [Google Scholar] [CrossRef] [PubMed]
- Junying, Z.; Yongchun, Z.; Feng, D.; Han-Cai, Z.; Chu-Guang, Z. Preliminary study of trace element emissions and control during coal combustion. Front. Energy 2007, 1, 273–279. [Google Scholar]
- Sterling, R.O.; Helble, J.J. Reaction of arsenic vapor species with fly ash compounds: Kinetics and speciation of the reaction with calcium silicates. Chemosphere 2003, 51, 1111–1119. [Google Scholar] [CrossRef]
- Wang, J.; Zhang, Y.; Liu, Z.; Norris, P.; Romero, C.E.; Xu, H.; Pan, W.-P. Effect of coordinated air pollution control devices in coal-fired power plants on arsenic emissions. Energy Fuels 2017, 31, 7309–7316. [Google Scholar] [CrossRef]
- Zhang, Y.; Wang, C.; Li, W.; Liu, H.; Zhang, Y.; Hack, P.; Pan, W. Removal of gas-phase As2O3 by metal oxide adsorbents: Effects of experimental conditions and evaluation of adsorption mechanism. Energy Fuels 2015, 29, 6578–6585. [Google Scholar] [CrossRef]
- Zhang, Y.; Wang, C.; Liu, H. Experiment and mechanism research on gas-phase As2O3 adsorption of Fe2O3/γ-Al2O3. Fuel 2016, 181, 1034–1040. [Google Scholar] [CrossRef]
- Zhang, K.; Zhang, D.; Zhang, K.; Cao, Y. Capture of gas-phase arsenic by ferrospheres separated from fly ashes. Energy Fuels 2016, 30, 8746–8752. [Google Scholar] [CrossRef]
- Parzentny, H.R.; Róg, L. Distribution and mode of occurrence of Co, Ni, Cu, Zn, As, Ag, Cd, Sb, Pb in the feed coal, fly ash, slag, in the topsoil and in the roots of trees and undergrowth downwind of three power stations in Poland. Minerals 2021, 11, 133. [Google Scholar] [CrossRef]
- Yan, R.; Gauthier, D.; Flamant, G. Possible interactions between As, Se, and Hg during coal combustion. Combust. Flame 2000, 120, 49–60. [Google Scholar] [CrossRef]
- Contreras, M.L.; Arostegui, J.M.; Armesto, L. Arsenic interactions during co-combustion processes based on thermodynamic equilibrium calculations. Fuel 2009, 88, 539–546. [Google Scholar] [CrossRef]
- Seames, W.S.; Wendt, J.O.L. Regimes of association of arsenic and selenium during pulverized coal combustion. Proc. Combust. Inst. 2007, 31, 2839–2846. [Google Scholar] [CrossRef]
- Mahuli, S.; Agnihotri, R.; Chauk, S.; Ghosh-Dastidar, A.; Fan, L.S. Mechanism of arsenic sorption by hydrated lime. Environ. Sci. Technol. 1997, 31, 3226–3231. [Google Scholar] [CrossRef]
- Zhao, Y.; Zhang, J.; Huang, W.; Wang, Z.; Li, Y.; Song, D.; Zhao, F.; Zheng, C. Arsenic emission during combustion of high arsenic coals from southwestern Guizhou, China. Energy Convers. Manag. 2008, 49, 615–624. [Google Scholar] [CrossRef]
- López-Antón, M.A.; Díaz-Somoano, M.; Spears, D.A.; Martínez-Tarazona, M.R. Arsenic and selenium capture by fly ashes at low temperature. Environ. Sci. Technol. 2006, 40, 3947–3951. [Google Scholar] [CrossRef] [PubMed] [Green Version]
- Fu, B.; Liu, G.; Sun, M.; Hower, J.C.; Mian, M.M.; Wu, D.; Wang, R.; Hu, G. Emission and transformation behavior of minerals and hazardous trace elements (HTEs) during coal combustion in a circulating fluidized bed boiler. Environ. Pollut. 2018, 242, 1950–1960. [Google Scholar] [CrossRef] [PubMed]
- Areeprasert, C.; Scala, F.; Coppola, A.; Urciuolo, M.; Chirone, R.; Chanyavanich, P.; Yoshikawa, K. Fluidized bed co-combustion of hydrothermally treated paper sludge with two coals of different rank. Fuel Process. Technol. 2016, 144, 230–238. [Google Scholar] [CrossRef]
- Ohenoja, K.; Pesonen, J.; Yliniemi, J.; Illikainen, M. Utilization of fly ashes from fluidized bed combustion: A review. Sustainability 2020, 12, 2988. [Google Scholar] [CrossRef] [Green Version]
- Bartoňová, L.; Klika, Z. Effect of CaO on retention of S, Cl, Br, As, Mn, V, Cr, Ni, Cu, Zn, W and Pb in bottom ashes from fluidized-bed coal combustion power station. J. Environ. Sci. 2014, 26, 1429–1436. [Google Scholar] [CrossRef] [PubMed]
- Bartoňová, L. Unburned carbon from coal combustion ash: An overview. Fuel Process. Technol. 2015, 134, 136–158. [Google Scholar] [CrossRef]
- Parzentny, H.R.; Róg, L. Distribution of some ecotoxic elements in fuel and solid combustion residues in Poland. Energies 2020, 13, 1131. [Google Scholar] [CrossRef] [Green Version]
- Clemens, A.H.; Damiano, L.F.; Gong, D.; Matheson, T.W. Partitioning behaviour of some toxic volatile elements during stoker and fluidised bed combustion of alkaline sub-bituminous coal. Fuel 1999, 78, 1379–1385. [Google Scholar] [CrossRef]
- Zhao, S.; Duan, Y.; Chen, C.; Wu, H.; Liu, D.; Liu, M.; Lu, J.; Gu, X. Distribution and speciation transformation of hazardous trace element arsenic in particulate matter of a coal-fired power plant. Energy Fuels 2018, 32, 6049–6055. [Google Scholar] [CrossRef]
- Zhang, W.; Sun, Q.; Yang, X. Thermal effects on arsenic emissions during coal combustion process. Sci. Total Environ. 2018, 612, 582–589. [Google Scholar] [CrossRef]
- Díaz-Somoano, M.; López-Antón, M.A.; Huggins, F.E.; Martínez-Tarazona, M.R. The stability of arsenic and selenium compounds that were retained in limestone in a coal gasification atmosphere. J. Hazard. Mater. 2010, 173, 450–454. [Google Scholar] [CrossRef] [PubMed] [Green Version]
- Ohki, A.; Nakajima, T.; Sakaguchi, Y.; Iwashita, A.; Takanashi, H. Analysis of arsenic and some other elements in coal fly ash by x-ray photoelectron spectroscopy. J. Hazard. Mater. 2005, 119, 213–217. [Google Scholar] [CrossRef] [PubMed]
- Chen, D.; Hu, H.; Xu, Z.; Liu, H.; Cao, J.; Shen, J.; Yao, H. Findings of proper temperatures for arsenic capture by CaO in the simulated flue gas with and without SO2. Chem. Eng. J. 2015, 267, 201–206. [Google Scholar] [CrossRef]
- Li, Y.; Tong, H.; Zhuo, Y.; Li, Y.; Xu, X. Simultaneous removal of SO2 and trace As2O3 from flue gas: Mechanism, kinetics study, and effect of main gases on arsenic capture. Environ. Sci. Technol. 2007, 41, 2894–2900. [Google Scholar] [CrossRef]
- Yang, Y.; Hu, H.; Xie, K.; Huang, Y.; Liu, H.; Li, X.; Yao, H.; Naruse, I. Insight of arsenic transformation behavior during high-arsenic coal combustion. Proc. Combust. Inst. 2019, 37, 4443–4450. [Google Scholar] [CrossRef]
Publisher’s Note: MDPI stays neutral with regard to jurisdictional claims in published maps and institutional affiliations. |
© 2021 by the authors. Licensee MDPI, Basel, Switzerland. This article is an open access article distributed under the terms and conditions of the Creative Commons Attribution (CC BY) license (https://creativecommons.org/licenses/by/4.0/).