The Isotopic (δ18O, δ 2H, δ13C, δ15N, δ34S, 87Sr/86Sr, δ11B) Composition of Adige River Water Records Natural and Anthropogenic Processes
Abstract
1. Introduction
2. Study Area
2.1. Hydrological Features of the Drainage Catchment
2.2. Geological Setting
3. Sampling and Analytical Methods
4. Results
4.1. Chemical Composition of the Adige River Dissolved Loads
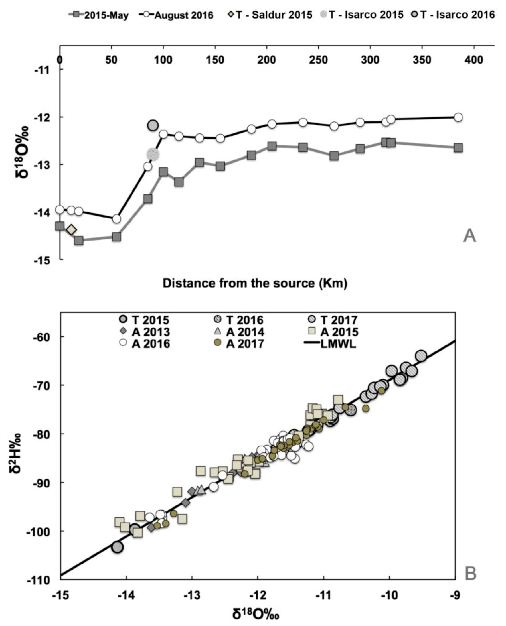
4.2. Water Stable Isotopes (δ2H, δ18O)
4.3. Carbon, Sulphur and Nitrogen Isotopic Composition of Dissolved Components
4.4. Strontium and Boron Isotopic Composition of Dissolved Components
5. Discussion and Conclusions
Supplementary Materials
Author Contributions
Funding
Acknowledgments
Conflicts of Interest
References
- Mackenzie, F.T.; Garrels, R.M. Chemical mass balance between rivers and oceans. Am. J. Sci. 1966, 264, 507–525. [Google Scholar] [CrossRef]
- Gaillardet, J.; Dupré, B.; Louvat, P.; Allègre, C.J. Global silicate weathering and CO2 consumption rates deduced from the chemistry of large rivers. Chem. Geol. 1999, 159, 3–30. [Google Scholar] [CrossRef]
- Donnini, M.; Frondini, F.; Probst, J.-L.; Probst, A.; Cardellini, C.; Marchesini, I.; Guzzetti, F. Chemical weathering and consumption of atmospheric carbon dioxide in the Alpine region. Glob. Planet. Chang. 2016, 136, 65–81. [Google Scholar] [CrossRef]
- Marchina, C.; Natali, C.; Fahnestock, M.F.; Pennisi, M.; Bryce, J.; Bianchini, G. Strontium isotopic composition of the Po river dissolved load: Insights into rock weathering in Northern Italy. Appl. Geochem. 2018, 97, 187–196. [Google Scholar] [CrossRef]
- Anderson, S.P.; Blum, J.; Brantley, S.L.; Chadwick, O.; Chorover, J.; Derry, L.A.; Drever, J.I.; Hering, J.G.; Kirchner, J.W.; Kump, L.R.; et al. Proposed initiative would study Earth’s weathering engine. Eos, Transactions. Am. Geophys. Union 2004, 85, 265–269. [Google Scholar] [CrossRef]
- Brantley, S.L.; Di Biase, R.A.; Russo, T.A.; Shi, Y.; Lin, H.; Davis, K.J.; Kaye, M.; Hill, L.; Kaye, J.; Eissenstat, D.M.; et al. Designing a suite of measurements to understand the critical zone. Earth Surf. Dyn. 2016, 4, 211–235. [Google Scholar] [CrossRef]
- Garbin, S.; Celegon, E.A.; Fanton, P.; Botter, G. Hydrological controls on river network connectivity. R. Soc. Open Sci. 2019, 6, 181428. [Google Scholar] [CrossRef]
- Dosdogru, F.; Kalin, L.; Wang, R.; Yen, H. Potential impacts of land use/cover and climate changes on ecologically relevant flows. J. Hydrol. 2020, 584, 124654. [Google Scholar] [CrossRef]
- Ludwig, W.; Dumont, E.; Meybeck, M.; Heussner, S. River discharges of water and nutrients to the Mediterranean and Black Sea: Major drivers for ecosystem changes during past and future decades? Prog. Ocean. 2009, 80, 199–217. [Google Scholar] [CrossRef]
- Leonelli, G.; Battipaglia, G.; Cherubini, P.; Saurer, M.; Siegwolf, R.T.W.; Maugeri, M.; Stenni, B.; Fumagalli, M.L.; Pelfini, M.; Maggi, V. Tree-ring δ18O from an Alpine catchment reveals changes in glacier stream water inputs between 1980 and 2010. Art. Antarct. Alp. Res. 2019, 51, 250–264. [Google Scholar] [CrossRef]
- Marchina, C.; Lencioni, L.; Paoli, F.; Rizzo, M.; Bianchini, G. Headwaters’ isotopic signature as a tracer of stream origins and climatic anomalies: Evidence from the Italian Alps in summer 2018. Water 2020, 12, 390. [Google Scholar] [CrossRef]
- Fan, Y.; Grant, G.; Anderson, S.P. Water within, moving through, and shaping the Earth’s surface: Introducing a special issue on water in the critical zone. Hydrol. Process. 2019. [Google Scholar] [CrossRef]
- Nisi, B.; Buccianti, A.; Vaselli, O.; Perini, G.; Tassi, F.; Minissale, A.; Montegrossi, G. Hydrogeochemistry and strontium isotopes in the Arno River Basin (Tuscany, Italy): Constraints on natural controls by statistical modeling. J. Hydrol. 2008, 360, 166–183. [Google Scholar] [CrossRef]
- Urresti-Estala, B.; Vadillo-Pérez, I.; Jiménez-Gavilán, P.; Soler, A.; Sánchez-García, D.; Carrasco-Cantos, F. Application of stable isotopes (δ34S-SO4, δ18O-SO4, δ15N-NO3, δ18O-NO3) to determine natural background and contamination sources in the Guadalhorce River Basin (southern Spain). Sci. Total Environ. 2015, 506–507, 46–57. [Google Scholar] [CrossRef]
- Marchina, C.; Bianchini, G.; Natali, C.; Pennisi, M.; Colombani, N.; Tassinari, R.; Knöller, K. The Po river water from Monviso source to the Adriatic Sea (Italy): New insights from geochemical and isotopic (18O/16O-2H/1H) data. Environ. Sci. Poll. Res. 2015, 22, 5184–5203. [Google Scholar] [CrossRef] [PubMed]
- Marchina, C.; Bianchini, G.; Knöller, K.; Natali, C.; Pennisi, M.; Colombani, N. Natural and anthropogenic variations in the Po river waters (northern Italy): Insights from a multi-isotope approach. Isot. Environ. Health Stud. 2016, 16, 1–24. [Google Scholar] [CrossRef]
- Omorinoye, O.A.; Assim, Z.B.; Jusoh, I.B.; Durumin Iya, N.I.; Umaru, I.J. Review of the sedimentological and geochemical approaches for environmental assessment of River Sadong, Samarahan-Asajaya District Sarawak, Malaysia. Nat. Environ. Poll. Tech. 2019, 18, 815–823. [Google Scholar]
- Natali, C.; Bianchini, G.; Marchina, C.; Knöller, K. Geochemistry of the Adige River water from the Eastern Alps to the Adriatic Sea (Italy): Evidences for distinct hydrological components and water-rock interactions. Environ. Sci. Pollut. Res. 2016, 23, 11677–11694. [Google Scholar] [CrossRef]
- Diamantini, E.; Lutz, S.R.; Mallucci, S.; Majone, B.; Merz, R.; Bellin, A. Driver detection of water quality trends in three large European river basins. Sci. Total Environ. 2018, 612, 49–62. [Google Scholar] [CrossRef]
- Milner, A.M.; Brown, L.E.; Hannah, D.M. Hydroecological effects of shrinking glaciers. Hydrol. Process 2009, 23, 62–77. [Google Scholar] [CrossRef]
- Autorità di Bacino del Fiume Adige. Bibliografia Geologica e Naturalistica on line. Available online: http://www.bacino-adige.it (accessed on 7 March 2020).
- Scorpio, V.; Surian, N.; Cucato, M.; Dai Prá, E.; Zolezzi, G.; Comiti, F. Channel changes of the Adige River (Eastern Italian Alps) over the last 1000 years and identification of the historical fluvial corridor. J. Maps 2018, 14, 680–691. [Google Scholar] [CrossRef]
- Penna, D.; Engel, M.; Mao, L.; Dell’Agnese, A.; Bertoldi, G.; Comiti, F. Tracer-based analysis of spatial and temporal variations of water sources in a glacierized catchment. Hydrol. Earth Syst. Sci. 2014, 18, 5271–5288. [Google Scholar] [CrossRef]
- Chiogna, G.; Santoni, E.; Camin, F.; Tonon, A.; Majone, B.; Trenti, A.; Bellin, A. Stable isotope characterization of the Vermigliana catchment. J. Hydrol. 2014, 509, 295–305. [Google Scholar] [CrossRef]
- Zuecco, G.; Carturan, L.; De Blasi, F.; Seppi, R.; Zanoner, T.; Penna, D.; Borga, M.; Carton, A.; Dalla Fontana, G. Understanding hydrological processes in glacierized catchments: Evidence and implications of highly variable isotopic and electrical conductivity data. Hydrol. Process. 2019, 33, 816–832. [Google Scholar] [CrossRef]
- Chiogna, G.; Majone, B.; Cano Paoli, K.; Diamantini, E.; Stella, E.; Mallucci, S.; Lencioni, V.; Zandonai, F.; Bellin, A. A review of hydrological and chemical stressors in the Adige catchment and its ecological status. Sci. Total Environ. 2016, 540, 429–443. [Google Scholar] [CrossRef]
- Navarro-Ortega, A.; Acuna, V.; Bellin, A.; Burek, P.; Cassiani, G.; Choukr-Allah, R. Managing the effects of multiple stressors on aquatic ecosystems under water scarcity. The GLOBAQUA project. Sci. Total Environ. 2015, 503, 3–9. [Google Scholar] [CrossRef]
- Autoritá di Bacino del Fiume Adige (ABFA). Quaderno sul Bilancio Idrico Superficiale di Primo Livello. Bacino Idrografico del Fiume Adige. Autoritá di Bacino del Fiume Adige Trento. Trento. 2008. Available online: http://www.bacino-adige.it/studi_realizzati/bilancio_idrico/PDF/Quaderno%20bilancio%20idrico%20lug08.pdf (accessed on 7 March 2020).
- Norbiato, D.; Borga, M.; Merz, R.; Blöschl, G.; Carton, A. Controls on event runoff coefficients in the eastern Italian Alps. J. Hydrol. 2009, 375, 312–325. [Google Scholar] [CrossRef]
- Adige River Basin Authority. Available online: http://www.bacino-adige.it (accessed on 7 March 2020).
- Marchese, E.; Scorpio, V.; Fuller, I.; McColl, S.; Comiti, F. Morphological changes in Alpine rivers following the end of the Little Ice Age. Geomorphology 2017, 295, 811–826. [Google Scholar] [CrossRef]
- Möller, P.; Morteani, G.; Dulski, P. Anomalous gadolinium, cerium, and yttrium contents in the Adige and Isarco River waters and in the water of their tributaries (Provinces Trento and Bolzano/Bozen, NE Italy). Acta Hydroch. Hydrobiol. 2003, 31, 225–239. [Google Scholar] [CrossRef]
- Piovan, S.; Mozzi, P.; Zecchin, M. The interplay between adjacent Adige and Po alluvial systems and deltas in the late Holocene (Northern Italy). Gèomorphologie 2012, 18, 427–440. [Google Scholar] [CrossRef]
- Chiogna, G.; Skrobanek, P.; Narany, T.S.; Ludwig, R.; Stumpp, C. Effects of the 2017 drought on isotopic and geochemical gradients in the Adige catchment, Italy. Sci. Total Environ. 2018, 645, 924–936. [Google Scholar] [CrossRef] [PubMed]
- Huber García, V.; Meyer, S.; Kok, K.; Verweij, P.; Ludwig, R. Deriving spatially explicit water uses from land use change modelling results in four river basins across Europe. Sci. Total Environ. 2018, 628–629, 1079–1097. [Google Scholar] [CrossRef] [PubMed]
- Atekwana, E.A.; Krishnamurthy, R.V. Seasonal variations of dissolved inorganic carbon and δ13C of surface waters: Application of a modified gas evolution technique. J. Hydrol. 1998, 205, 265–278. [Google Scholar] [CrossRef]
- Knöller, K.; Trettin, R.; Strauch, G. Sulphur cycling in the drinking water catchment area of Torgau–Mockritz (Germany): Insights from hydrochemical and stable isotope investigations. Hydrol. Process. 2005, 19, 3445–3465. [Google Scholar] [CrossRef]
- Sigman, D.M.; Casciotti, K.L.; Andreani, M. Bacterial method for the nitrogen isotopic analysis of nitrate in seawater and freshwater. Anal. Chem. 2001, 73, 4145–4153. [Google Scholar] [CrossRef]
- Casciotti, K.L.; Sigman, D.M.; Galanter, H.M. Measurement of the oxygen isotopic composition of nitrate in seawater and freshwater using the denitrifier method. Anal. Chem. 2002, 74, 4905–4912. [Google Scholar] [CrossRef]
- Böhlke, J.K.; Krantz, D.E. Isotope geochemistry and chronology of offshore ground water beneath Indian River Bay, Delaware: US Geological Survey. Water-Resour. Investig. Rep. 2003. Available online: http://pi.lib.uchicago.edu/1001/cat/bib/7242370 (accessed on 7 March 2020).
- Foster, G.L. Seawater pH, pCO2 and [CO32−] variations in the Caribbean Sea over the last 130 kyr: A boron isotope and B/Ca study of planktic foraminifera. Earth Planet. Sci. Lett. 2008, 271, 254–266. [Google Scholar] [CrossRef]
- Catanzaro, E.J.; Champion, C.E.; Garner, E.L.; Marinenko, G.; Sappenfield, K.M.; Shields, W.R. Boric assay; isotopic, and assay standard reference materials. USA Natl. Bur. Stan. Spec. Publ. 1970, 260, 70. [Google Scholar]
- Tonarini, S.; Pennisi, M.; Adorni-Braccesi, A.; Dini, A.; Ferrara, G.; Gonfiantini, R.; Gröning, M. Intercomparison of boron isotope and concentration measurements. Part I: Selection, preparation and homogeneity tests of the intercomparison materials. Geostand. Newsl. 2003, 27, 21–39. [Google Scholar] [CrossRef]
- Gonfiantini, R.; Tonarini, S.; Gröning, M.; Adorni-Braccesi, A.; Al-Ammar, A.S.; Astner, M.; Deyhle, A. Intercomparison of boron isotope and concentration measurements. Part II: Evaluation of results. Geostand. Newsl. 2003, 27, 41–57. [Google Scholar] [CrossRef]
- Pennisi, M.; Agostini, S.; Dini, A.; Dordoni, M.; Di Giuseppe, P.; Rielli, A.; Provenzale, A.; Rodushkin, I. Boron isotope analyses in fluid samples: PTIMS versus MC-ICP-MS (Neptune Plus). In Proceedings of the International Symposium on Isotope Hydrology: Advancing the Understanding of Water Cycle Processes CN-271, Vienna, Austria, 20–24 May 2019. [Google Scholar]
- Dordoni, M.; Pennisi, M.; Di Giuseppe, P.; Rielli, A.; Natali, C.; Bianchini, G.; Marchina, C.; Cidu, R. Boron isotopic composition in fluvial and rain water from the Adige basin (Northern Italy). In Proceedings of the International Symposium on Isotope Hydrology: Advancing the Understanding of Water Cycle Processes CN-271, Vienna, Austria, 20–24 May 2019. [Google Scholar]
- Fossato, V.U. Ricerche idrologiche e chimico-fisiche sul Fiume Adige a Boara Pisani. Giugno 1968–Giugno 1969. Arch. Ocean. Limnol. 1971, 17, 105–123. [Google Scholar]
- Provini, A.; Crosa, G.; Marchetti, R. Nutrient export from the Po and Adige river basins over the last 20 years. Mar. Coast. Eutroph. 1992, 291–313. [Google Scholar] [CrossRef]
- Giustini, F.; Brilli, M.; Patera, A. Mapping oxygen stable isotopes of precipitation in Italy. J. Hydrol. Reg. Stud. 2016, 8, 162–181. [Google Scholar] [CrossRef]
- Marchina, C.; Natali, C.; Bianchini, G. The Po River Water Isotopes during the Drought 530 Condition of the Year 2017. Water 2019, 11, 150. [Google Scholar] [CrossRef]
- Craig, H. Isotopic variations in meteoric waters. Science 1961, 133, 1702–1703. [Google Scholar] [CrossRef]
- Marchina, C.; Natali, C.; Fazzini, M.; Fusetti, M.; Tassinari, R.; Bianchini, G. Extremely dry and warm conditions in northern Italy during the year 2015: Effects on the Po river water. Rend. Lincei Sci. Fis. Nat. 2017, 28, 281–290. [Google Scholar] [CrossRef]
- Barth, J.A.C.; Cronin, A.A.; Dunlop, J.; Kalin, M. Influence of carbonates on the riverine carbon cycle in an anthropogenically dominated catchment basin: Evidence from major elements and stable carbon isotopes in the Lagan River (N. Ireland). Chem. Geol. 2003, 200, 203–216. [Google Scholar] [CrossRef]
- Bojar, A.V.; Halas, S.; Bojar, H.P.; Trembaczowski, A. Late Permian to Triassic isotope composition of sulfates in the Eastern Alps: Palaeogeographic implications. Geol. Mag. 2018, 155, 797–810. [Google Scholar] [CrossRef]
- Mayer, B.; Feger, K.H.; Giesemann, A.; Jäger, H.J. Interpretation of sulfur cycling in two catchments in the Black Forest (Germany) using stable sulfur and oxygen isotope data. Biogeochemistry 1995, 30, 31–58. [Google Scholar] [CrossRef]
- Raven, M.R.; Adkins, J.F.; Werne, J.P.; Lyons, T.W.; Sessions, A.L. Sulfur-isotopic compositions of individual organic compounds from Cariaco Basin sediments. Org. Geochem. 2015, 80, 53–59. [Google Scholar] [CrossRef]
- Shawar, L.; Halevy, I.; Said-Ahmad, W.; Feinstein, S.; Boyko, V.; Kamyshny, A.; Amrani, A. Dynamics of pyrite formation and organic matter sulfurization in organic-rich carbonate sediments. Geochim. Cosmochim. Acta 2018. [Google Scholar] [CrossRef]
- Cortecci, G.; Dinelli, E.; Bencini, A.; Adorni-Braccesi, A.; La Ruffa, G. Natural and anthropogenic SO4 sources in the Arno river catchment, northern Tuscany, Italy: A chemical and isotopic reconnaissance. Appl. Geochem. 2002, 17, 79–92. [Google Scholar] [CrossRef]
- Sacchi, E.; Acutis, M.; Bartoli, M.; Brenna, S.; Delconte, C.A.; Laini, A.; Pennisi, M. Origin and fate of nitrates in groundwater from the central Po plain: Insights from isotopic investigations. Appl. Geochem. 2013, 34, 164–180. [Google Scholar] [CrossRef]
- Martinelli, G.; Dadomo, A.; De Luca, D.A.; Mazzola, M.; Lasagna, M.; Pennisi, M.; Pilla, G.; Sacchi, E.; Saccon, P. Nitrate sources, accumulation and reduction in groundwater from Northern Italy: Insights provided by a nitrate and boron isotopic database. Appl. Geochem. 2018, 91, 23–35. [Google Scholar] [CrossRef]
- Widory, D.; Petelet-Giraud, E.; Negrel, P.; Ladouche, B. Tracking the sources of nitrates in groundwater using coupled nitrogen and boron isotopes: A synthesis. Environ. Sci. Technol. 2005, 39, 539–548. [Google Scholar] [CrossRef] [PubMed]
- Trumbull, R.B.; Slack, J.F. Boron Isotopes in the Continental Crust: Granites, Pegmatites, Felsic Volcanic Rocks, and Related Ore Deposits. Advances in Isotope. Geochemistry 2018, 249–272. [Google Scholar] [CrossRef]
- Branson, O. Boron Incorporation into Marine CaCO3. In Boron Isotopes; Advances In Isotope Geochemistry; Marschall, H., Foster, G., Eds.; Springer: Cham, Switzerland, 2018. [Google Scholar] [CrossRef]
- Hemming, N.G.; Hanson, G.N. Boron isotopic composition and concentration in modern marine carbonates. Geochim. Cosmochim. Acta 1992, 56, 537–543. [Google Scholar] [CrossRef]
- Faure, G.; Assereto, R.; Tremba, E.L. Strontium isotope composition of marine carbonates of middle triassic to early jurassic age, lombardic Alps, Italy. Sedimentology 1978, 25, 523–543. [Google Scholar] [CrossRef]
- Voshage, H.; Hunziker, J.C.; Hoffman, A.W.; Zingg, A. A Nd and Sr isotopic study of the Ivrea Zone, S. Alps. N-Italy. Contrib. Mineral. Petrol. 1987, 97, 31–42. [Google Scholar] [CrossRef]
- Spivack, A.J.; Palmer, M.R.; Edmond, J.M. The sedimentary cycle of the boron isotopes. Geochim. Cosmochim. Acta 1987, 51, 1939–1949. [Google Scholar] [CrossRef]
- Vengosh, A.; Kolodny, Y.; Starinsky, A.; Chivas, A.R.; McCulloch, M.T. Coprecipitation and isotopic fractionation of boron in modern biogenic carbonates. Geochim. Cosmochim. Acta 1991, 55, 2901–2910. [Google Scholar] [CrossRef]
- Tesi, T.; Miserocchi, S.; Acri, F.; Langone, L.; Boldrinc, A.; Hattend, J.A.; Albertazzi, S. Flood-driven transport of sediment, particulate organic matter, and nutrients from the Po. J. Hydrol 2013, 498, 144–152. [Google Scholar] [CrossRef]
- Marchina, C.; Zuecco, G.; Chiogna, G.; Bianchini, G.; Carturan, L.; Comiti, F.; Engel, M.; Natali, C.; Borga, M.; Penna, D. Alternative Methods to Determine the δ2H- δ18O relationship: An Application to Different Water Types. J. Hydrol 2020, 587. [Google Scholar] [CrossRef]
- Hinderer, M.; Kastowski, M.; Kamelger, A.; Bartolini, C.; Schlunegger, F. River loads and modern denudation of the Alps. A review. Earth Sci. Rev. 2013, 118, 11–44. [Google Scholar] [CrossRef]







| Location | Data | Latitude | Longitude | Source d. | δ18O | δ2H | δ13CDIC | δ15NNO3 | δ18ONO3 | δ34SSO4 | δ18OSO4 | HCO3- | NO3- | SO43- | B | δ11B | Sr | 87Sr/86Sr |
|---|---|---|---|---|---|---|---|---|---|---|---|---|---|---|---|---|---|---|
| Km | ‰ | ‰ | ‰ | ‰ | ‰ | ‰ | ‰ | mg/L | mg/L | mg/L | µg/L | ‰ | µg/L | |||||
| Resia (source) | 10/05/15 | 46°44′24.3″ N | 10°33′01.1″ E | 0 | −13.5 | −98.4 | −7.9 | 5.7 | 6.8 | 4.42 | 2.2 | 33 | 0.65 | 25.0 | 95.0 | |||
| S. Valentino alla Muta (BZ) | 09/08/16 | 46°46′ 31″N | 10° 32′ 2″ E | 0 | −13.5 | −97.2 | −6.4 | 7.9 | 29.0 | 2.95 | 2.2 | 36 | 23.5 | 3.0 | 7.60 | 58.9 | 0.72797 | |
| Glorenza (BZ) | 10/05/15 | 46°40′12.7″ N | 10°31′55.6″ E | 11 | −13.8 | −100 | −4.5 | 4.0 | 3.0 | 11.4 | 10.8 | 69 | 0.96 | 82.8 | 610 | |||
| 09/08/16 | 46°40′ 13″N | 10°31′ 6.0″ E | 11 | −13.5 | −96.6 | −4.8 | 0.1 | 3.6 | 11.18 | 10.1 | 63 | 1.00 | 115.7 | 705 | ||||
| Spondigna BZ | 10/05/15 | 46°38′ 07″ N | 10°36′24.6″ E | 18 | −13.6 | −99.6 | −7.6 | n.d. | n.d. | 10.2 | 8.8 | 90 | 1.03 | 71.0 | 475 | |||
| 09/08/16 | 46°38′ 08″ N | 10°36′ 23″ E | 18 | −13.5 | −96.6 | −8.6 | 4.6 | 6.1 | 8.76 | 6.8 | 78 | 0.14 | 89.1 | 412 | ||||
| Tel BZ | 10/05/15 | 46°40′37.2″ N | 11°05′06.4″ E | 55 | −13.7 | −99.9 | −6.1 | 7.6 | 6.0 | 7.41 | 5.7 | 69 | 1.54 | 59.3 | 276 | |||
| 09/08/16 | 46°40′ 37″ N | 11°05′ 06″ E | 55 | −13.6 | −97.2 | −6.1 | 3.9 | 10.4 | 5.52 | 2.9 | 45 | 1.01 | 65.8 | 183 | 0.71318 | |||
| Andriano BZ | 10/05/15 | 46°30′41.4″ N | 11°15′37.9″ E | 85 | −12.9 | −93.0 | −6.8 | n.d. | n.d. | 6.63 | 5.4 | 48 | 1.64 | 33.6 | 147 | |||
| 09/08/16 | 46°52′ 21″ N | 11°24′ 60″ E | 85 | −12.5 | −88.5 | −7.0 | 2.2 | 4.5 | 5.45 | 3.1 | 54 | 1.68 | 50.8 | 141 | ||||
| Isarco - Bolzano | 11/05/15 | 46°29′12.8″ E | 11°19′56″ E | 92 | −12.3 | −86.8 | −8.0 | 3.9 | 5.9 | 7.45 | 7.0 | 72 | 1.52 | 13.0 | 116 | |||
| 09/08/16 | 46°28′ 23.6″ N | 11°18′41.8″ E | 92 | −11.7 | −82.5 | −8.6 | 5.1 | 3.4 | 4.09 | 4.6 | 66 | 0.15 | 20.9 | 4.1 | 7.40 | 121 | ||
| Vadena Nuova BZ | 10/05/15 | 46°24′49.6″ N | 11°18′53.8″ E | 100 | −12.4 | −88.1 | −6.8 | 4.9 | 5.6 | 6.18 | 6.5 | 66 | 1.70 | 14.6 | 114 | |||
| 09/08/16 | 46°41′ 4″ N | 11°31′ 52″ E | 100 | −11.9 | −83.2 | −9.0 | 8.7 | 6.4 | 5.38 | 5.7 | 69 | 1.59 | 23.9 | 178 | ||||
| S. Floriano BZ | 10/05/15 | 46°17′13.3″ N | 11°14′17.8″ E | 115 | −12.3 | −88.1 | −7.5 | 5.0 | 5.8 | 7.35 | 7.0 | 63 | 1.63 | 22.2 | 138 | |||
| 09/08/16 | 46°28′ 7″ N | 11°23′ 85″ E | 115 | −11.9 | −83.9 | −7.3 | 3.4 | 2.6 | 6.82 | 6.2 | 60 | 1.15 | 34.4 | 7.3 | 8.40 | 134 | 0.71038 | |
| Zambana TN | 10/05/15 | 46°9′20.3″ N | 11°5′24.6″ E | 135 | −12.3 | −87.8 | −8.5 | 6.8 | 7.3 | 7.38 | 6.1 | 66 | 1.84 | 20.8 | 129 | |||
| 09/08/16 | 46°9′ 19.6″ N | 11°5′ 21.6″ E | 135 | −11.9 | −85.0 | −8.1 | 4.3 | 3.5 | 5.84 | 4.4 | 60 | 1.57 | 33.3 | 5.5 | 7.00 | 150 | 0.71098 | |
| Mattarello TN | 11/05/15 | 46°00′34.3″ N | 11°7′22.1″ E | 155 | −12.2 | −86.2 | −8.7 | 7.4 | 7.4 | 7.23 | 6.4 | 63 | 1.41 | 21.1 | 131 | |||
| 09/08/16 | 46°00′ 06″ N | 11°12′ 33″ E | 155 | −11.9 | −83.4 | −5.6 | 3.2 | 3.9 | 5.73 | 3.9 | 54 | 0.88 | 32.0 | 135 | 0.71059 | |||
| Pilcalte TN | 11/05/15 | 45°45′57.3″ N | 11°00′04.4″ E | 185 | −12.1 | −84.7 | −9.0 | 6.9 | 6.0 | 7.71 | 5.8 | 87 | 2.57 | 22.0 | 146 | |||
| 10/08/16 | 45°76′ 6″ N | 11°00′ 14″ E | 185 | −11.8 | −81.4 | −7.6 | 3.9 | 6.60 | 4.6 | 75 | 1.24 | 29.7 | 8.2 | 4.50 | 114 | |||
| Brentino Belluno VR | 11/05/15 | 45°38′25.2″ N | 10°52′35″ E | 205 | −12.1 | −85.1 | −9.0 | 6.2 | 5.3 | 7.15 | 5.4 | 90 | 1.98 | 20.4 | 130 | |||
| 10/08/16 | 45°65′ 69″ N | 10°89′ 43″ E | 205 | −11.7 | −81.0 | −7.7 | 3.3 | −0.4 | 6.70 | 5.5 | 81 | 1.04 | 29.5 | 7.0 | 7.10 | 131 | ||
| Parona VR | 11/05/15 | 45°28′32.9″ N | 10°56′43.8″ E | 235 | −11.9 | −84.1 | −9.3 | 7.0 | 8.6 | 6.95 | 6.1 | 84 | 2.46 | 19.7 | 139 | |||
| 10/08/16 | 45°46′ 41″ N | 10°94′ 10″ E | 235 | −11.6 | −80.3 | −7.9 | 3.6 | 2.2 | 6.45 | 5.2 | 78 | 1.56 | 30.5 | 7.8 | 9.40 | 151 | 0.71071 | |
| Zevio VR | 11/05/15 | 45°22′51.9″ N | 11°08′06.6″ E | 265 | −12.1 | −85.7 | −8.9 | 10.5 | 7.7 | 7.22 | 5.2 | 69 | n.d. | 19.8 | 131 | |||
| 10/08/16 | 45°38′ 13″ N | 11°13′ 51″ E | 265 | −11.7 | −81.9 | −7.5 | 4.0 | 3.8 | 6.56 | 5.5 | 78 | 1.97 | 32.3 | 8.2 | 9.10 | 149 | 0.71074 | |
| Bonavigo VR | 11/05/15 | 45°12′51.3″ N | 11°17′52.3″ E | 290 | −11.9 | −83.6 | −9.5 | 8.7 | 8.1 | 7.64 | 5.8 | 69 | 3.52 | 20.5 | 141 | |||
| 10/08/16 | 45°21′ 4″ N | 11°29′ 79″ E | 290 | −11.6 | −81.4 | −7.9 | 5.8 | 2.3 | 6.85 | 5.3 | 81 | 32.2 | 163 | |||||
| Badia Polesine RO | 11/05/15 | 45°06′18″ N | 11°28′50.1″ E | 315 | −11.8 | −83.4 | −8.3 | 8.6 | 8.0 | 7.71 | 6.4 | 84 | 3.70 | 20.1 | 140 | |||
| 10/08/16 | 45° 0′ 49″ N | 11°48′ 06″ E | 315 | −11.6 | −81.6 | −7.8 | 6.8 | 2.4 | 6.55 | 6.0 | 87 | 0.61 | 32.5 | 146 | ||||
| Boara Pisani RO | 11/05/15 | 45°06′ 34″ N | 11°47′ 31″ E | 320 | −12.1 | −85.0 | −9.4 | 6.4 | 4.6 | 7.61 | 6.2 | 78 | 3.08 | 20.7 | 185 | |||
| 10/08/16 | 45°06′ 34″ N | 11°47′ 31″ E | 320 | −11.5 | −81.1 | −8.1 | 5.1 | −0.1 | 6.52 | 5.4 | 78 | 1.41 | 31.2 | 122 | ||||
| Rosolina Mare RO | 11/05/15 | 45°08′34.7″ N | 12°18′27.9″ E | 385 | −12.1 | −85.5 | −9.0 | 6.2 | 2.9 | 7.87 | 6.4 | 78 | n.d. | 20.6 | 129 | |||
| 10/08/16 | 45°14′ 29″ N | 12°30′ 71″ E | 385 | −11.5 | −80.9 | −8.8 | 6.2 | 2.4 | 6.32 | 5.3 | 75 | 0.88 | 31.1 | 148 |
© 2020 by the authors. Licensee MDPI, Basel, Switzerland. This article is an open access article distributed under the terms and conditions of the Creative Commons Attribution (CC BY) license (http://creativecommons.org/licenses/by/4.0/).
Share and Cite
Marchina, C.; Knöller, K.; Pennisi, M.; Natali, C.; Dordoni, M.; Di Giuseppe, P.; Cidu, R.; Bianchini, G. The Isotopic (δ18O, δ 2H, δ13C, δ15N, δ34S, 87Sr/86Sr, δ11B) Composition of Adige River Water Records Natural and Anthropogenic Processes. Minerals 2020, 10, 455. https://doi.org/10.3390/min10050455
Marchina C, Knöller K, Pennisi M, Natali C, Dordoni M, Di Giuseppe P, Cidu R, Bianchini G. The Isotopic (δ18O, δ 2H, δ13C, δ15N, δ34S, 87Sr/86Sr, δ11B) Composition of Adige River Water Records Natural and Anthropogenic Processes. Minerals. 2020; 10(5):455. https://doi.org/10.3390/min10050455
Chicago/Turabian StyleMarchina, Chiara, Kay Knöller, Maddalena Pennisi, Claudio Natali, Marlene Dordoni, Paolo Di Giuseppe, Rosa Cidu, and Gianluca Bianchini. 2020. "The Isotopic (δ18O, δ 2H, δ13C, δ15N, δ34S, 87Sr/86Sr, δ11B) Composition of Adige River Water Records Natural and Anthropogenic Processes" Minerals 10, no. 5: 455. https://doi.org/10.3390/min10050455
APA StyleMarchina, C., Knöller, K., Pennisi, M., Natali, C., Dordoni, M., Di Giuseppe, P., Cidu, R., & Bianchini, G. (2020). The Isotopic (δ18O, δ 2H, δ13C, δ15N, δ34S, 87Sr/86Sr, δ11B) Composition of Adige River Water Records Natural and Anthropogenic Processes. Minerals, 10(5), 455. https://doi.org/10.3390/min10050455

