Exploration Potential of Fine-Fraction Heavy Mineral Concentrates from Till Using Automated Mineralogy: A Case Study from the Izok Lake Cu–Zn–Pb–Ag VMS Deposit, Nunavut, Canada
Abstract
1. Introduction
1.1. Bedrock Geology of the Izok Lake Area
1.2. Surficial Geology
2. Materials and Methods
2.1. Preparation of Heavy Mineral Concentrate (HMC) in Previous Geological Survey of Canada (GSC) Study
2.2. Sieving Methods
2.3. Epoxy Mounting of Mineral Grains
2.4. Automated Mineralogy
3. Results
3.1. Grain Mount Density Gradients
3.2. Mineral Liberation Analysis (MLA) Error Estimation
3.3. Modal Mineralogy
3.4. Alteration Minerals and Metamorphic Equivalents
3.5. Ore Minerals
4. Discussion
4.1. Consideration for Working with Ultrafine-grained Heavy Minerals
4.2. Mineral Liberation Analysis (MLA)
4.3. Density Gradient and Grain Mounting
4.4. MLA Error Estimation
4.5. Modal Mineralogy
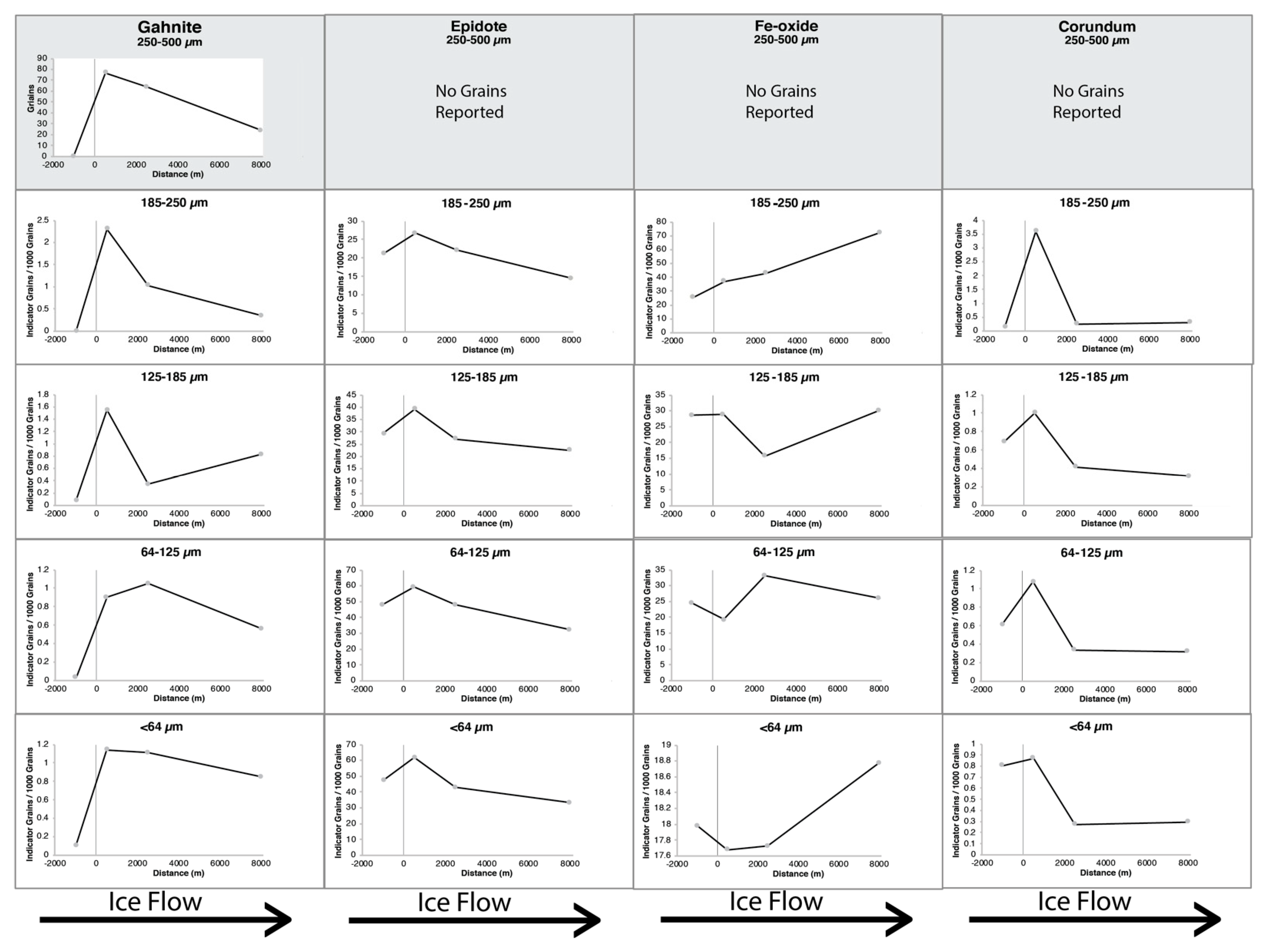
4.5.1. Gahnite
4.5.2. Corundum
4.5.3. Epidote
4.5.4. Staurolite
4.5.5. Fe-Oxide Minerals
4.5.6. Sulfide Minerals
4.5.7. Silver-Bearing Minerals
4.5.8. Pathfinder Minerals
5. Conclusions
- 1)
- The basal surface of epoxy grain mounts contains a greater number of heavy mineral grains than cross-sectional surfaces and represents the optimal surface for MLA studies. A mass of 0.3 g of heavy minerals will cover the basal surface of a 25 mm mount, although the mass can be adjusted to suit the density of the minerals to be mounted. Once the appropriate sample mass has been established, all mounts should be prepared using that mass to ensure relatable results between the samples.
- 2)
- Error between analytical runs of identical sections can be minimized with regular calibration of FEG-SEM systems. Calibration takes ~20 min to complete and should be performed prior to each batch of samples being run. The average error (as measured by this study) is not significant (<±1% shift/mineral). Increasing the number of grains presented for analysis improves statistical accuracy by decreasing the influence of outliers and nugget effects on indicator mineral counts.
- 3)
- Reporting indicator mineral abundance as both a normalized grain count and area percentage allows for inference about mineral occurrence that would not be possible using only one metric. Normalization of grain count values to 1000 grains ensures that abundance data can be compared between samples and projects and are intuitive to use. Interpreted along with area percentage values, these combined datasets can suggest whether a mineral is present as smaller numbers of larger grains or many small grains.
- 4)
- Common ore (chalcopyrite, galena, pyrite, sphalerite, pyrrhotite) and alteration (gahnite, axinite, corundum, epidote, Fe-oxide, staurolite) minerals of metamorphosed VMS deposits were detectable in the fine (<250 µm fraction) of till HMC from the Izok Lake area. Elevated abundances of chalcopyrite and galena were detected up to 8 km down ice, a significant increase over the 1.3 km sulfide dispersal distance reported by McClenaghan et al. [11].
- 5)
- Epidote and Fe-oxide form a dispersal train down ice of the Izok Lake deposit. Epidote is a characteristic mineral in carbonate and propylitic alteration halos surrounding hydrothermal deposits, as well as in calc-silicate rocks of sedimentary or metasomatic origin and, therefore, epidote abundance must rely on the presence of other indicator minerals to be of use to exploration efforts. Care must be taken to ensure that accurate regional background abundance is established outside of wide-spread carbonate and propylitic alteration halos. Future work should investigate the use of trace-element compositional analysis of epidote grains to assess terrane fertility, after the work of Plouffe et al. [8] on porphyry systems. Fe-oxide minerals can indicate the incorporation of gossanous material into till [72] or the weathering of sulfide grains during transport or following deposition. Not all gossans will be found with associated mineralized sulfide bodies (i.e., the WIZ showing) but the fact that they indicate that a mineralized system existed at one point in time makes them an important exploration target.
- 6)
- Automated mineralogy can identify indicator minerals that are difficult or impossible to distinguish using traditional optical methods, or that are present only as small inclusions (galena) in other, more robust grains. Another advantage of automated mineralogy is that mineral associations within grains can be quickly identified and quantified (corundum/gahnite). Conversely, visual color of grains when using optical methods can be used to rapidly distinguish minor-element enrichment in some minerals (e.g., red for Mn-epidote, red for Cr-rich rutile). MLA can only recognize these grains if corresponding X-ray spectra have already been identified and added to the mineral reference library.
- 7)
- Large numbers of galena and chalcopyrite were identified in the coarsest two size fractions (125–185 µm and 185–250 µm) of till, at greater distances (≥8 km) down ice than previously identified in the >250 µm size fraction of the same till samples. Corundum, found in composite grains with gahnite, was found in the coarsest fraction examined in the sample most proximal to the deposit. All other alteration minerals (staurolite, gahnite, epidote, Fe-oxides) were found in these coarsest two fractions. Using the 125–250 µm (fine sand) size fraction will reduce the scanning time necessary for each sample, while still presenting 50,000–100,000 grains for analysis on a polished grain mount surface. We believe that at this location the fine sand (125–250 µm) fraction of till HMC is the most effective fraction to use with automated mineralogy for detection of indicator mineral anomalies.
Author Contributions
Funding
Acknowledgments
Conflicts of Interest
References
- McClenaghan, M.B.; Kjarsgaard, B.A. Indicator Mineral and Surficial Geochemical Exploration Methods for Kimberlite in Glaciated Terrain: Examples from Canada. In Mineral Deposits of Canada: A Synthesis of Major Deposit-Types, District Metallogeny, the Evolution of Geological Provinces, and Exploration Methods; Goodfellow, W., Ed.; Geological Association of Canada: St. John’s, NL, Canada, 2007; pp. 983–1006. [Google Scholar]
- Averill, S.; Zimmerman, J. The Riddle Resolved—The Discovery of the Partridge Gold Zone Using Sonic Drilling in Glacial Overburden at Waddy Lake, Saskatchewan. In CIM Bulletin; Canadian Institute of Mining, Metallurgy, and Petroleum: Montreal, QC, Canada, 1984; Volume 77, p. 88. [Google Scholar]
- Averill, S.A. The application of heavy indicator mineralogy in mineral exploration with emphasis on base metal indicators in glaciated metamorphic and plutonic terrains. Geol. Soc. Spec. Publ. 2001, 185, 69–81. [Google Scholar] [CrossRef]
- Averill, S.A. Discovery and Delineation of the Rainy River Gold Deposit Using Glacially Dispersed Gold Grains Sampled by Deep Overburden Drilling: A 20 Year Odyssey. In New Frontiers for Exploration in Glaciated Terrain; Paulen, R., McClenaghan, M.B., Eds.; Open File 7374; Geological Survey of Canada: Ottawa, ON, Canada, 2013; pp. 37–46. [Google Scholar]
- McClenaghan, M.B.; Cabri, L.J. Review of gold and platinum group element (PGE) indicator minerals methods for surficial sediment sampling. Geochem. Explor. Environ. Anal. 2011, 11, 251–263. [Google Scholar] [CrossRef]
- Hashmi, S.; Ward, B.; Plouffe, A.; Leybourne, M.; Ferbey, T. Geochemical and mineralogical dispersal in till from the Mount Polley Cu–Au porphyry deposit, central British Columbia, Canada. Geochem. Explor. Environ. Anal. 2015, 15, 234–249. [Google Scholar] [CrossRef]
- Kelley, K.D.; Eppinger, R.G.; Lang, J.; Smith, S.M.; Fey, D.L. Porphyry Cu indicator minerals in till as an exploration tool: Example from the giant Pebble porphyry Cu–Au–Mo deposit, Alaska, USA. Geochem. Explor. Environ. Anal. 2011, 11, 321–334. [Google Scholar] [CrossRef]
- Plouffe, A.; Ferbey, T.; Hashmi, S.; Ward, B. Till geochemistry and mineralogy: Vectoring towards Cu porphyry deposits in British Columbia, Canada. Geochem. Explor. Environ. Anal. 2016, 16, 213–232. [Google Scholar] [CrossRef]
- Averill, S.A. Viable indicator minerals in surficial sediments for two major base metal deposit types: Ni–Cu-PGE and porphyry Cu. Geochem. Explor. Environ. Anal. 2011, 11, 279–291. [Google Scholar] [CrossRef]
- McClenaghan, M.B.; Paulen, R. Application of Till Mineralogy and Geochemistry to Mineral Exploration. In Past Glacial Environments; Menzies, J., Van der Meer, J., Eds.; Elsevier: Amsterdam, The Netherlands, 2018; pp. 689–751. [Google Scholar]
- McClenaghan, M.; Paulen, R.; Layton-Matthews, D.; Hicken, A.; Averill, S. Glacial dispersal of gahnite from the Izok Lake Zn–Cu–Pb–Ag VMS deposit, northern Canada. Geochem. Explor. Environ. Anal. 2015, 15, 333–349. [Google Scholar] [CrossRef]
- Plouffe, A.; McClenaghan, M.; Paulen, R.; McMartin, I.; Campbell, J.; Spirito, W. Processing of glacial sediments for the recovery of indicator minerals: Protocols used at the Geological Survey of Canada. Geochem. Explor. Environ. Anal. 2013, 13, 303–316. [Google Scholar] [CrossRef]
- McClenaghan, M. Overview of common processing methods for recovery of indicator minerals from sediment and bedrock in mineral exploration. Geochem. Explor. Environ. Anal. 2011, 11, 265–278. [Google Scholar] [CrossRef]
- Lehtonen, M.; Lahaye, Y.; O’Brien, H.; Lukkari, S.; Marmo, J.; Sarala, P. Novel Technologies for Indicator Mineral-Based Exploration; Geological Survey of Finland: Espoo, Finland, 2015; pp. 23–62. [Google Scholar]
- Galley, A.G.; Hannington, M.D.; Jonasson, I. Volcanogenic Massive Sulphide Deposits. In Mineral Deposits of Canada: A Synthesis of Major Deposit-Types, District Metallogeny, the Evolution of Geological Provinces, and Exploration Methods; Goodfellow, W., Ed.; Geological Association of Canada: St. John’s, NL, Canada, 2007; Volume 5, pp. 141–161. [Google Scholar]
- McClenaghan, M.B.; Peter, J.M. Till geochemical signatures of volcanogenic massive sulphide deposits: An overview of Canadian examples. Geochem. Explor. Environ. Anal. 2016, 16, 27–47. [Google Scholar] [CrossRef]
- Hicken, A. Glacial Dispersal of Indicator Minerals from the Izok Lake Zn–Cu–Pb–Ag VMS Deposit, Nunavut, Canada. Master’s Thesis, Queen’s University, Kingston, ON, Canada, 2012. [Google Scholar]
- Hicken, A.; McClenaghan, M.; Layton-Matthews, D.; Paulen, R.; Averill, S.; Crabtree, D. Indicator Mineral Signatures of the Izok Lake Zn-Cu-Pb-Ag Volcanogenic Massive Sulphide Deposit, Nunavut: Part 2 Till; Open File 7343; Geological Survey of Canada: Ottawa, ON, Canada, 2013. [Google Scholar]
- Bleeker, W.; Hall, B. The Slave Craton: Geological and Metallogenic Evolution. In Mineral Deposits of Canada: A Synthesis of Major Deposit-Types, District Metallogeny, the Evolution of Geological Provinces, and Exploration Methods; Goodfellow, W., Ed.; Geological Association of Canada: St. John’s, NL, Canada, 2007; Volume 5, pp. 849–879. [Google Scholar]
- Bleeker, W.; Ketchum, J.W.; Jackson, V.A.; Villeneuve, M.E. The Central Slave Basement Complex, Part I: Its structural topology and autochthonous cover. Can. J. Earth Sci. 1999, 36, 1083–1109. [Google Scholar] [CrossRef]
- Buchan, K.L.; Ernst, R. Diabase Dyke Swarms and Related Units in Canada and Adjacent Regions; Geological Survey of Canada: Ottawa, ON, Canada, 2004. [Google Scholar]
- Morrison, I. Geology of the Izok massive sulfide deposit, Nunavut Territory, Canada. Explor. Min. Geol. 2004, 13, 25–36. [Google Scholar] [CrossRef]
- Morrison, I.; Balint, F. Geology of the Izok Lake Massive Sulphide Deposits, Northwest Territories, Canada. In Proceedings of the World Zinc’93 Symposium, Hobart, Australia, 10–13 October 1993; pp. 161–170. [Google Scholar]
- Bostock, H.H. Geology of the Itchen Lake Area, District of Mackenzie; Geological Survey of Canada: Ottawa, ON, Canada, 1980. [Google Scholar]
- Thomas, A. Volcanic Stratigraphy of the Izok Lake Greenstone Belt, District of Mackenzie, NWT. Ph.D. Thesis, University of Western Ontario, London, ON, Canada, 1978. [Google Scholar]
- Nowak, R. The Nature and Significance of High-grade Metamorphism and Intense Deformation in the Izok VHMS Alteration Halo and Deposit. Master’s Thesis, Colorado School of Mines, Golden, CO, USA, 2012. [Google Scholar]
- Money, P.; Heslop, J. Geology of the Izok Lake massive sulphide deposit. Can. Min. J. 1976, 97, 24–27. [Google Scholar]
- MMG Limited Izok Corridor. Available online: https://www.mmg.com/our-business/development-projects/ (accessed on 29 March 2020).
- Costello, K.; Senkow, M.; Bigio, A.; Budkewitsch, P.; Ham, L.; Mate, D. Nunavut Mineral Exploration, Mining and Geoscience Overview 2011; Aboriginal Affairs and Northern Development Canada: Ottawa, ON, Canada, 2012. [Google Scholar]
- Stubley, M.; Irwin, D. Bedrock Geology of the Slave Craton, Northwest Territories and Nunavut; NWT Open File 2019-01; Northwest Territories Geological Survey: Yellowknife, NT, Canada, 2019. [Google Scholar]
- Hicken, A.; McClenaghan, M.; Layton-Matthews, D.; Paulen, R.; Averill, S.; Crabtree, D. Indicator Mineral Signatures of the Izok Lake Zn–Cu–Pb–Ag Volcanogenic Massive Sulphide Deposit, Nunavut: Part 1 Bedrock Samples; Open File 7173; Geological Survey of Canada: Ottawa, ON, Canada, 2013. [Google Scholar]
- Dredge, L.; Kerr, D.; Ward, B. Surficial Geology, Point Lake, District of Mackenzie, Northwest Territories; Geological Survey of Canada: Ottawa, ON, Canada, 1996. [Google Scholar]
- Stea, R.; Johnson, M.; Hanchar, D.; Paulen, R.; McMartin, I. The Geometry of Kimberlite Indicator Mineral Dispersal Fans in Nunavut, Canada. In Application of Till and Stream Sediment Heavy Mineral and Geochemical Methods to Mineral Exploration in Western and Northern Canada, Short Course Notes; McMartin, I., Paulen, R., Eds.; Geological Association of Canada: St. John’s, NL, Canada, 2009; Volume 18, pp. 1–13. [Google Scholar]
- Dyke, A.; Prest, V. Late Wisconsinan and Holocene history of the Laurentide ice sheet. Géographie Physique et Quaternaire 1987, 41, 237–263. [Google Scholar] [CrossRef]
- Dyke, A.S. An Outline of North American Deglaciation with Emphasis on Central and Northern Canada. In Developments in Quaternary Sciences; Elsevier: Amsterdam, The Netherlands, 2004; Volume 2, pp. 373–424. [Google Scholar]
- Paulen, R.C.; McClenaghan, M.B.; Hicken, A.K. Regional and local ice-flow history in the vicinity of the Izok Lake Zn–Cu–Pb–Ag deposit, Nunavut. Can. J. Earth Sci. 2013, 50, 1209–1222. [Google Scholar] [CrossRef]
- Shilts, W.W. Nature and genesis of mudboils, central Keewatin, Canada. Can. J. Earth Sci. 1978, 15, 1053–1068. [Google Scholar] [CrossRef]
- Dredge, L.; Ward, B.C.; Kerr, D.E. Trace Element Geochemistry and Gold Grain Results from Till Samples, Point Lake, Northwest Territories (86H); Open File 3317; Geological Survey of Canada: Ottawa, ON, Canada, 1996. [Google Scholar]
- Oviatt, N.M. Till geochemistry of the West Iznogoudh Zn Showing, Point Lake Map Sheet (86H), Nunavut. Bachelor’s Thesis, University of Calgary, Calgary, AB, Canada, 2010. [Google Scholar]
- Lougheed, H.D.; McClenaghan, M.B.; Layton-Matthews, D.; Leybourne, M. Evaluation of Single-Use Nylon Screened Sieves for Use with Fine-Grained Sediment Samples; Open File 8613; Geological Survey of Canada: Ottawa, ON, Canada, 2019; p. 14. [Google Scholar]
- Blaskovich, R.J. Characterizing Waste Rock Using Automated Quantitative Electron Microscopy. Master’s Thesis, University of British Columbia, Vancouver, BC, Canada, 2013. [Google Scholar]
- Kjellsen, K.; Monsøy, A.; Isachsen, K.; Detwiler, R. Preparation of flat-polished specimens for SEM-backscattered electron imaging and X-ray microanalysis—Importance of epoxy impregnation. Cem. Concr. Res. 2003, 33, 611–616. [Google Scholar] [CrossRef]
- Sylvester, P.J. Use of the Mineral Liberation Analyzer (MLA) for Mineralogical Studies of Sediments and Sedimentary Rocks. In Mineralogical Association of Canada Short Course 42; Mineralogical Association of Canada: St. John’s, NL, Canada, 2012; pp. 1–16. [Google Scholar]
- Layton-Matthews, D.; Hamilton, C.; McClenaghan, M. Mineral Chemistry: Modern Techniques and Applications to Exploration. In Application of Indicator Mineral Methods to Mineral Exploration; McClenaghan, M., Plouffe, A., Layton-Matthews, D., Eds.; Open File 7553; Geological Survey of Canada: Ottawa, ON, Canada, 2014; pp. 9–18. [Google Scholar]
- Sandmann, D. Method Development in Automated Mineralogy. Ph.D. Thesis, Technischen Universität Bergakademie Freiberg, Freiberg, Germany, 2015. [Google Scholar]
- Simandl, G.J.; Mackay, D.A.R.; Ma, X.; Luck, P.; Gravel, J.; Grcic, B.; Redfearn, M. Direct and Indirect Indicator Minerals in Exploration for Carbonatite and Related Ore Deposits—An Orientation Survey, British Columbia, Canada. In Proceedings of the 27th International Applied Geochemistry Symposium, Tucson, AZ, USA, 20–24 April 2015; pp. 33–39. [Google Scholar]
- Hulkki, H.; Taivalkoski, A.; Lehtonen, M. Signatures of Cu (–Au) mineralisation reflected in inorganic and heavy mineral stream sediments at Vähäkurkkio, north-western Finland. J. Geochem. Explor. 2018, 188, 156–171. [Google Scholar] [CrossRef]
- Dreimanis, A.; Vagners, U. Bimodal Distribution of Rock and Mineral Fragments in Basal Tills. In Till, a Symposium; Goldthwaite, R.P., Ed.; Ohio State University Press: Columbus, OH, USA, 1971; pp. 237–250. [Google Scholar]
- Pickett, J. Method Development for the Systematic Separation of the <63 µm Heavy Mineral Fraction from Bulk Till Samples. Master’s Thesis, Queen’s University, Kingston, ON, Canada, 2018. [Google Scholar]
- Lougheed, H.D.; McClenaghan, M.B.; Layton-Matthews, D. Mineral Markers of Base Metal Mineralization: Progress Report on the Identification of Indicator Minerals in the Fine Heavy Mineral Fraction. In Targeted Geoscience Initiative: 2017 Report of Activities; Rogers, N., Ed.; Open File 8373; Geological Survey of Canada: Ottawa, ON, Canada, 2018; Volume 2, pp. 101–108. [Google Scholar]
- Day, S.J.A.; Lariviere, J.M.; McNeil, R.J.; Friske, P.W.B.; Cairns, S.R.; McCurdy, M.W.; Wilson, R.S. Regional Stream Sediment and Water Geochemical Data, Horn Playeau area, Northwest Territories (Parts of NTS 85E, 85F, 85K, 85L, 95H, 95I and 95J) Including Analytical, Mineralogical, and Kimberlite Indicator Mineral Data; Open File 5478; Geological Survey of Canada: Ottawa, ON, Canada, 2007. [Google Scholar]
- Falck, H.; Day, S.; Pierce, K.L.; Cairns, S.R.; Watson, D. Geochemical, Mineralogical and Indicator Mineral Data for Stream Silt Sediment, Heavy Mineral Concentrates and Waters, Flat River area, Northwest Territories, (Part of NTS 95E, 105H and 105I); NWT Open Report 2015-002; Northwest Territories Geoscience Office: Yellowknife, NT, Canada, 2015. [Google Scholar]
- Lastra, R.; Petruk, W. Mineralogical characterization of sieved and un-sieved samples. J. Miner. Mater. Charact. Eng. 2014, 2, 40–48. [Google Scholar] [CrossRef]
- Voordouw, R.J.; Gutzmer, J.; Beukes, N.J. Zoning of platinum group mineral assemblages in the UG2 chromitite determined through in situ SEM-EDS-based image analysis. Miner. Depos. 2010, 45, 147–159. [Google Scholar] [CrossRef]
- Berlin, J. Analysis of boron with energy dispersive X-ray spectrometry. Imaging Microsc. 2011, 13, 19–21. [Google Scholar]
- McClenaghan, M.B.; Hicken, A.; Paulen, R.; Layton-Matthews, D. Indicator Mineral Counts for Regional till Samples Around the Izok Lake Zn–Cu–Pb–Ag VMS Deposit, Nunavut; Open File 7029; Geological Survey of Canada: Ottawa, ON, Canada, 2012. [Google Scholar]
- Spry, P.G. An unusual gahnite-forming reaction, Geco base-metal deposit, Manitouwadge, Ontario. Can. Mineral. 1982, 20, 549–553. [Google Scholar]
- Theart, H.; Ghavami-Riabi, R.; Mouri, H.; Gräser, P. Applying the box plot to the recognition of footwall alteration zones related to VMS deposits in a high-grade metamorphic terrain, South Africa, a lithogeochemical exploration application. Geochemistry 2011, 71, 143–154. [Google Scholar] [CrossRef]
- Bonnet, A.; Corriveau, L. Alteration Vectors to Metamorphosed Hydrothermal Systems in Gneissic terranes. In Mineral Deposits of Canada: A Synthesis of Major Deposit-Types, District Metallogeny, the Evolution of Geological Provinces, and Exploration Methods; Goodfellow, W., Ed.; Geological Association of Canada: St. John’s, NL, Canada, 2007; Volume 5, pp. 141–161. [Google Scholar]
- Zaleski, E.; Froese, E.; Gordon, T.M. Metamorphic petrology of Fe–Zn–Mg–Al alteration at the Linda volcanogenic massive sulfide deposit, Snow Lake, Manitoba. Can. Mineral. 1991, 29, 995–1017. [Google Scholar]
- Stoddard, E.F. Zinc-rich hercynite in high-grade metamorphic rocks; a product of the dehydration of staurolite. Am. Mineral. 1979, 64, 736–741. [Google Scholar]
- Dietvorst, E.J. Biotite breakdown and the formation of gahnite in metapelitic rocks from Kemiö, Southwest Finland. Contrib. Mineral. Petrol. 1981, 75, 327–337. [Google Scholar] [CrossRef]
- Spry, P.G.; Scott, S.D. The stability of zincian spinels in sulfide systems and their potential as exploration guides for metamorphosed massive sulfide deposits. Econ. Geol. 1986, 81, 1446–1463. [Google Scholar] [CrossRef]
- Ghosh, B.; Praveen, M. Indicator minerals as guides to base metal sulphide mineralisation in Betul Belt, central India. J. Earth Syst. Sci. 2008, 117, 521–536. [Google Scholar] [CrossRef]
- Makvandi, S.; Ghasemzadeh-Barvarz, M.; Beaudoin, G.; Grunsky, E.C.; McClenaghan, M.B.; Duchesne, C. Principal component analysis of magnetite composition from volcanogenic massive sulfide deposits: Case studies from the Izok Lake (Nunavut, Canada) and Halfmile Lake (New Brunswick, Canada) deposits. Ore Geol. Rev. 2016, 72, 60–85. [Google Scholar] [CrossRef]
- McClenaghan, M.B.; Budulan, G.; Parkhill, M.A.; Layton-Matthews, D.; Crabtree, D. Indicator Mineral Signatures of the Halfmile Lake Zn–Pb–Cu Volcanogenic Massive Sulphide Deposit, Bathurst, New Brunswick: Part 2—Till Data; Open File 8111; Geological Survey of Canada: Ottawa, ON, Canada, 2016. [Google Scholar]
- DiLabio, R. Glacial Dispersal Trains. In Glacial Indicator Tracing; Kujansuu, R., Saarnisto, M., Eds.; August Aimé Balkema: Rotterdam, The Netherlands, 1990; pp. 109–122. [Google Scholar]
- Gregory, D.D.; Large, R.R.; Bath, A.B.; Steadman, J.A.; Wu, S.; Danyushevsky, L.; Bull, S.W.; Holden, P.; Ireland, T.R. Trace element content of pyrite from the kapai slate, St. Ives Gold District, Western Australia. Econ. Geol. 2016, 111, 1297–1320. [Google Scholar] [CrossRef]
- Mukherjee, I.; Large, R. Application of pyrite trace element chemistry to exploration for SEDEX style Zn–Pb deposits: McArthur Basin, Northern Territory, Australia. Ore Geol. Rev. 2017, 81, 1249–1270. [Google Scholar] [CrossRef]
- Harris, D.C.; Cabri, L.J.; Nobiling, R. Silver-bearing chalcopyrite, a principal source of silver in the Izok Lake massive-sulfide deposit; confirmation by electron-and proton-microprobe analyses. Can. Mineral. 1984, 22, 493–498. [Google Scholar]
- Hicken, A.; McClenaghan, M.; Paulen, R.; Layton-Matthews, D. Till Geochemical Signatures of the Izok Lake Zn–Cu–Pb–Ag Volcanogenic Massive Sulphide Deposit; Open File 7046; Geological Survey of Canada: Ottawa, ON, Canada, 2012. [Google Scholar]
- McClenaghan, M.; Parkhill, M.; Pronk, A.; Seaman, A.; McCurdy, M.; Leybourne, M. Indicator mineral and geochemical signatures associated with the Sisson W–Mo deposit, New Brunswick, Canada. Geochem. Explor. Environ. Anal. 2017, 17, 297–313. [Google Scholar] [CrossRef]









| Sample | Original Mass (g) | Fraction (µm) | Mass (g) | Mass Weighed (g) | Total Loss (g) |
|---|---|---|---|---|---|
| 09-MPB-060 | 16.637 | 185–250 | 2.668 | 16.544 | 0.093 |
| 125–185 | 5.145 | ||||
| 64–125 | 6.624 | ||||
| <64 | 2.107 | ||||
| 09-MPB-058 | 29.223 | 185–250 | 3.426 | 29.124 | 0.099 |
| 125–185 | 7.060 | ||||
| 64–125 | 12.064 | ||||
| <64 | 6.574 | ||||
| 09-MPB-075 | 22.933 | 185–250 | 3.132 | 22.848 | 0.085 |
| 125–185 | 5.959 | ||||
| 64–125 | 9.584 | ||||
| <64 | 4.173 | ||||
| 12-MPB-902 | 22.769 | 185–250 | 2.949 | 22.679 | 0.090 |
| 125–185 | 4.814 | ||||
| 64–125 | 9.716 | ||||
| <64 | 5.200 |
| Pre-Calibration | ||||
| Mineral | Scan 1 (area%) | Scan 2 (area%) | In-Run Error | Out-Run Error (avg.) |
| Axinite | 0.0101 | 0.0073 | 0.1598 | 0.6806 |
| Epidote | 3.9529 | 3.8394 | 0.0146 | 0.0073 |
| Corundum | 0.0250 | 0.0251 | 0.0016 | 0.0042 |
| Hematite | 1.8558 | 1.8207 | 0.0095 | 0.0048 |
| Gahnite | 0.1110 | 0.1286 | 0.0735 | 0.0420 |
| Staurolite | 1.0410 | 1.0180 | 0.0112 | 0.0056 |
| Post-Calibration | ||||
| Mineral | Scan 1 (area%) | Scan 2 (area%) | In-Run Error | |
| Axinite | 0.0026 | 0.0008 | 0.5246 | |
| Epidote | 3.9400 | 3.8814 | 0.0075 | |
| Corundum | 0.0248 | 0.0249 | 0.0023 | |
| Hematite | 1.8324 | 1.8428 | 0.0028 | |
| Gahnite | 0.1100 | 0.1096 | 0.0016 | |
| Staurolite | 1.0273 | 1.0276 | 0.0002 | |
| Sample | Location Relative to Mineralization | Size Fraction (mm) | Chalcopyrite | Galena | Pyrite | Sphalerite | ||||
|---|---|---|---|---|---|---|---|---|---|---|
| Grains/Total ** | Area (%) | Grains/Total ** | Area (%) | Grains/Total ** | Area (%) | Grains/Total ** | Area (%) | |||
| 09-MPB-060 | 1 km up ice | 0.185–0.250 | 0.00 | 0.0000 | 0.07 | 0.0001 | 0.51 | 0.0001 | 0.00 | 0.0000 |
| 0.125–0.185 | 0.00 | 0.0000 | 0.00 | 0.0000 | 0.24 | 0.0009 | 0.00 | 0.0000 | ||
| 0.064–0.125 | 0.00 | 0.0000 | 0.00 | 0.0000 | 0.40 | 0.0015 | 0.00 | 0.0000 | ||
| <0.064 | 0.02 | 0.0001 | 0.00 | 0.0000 | 0.06 | 0.0014 | 0.00 | 0.0000 | ||
| 0.250–0.500 * | 0.00 | ND | 0.00 | ND | 0.00 | ND | 0.00 | ND | ||
| 09-MPB-058 | 0.5 km down ice | 0.185–0.250 | 0.40 | 0.0006 | 0.40 | 0.0002 | 2.50 | 0.2117 | 8.09 | 0.8045 |
| 0.125–0.185 | 0.27 | 0.0177 | 0.09 | 0.0001 | 2.41 | 0.1592 | 1.50 | 0.4314 | ||
| 0.064–0.125 | 0.21 | 0.0010 | 0.03 | 0.0001 | 1.11 | 0.0966 | 1.14 | 0.1523 | ||
| <0.064 | 0.07 | 0.0044 | 0.00 | 0.0000 | 0.25 | 0.0151 | 0.60 | 0.0710 | ||
| 0.250–0.500 * | 9.00 | ND | 0.00 | ND | 339.00 | ND | 1271.00 | ND | ||
| 09-MPB-075 | 2.5 km down ice | 0.185–0.250 | 0.05 | 0.0002 | 0.29 | 0.0004 | 0.49 | 0.0019 | 0.00 | 0.0000 |
| 0.125–0.185 | 0.15 | 0.0004 | 0.00 | 0.0000 | 0.19 | 0.0012 | 0.00 | 0.0000 | ||
| 0.064–0.125 | 0.00 | 0.0000 | 0.09 | 0.0001 | 0.12 | 0.0011 | 0.00 | 0.0000 | ||
| <0.064 | 0.06 | 0.0001 | 0.00 | 0.0000 | 0.17 | 0.0017 | 0.00 | 0.0000 | ||
| 0.250–0.500 * | 0.00 | ND | 0.00 | ND | 0.00 | ND | 0.00 | ND | ||
| 12-MPB-902 | 8 km down ice | 0.185–0.250 | 0.09 | 0.0001 | 0.22 | 0.0006 | 0.26 | 0.0007 | 0.00 | 0.0000 |
| 0.125–0.185 | 0.12 | 0.0001 | 0.00 | 0.0000 | 0.40 | 0.0013 | 0.08 | 0.0001 | ||
| 0.064–0.125 | 0.05 | 0.0000 | 0.03 | 0.0004 | 0.08 | 0.0004 | 0.00 | 0.0000 | ||
| <0.064 | 0.03 | 0.0000 | 0.00 | 0.0000 | 0.07 | 0.0004 | 0.03 | 0.0001 | ||
| 0.250–0.500 * | 0.00 | ND | 0 | ND | 0 | ND | 0 | ND | ||
| Sample | Location Relative to Mineralization | Size Fraction (mm) | Corundum | Epidote | Staurolite | Gahnite | ||||
|---|---|---|---|---|---|---|---|---|---|---|
| Grains/Total ** | Area (%) | Grains/Total ** | Area (%) | Grains/Total ** | Area (%) | Grains/Total ** | Area (%) | |||
| 09-MPB-060 | 1 km up ice | 0.185–0.250 | 0.14 | 0.0024 | 21.23 | 5.4712 | 13.57 | 3.1242 | 0.00 | 0.0000 |
| 0.125–0.185 | 0.69 | 0.0335 | 29.28 | 6.0791 | 11.41 | 2.6086 | 0.08 | 0.0283 | ||
| 0.064–0.125 | 0.61 | 0.0553 | 48.06 | 8.9677 | 12.73 | 2.2661 | 0.03 | 0.0000 | ||
| <0.064 | 0.81 | 0.0366 | 47.26 | 7.2992 | 13.99 | 1.9695 | 0.10 | 0.0064 | ||
| 0.250–0.500 * | ND | 590 *** | ND | 3061.00 | ND | 0.00 | ND | |||
| 09-MPB-058 | 0.5 km down ice | 0.185–0.250 | 3.59 | 0.177 | 26.65 | 6.7352 | 12.68 | 2.0104 | 2.30 | 0.3724 |
| 0.125–0.185 | 1 | 0.0582 | 39.24 | 8.6277 | 10.57 | 2.4334 | 1.55 | 0.0743 | ||
| 0.064–0.125 | 1.07 | 0.1177 | 59.23 | 9.2708 | 13.24 | 1.9613 | 0.90 | 0.1059 | ||
| <0.064 | 0.87 | 0.0383 | 61.71 | 8.6900 | 16.21 | 1.9937 | 1.14 | 0.1309 | ||
| 0.250–0.500 * | ND | 1880 *** | ND | 2542.00 | ND | 77.00 | ND | |||
| 09-MPB-075 | 2.5 km down ice | 0.185–0.250 | 0.24 | 0.0353 | 22.09 | 7.2143 | 6.56 | 1.6389 | 1.03 | 0.1854 |
| 0.125–0.185 | 0.41 | 0.005 | 27.03 | 6.4038 | 5.62 | 1.6028 | 0.34 | 0.0444 | ||
| 0.064–0.125 | 0.68 | 0.0399 | 48.04 | 9.3994 | 8.50 | 1.4065 | 1.05 | 0.1107 | ||
| <0.064 | 0.27 | 0.0269 | 42.82 | 6.7296 | 8.95 | 1.208 | 1.11 | 0.1458 | ||
| 0.250–0.500 * | ND | 3160 *** | ND | 971.00 | ND | 64.00 | ND | |||
| 12-MPB-902 | 8 km down ice | 0.185–0.250 | 0.3 | 0.0065 | 14.40 | 4.1317 | 5.18 | 1.83 | 0.35 | 0.0462 |
| 0.125–0.185 | 0.32 | 0.0094 | 22.55 | 5.3092 | 5.83 | 1.3816 | 0.83 | 0.2069 | ||
| 0.064–0.125 | 0.32 | 0.0225 | 32.15 | 6.1219 | 7.35 | 1.335 | 0.56 | 0.0831 | ||
| <0.064 | 0.3 | 0.0205 | 33.24 | 4.1088 | 7.83 | 0.8659 | 0.85 | 0.1128 | ||
| 0.250–0.500 * | ND | 620 *** | ND | 1634 | ND | 24 | ND | |||
| Sample | Location | Size Fraction (mm) | Chalcopyrite | Galena | Pyrite | Pyrrhotite | Sphalerite | |||||
|---|---|---|---|---|---|---|---|---|---|---|---|---|
| Liberated (area%) | Composite (area%) | Liberated (area%) | Composite (area%) | Liberated (area%) | Composite (area%) | Liberated (area%) | Composite (area%) | Liberated (area%) | Composite (area%) | |||
| 09-MPB-060 | 1 km up ice | 0.185–0.250 | NA | NA | 0.00 | 100.00 | 0.00 | 100.00 | 0.00 | 100.00 | NA | NA |
| 0.125–0.185 | NA | NA | NA | NA | 0.00 | 100.00 | 0.00 | 100.00 | NA | NA | ||
| 0.064–0.125 | NA | NA | NA | NA | 0.00 | 100.00 | 0.00 | 100.00 | NA | NA | ||
| <0.064 | NA | NA | NA | NA | 0.00 | 100.00 | 0.00 | 100.00 | NA | NA | ||
| 09-MPB-058 | 0.5 km down ice | 0.185–0.250 | 55.86 | 44.14 | 0.00 | 100.00 | 0.00 | 100.00 | 0.00 | 100.00 | 82.72 | 17.28 |
| 0.125–0.185 | 96.43 | 3.57 | 0.00 | 100.00 | 2.86 | 97.14 | 0.00 | 100.00 | 66.91 | 33.09 | ||
| 0.064–0.125 | 0.00 | 100.00 | 0.00 | 100.00 | 14.29 | 85.71 | 0.00 | 100.00 | 37.58 | 62.42 | ||
| <0.064 | 93.68 | 6.32 | NA | NA | 15.01 | 84.99 | 86.56 | 13.44 | 96.71 | 3.29 | ||
| 09-MPB-075 | 2.5 km down ice | 0.185–0.250 | 0.00 | 100.00 | 45.05 | 54.95 | 0.00 | 100.00 | 0.00 | 100.00 | NA | NA |
| 0.125–0.185 | 0.00 | 100.00 | NA | NA | 0.00 | 100.00 | 0.00 | 100.00 | NA | NA | ||
| 0.064–0.125 | NA | NA | 0.00 | 100.00 | 0.00 | 100.00 | 0.00 | 100.00 | NA | NA | ||
| <0.064 | 0.00 | 100.00 | NA | NA | 0.00 | 100.00 | 0.00 | 100.00 | NA | NA | ||
| 12-MPB-902 | 8 km down ice | 0.185–0.250 | 0.00 | 100.00 | 35.09 | 64.91 | 0.00 | 100.00 | 0.00 | 100.00 | NA | NA |
| 0.125–0.185 | 0.00 | 100.00 | NA | NA | 0.00 | 100.00 | 0.00 | 100.00 | 0.00 | 100.00 | ||
| 0.064–0.125 | 0.00 | 100.00 | 100.00 | 0.00 | 0.00 | 100.00 | 0.00 | 100.00 | NA | NA | ||
| <0.064 | 0.00 | 100.00 | NA | NA | NA | NA | 0.00 | 100.00 | 0.00 | 100.00 | ||
© 2020 by the authors. Licensee MDPI, Basel, Switzerland. This article is an open access article distributed under the terms and conditions of the Creative Commons Attribution (CC BY) license (http://creativecommons.org/licenses/by/4.0/).
Share and Cite
Lougheed, H.D.; McClenaghan, M.B.; Layton-Matthews, D.; Leybourne, M. Exploration Potential of Fine-Fraction Heavy Mineral Concentrates from Till Using Automated Mineralogy: A Case Study from the Izok Lake Cu–Zn–Pb–Ag VMS Deposit, Nunavut, Canada. Minerals 2020, 10, 310. https://doi.org/10.3390/min10040310
Lougheed HD, McClenaghan MB, Layton-Matthews D, Leybourne M. Exploration Potential of Fine-Fraction Heavy Mineral Concentrates from Till Using Automated Mineralogy: A Case Study from the Izok Lake Cu–Zn–Pb–Ag VMS Deposit, Nunavut, Canada. Minerals. 2020; 10(4):310. https://doi.org/10.3390/min10040310
Chicago/Turabian StyleLougheed, H. Donald, M. Beth McClenaghan, Dan Layton-Matthews, and Matthew Leybourne. 2020. "Exploration Potential of Fine-Fraction Heavy Mineral Concentrates from Till Using Automated Mineralogy: A Case Study from the Izok Lake Cu–Zn–Pb–Ag VMS Deposit, Nunavut, Canada" Minerals 10, no. 4: 310. https://doi.org/10.3390/min10040310
APA StyleLougheed, H. D., McClenaghan, M. B., Layton-Matthews, D., & Leybourne, M. (2020). Exploration Potential of Fine-Fraction Heavy Mineral Concentrates from Till Using Automated Mineralogy: A Case Study from the Izok Lake Cu–Zn–Pb–Ag VMS Deposit, Nunavut, Canada. Minerals, 10(4), 310. https://doi.org/10.3390/min10040310

